Response Control and Bifurcation Phenomenon of a Tristable Rayleigh–Duffing System with Fractional Inertial Force Under Recycling Noises
Abstract
1. Introduction
2. Theoretical Derivation
3. sPDF on Amplitude
4. Derivation of the SPB Conditions
5. The Impact for Order p on a Fractional Derivative
6. Conclusions
- (1)
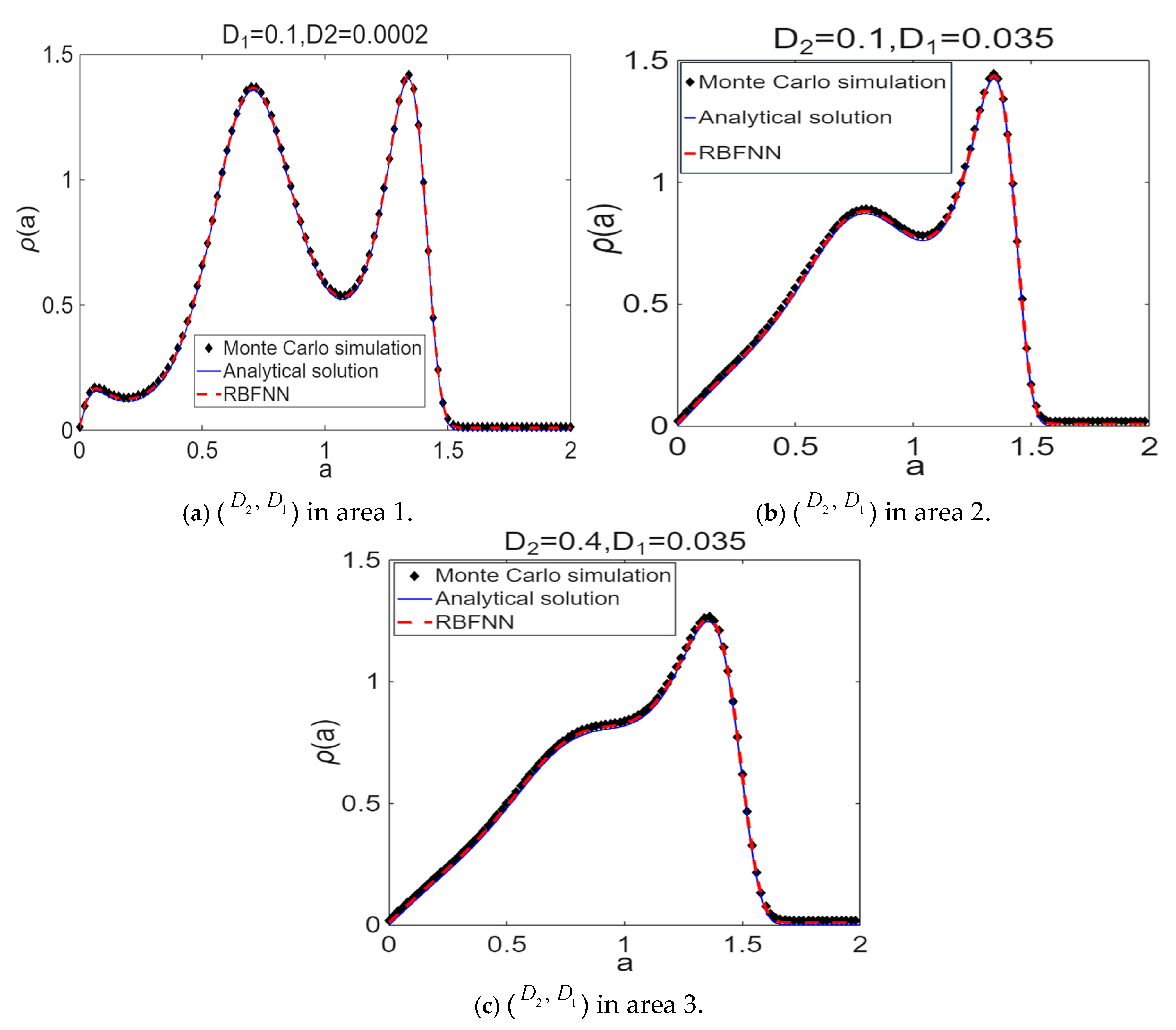
- The results indicate that each of the order p in the fractional-order inertial force, the correlation time , and the noise intensities and can each induce the stochastic P bifurcation of the system, and the stationary PDF curves of the system amplitude can be switched from the unimodal to the multi-peak type by adjusting the unfolding parameters.
