Reflectivity Evolution and Preplasma Expansion in Front of Periodic and Flat Tilted Targets Under Laser Prepulse Influence
Abstract
1. Introduction
2. Model and Method
2.1. Studied Systems Description
2.2. Radiation–Hydrodynamic Simulations
2.3. Solving of Bloch Equations
3. Results
3.1. Prepulse Target Interaction and Preplasma Generation
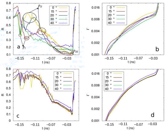
3.2. Numerical Study of Radiation Absorption and Reflection
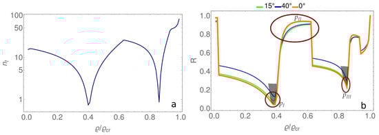
3.3. Analysis of Target–Preplasma Ensemble Optical Properties
- The preplasma density varies along the y-axis, depending on the distance from the target surface. The exact density distribution can only be obtained from simulation data or, in experimental cases, through tomographic reconstruction.
- The preplasma density also varies with distance from the center of the laser focal spot due to the non-uniform intensity profile of the laser beam. This variation becomes particularly significant in the early stages of preplasma expansion (Figure 1b), when plasma generation occurs primarily near the center of the focal spot, leaving only part of the target surface covered by preplasma.
- For high angles of incidence (above 35°), the target ridges are heated laterally, and a preplasma cloud is generated first inside the grooves. During its subsequent expansion in front of the target, it is pushed laterally by radiation pressure. In this way, regular preplasma distribution specific for low angles of incidence is perturbed Figure 2h,i.
4. Discussion
Author Contributions
Funding
Data Availability Statement
Acknowledgments
Conflicts of Interest
References
- Zhu, X.L.; Chen, M.; Weng, S.M.; Yu, T.P.; Wang, W.M.; He, F.; Sheng, Z.M.; McKenna, P.; Jaroszynski, D.A.; Zhang, J. Extremely brilliant GeV γ-rays from a two-stage laser-plasma accelerator. Sci. Adv. 2020, 6, eaaz7240. [Google Scholar] [CrossRef] [PubMed]
- Macchi, A.; Borghesi, M.; Passoni, M. Ion acceleration by superintense laser-plasma interaction. Rev. Mod. Phys. 2013, 85, 751–793. [Google Scholar] [CrossRef]
- Takabe, H.; Kuramitsu, Y. Recent progress of laboratory astrophysics with intense lasers. High Power Laser Sci. Eng. 2021, 9, e49. [Google Scholar] [CrossRef]
- Feng, J.; Wang, J.; Liu, H.; Sun, Y.; Fu, X.; Ji, S.; Liao, Y.; Tian, Y. A review of an investigation of the ultrafast laser processing of brittle and hard materials. Materials 2024, 17, 3657. [Google Scholar] [CrossRef]
- Stanford, M.G.; Mahady, K.; Lewis, B.B.; Fowlkes, J.D.; Tan, S.; Livengood, R.; Magel, G.A.; Moore, T.M.; Rack, P.D. Laser-assisted focused He+ ion beam induced etching with and without XeF2 gas assist. ACS Appl. Mater. Interfaces 2016, 8, 29155–29162. [Google Scholar] [CrossRef]
- Esirkepov, T.; Borghesi, M.; Bulanov, S.; Mourou, G.; Tajima, T. Highly efficient relativistic-ion generation in the laser-piston regime. Phys. Rev. Lett. 2004, 92, 175003. [Google Scholar] [CrossRef]
