You are currently viewing a new version of our website. To view the old version click .
Symmetry
  • Feature Paper
  • Article
  • Open Access

28 September 2025

Hp-Adaptive Dynamic Trust Region Sequential Convex Programming: An Enhanced Strategy for Trajectory Optimization

,
,
,
and
College of Mechanical Engineering, Nanjing University of Science and Technology, Nanjing 210094, China
*
Author to whom correspondence should be addressed.
This article belongs to the Section Engineering and Materials

Abstract

Under stringent flight constraint conditions, trajectory optimization of Hypersonic Vehicles (HV) is crucial for guidance. Therefore, this paper proposes an hp-adaptive dynamic trust region SCP method to address the problems of initial value sensitivity and low computational efficiency that arise in traditional Sequential Convex Programming (SCP) methods during HV trajectory optimization. First, the discrete symmetry principle is utilized to simplify the boundary conditions and constraint handling of the trajectory model while combining scale transformation invariance to achieve nondimensionalization of the model’s physical quantities, thereby constructing the trajectory optimization model. On this basis, the hp-adaptive method is adopted to dynamically adjust the discretization step size and polynomial approximation order, and combined with an adaptive adjustment strategy for the trust region radius, to improve computational efficiency while ensuring optimization accuracy. Finally, the effectiveness of the algorithm is validated through optimizing the gliding phase of HV, and compared with GPOPS-II and fixed trust region SCP methods. The experimental results show that the algorithm has superiority in improving convergence speed, computational efficiency and solution accuracy, with its performance significantly outperforming traditional trajectory optimization schemes.