- (2)
- The parametric region where the system presents multi-stable behaviors is surrounded by the two transition set curves, and the transition set curves are just right for the critical parametric conditions of the stochastic P bifurcation for the system.
- (3)
- The system’s response can be retained at the monostability or a small vibration amplitude near the equilibrium by selecting the appropriate unfolding parameters, which can provide theoretical guidance on the design of such systems and prevent the damage and instability caused by nonlinear jumps or large-amplitude vibrations of the system.
- (4)
- According to the alignment of the numerical outcomes from both the MCS and RBFNN methods, the theoretical approach utilized in this study is viable to explore the stochastic P-bifurcation phenomena of nonlinear oscillators with a fractional-order derivative element.
Author Contributions
Funding
Data Availability Statement
Acknowledgments
Conflicts of Interest
References
- Xu, M.; Tan, W. Theoretical analysis of the velocity field, stress field and vortex sheet of generalized second order fluid with fractional anomalous diffusion. Sci. China Ser. A Math. 2001, 44, 1387–1399. [Google Scholar] [CrossRef]
- Sabatier, J.; Agrawal, O.P.; Machado, J.A.T. Advances in Fractional Calculus; Springer: Dordrecht, The Netherlands, 2007. [Google Scholar]
- Podlubny, I. Fractional-order systems and P controllers. IEEE Trans. Autom. Control 1999, 44, 208–214. [Google Scholar] [CrossRef]
- Monje, C.A.; Chen, Y.; Vinagre, B.M.; Xue, D.; Batlleet, V.F. Fractional-Order Systems and Controls: Fundamentals and Applications; Springer: London, UK, 2010. [Google Scholar]
- Wang, X.; Zhang, H.; Wang, Y.; Li, Z. Dynamic properties and numerical simulations of the fractional Hastings-Powell model with the Grünwald-Letnikov differential derivative. Int. J. Bifurc. Chaos 2025, 35, 2550145. [Google Scholar] [CrossRef]
- Zhang, S.; Zhang, H.; Wang, Y.; Li, Z. Dynamic properties and numerical simulations of a fractional phytoplankton-zooplankton ecological model. Netw. Heterog. Media 2025, 20, 648–669. [Google Scholar] [CrossRef]
- He, J.; Qian, M. A fractal approach to the diffusion process of red ink in a saline water. Therm. Sci. 2022, 26, 2447–2451. [Google Scholar] [CrossRef]
- Zuo, Y. Effect of SiC particles on viscosity of 3-D print paste: A fractal rheological model and experimental verification. Therm. Sci. 2021, 25, 2405–2409. [Google Scholar] [CrossRef]
- Liang, Y.; Wang, K. A new fractal viscoelastic element: Promise and applications to Maxwell-rheological model. Therm. Sci. 2021, 25, 1221–1227. [Google Scholar] [CrossRef]
- Chen, W. An intuitive study of fractional derivative modeling and fractional quantum in soft matter. J. Vib. Control 2008, 14, 1651–1657. [Google Scholar] [CrossRef]
- Dai, D.; Ban, T.; Wang, Y.; Zhang, W. The piecewise reproducing kernel method for the time variable fractional order advection-reaction-diffusion equations. Therm. Sci. 2021, 25, 1261–1268. [Google Scholar] [CrossRef]
- Rong, H.; Wang, X.; Xu, W.; Meng, G.; Fang, T. On double-peak probability density functions of a Duffing oscillator under narrow-band random excitations. Acta Phys. Sin. 2005, 54, 2557–2561. [Google Scholar] [CrossRef]
- Rong, H.; Wang, X.; Meng, G.; Xu, W.; Fang, T. On double peak probability density functions of duffing oscillator to combined deterministic and random excitations. Appl. Math. Mech. 2006, 27, 1569–1576. [Google Scholar] [CrossRef]