- Yin, L.; Albright, B.; Bowers, K.; Jung, D.; Fernández, J.; Hegelich, B. Three-dimensional dynamics of breakout afterburner ion acceleration using high-contrast short-pulse laser and nanoscale targets. Phys. Rev. Lett. 2011, 107, 045003. [Google Scholar] [CrossRef] [PubMed]
- Powers, N.D.; Ghebregziabher, I.; Golovin, G.; Liu, C.; Chen, S.; Banerjee, S.; Zhang, J.; Umstadter, D.P. Quasi-monoenergetic and tunable X-rays from a laser-driven Compton light source. Nat. Photonics 2014, 8, 28–31. [Google Scholar] [CrossRef]
- Nakamura, T.; Koga, J.K.; Esirkepov, T.Z.; Kando, M.; Korn, G.; Bulanov, S.V. High-power γ-ray flash generation in ultraintense laser-plasma interactions. Phys. Rev. Lett. 2012, 108, 195001. [Google Scholar] [CrossRef] [PubMed]
- Iwata, N.; Nagatomo, H.; Fukuda, Y.; Matsui, R.; Kishimoto, Y. Effects of radiation reaction in the interaction between cluster media and high intensity lasers in the radiation dominant regime. Phys. Plasmas 2016, 23, 063115. [Google Scholar] [CrossRef]
- Sentoku, Y.; d’Humières, E.; Romagnani, L.; Audebert, P.; Fuchs, J. Dynamic control over mega-ampere electron currents in metals using ionization-driven resistive magnetic fields. Phys. Rev. Lett. 2011, 107, 135005. [Google Scholar] [CrossRef]
- Apiñaniz, J.; Malko, S.; Fedosejevs, R.; Cayzac, W.; Vaisseau, X.; De Luis, D.; Gatti, G.; McGuffey, C.; Bailly Grandvaux, M.; Bhutwala, K.; et al. A quasi-monoenergetic short time duration compact proton source for probing high energy density states of matter. Sci. Rep. 2021, 11, 6881. [Google Scholar] [CrossRef]
- Strehlow, J.; Kim, J.; Bailly Grandvaux, M.; Bolaños, S.; Smith, H.; Haid, A.; Alfonso, E.L.; Aniculaesei, C.; Chen, H.; Ditmire, T.; et al. A laser parameter study on enhancing proton generation from microtube foil targets. Sci. Rep. 2022, 12, 10827. [Google Scholar] [CrossRef]
- Zylstra, A.; Li, C.; Rinderknecht, H.; Séguin, F.; Petrasso, R.; Stoeckl, C.; Meyerhofer, D.; Nilson, P.; Sangster, T.; Le Pape, S.; et al. Using high-intensity laser-generated energetic protons to radiograph directly driven implosions. Rev. Sci. Instruments 2012, 83, 013511. [Google Scholar] [CrossRef]
- Nishiuchi, M.; Sakaki, H.; Esirkepov, T.Z.; Nishio, K.; Pikuz, T.; Faenov, A.Y.; Skobelev, I.Y.; Orlandi, R.; Sako, H.; Pirozhkov, A.; et al. Acceleration of highly charged GeV Fe ions from a low-Z substrate by intense femtosecond laser. Phys. Plasmas 2015, 22, 033107. [Google Scholar] [CrossRef]
- Eliezer, S. The Interaction of High-Power Lasers with Plasmas; CRC Press: Boca Raton, FL, USA, 2002. [Google Scholar]
- Ter-Avetisyan, S.; Andreev, A.; Platonov, K.; Sung, J.; Lee, S.; Lee, H.; Yoo, J.; Singh, P.; Ahmed, H.; Scullion, C.; et al. Surface modulation and back reflection from foil targets irradiated by a Petawatt femtosecond laser pulse at oblique incidence. Opt. Express 2016, 24, 28104–28112. [Google Scholar] [CrossRef]
