Equation of State for Hyperonic Neutron-Star Matter in SU(3) Flavor Symmetry
Abstract
1. Introduction
2. Lagrangian Density in SU(3) Flavor Symmetry
3. SU(3) Symmetry in the Vector-Meson Couplings
4. Model Parameters
4.1. Model Construction and Parameters for Nucleons
4.2. Coupling Constants for Hyperons
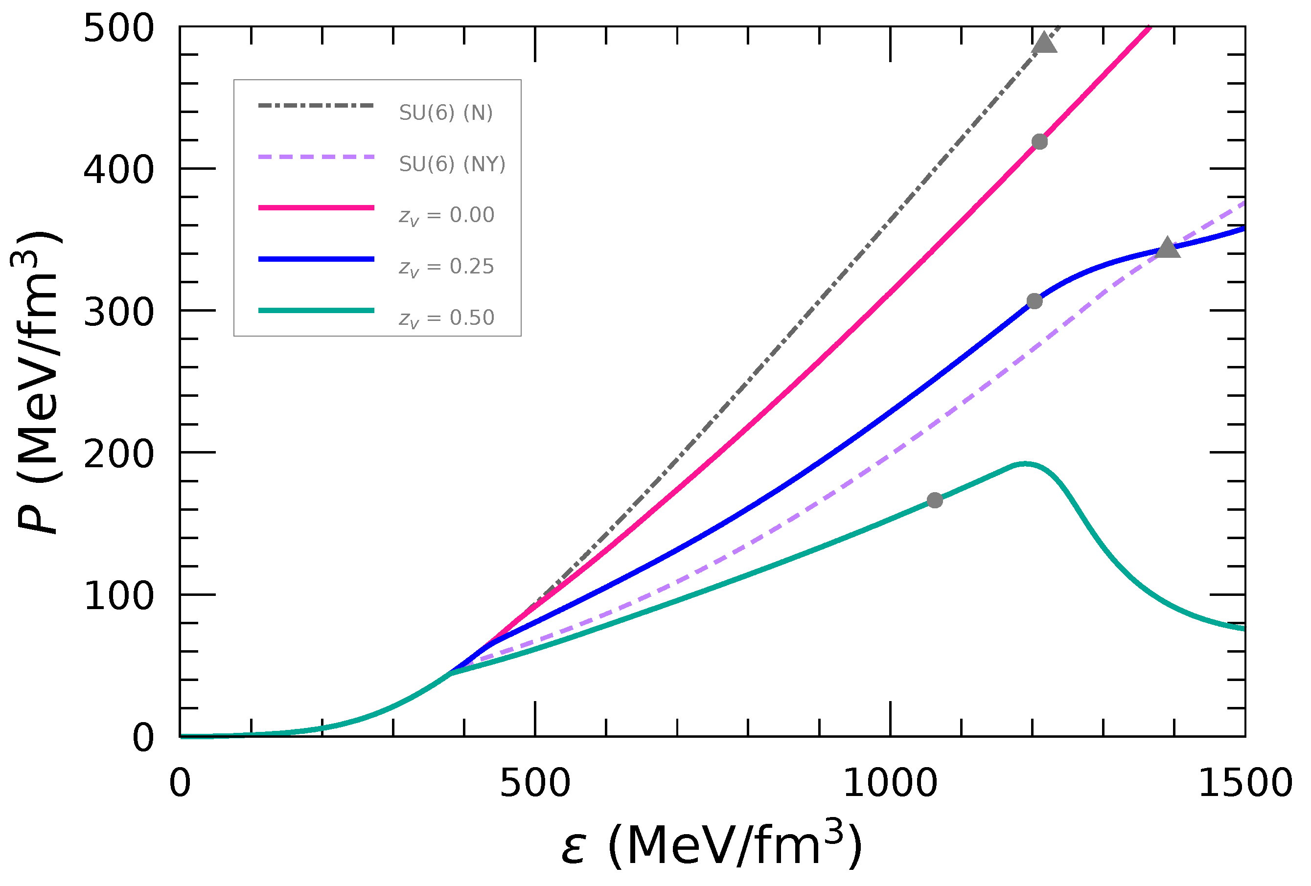
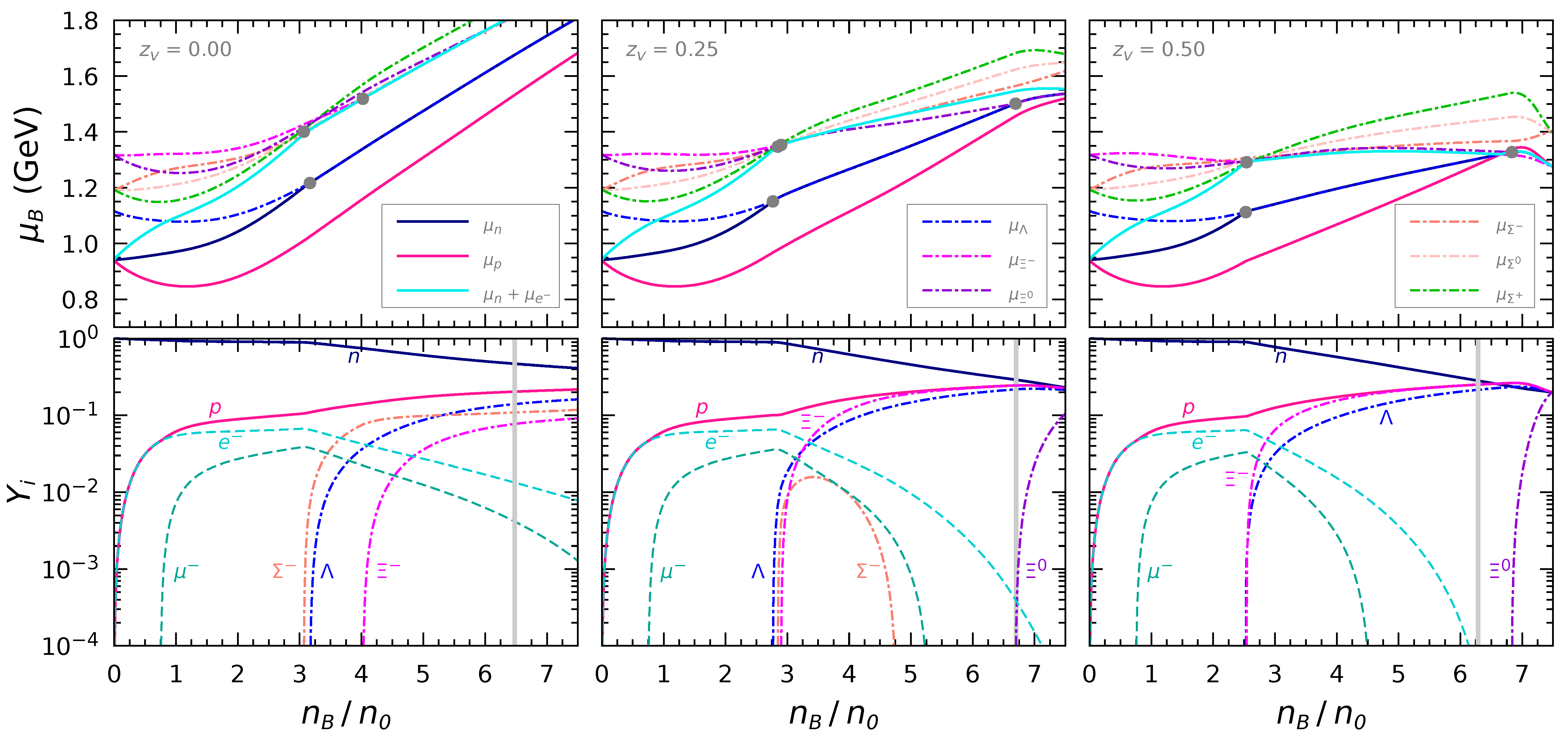
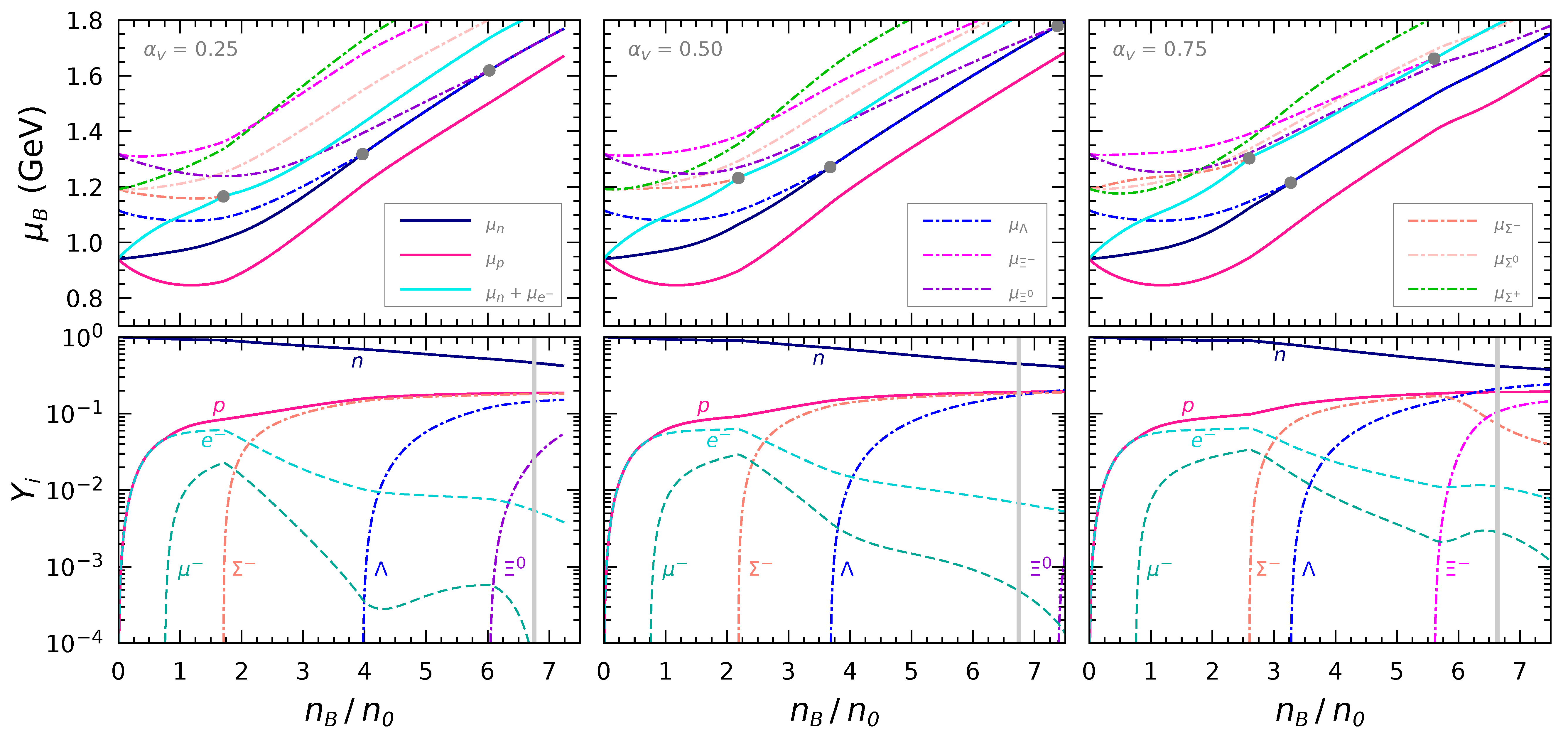
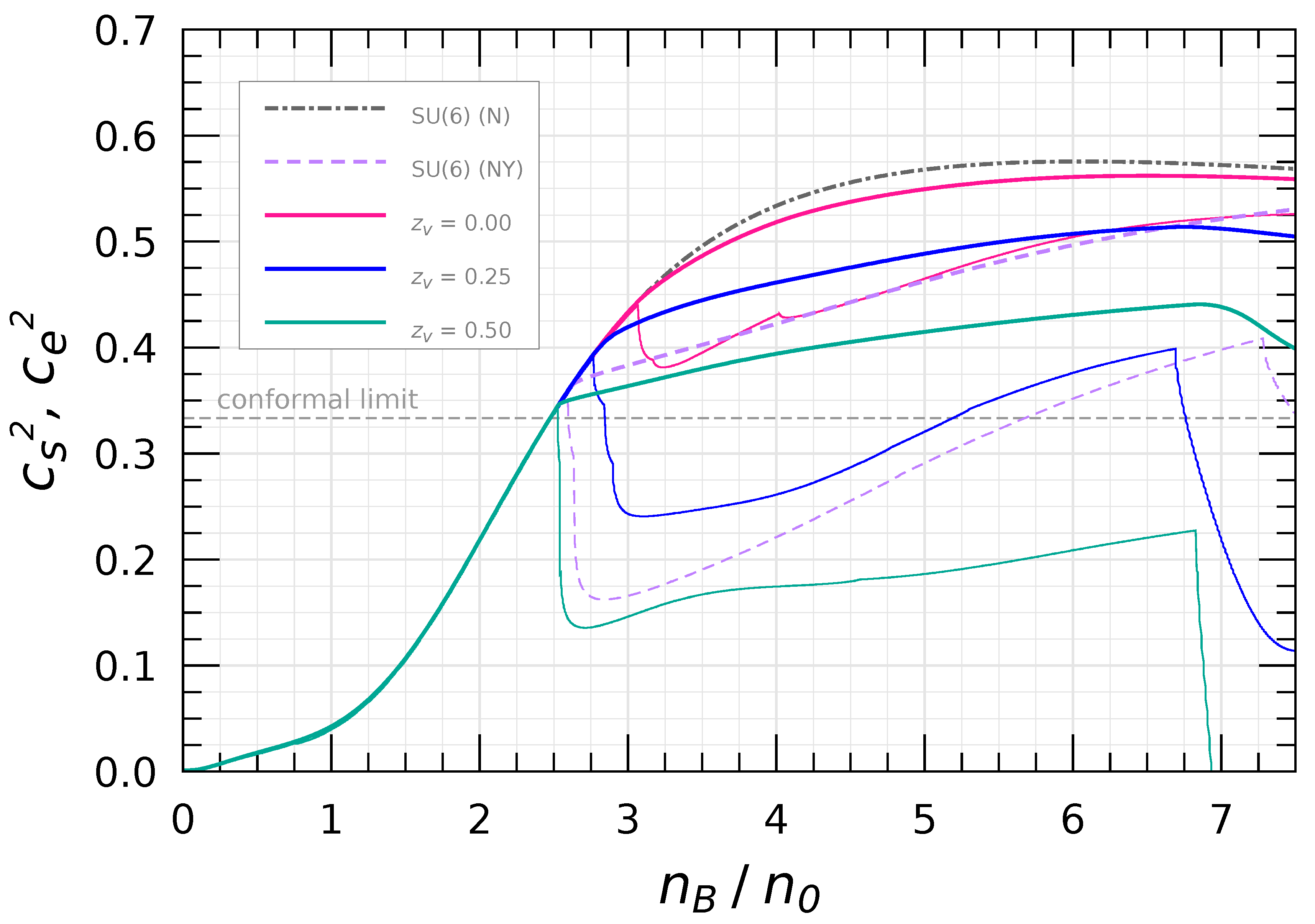
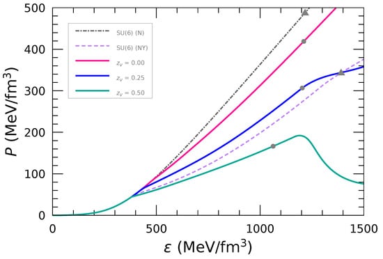
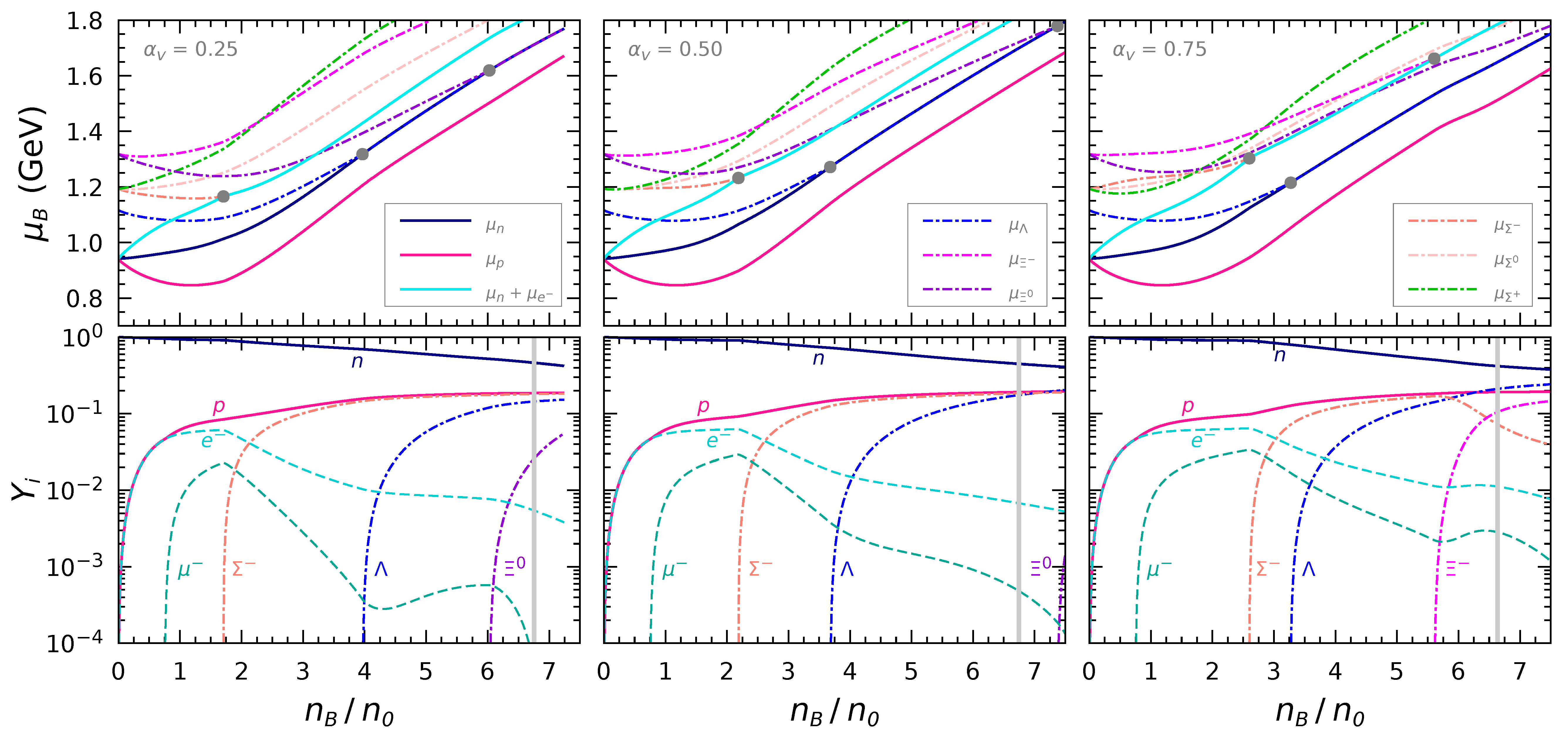
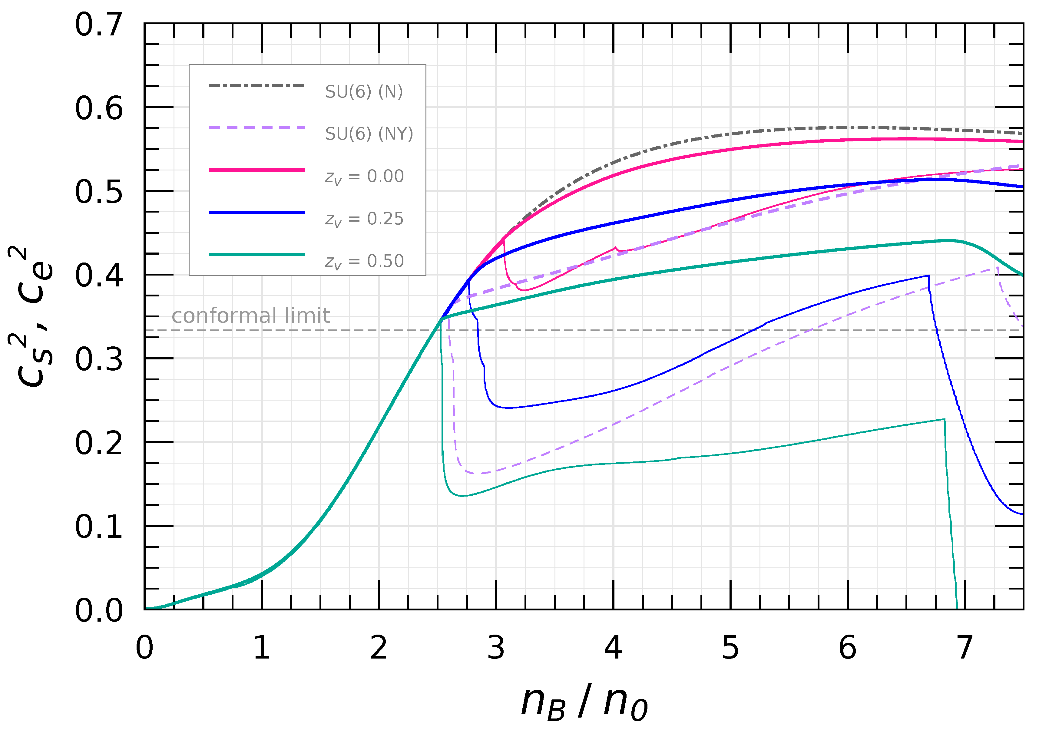
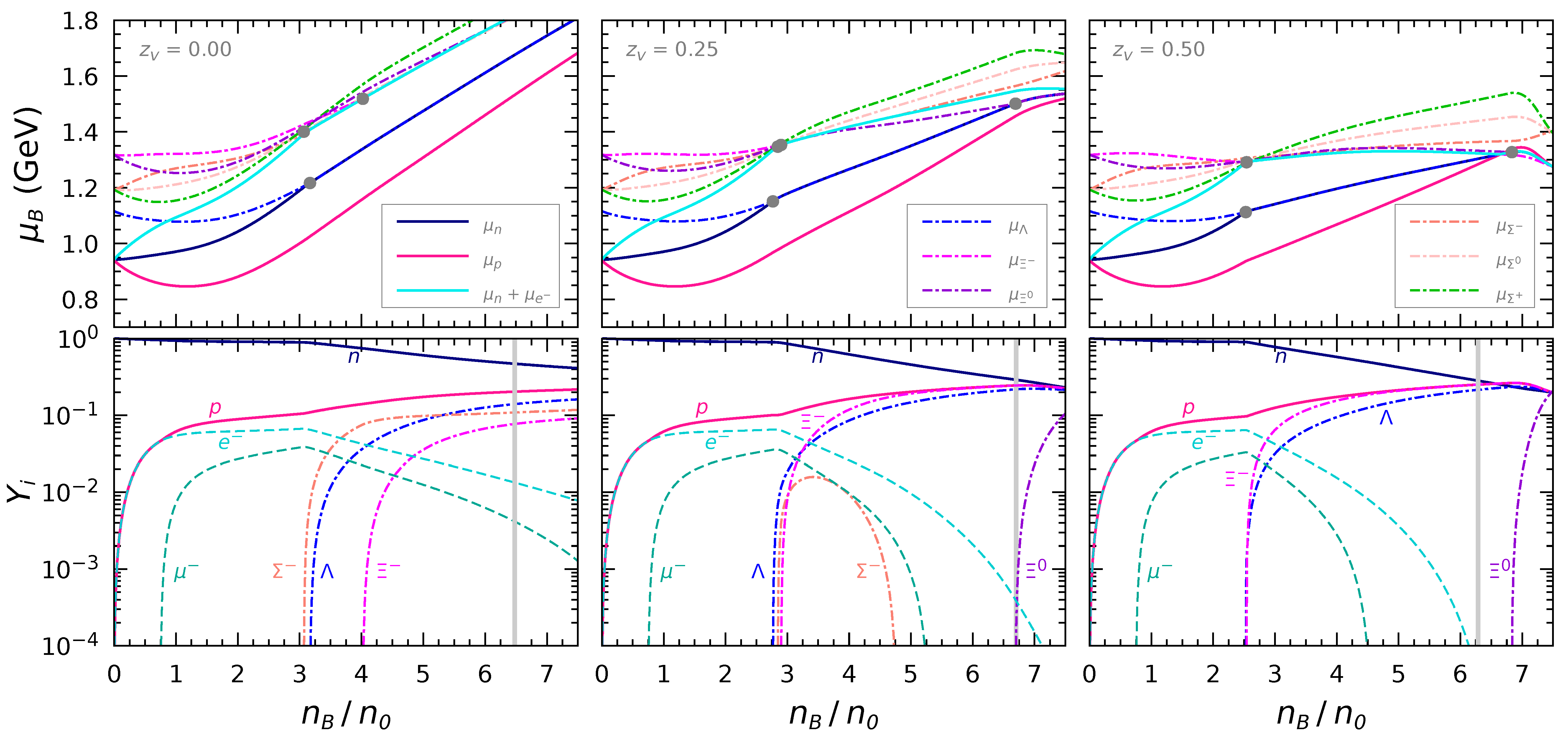
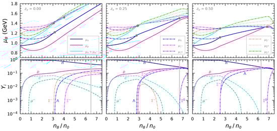
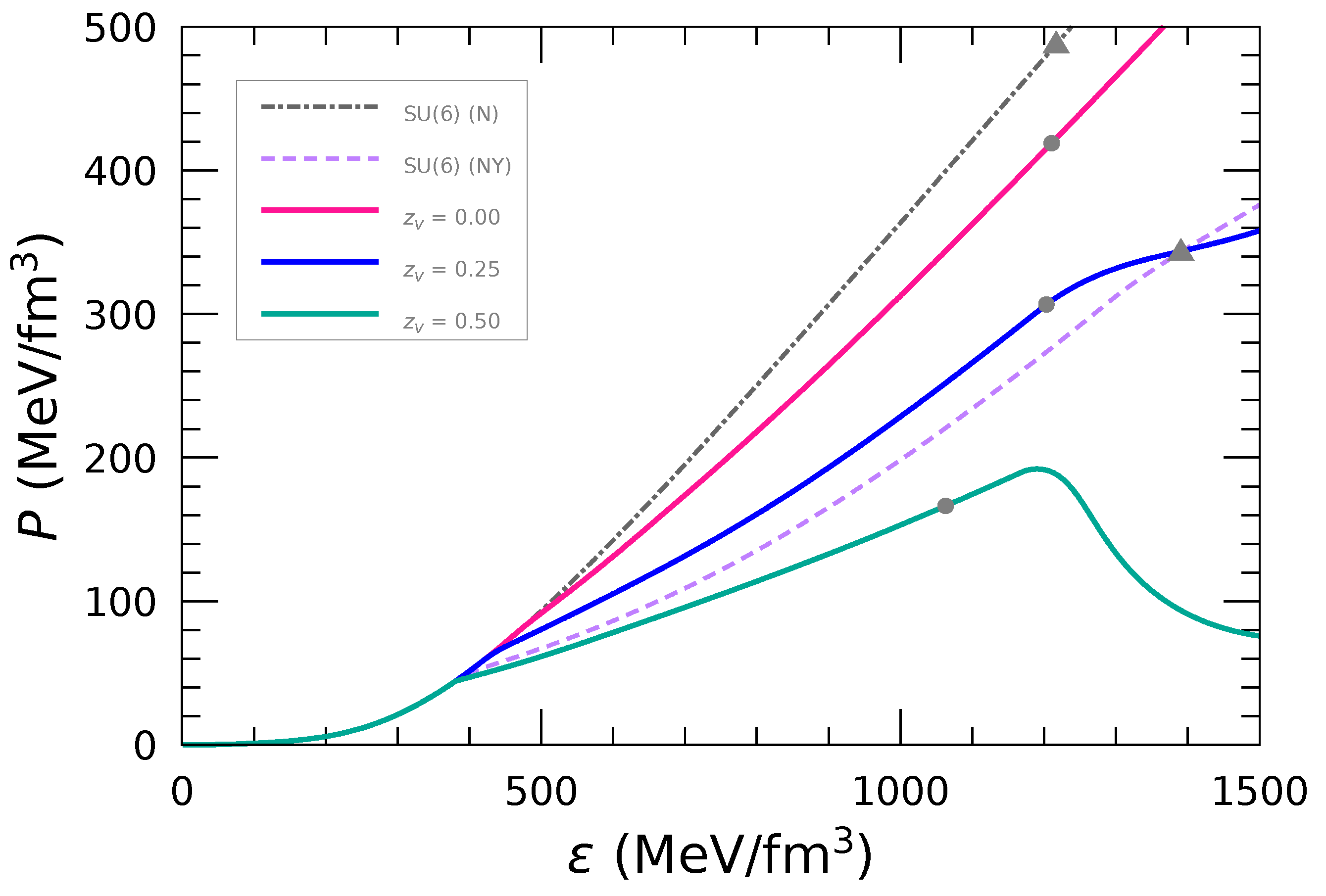
5. Neutron-Star Properties in SU(3) Flavor Symmetry
6. Summary and Conclusions
Author Contributions
Funding
Data Availability Statement
Conflicts of Interest
References
- Vinciguerra, S.; Salmi, T.; Watts, A.L.; Choudhury, D.; Riley, T.E.; Ray, P.S.; Bogdanov, S.; Kini, Y.; Guillot, S.; Chakrabarty, D.; et al. An Updated Mass–Radius Analysis of the 2017–2018 NICER Data Set of PSR J0030+0451. Astrophys. J. 2024, 961, 62. [Google Scholar] [CrossRef]
- Choudhury, D.; Salmi, T.; Vinciguerra, S.; Riley, T.E.; Kini, Y.; Watts, A.L.; Dorsman, B.; Bogdanov, S.; Guillot, S.; Ray, P.S.; et al. A NICER View of the Nearest and Brightest Millisecond Pulsar: PSR J0437–4715. Astrophys. J. Lett. 2024, 971, L20. [Google Scholar] [CrossRef]
- Salmi, T.; Choudhury, D.; Kini, Y.; Riley, T.E.; Vinciguerra, S.; Watts, A.L.; Wolff, M.T.; Arzoumanian, Z.; Bogdanov, S.; Chakrabarty, D.; et al. The Radius of the High-mass Pulsar PSR J0740+6620 with 3.6 yr of NICER Data. Astrophys. J. 2024, 974, 294. [Google Scholar] [CrossRef]
- Salmi, T.; Deneva, J.S.; Ray, P.S.; Watts, A.L.; Choudhury, D.; Kini, Y.; Vinciguerra, S.; Cromartie, H.T.; Wolff, M.T.; Arzoumanian, Z.; et al. A NICER View of PSR J1231–1411: A Complex Case. Astrophys. J. 2024, 976, 58. [Google Scholar] [CrossRef]
- Mauviard, L.; Guillot, S.; Salmi, T.; Choudhury, D.; Dorsman, B.; González-Caniulef, D.; Hoogkamer, M.; Huppenkothen, D.; Kazantsev, C.; Kini, Y.; et al. A NICER view of the 1.4 solar-mass edge-on pulsar PSR J0614–3329. arXiv:2506.14883. [CrossRef]
- Abbott, B.P.; Abbott, R.; Abbott, T.D.; Acernese, F.; Ackley, K.; Adams, C.; Adams, T.; Addesso, P.; Adhikari, R.; Adya, V.B.; et al. GW170817: Observation of Gravitational Waves from a Binary Neutron Star Inspiral. Phys. Rev. Lett. 2017, 119, 161101. [Google Scholar] [CrossRef]
- Abbott, B.P.; Abbott, R.; Abbott, T.D.; Acernese, F.; Ackley, K.; Adams, C.; Adams, T.; Addesso, P.; Adhikari, R.; Adya, V.B.; et al. GW170817: Measurements of neutron star radii and equation of state. Phys. Rev. Lett. 2018, 121, 161101. [Google Scholar] [CrossRef]
- Abbott, B.P.; Abbott, R.; Abbott, T.D.; Acernese, F.; Ackley, K.; Adams, C.; Adams, T.; Addesso, P.; Adhikari, R.; Adya, V.B.; et al. Properties of the binary neutron star merger GW170817. Phys. Rev. X 2019, 9, 011001. [Google Scholar] [CrossRef]