- Xu, Y.; Gu, R.; Zhang, H.; Xu, W.; Duan, J. Stochastic bifurcations in a bistable Duffing-Vander Pol oscillator with colored noise. Phys. Rev. E 2011, 83, 056215. [Google Scholar] [CrossRef] [PubMed]
- Gu, R.; Xu, Y.; Hao, M.; Yang, Z. Stochastic bifurcations in Duffing-van der Pol oscillator with Lévy stable noise. Acta Phys. Sin. 2011, 60, 1466–1467. [Google Scholar] [CrossRef]
- Zakharova, A.; Vadivasova, T.; Anishchenko, V.; Koseska, A.; Kurths, J. Stochastic bifurcations and coherencelike resonance in a self-sustained bistable noisy oscillator. Phys. Rev. E 2010, 81, 011106. [Google Scholar] [CrossRef]
- Wu, Z.; Hao, Y. Stochastic P-bifurcations in tri-stable van der Pol-Duffing oscillator with multiplicative colored noise. Acta Phys. Sin. 2015, 64, 060501. [Google Scholar]
- Qian, J.; Chen, L. Random vibration of SDOF vibro-impact oscillators with restitution factor related to velocity under wide-band noise excitations. Mech. Syst. Signal Process. 2021, 147, 107082. [Google Scholar] [CrossRef]
- He, J. An improved amplitude-frequency formulation for nonlinear oscillators. Int. J. Nonlinear Sci. Numer. Simul. 2008, 9, 211–212. [Google Scholar] [CrossRef]
- Fan, J. He’s frequency–amplitude formulation for the Duffing harmonic oscillator. Comput. Math. Appl. 2009, 58, 2473–2476. [Google Scholar] [CrossRef]
- Zhuang, G.; Zhu, Q.; Xie, P.; Xia, J. Event-based H∞ fuzzy control for implicit hybrid AVS systems embedding acceleration characteristic under random deception and DoS attacks. IEEE Trans. Autom. Sci. Eng. 2024, 22, 6154–6167. [Google Scholar] [CrossRef]
- Liu, Y.; Zhuang, G.; Xie, X.; Xia, J. H∞ asynchronous admissibilization for nonlinear singular delayed hybrid hydraulic turbine governing systems with impulsive perturbations. IEEE Trans. Fuzzy Syst. 2023, 31, 4220–4234. [Google Scholar] [CrossRef]
- Zhuang, G.; Ma, Q.; Zhang, B.; Xu, S.; Xia, J. Admissibility and stabilization of stochastic singular Markovian jump systems with time delays. Syst. Control Lett. 2018, 114, 1–10. [Google Scholar] [CrossRef]
- Liu, Y.; Zhuang, G.; Xie, X.; Ma, Q. Impulsive observer-based admissibilization for delayed degenerate jump systems and application to DCM-IP device. Nonlinear Anal. Hybrid Syst. 2023, 50, 101395. [Google Scholar] [CrossRef]
- Zhuang, G.; Xu, S.; Xia, J.; Ma, Q. Double feedback control-based H∞ admissibilization for hybrid descriptor systems subject to external impulses and fast varying delays. Syst. Control Lett. 2024, 184, 105719. [Google Scholar] [CrossRef]
- Zhang, T.; Jin, Y. Enhanced DC power delivery from a rotational tristable energy harvester driven by colored noise under various constant speeds. Int. J. Non Linear Mech. 2022, 147, 104196. [Google Scholar] [CrossRef]
- Kumar, P.; Narayanan, S. Probabilistic response analysis of nonlinear tristable energy harvester under gaussian colored noise. J. Vib. Eng. Technol. 2023, 11, 2865–2879. [Google Scholar] [CrossRef]
- Sun, Y.; Yang, Y. Stochastic averaging for the piezoelectric energy harvesting system with fractional derivative element. IEEE Access 2020, 8, 59883–59890. [Google Scholar] [CrossRef]
- Huang, Z.; Jin, X. Response and stability of a SDOF strongly nonlinear stochastic system with light damping modeled by a fractional derivative. J. Sound Vib. 2009, 319, 1121–1135. [Google Scholar] [CrossRef]
- He, C.; El-Dib, Y.O. A heuristic review on the homotopy perturbation method for non-conservative oscillators. J. Low Freq. Noise Vib. Act. Control 2022, 41, 572–603. [Google Scholar] [CrossRef]