- Vincenti, H.; Monchocé, S.; Kahaly, S.; Bonnaud, G.; Martin, P.; Quéré, F. Optical properties of relativistic plasma mirrors. Nat. Commun. 2014, 5, 3403. [Google Scholar] [CrossRef] [PubMed]
- Teubner, U.; Uschmann, I.; Gibbon, P.; Altenbernd, D.; Förster, E.; Feurer, T.; Theobald, W.; Sauerbrey, R.; Hirst, G.; Key, M.; et al. Absorption and hot electron production by high intensity femtosecond uv-laser pulses in solid targets. Phys. Rev. E 1996, 54, 4167. [Google Scholar] [CrossRef] [PubMed]
- Margarone, D.; Klimo, O.; Kim, I.J.; Prokůpek, J.; Limpouch, J.; Jeong, T.M.; Mocek, T.; Pšikal, J.; Kim, H.T.; Proška, J.; et al. Laser-driven proton acceleration enhancement by nanostructured foils. Phys. Rev. Lett. 2012, 109, 234801. [Google Scholar] [CrossRef]
- Kahaly, S.; Yadav, S.; Wang, W.; Sengupta, S.; Sheng, Z.; Das, F.A.; Kaw, P.; Kumar, G.R. Near-complete absorption of intense, ultrashort laser light by sub-λ gratings. Phys. Rev. Lett. 2008, 101, 145001. [Google Scholar] [CrossRef] [PubMed]
- Dalui, M.; Wang, W.M.; Trivikram, T.M.; Sarkar, S.; Tata, S.; Jha, J.; Ayyub, P.; Sheng, Z.; Krishnamurthy, M. Preferential enhancement of laser-driven carbon ion acceleration from optimized nanostructured surfaces. Sci. Rep. 2015, 5, 11930. [Google Scholar] [PubMed]
- Qin, C.; Zhang, H.; Li, S.; Wang, N.; Li, A.; Fan, L.; Lu, X.; Li, J.; Xu, R.; Wang, C.; et al. High efficiency laser-driven proton sources using 3D-printed micro-structure. Commun. Phys. 2022, 5, 124. [Google Scholar] [CrossRef]
- Park, J.; Tommasini, R.; Shepherd, R.; London, R.; Bargsten, C.; Hollinger, R.; Capeluto, M.G.; Shlyaptsev, V.; Hill, M.; Kaymak, V.; et al. Absolute laser energy absorption measurement of relativistic 0.7 ps laser pulses in nanowire arrays. Phys. Plasmas 2021, 28, 023302. [Google Scholar] [CrossRef]
- Ferri, J.; Thiele, I.; Siminos, E.; Gremillet, L.; Smetanina, E.; Dmitriev, A.; Cantono, G.; Wahlström, C.G.; Fülöp, T. Enhancement of laser-driven ion acceleration in non-periodic nanostructured targets. J. Plasma Phys. 2020, 86, 905860101. [Google Scholar] [CrossRef]
- Martinez, B.; d’Humiéres, E.; Gremillet, L. Synchrotron emission from nanowire array targets irradiated by ultraintense laser pulses. Plasma Phys. Control. Fusion 2018, 60, 074009. [Google Scholar] [CrossRef]
- Fedeli, L.; Formenti, A.; Pazzaglia, A.; Arioli, F.M.; Tentori, A.; Passoni, M. Enhanced laser-driven hadron sources with nanostructured double-layer targets. New J. Phys. 2020, 22, 033045. [Google Scholar] [CrossRef]
- Anttu, N. Absorption of light in a single vertical nanowire and a nanowire array. Nanotechnology 2019, 30, 104004. [Google Scholar] [CrossRef]
- Vallières, S.; Barberio, M.; Scisciò, M.; d’Humières, E.; Antici, P. Enhanced laser-driven proton acceleration using ultrasmall nanoparticles. Phys. Rev. Accel. Beams 2019, 22, 091303. [Google Scholar] [CrossRef]