- Demorest, P.; Pennucci, T.; Ransom, S.; Roberts, M.; Hessels, J. Shapiro Delay Measurement of A Two Solar Mass Neutron Star. Nature 2010, 467, 1081–1083. [Google Scholar] [CrossRef]
- Antoniadis, J.; Freire, P.C.; Wex, N.; Tauris, T.M.; Lynch, R.S.; Van Kerkwijk, M.H.; Kramer, M.; Bassa, C.; Dhillon, V.S.; Driebe, T.; et al. A Massive Pulsar in a Compact Relativistic Binary. Science 2013, 340, 6131. [Google Scholar] [CrossRef]
- Arzoumanian, Z.; Brazier, A.; Burke-Spolaor, S.; Chamberlin, S.; Chatterjee, S.; Christy, B.; Cordes, J.M.; Cornish, N.J.; Crawford, F.; Cromartie, H.T.; et al. The NANOGrav 11-year Data Set: High-precision timing of 45 Millisecond Pulsars. Astrophys. J. Suppl. 2018, 235, 37. [Google Scholar] [CrossRef]
- Cromartie, H.T.; Fonseca, E.; Ransom, S.M.; Demorest, P.B.; Arzoumanian, Z.; Blumer, H.; Brook, P.R.; DeCesar, M.E.; Dolch, T.; Ellis, J.A.; et al. Relativistic Shapiro delay measurements of an extremely massive millisecond pulsar. Nature Astron. 2019, 4, 72–76. [Google Scholar] [CrossRef]
- Schulze, H.J.; Polls, A.; Ramos, A.; Vidana, I. Maximum mass of neutron stars. Phys. Rev. C 2006, 73, 058801. [Google Scholar] [CrossRef]
- Vidana, I.; Logoteta, D.; Providencia, C.; Polls, A.; Bombaci, I. Estimation of the effect of hyperonic three-body forces on the maximum mass of neutron stars. Europhys. Lett. 2011, 94, 11002. [Google Scholar] [CrossRef]
- Togashi, H.; Hiyama, E.; Yamamoto, Y.; Takano, M. Equation of state for neutron stars with hyperons by the variational method. Phys. Rev. C 2016, 93, 035808. [Google Scholar] [CrossRef]
- Lonardoni, D.; Lovato, A.; Gandolfi, S.; Pederiva, F. Hyperon Puzzle: Hints from Quantum Monte Carlo Calculations. Phys. Rev. Lett. 2015, 114, 092301. [Google Scholar] [CrossRef]
- Schaffner, J.; Dover, C.B.; Gal, A.; Greiner, C.; Millener, D.J.; Stoecker, H. Multiply strange nuclear systems. Ann. Phys. 1994, 235, 35–76. [Google Scholar] [CrossRef]
- Schaffner, J.; Mishustin, I.N. Hyperon rich matter in neutron stars. Phys. Rev. C 1996, 53, 1416–1429. [Google Scholar] [CrossRef]
- Sulaksono, A.; Agrawal, B.K. Existence of hyperons in the pulsar PSRJ1614-2230. Nucl. Phys. A 2012, 895, 44–58. [Google Scholar] [CrossRef]
- Tu, Z.H.; Zhou, S.G. Effects of the ϕMeson on the Properties of Hyperon Stars in the Density-dependent Relativistic Mean Field Model. Astrophys. J. 2022, 925, 16. [Google Scholar] [CrossRef]
- Tsubakihara, K.; Ohnishi, A. Three-body couplings in RMF and its effects on hyperonic star equation of state. Nucl. Phys. A 2013, 914, 438–443. [Google Scholar] [CrossRef]
- Muto, T.; Maruyama, T.; Tatsumi, T. Effects of three-baryon forces on kaon condensation in hyperon-mixed matter. Phys. Lett. B 2021, 820, 136587. [Google Scholar] [CrossRef]
- Miyatsu, T.; Katayama, T.; Saito, K. Effects of Fock term, tensor coupling and baryon structure variation on a neutron star. Phys. Lett. B 2012, 709, 242–246. [Google Scholar] [CrossRef]