- He, C.; Amer, T.S.; Tian, D.; Abolila, A.F.; Galal, A.A. Controlling the kinematics of a spring pendulum system using an energy harvesting device. J. Low Freq. Noise Vib. Act. Control 2022, 41, 1234–1257. [Google Scholar] [CrossRef]
- He, C.; Tian, D.; Moatimid, G.M.; Salman, H.F.; Zekry, M.H. Hybrid rayleigh-van der pol-duffing oscillator: Stability analysis and controller. J. Low Freq. Noise Vib. Act. Control 2022, 41, 244–268. [Google Scholar] [CrossRef]
- He, J.; Amer, T.S.; El-Kafly, H.F.; Galal, A.A. Modelling of the rotational motion of 6-DOF rigid body according to the Bobylev-Steklov conditions. Results Phys. 2022, 35, 105391. [Google Scholar] [CrossRef]
- He, J.; Amer, T.S.; Abolila, A.F.; Galal, A.A. Stability of three degrees-of-freedom auto-parametric system. Alex. Eng. J. 2022, 61, 8393–8415. [Google Scholar] [CrossRef]
- Li, W.; Zhang, M.; Zhao, J. Stochastic bifurcations of generalized Duffing-van der Pol system with fractional derivative under colored noise. Chin. Phys. B 2017, 26, 62–69. [Google Scholar] [CrossRef]
- He, J. Homotopy perturbation method: A new nonlinear analytical technique. Appl. Math. Comput. 2003, 135, 73–79. [Google Scholar] [CrossRef]
- He, J. The homotopy perturbation method for nonlinear oscillators with discontinuities. Appl. Math. Comput. 2004, 151, 287–292. [Google Scholar] [CrossRef]
- Li, Z.; He, J. Fractional complex transform for fractional differential equations. Math. Comput. Appl. 2010, 15, 970–973. [Google Scholar] [CrossRef]
- Li, Z. An extended fractional complex transform. Int. J. Nonlinear Sci. Numer. Simul. 2010, 11, 335–338. [Google Scholar] [CrossRef]
- Golmankhaneh, A.K.; Welch, K.; Tunç, C.; Gasimov, Y.S. Classical mechanics on fractal curves. Eur. Phys. J. Spec. Top. 2023, 232, 991–999. [Google Scholar] [CrossRef]
- He, J.; Hou, W.; He, C.; Saeed, T.; Hayat, T. Variational approach to fractal solitary waves. Fractals 2021, 29, 2150199. [Google Scholar] [CrossRef]
- Golmankhaneh, A.K.; Tunç, C. Stochastic differential equations on fractal sets. Stochastics 2020, 92, 1244–1260. [Google Scholar] [CrossRef]
- Li, Y.; Wu, Z.; Lan, Q.; Cai, Y.; Xu, H.; Sun, Y. Stochastic transition behaviors in a tri-stable van der Pol oscillator with fractional delayed element subject to Gaussian white noise. Therm. Sci. 2022, 26, 2713–2725. [Google Scholar] [CrossRef]
- Li, Y.; Wu, Z.; Lan, Q.; Cai, Y.; Xu, H.; Sun, Y. Transition behaviors of system energy in a bistable van Ver Pol oscillator with fractional derivative element driven by multiplicative Gaussian white noise. Therm. Sci. 2022, 26, 2727–2736. [Google Scholar] [CrossRef]
- Shen, Y.; El-Dib, Y.O. A periodic solution of the fractional Sine-Gordon equation arising in architectural engineering. J. Low Freq. Noise Vib. Act. Control 2021, 40, 683–691. [Google Scholar] [CrossRef]
- He, J.; Moatimid, G.M.; Zekry, M.H. Forced nonlinear oscillator in a fractal space. Facta Univ. Ser. Mech. Eng. 2022, 20, 1–20. [Google Scholar] [CrossRef]
- He, J. Fractal calculus and its geometrical explanation. Results Phys. 2018, 10, 272–276. [Google Scholar] [CrossRef]
- He, J.; El-Dib, Y.O. A Tutorial Introduction to the Two-Scale Fractal Calculus and its Application to the Fractal Zhiber-Shabat Oscillator. Fractals 2021, 29, 2150268. [Google Scholar] [CrossRef]
- Wang, Q.; Shi, X.; He, J.; Li, Z. Fractal calculus and its application to explanation of biomechanism of polar bear hairs. Fractals 2018, 26, 1850086. [Google Scholar] [CrossRef]