- Snyder, J.; Ji, L.; George, K.M.; Willis, C.; Cochran, G.E.; Daskalova, R.; Handler, A.; Rubin, T.; Poole, P.L.; Nasir, D.; et al. Relativistic laser driven electron accelerator using micro-channel plasma targets. Phys. Plasmas 2019, 26, 033110. [Google Scholar] [CrossRef]
- Ahn, S.W.; Lee, K.D.; Kim, J.S.; Kim, S.H.; Park, J.D.; Lee, S.H.; Yoon, P.W. Fabrication of a 50 nm half-pitch wire grid polarizer using nanoimprint lithography. Nanotechnology 2005, 16, 1874. [Google Scholar] [CrossRef]
- Šileikaitė, A.; Puišo, J.; Prosyčevas, I.; Guobienė, A.; Tamulevičius, S.; Tamulevičius, T.; Janušas, G. Polymer diffraction gratings modified with silver nanoparticles. Mater. Sci. 2007, 13, 273–277. [Google Scholar]
- Zhang, W.; Kong, W.; Wang, G.; Xing, F.; Zhang, F.; Zhang, H.; Fu, S. Review of pulse compression gratings for chirped pulse amplification system. Opt. Eng. 2021, 60, 020902. [Google Scholar] [CrossRef]
- Mikhailova, J.M.; Buck, A.; Borot, A.; Schmid, K.; Sears, C.; Tsakiris, G.D.; Krausz, F.; Veisz, L. Ultra-high-contrast few-cycle pulses for multipetawatt-class laser technology. Opt. Lett. 2011, 36, 3145–3147. [Google Scholar] [CrossRef]
- Ong, J.; Zubarev, A.; Berceanu, A.; Cuzminschi, M.; Tesileanu, O. Nanowire implosion under laser amplified spontaneous emission pedestal irradiation. Sci. Rep. 2023, 13, 20699. [Google Scholar] [CrossRef]
- Tanaka, K.; Spohr, K.; Balabanski, D.; Balascuta, S.; Capponi, L.; Cernaianu, M.; Cuciuc, M.; Cucoanes, A.; Dancus, I.; Dhal, A.; et al. Current status and highlights of the ELI-NP research program. Matter Radiat. Extrem. 2020, 5, 024402. [Google Scholar] [CrossRef]
- Papadopoulos, D.; Ramirez, P.; Genevrier, K.; Ranc, L.; Lebas, N.; Pellegrina, A.; Le Blanc, C.; Monot, P.; Martin, L.; Zou, J.; et al. High-contrast 10 fs OPCPA-based front end for multi-PW laser chains. Opt. Lett. 2017, 42, 3530–3533. [Google Scholar] [CrossRef]
- Ranc, L.; Le Blanc, C.; Lebas, N.; Martin, L.; Zou, J.P.; Mathieu, F.; Radier, C.; Ricaud, S.; Druon, F.; Papadopoulos, D. Improvement in the temporal contrast in the tens of ps range of the multi-PW Apollon laser front-end. Opt. Lett. 2020, 45, 4599–4602. [Google Scholar] [CrossRef]
- Chu, Y.; Liang, X.; Yu, L.; Xu, Y.; Xu, L.; Ma, L.; Lu, X.; Liu, Y.; Leng, Y.; Li, R.; et al. High-contrast 2.0 Petawatt Ti: Sapphire laser system. Opt. Express 2013, 21, 29231–29239. [Google Scholar] [CrossRef]
- Yu, T.J.; Lee, S.K.; Sung, J.H.; Yoon, J.W.; Jeong, T.M.; Lee, J. Generation of high-contrast, 30 fs, 1.5 PW laser pulses from chirped-pulse amplification Ti: Sapphire laser. Opt. Express 2012, 20, 10807–10815. [Google Scholar] [CrossRef]
- Smijesh, N.; Zhang, X.; Fischer, P.; Muschet, A.; Salh, R.; Tajalli, A.; Morgner, U.; Veisz, L. Contrast improvement of sub-4 fs laser pulses using nonlinear elliptical polarization rotation. Opt. Lett. 2019, 44, 4028–4031. [Google Scholar] [CrossRef] [PubMed]