- Katayama, T.; Miyatsu, T.; Saito, K. EoS for massive neutron stars. Astrophys. J. Suppl. 2012, 203, 22. [Google Scholar] [CrossRef]
- Miyatsu, T.; Cheoun, M.K.; Saito, K. Equation of State for Neutron Stars With Hyperons and Quarks in the Relativistic Hartree–fock Approximation. Astrophys. J. 2015, 813, 135. [Google Scholar] [CrossRef]
- Li, J.J.; Long, W.H.; Sedrakian, A. Hypernuclear stars from relativistic Hartree-Fock density functional theory. Eur. Phys. J. A 2018, 54, 133. [Google Scholar] [CrossRef]
- Li, J.J.; Sedrakian, A.; Weber, F. Competition between delta isobars and hyperons and properties of compact stars. Phys. Lett. B 2018, 783, 234–240. [Google Scholar] [CrossRef]
- Sammarruca, F. Effects of Lambda hyperons on the nuclear equation of state in a Dirac-Brueckner-Hartree-Fock model. Phys. Rev. C 2009, 79, 034301. [Google Scholar] [CrossRef]
- Katayama, T.; Saito, K. Properties of dense, asymmetric nuclear matter in Dirac-Brueckner-Hartree-Fock approach. Phys. Rev. C 2013, 88, 035805. [Google Scholar] [CrossRef]
- Katayama, T.; Saito, K. Hyperons in neutron stars. Phys. Lett. B 2015, 747, 43–47. [Google Scholar] [CrossRef]
- Ring, P. Relativistic mean field in finite nuclei. Prog. Part. Nucl. Phys. 1996, 37, 193–263. [Google Scholar] [CrossRef]
- Vretenar, D.; Afanasjev, A.V.; Lalazissis, G.A.; Ring, P. Relativistic Hartree Bogoliubov theory: Static and dynamic aspects of exotic nuclear structure. Phys. Rept. 2005, 409, 101–259. [Google Scholar] [CrossRef]
- Meng, J.; Toki, H.; Zhou, S.G.; Zhang, S.Q.; Long, W.H.; Geng, L.S. Relativistic Continuum Hartree Bogoliubov theory for ground state properties of exotic nuclei. Prog. Part. Nucl. Phys. 2006, 57, 470–563. [Google Scholar] [CrossRef]
- Aoki, Y.; Fodor, Z.; Katz, S.D.; Szabo, K.K. The Equation of state in lattice QCD: With physical quark masses towards the continuum limit. J. High Energy Phys. 2006, 2006, 089. [Google Scholar] [CrossRef]
- Beane, S.R.; Detmold, W.; Orginos, K.; Savage, M.J. Nuclear Physics from Lattice QCD. Prog. Part. Nucl. Phys. 2011, 66, 1–40. [Google Scholar] [CrossRef]
- Kronfeld, A.S. Twenty-first Century Lattice Gauge Theory: Results from the QCD Lagrangian. Ann. Rev. Nucl. Part. Sci. 2012, 62, 265–284. [Google Scholar] [CrossRef]
- Epelbaum, E.; Hammer, H.W.; Meissner, U.G. Modern Theory of Nuclear Forces. Rev. Mod. Phys. 2009, 81, 1773–1825. [Google Scholar] [CrossRef]
- Drischler, C.; Holt, J.W.; Wellenhofer, C. Chiral Effective Field Theory and the High-Density Nuclear Equation of State. Ann. Rev. Nucl. Part. Sci. 2021, 71, 403–432. [Google Scholar] [CrossRef]
- Roberts, C.D.; Williams, A.G. Dyson-Schwinger equations and their application to hadronic physics. Prog. Part. Nucl. Phys. 1994, 33, 477–575. [Google Scholar] [CrossRef]
- Roberts, C.D.; Schmidt, S.M. Dyson-Schwinger equations: Density, temperature and continuum strong QCD. Prog. Part. Nucl. Phys. 2000, 45, S1–S103. [Google Scholar] [CrossRef]