- He, H. A new fractal derivation. Therm. Sci. 2011, 15, 145–147. [Google Scholar] [CrossRef]
- Chen, L.; Wang, W.; Li, Z.; Zhu, W. Stationary response of Duffing oscillator with hardening stiffness and fractional derivative. Int. J. Non Linear Mech. 2013, 48, 44–50. [Google Scholar] [CrossRef]
- Chen, L.; Li, Z.; Zhuang, Q. First-passage failure of single-degree-of-freedom nonlinear oscillators with fractional derivative. J. Vib. Control 2013, 19, 2154–2163. [Google Scholar] [CrossRef]
- Shen, Y.; Yang, S.; Xing, H.; Ma, H. Primary resonance of Duffing oscillator with two kinds of fractional-order derivatives. Int. J. Non Linear Mech. 2012, 47, 975–983. [Google Scholar] [CrossRef]
- He, C.; Liu, C. A modified frequency-amplitude formulation for fractal vibration systems. Fractals 2022, 30, 2250046. [Google Scholar] [CrossRef]
- Yang, Y.; Xu, W.; Sun, Y.; Gu, X. Stochastic response of van der Pol oscillator with two kinds of fractional derivatives under Gaussian white noise excitation. Chin. Phys. B 2016, 25, 13–21. [Google Scholar] [CrossRef]
- Chen, L.; Zhu, W. Stochastic response of fractional-order van der Pol oscillator. Theor. Appl. Mech. Lett. 2014, 4, 68–72. [Google Scholar] [CrossRef]
- Xu, C.; Roberts, A.J. On the low-dimensional modelling of Stratonovich stochastic differential equations. Phys. A 1996, 225, 62–80. [Google Scholar] [CrossRef]
- Wu, Z.; Hao, Y. Three-peak P-bifurcations in stochastically excited van der Pol-Duffing oscillator. Sci. Sin. Phys. Mech. Astron. 2013, 43, 524–529. [Google Scholar] [CrossRef]
- Zhu, W. Random Vibration; Science Press: Beijing, China, 1992. [Google Scholar]
- Ling, F. Catastrophe Theory and Its Applications; Shang Hai Jiao Tong University Press: Shanghai, China, 1987. [Google Scholar]





Disclaimer/Publisher’s Note: The statements, opinions and data contained in all publications are solely those of the individual author(s) and contributor(s) and not of MDPI and/or the editor(s). MDPI and/or the editor(s) disclaim responsibility for any injury to people or property resulting from any ideas, methods, instructions or products referred to in the content. |
© 2025 by the authors. Licensee MDPI, Basel, Switzerland. This article is an open access article distributed under the terms and conditions of the Creative Commons Attribution (CC BY) license (https://creativecommons.org/licenses/by/4.0/).
Share and Cite
Li, Y.; Tian, G.; Wu, Z.; Sun, Y.; Hao, Y.; Zhang, X.; Chen, S. Response Control and Bifurcation Phenomenon of a Tristable Rayleigh–Duffing System with Fractional Inertial Force Under Recycling Noises. Symmetry 2025, 17, 1874. https://doi.org/10.3390/sym17111874
Li Y, Tian G, Wu Z, Sun Y, Hao Y, Zhang X, Chen S. Response Control and Bifurcation Phenomenon of a Tristable Rayleigh–Duffing System with Fractional Inertial Force Under Recycling Noises. Symmetry. 2025; 17(11):1874. https://doi.org/10.3390/sym17111874
Chicago/Turabian StyleLi, Yajie, Guoguo Tian, Zhiqiang Wu, Yongtao Sun, Ying Hao, Xiangyun Zhang, and Shengli Chen. 2025. "Response Control and Bifurcation Phenomenon of a Tristable Rayleigh–Duffing System with Fractional Inertial Force Under Recycling Noises" Symmetry 17, no. 11: 1874. https://doi.org/10.3390/sym17111874
APA StyleLi, Y., Tian, G., Wu, Z., Sun, Y., Hao, Y., Zhang, X., & Chen, S. (2025). Response Control and Bifurcation Phenomenon of a Tristable Rayleigh–Duffing System with Fractional Inertial Force Under Recycling Noises. Symmetry, 17(11), 1874. https://doi.org/10.3390/sym17111874