- Homoelle, D.; Gaeta, A.L.; Yanovsky, V.; Mourou, G. Pulse contrast enhancement of high-energy pulses by use of a gas-filled hollow waveguide. Opt. Lett. 2002, 27, 1646–1648. [Google Scholar]
- Kalashnikov, M.; Risse, E.; Schönnagel, H.; Sandner, W. Double chirped-pulse-amplification laser: A way to clean pulses temporally. Opt. Lett. 2005, 30, 923–925. [Google Scholar] [PubMed]
- Sprangle, P.; Zigler, A.; Esarey, E. Elimination of laser prepulse by relativistic guiding in a plasma. Appl. Phys. Lett. 1991, 58, 346–348. [Google Scholar] [CrossRef]
- Kiriyama, H.; Shimomura, T.; Sasao, H.; Nakai, Y.; Tanoue, M.; Kondo, S.; Kanazawa, S.; Pirozhkov, A.S.; Mori, M.; Fukuda, Y.; et al. Temporal contrast enhancement of petawatt-class laser pulses. Opt. Lett. 2012, 37, 3363–3365. [Google Scholar] [CrossRef] [PubMed]
- Kaluza, M.; Schreiber, J.; Santala, M.I.; Tsakiris, G.D.; Eidmann, K.; Meyer-ter Vehn, J.; Witte, K.J. Influence of the laser prepulse on proton acceleration in thin-foil experiments. Phys. Rev. Lett. 2004, 93, 045003. [Google Scholar] [CrossRef]
- Andreev, A.; Sonobe, R.; Kawata, S.; Miyazaki, S.; Sakai, K.; Miyauchi, K.; Kikuchi, T.; Platonov, K.; Nemoto, K. Effect of a laser prepulse on fast ion generation in the interaction of ultra-short intense laser pulses with a limited-mass foil target. Plasma Phys. Control. Fusion 2006, 48, 1605. [Google Scholar] [CrossRef]
- Ganeev, R.A. Generation of high-order harmonics of high-power lasers in plasmas produced under irradiation of solid target surfaces by a prepulse. Physics-Uspekhi 2009, 52, 55. [Google Scholar] [CrossRef]
- Yogo, A.; Daido, H.; Bulanov, S.; Nemoto, K.; Oishi, Y.; Nayuki, T.; Fujii, T.; Ogura, K.; Orimo, S.; Sagisaka, A.; et al. Laser ion acceleration via control of the near-critical density target. Phys. Rev. E 2008, 77, 016401. [Google Scholar] [CrossRef]
- Zubarev, A.; Ong, J.; Berceanu, A.; Cuzminschi, M.; Tesileanu, O. Study of the preplasma generation for flat and nanostructured targets in case of oblique radiation incidence. Ann. West Univ. Timis. Phys. 2025. ahead of print. [Google Scholar] [CrossRef]
- Fryxell, B.; Olson, K.; Ricker, P.; Timmes, F.; Zingale, M.; Lamb, D.; MacNeice, P.; Rosner, R.; Truran, J.; Tufo, H. FLASH: An adaptive mesh hydrodynamics code for modeling astrophysical thermonuclear flashes. Astrophys. J. Suppl. Ser. 2000, 131, 273. [Google Scholar] [CrossRef]
- Iorga, C. Dynamical aspects of photoionization from the 1 s 2 2 snp 1 P 1 o levels belonging to the C iii ion near the first ionization threshold. Phys. Rev. A 2023, 107, 033115. [Google Scholar] [CrossRef]
- Iorga, C.; Stăncălie, V.; Pais, V. A study of the laser-produced aluminum plasma by means of computer simulation. Rom. Rep. Phys. 2016, 68, 294–304. [Google Scholar]
- MacFarlane, J. IONMIX-a code for computing the equation of state and radiative properties of LTE and non-LTE plasmas. Comput. Phys. Commun. 1989, 56, 259–278. [Google Scholar] [CrossRef]