- Klevansky, S.P. The Nambu-Jona-Lasinio model of quantum chromodynamics. Rev. Mod. Phys. 1992, 64, 649–708. [Google Scholar] [CrossRef]
- Hatsuda, T.; Kunihiro, T. QCD phenomenology based on a chiral effective Lagrangian. Phys. Rept. 1994, 247, 221–367. [Google Scholar] [CrossRef]
- Buballa, M. NJL model analysis of quark matter at large density. Phys. Rept. 2005, 407, 205–376. [Google Scholar] [CrossRef]
- Guichon, P.A.M. A Possible Quark Mechanism for the Saturation of Nuclear Matter. Phys. Lett. B 1988, 200, 235–240. [Google Scholar] [CrossRef]
- Saito, K.; Thomas, A.W. A Quark-meson coupling model for nuclear and neutron matter. Phys. Lett. B 1994, 327, 9–16. [Google Scholar] [CrossRef]
- Guichon, P.A.M.; Saito, K.; Rodionov, E.N.; Thomas, A.W. The Role of nucleon structure in finite nuclei. Nucl. Phys. A 1996, 601, 349–379. [Google Scholar] [CrossRef]
- Saito, K.; Tsushima, K.; Thomas, A.W. Nucleon and hadron structure changes in the nuclear medium and impact on observables. Prog. Part. Nucl. Phys. 2007, 58, 1–167. [Google Scholar] [CrossRef]
- Nagai, S.; Miyatsu, T.; Saito, K.; Tsushima, K. Quark-meson coupling model with the cloudy bag. Phys. Lett. B 2008, 666, 239–244. [Google Scholar] [CrossRef]
- Fujimoto, Y.; Kojo, T.; McLerran, L.D. Momentum Shell in Quarkyonic Matter from Explicit Duality: A Dual Model for Cold, Dense QCD. Phys. Rev. Lett. 2024, 132, 112701. [Google Scholar] [CrossRef]
- Fujimoto, Y.; Kojo, T.; McLerran, L. Quarkyonic matter pieces together the hyperon puzzle. arXiv:2410.22758. [CrossRef]
- Kojo, T. Stiffening of matter in quark–hadron continuity: A mini-review. J. Subat. Part. Cosmol. 2025, 4, 100088. [Google Scholar] [CrossRef]
- Weissenborn, S.; Chatterjee, D.; Schaffner-Bielich, J. Hyperons and massive neutron stars: Vector repulsion and SU(3) symmetry. Phys. Rev. C 2012, 85, 065802, Erratum in Phys. Rev. C 2014, 90, 019904. [Google Scholar] [CrossRef]
- Miyatsu, T.; Cheoun, M.K.; Saito, K. Equation of state for neutron stars in SU(3) flavor symmetry. Phys. Rev. C 2013, 88, 015802. [Google Scholar] [CrossRef]
- Lopes, L.L.; Menezes, D.P. Hypernuclear matter in a complete SU(3) symmetry group. Phys. Rev. C 2014, 89, 025805. [Google Scholar] [CrossRef]
- Oertel, M.; Providência, C.; Gulminelli, F.; Raduta, A.R. Hyperons in neutron star matter within relativistic mean-field models. J. Phys. G 2015, 42, 075202. [Google Scholar] [CrossRef]
- Spinella, W.M.; Weber, F. Hyperonic Neutron Star Matter in Light of GW170817. Astron. Nachr. 2019, 340, 145–150. [Google Scholar] [CrossRef]
- Fu, H.R.; Li, J.J.; Sedrakian, A.; Weber, F. Massive relativistic compact stars from SU(3) symmetric quark models. Phys. Lett. B 2022, 834, 137470. [Google Scholar] [CrossRef]
- Lopes, L.L.; Marquez, K.D.; Menezes, D.P. Baryon coupling scheme in a unified SU(3) and SU(6) symmetry formalism. Phys. Rev. D 2023, 107, 036011. [Google Scholar] [CrossRef]