- Wolfram Research, Inc. Mathematica; Version 11.0.3; Wolfram Research, Inc.: Champaign, IL, USA, 2018. [Google Scholar]
- Esarey, E.; Schroeder, C.B.; Leemans, W.P. Physics of laser-driven plasma-based electron accelerators. Rev. Mod. Phys. 2009, 81, 1229–1285. [Google Scholar] [CrossRef]
- Kim, W.; Guo, J.; Hendrickson, J. Subwavelength metal grating metamaterial for polarization-selective optical antireflection coating. J. Opt. Soc. Am. B 2015, 32, 1392–1398. [Google Scholar] [CrossRef]
- Hoffmann, F.M. Infrared reflection-absorption spectroscopy of adsorbed molecules. Surf. Sci. Rep. 1983, 3, 107–192. [Google Scholar] [CrossRef]
- Vu, B.T.V.; Landen, O.L.; Szoke, A. Time-resolved backside optical probing of picosecond-laser-pulse-produced plasma in solid materials. Phys. Rev. E 1993, 47, 2768. [Google Scholar] [CrossRef] [PubMed]






| Asymmetry | |||||||
|---|---|---|---|---|---|---|---|
| F | 1.8 | 4.25 | 0.55 | 2.3 | 1.0 | 1.0 | |
| G | 1.7 | 4.3 | 0.9 | 3.4 | 0.3 | 1.0 | |
| F | 2.0 | 4.8 | 0.6 | 2.7 | 1.15 | 1.3 | |
| G | 1.8 | 4.7 | 1.15 | 3.2 | 0.33 | 1.1 | |
| F | 2.1 | 4.8 | 0.65 | 2.1 | 1.2 | 1.3 | |
| G | 1.9 | 4.75 | 1.25 | 3.7 | 0.3 | 1.06 |
| Angle | Quantity | |||
|---|---|---|---|---|
| – | – | – | ||
| – | – | – | ||
| – | – | – | ||
| – | – | – | ||
| – | – | |||
| 147–145 | 135–110 | 48–15 | ||
| – | – | |||
| 135–130 | 100–85 | 65–15 |
Disclaimer/Publisher’s Note: The statements, opinions and data contained in all publications are solely those of the individual author(s) and contributor(s) and not of MDPI and/or the editor(s). MDPI and/or the editor(s) disclaim responsibility for any injury to people or property resulting from any ideas, methods, instructions or products referred to in the content. |
© 2025 by the authors. Licensee MDPI, Basel, Switzerland. This article is an open access article distributed under the terms and conditions of the Creative Commons Attribution (CC BY) license (https://creativecommons.org/licenses/by/4.0/).
Share and Cite
Cuzminschi, M.; Zubarev, A. Reflectivity Evolution and Preplasma Expansion in Front of Periodic and Flat Tilted Targets Under Laser Prepulse Influence. Symmetry 2025, 17, 1873. https://doi.org/10.3390/sym17111873
Cuzminschi M, Zubarev A. Reflectivity Evolution and Preplasma Expansion in Front of Periodic and Flat Tilted Targets Under Laser Prepulse Influence. Symmetry. 2025; 17(11):1873. https://doi.org/10.3390/sym17111873
Chicago/Turabian StyleCuzminschi, Marina, and Alexei Zubarev. 2025. "Reflectivity Evolution and Preplasma Expansion in Front of Periodic and Flat Tilted Targets Under Laser Prepulse Influence" Symmetry 17, no. 11: 1873. https://doi.org/10.3390/sym17111873
APA StyleCuzminschi, M., & Zubarev, A. (2025). Reflectivity Evolution and Preplasma Expansion in Front of Periodic and Flat Tilted Targets Under Laser Prepulse Influence. Symmetry, 17(11), 1873. https://doi.org/10.3390/sym17111873