- Danielewicz, P.; Lacey, R.; Lynch, W.G. Determination of the equation of state of dense matter. Science 2002, 298, 1592–1596. [Google Scholar] [CrossRef]
- Fuchs, C. Kaon production in heavy ion reactions at intermediate energies. Prog. Part. Nucl. Phys. 2006, 56, 1–103. [Google Scholar] [CrossRef]
- Lynch, W.G.; Tsang, M.B.; Zhang, Y.; Danielewicz, P.; Famiano, M.; Li, Z.; Steiner, A.W. Probing the Symmetry Energy with Heavy Ions. Prog. Part. Nucl. Phys. 2009, 62, 427. [Google Scholar] [CrossRef]
- Choi, S.; Miyatsu, T.; Cheoun, M.K.; Saito, K. Constraints on Nuclear Saturation Properties from Terrestrial Experiments and Astrophysical Observations of Neutron Stars. Astrophys. J. 2021, 909, 156. [Google Scholar] [CrossRef]
- Li, S.; Pang, J.; Shen, H.; Hu, J.; Sumiyoshi, K. Influence of Effective Nucleon Mass on Equation of State for Supernova Simulations and Neutron Stars. Astrophys. J. 2025, 980, 54. [Google Scholar] [CrossRef]
- Huang, C. Model-independent Determination of the Tidal Deformability of a 1.4 M⊙ Neutron Star from Gravitational-wave Measurements. Astrophys. J. 2025, 985, 216. [Google Scholar] [CrossRef]
- Serot, B.D.; Walecka, J.D. The Relativistic Nuclear Many Body Problem. Adv. Nucl. Phys. 1986, 16, 1–327. [Google Scholar]
- Miyatsu, T.; Cheoun, M.K.; Kim, K.; Saito, K. Can the PREX-2 and CREX results be understood by relativistic mean-field models with the astrophysical constraints? Phys. Lett. B 2023, 843, 138013. [Google Scholar] [CrossRef]
- Miyatsu, T.; Cheoun, M.K.; Kim, K.; Saito, K. Novel features of asymmetric nuclear matter from terrestrial experiments and astrophysical observations of neutron stars. Front. Phys. 2024, 12, 1531475. [Google Scholar] [CrossRef]
- Boguta, J.; Bodmer, A.R. Relativistic Calculation of Nuclear Matter and the Nuclear Surface. Nucl. Phys. A 1977, 292, 413–428. [Google Scholar] [CrossRef]
- Lalazissis, G.A.; Konig, J.; Ring, P. A New parametrization for the Lagrangian density of relativistic mean field theory. Phys. Rev. C 1997, 55, 540–543. [Google Scholar] [CrossRef]
- Sugahara, Y.; Toki, H. Relativistic mean field theory for unstable nuclei with nonlinear sigma and omega terms. Nucl. Phys. A 1994, 579, 557–572. [Google Scholar] [CrossRef]
- Mueller, H.; Serot, B.D. Relativistic mean field theory and the high density nuclear equation of state. Nucl. Phys. A 1996, 606, 508–537. [Google Scholar] [CrossRef]
- Todd-Rutel, B.G.; Piekarewicz, J. Neutron-Rich Nuclei and Neutron Stars: A New Accurately Calibrated Interaction for the Study of Neutron-Rich Matter. Phys. Rev. Lett. 2005, 95, 122501. [Google Scholar] [CrossRef] [PubMed]
- Pradhan, B.K.; Chatterjee, D.; Gandhi, R.; Schaffner-Bielich, J. Role of vector self-interaction in neutron star properties. Nucl. Phys. A 2023, 1030, 122578. [Google Scholar] [CrossRef]
- Malik, T.; Dexheimer, V.; Providência, C. Astrophysics and nuclear physics informed interactions in dense matter: Inclusion of PSR J0437-4715. Phys. Rev. D 2024, 110, 043042. [Google Scholar] [CrossRef]
- Wadhwa, M.; Kumari, M.; Kumar, A. Strange quark stars in modified vector MIT bag model: Role of ρ and ϕ mesons. Phys. Lett. B 2025, 868, 139707. [Google Scholar] [CrossRef]
- de Swart, J.J. The Octet model and its Clebsch-Gordan coefficients. Rev. Mod. Phys. 1963, 35, 916–939, Erratum in Rev. Mod. Phys. 1965, 37, 326. [Google Scholar] [CrossRef]
- Lichtenberg, D.B. Unitary Symmetry and Elementary Particles; Academic Press, Inc.: Cambridge, MA, USA, 1978; Available online: https://www.sciencedirect.com/book/9780124484603/unitary-symmetry-and-elementary-particles (accessed on 28 October 2025).
- Lopes, L.L. A closer look at the Yukawa interaction from a symmetry group perspective. Prog. Theor. Exp. Phys. 2023, 2023, 113D01, Erratum in Prog. Theor. Exp. Phys. 2024, 2024, 019201. [Google Scholar] [CrossRef]
- van Dalen, E.N.E.; Fuchs, C.; Faessler, A. Dirac-Brueckner-Hartree-Fock calculations for isospin asymmetric nuclear matter based on improved approximation schemes. Eur. Phys. J. A 2007, 31, 29–42. [Google Scholar] [CrossRef]
- Miyatsu, T.; Cheoun, M.K.; Saito, K. Asymmetric Nuclear Matter in Relativistic Mean-field Models with Isoscalar- and Isovector-meson Mixing. Astrophys. J. 2022, 929, 82. [Google Scholar] [CrossRef]
- Wang, M.; Huang, W.J.; Kondev, F.G.; Audi, G.; Naimi, S. The AME 2020 atomic mass evaluation (II). Tables, graphs and references. Chin. Phys. C 2021, 45, 030003. [Google Scholar] [CrossRef]
- Angeli, I.; Marinova, K.P. Table of experimental nuclear ground state charge radii: An update. Atom. Data Nucl. Data Tabl. 2013, 99, 69–95. [Google Scholar] [CrossRef]
- Adhikari, D.; Albataineh, H.; Androic, D.; Aniol, K.; Armstrong, D.S.; Averett, T.; Gayoso, C.A.; Barcus, S.; Bellini, V.; Beminiwattha, R.; et al. Accurate Determination of the Neutron Skin Thickness of 208Pb through Parity-Violation in Electron Scattering. Phys. Rev. Lett. 2021, 126, 172502. [Google Scholar] [CrossRef]
- Adhikari, D.; Albataineh, H.; Androic, D.; Aniol, K.A.; Armstrong, D.S.; Averett, T.; Gayoso, C.A.; Barcus, S.; Bellini, V.; Beminiwattha, R.; et al. Precision Determination of the Neutral Weak Form Factor of Ca48. Phys. Rev. Lett. 2022, 129, 042501. [Google Scholar] [CrossRef] [PubMed]
- Navas, S.; Amsler, C.; Gutsche, T.; Hanhart, C.; Hernández-Rey, J.J.; Lourenço, C.; Masoni, A.; Mikhasenko, M.; Mitchell, R.E.; Patrignani, C.; et al. Review of particle physics. Phys. Rev. D 2024, 110, 030001. [Google Scholar] [CrossRef]
- Jaminon, M.; Mahaux, C.; Rochus, P. Single Particle Potential in a Relativistic Hartree-Fock Mean Field Approximation. Nucl. Phys. A 1981, 365, 371–391. [Google Scholar] [CrossRef]
- Chen, L.W.; Ko, C.M.; Li, B.A. Isospin-dependent properties of asymmetric nuclear matter in relativistic mean-field models. Phys. Rev. C 2007, 76, 054316. [Google Scholar] [CrossRef]
- Batty, C.J.; Friedman, E.; Gal, A. Strong interaction physics from hadronic atoms. Phys. Rept. 1997, 287, 385–445. [Google Scholar] [CrossRef]
- Kohno, M.; Fujiwara, Y.; Watanabe, Y.; Ogata, K.; Kawai, M. Strength of the Sigma single-particle potential in nuclei from semiclassical distorted wave model analysis of (pi-,k+) inclusive spectrum. Prog. Theor. Phys. 2004, 112, 895–900. [Google Scholar] [CrossRef]
- Friedman, E.; Gal, A. In-medium nuclear interactions of low-energy hadrons. Phys. Rept. 2007, 452, 89–153. [Google Scholar] [CrossRef]
- Friedman, E.; Gal, A. Constraints from Λ hypernuclei on the ΛNN content of the Λ-nucleus potential. Phys. Lett. B 2023, 837, 137669. [Google Scholar] [CrossRef]
- Friedman, E.; Gal, A. Λ hypernuclear potentials beyond linear density dependence. Nucl. Phys. A 2023, 1039, 122725. [Google Scholar] [CrossRef]
- Friedman, E.; Gal, A. ΛNNΛNN input to neutron stars from hypernuclear data. PoS 2025, EXA-LEAP2024, 060. [Google Scholar] [CrossRef]
- Friedman, E.; Gal, A. Compatibility of recent Ξ-nuclear bound state signals. Phys. Lett. B 2025, 868, 139728. [Google Scholar] [CrossRef]
- Takahashi, H.; Ahn, J.K.; Akikawa, H.; Aoki, S.; Arai, K.; Bahk, S.Y.; Baik, K.M.; Bassalleck, B.; Chung, J.H.; Chung, M.S.; et al. Observation of a (Lambda Lambda)He-6 double hypernucleus. Phys. Rev. Lett. 2001, 87, 212502. [Google Scholar] [CrossRef] [PubMed]
- Inoue, T. Strange Nuclear Physics from QCD on Lattice. AIP Conf. Proc. 2019, 2130, 020002. [Google Scholar] [CrossRef]
- Inoue, T. Hyperon Forces from QCD and Their Applications. JPS Conf. Proc. 2019, 26, 023018. [Google Scholar] [CrossRef]
- Inoue, T. Baryon Interactions from QCD on Lattice. Few Body Syst. 2021, 62, 106. [Google Scholar] [CrossRef]
- Miyatsu, T.; Yamamuro, S.; Nakazato, K. A new equation of state for neutron star matter with nuclei in the crust and hyperons in the core. Astrophys. J. 2013, 777, 4. [Google Scholar] [CrossRef]
- Rijken, T.A.; Nagels, M.M.; Yamamoto, Y. Baryon-baryon interactions: Nijmegen extended-soft-core models. Prog. Theor. Phys. Suppl. 2010, 185, 14–71. [Google Scholar] [CrossRef]
- Jaikumar, P.; Semposki, A.; Prakash, M.; Constantinou, C. g-mode oscillations in hybrid stars: A tale of two sounds. Phys. Rev. D 2021, 103, 123009. [Google Scholar] [CrossRef]
- Aguirre, R.M. Hyperons, deconfinement, and the speed of sound in neutron stars. Phys. Rev. D 2022, 105, 116023. [Google Scholar] [CrossRef]
- Tran, V.; Ghosh, S.; Lozano, N.; Chatterjee, D.; Jaikumar, P. g-mode oscillations in neutron stars with hyperons. Phys. Rev. C 2023, 108, 015803. [Google Scholar] [CrossRef]
- Motta, T.F.; Guichon, P.A.M.; Thomas, A.W. On the sound speed in hyperonic stars. Nucl. Phys. A 2021, 1009, 122157. [Google Scholar] [CrossRef]
- Ye, J.T.; Wang, R.; Wang, S.P.; Chen, L.W. High-density Symmetry Energy: A Key to the Solution of the Hyperon Puzzle. Astrophys. J. 2025, 985, 238. [Google Scholar] [CrossRef]
- Bedaque, P.; Steiner, A.W. Sound velocity bound and neutron stars. Phys. Rev. Lett. 2015, 114, 031103. [Google Scholar] [CrossRef]







| Nucleus | (MeV) | (fm) | (fm) | ||
|---|---|---|---|---|---|
| Theory | Exp. | Theory | Exp. | ||
| 16O | 7.98 | 7.98 | 2.74 | 2.70 | |
| 40Ca | 8.55 | 8.55 | 3.47 | 3.48 | |
| 48Ca | 8.48 | 8.67 | 3.50 | 3.48 | 0.20 |
| 68Ni | 8.61 | 8.68 | 3.90 | 3.89 | 0.21 |
| 90Zr | 8.62 | 8.71 | 4.29 | 4.27 | 0.09 |
| 132Sn | 8.37 | 8.35 | 4.74 | 4.71 | 0.28 |
| 208Pb | 7.86 | 7.87 | 5.54 | 5.50 | 0.21 |
| Sym. | Case | ||||||||||||
|---|---|---|---|---|---|---|---|---|---|---|---|---|---|
| SU(6) | 8.36 | 10.77 | 6.71 | 7.45 | — | 11.89 | 10.00 | — | 241.06 | — | |||
| SU(3) | A | 8.36 | 9.46 | 6.71 | 7.45 | 11.89 | 12.97 | 125.85 | 241.10 | 408.76 | |||
| 8.36 | 10.63 | 6.71 | 7.45 | 11.89 | 10.27 | 1096.49 | 241.07 | 408.02 | |||||
| 8.36 | 10.74 | 6.71 | 7.45 | 1.06 | 11.89 | 10.06 | 4637.76 | 241.06 | 407.25 | ||||
| B | 8.36 | 9.36 | 6.71 | 7.45 | 11.89 | 13.24 | 117.40 | 241.10 | 408.76 | ||||
| 8.36 | 9.74 | 6.71 | 7.45 | 11.89 | 12.25 | 156.82 | 241.10 | 408.66 | |||||
| 8.36 | 10.05 | 6.71 | 7.45 | 11.89 | 11.50 | 220.33 | 241.09 | 408.61 |
| Sym. | Case | |||||||
|---|---|---|---|---|---|---|---|---|
| SU(6) | 5.12 | 3.41 | 2.77 | 7.07 | ||||
| SU(3) | A | 7.27 | 5.55 | 7.06 | 5.88 | — a | — a | |
| 6.05 | 4.34 | 4.64 | 6.55 | |||||
| 4.64 | 2.92 | 1.80 | 7.45 | |||||
| B | 7.07 | 5.75 | 6.87 | — a | — a | |||
| 6.94 | 5.55 | 6.58 | — a | — a | ||||
| 6.79 | 5.27 | 6.20 | 5.13 | — a | — a |
Disclaimer/Publisher’s Note: The statements, opinions and data contained in all publications are solely those of the individual author(s) and contributor(s) and not of MDPI and/or the editor(s). MDPI and/or the editor(s) disclaim responsibility for any injury to people or property resulting from any ideas, methods, instructions or products referred to in the content. |
© 2025 by the authors. Licensee MDPI, Basel, Switzerland. This article is an open access article distributed under the terms and conditions of the Creative Commons Attribution (CC BY) license (https://creativecommons.org/licenses/by/4.0/).
Share and Cite
Miyatsu, T.; Cheoun, M.-K.; Kim, K.; Saito, K. Equation of State for Hyperonic Neutron-Star Matter in SU(3) Flavor Symmetry. Symmetry 2025, 17, 1872. https://doi.org/10.3390/sym17111872
Miyatsu T, Cheoun M-K, Kim K, Saito K. Equation of State for Hyperonic Neutron-Star Matter in SU(3) Flavor Symmetry. Symmetry. 2025; 17(11):1872. https://doi.org/10.3390/sym17111872
Chicago/Turabian StyleMiyatsu, Tsuyoshi, Myung-Ki Cheoun, Kyungsik Kim, and Koichi Saito. 2025. "Equation of State for Hyperonic Neutron-Star Matter in SU(3) Flavor Symmetry" Symmetry 17, no. 11: 1872. https://doi.org/10.3390/sym17111872
APA StyleMiyatsu, T., Cheoun, M.-K., Kim, K., & Saito, K. (2025). Equation of State for Hyperonic Neutron-Star Matter in SU(3) Flavor Symmetry. Symmetry, 17(11), 1872. https://doi.org/10.3390/sym17111872