1. Introduction

Trajectory planning is one of the core problems for all unmanned vehicles to accomplish motion tasks. In mathematical theory, it is an optimal control problem that seeks a set of continuous control inputs to transfer state variables from initial states to desired terminal states while satisfying various constraint conditions during the transition process [1,2,3,4]. The trajectory planning problem urgently needs to be addressed in hypersonic vehicles (HV), which are the latest research direction. Unlike conventional vehicles, hypersonic vehicles are characterized by high flight altitude, high flight speed, strong maneuverability, and high lift-to-drag ratio. The glide phase they operate in is the stage with the longest time duration, largest range span, and most complex flight environment throughout the entire flight process [5,6]. Therefore, researching effective and superior trajectory planning methods determines whether the vehicle can efficiently meet flight performance requirements under various stringent constraint conditions.
In recent years, researchers have designed numerous trajectory planning methods for different research objects. Indirect methods cannot be directly applied to trajectory generation due to their poor adaptability to different solution problems [7]. In contrast, direct methods transform continuous problems into finite nonlinear programming problems through discretization and approximate the discrete convergent solution as the solution to the original problem [8,9,10]. Common direct methods include pseudospectral methods [11,12,13] and convex optimization [14,15,16,17]. In recent years, convex optimization has been widely applied in the aerospace field due to its mature theory and high computational efficiency. Liu [18] et al. first applied convex optimization methods to solve hypersonic vehicle reentry trajectory planning problems, proving that the mechanism of convex optimization methods is effective in solving trajectory planning problems under complex constraint conditions. Zhou [19] et al. improved traditional convex optimization methods, proposing bank angle as the optimization variable and using sequential convex optimization methods for solution, demonstrating that the convergent solution of sequential convex optimization methods is equivalent to the local optimal solution of the original problem.
Although convex optimization methods can effectively solve typical planning problems such as reentry trajectory planning and glide phase planning under performance constraints, traditional convex optimization methods still face limitations of initial value sensitivity and low optimization efficiency under multiple constraint conditions. Zhang [20] et al. proposed a sequential convex optimization method based on piecewise trust region constraints for glide phase trajectory planning problems, and simulations showed that this method can improve the convergence of sequential convex optimization methods. Benedikter [21] et al. proposed a step-by-step strategy sequential convex optimization method, designing a three-step continuous strategy that uses the first two steps to simplify subproblems and provides better initial solutions for the third step’s original optimal control problem. Simulations showed that this method effectively reduces solution process sensitivity. Zhang [22] et al. proposed a sequential convex optimization method based on general approximation functions for the trajectory optimization problem of the ascent phase of powered gliding vehicles, effectively solving the problem of low computational efficiency of the algorithm. Chen [23] et al. proposed an improved reachability analysis and convex optimization method and applied it to spacecraft planetary landing trajectory optimization. Ref. [24] proposed a sequential convex optimization method with adaptive grid updating, reducing the number of iterations during the algorithm’s computational process and improving computational efficiency. Zhang [25] et al. proposed a pseudospectral–convex optimization method, enhancing the algorithm’s computational capability in powered descent applications. Although the problems of traditional convex optimization methods have been partially resolved, there are still deficiencies. Although Refs. [26,27,28] introduced optimization strategies to improve convex optimization methods, they still cannot guarantee convergence accuracy when considering more constraints or when initial value settings deviate too much. Similarly, Refs. [29,30,31] effectively utilized different methods to adaptively update the trust region radius and the number of solution grids to achieve better solution accuracy and computational efficiency, but these methods were all set before iteration. Methods for adaptively adjusting trust regions and grids during the iteration process are still lacking [32].
In summary, this paper proposes a novel Sequential Convex Programming (SCP) method based on hp-adaptive dynamic trust regions for solving trajectory optimization problems. The hp-adaptive dynamic trust region framework proposed in this paper is fundamentally different from the aforementioned methods. The innovation of this method does not lie in the simple superposition of two strategies, but in the introduction of a collaborative decision-making mechanism. In each iteration of sequential convex optimization, this mechanism synchronously and automatically decides whether to adjust the trust region size (h), adjust the grid resolution and local approximation order (p), or regulate both simultaneously, based on the approximation error and convergence state of the current solution. This synergy overcomes the inherent limitations of single-dimensional adaptation: it not only avoids the slow convergence problem of pure h-type methods caused by excessive contraction of the trust region in strongly nonlinear regions, but also solves the defect that pure p-type methods may fail to globally guarantee the reliability of convex approximations. Ultimately, this framework achieves the simultaneous improvement of computational efficiency and solution accuracy without sacrificing theoretical convergence guarantees, reduces the reliance on initial grid design and manual parameter tuning, and represents a more automated and intelligent solution for hypersonic trajectory optimization problems.
In this paper, the highly dynamic and strictly constrained HV glide phase is selected as the optimization object. First, the discrete symmetry principle is used to simplify the boundary conditions and constraint handling of the HV glide phase trajectory model, and scale transformation invariance is used to achieve dimensionless treatment of model physical quantities. On this basis, the sequential convexification principle is used to linearize nonlinear optimal control problems, and virtual control inputs are introduced to solve artificial infeasibility problems in the linearization process, constructing convex optimization subproblem models. Then, the hp-adaptive method is employed to dynamically adjust discretization step size and polynomial approximation order based on solution local smoothness and error distribution, combined with adaptive adjustment strategies for local trust region radius. Using error indicator-driven mesh refinement and coarsening mechanisms as well as trust region ratio-based radius update rules, dynamic balance between computational accuracy and efficiency is achieved. Through a global error balancing mechanism, coordination between different subintervals is ensured, guaranteeing high-precision approximation in regions where solutions change dramatically while reducing computational costs in regions where solutions change gradually. Numerical simulations demonstrate that the proposed method reduces computational time for solving the original problem while ensuring convergence speed, constraint violation control, and feasibility of convergent solutions. The main contributions of this paper are as follows:
  • Compared to traditional SCP in existing literature, this paper proposes an improved SCP method based on hp-adaptive dynamic trust region adjustment. This method overcomes the limitations of traditional approaches that employ fixed discretization step sizes and uniform polynomial orders.
  • In contrast to the globally uniform trust region strategy commonly adopted in existing SCP, this paper constructs a locally adaptive trust region adjustment mechanism that cooperates with the hp-adaptive method. By configuring independent trust region radii for each time subinterval and dynamically adjusting constraint widths according to local dynamic characteristics and linearization errors, it effectively avoids the problems of excessive conservatism or constraint failure caused by globally uniform radii. Through establishing trust region adjustment criteria based on the ratio of actual descent to predicted descent, combined with the coupling effects of hp-adaptive parameter variations, it achieves collaborative optimization between trust region radius and numerical strategy.
  • A posterior error estimation mechanism is designed and integrated with the hp-adaptive strategy and dynamic trust region adjustment into a unified SCP framework. The method handles linearization infeasibility by introducing virtual control inputs and dynamically selects optimal numerical strategies by combining local error indicators and smoothness indicators, thereby effectively suppressing the problems of linearization error accumulation and constraint violations in traditional methods. Under the condition of establishing a global error balance mechanism, it ensures coordination between time subintervals and overall consistency of the solution.
The content arrangement of each section in this paper is as follows: Section 2 describes the HV dynamics model, constraints, and original problem; Section 3 introduces the solution process of the SCP based on hp-adaptive dynamic trust region; Section 4 verifies the effectiveness of the proposed method through numerical results; and finally, Section 5 summarizes the research work.

2. Problem Statement

Section 2.1 describes the HV dynamics model with time as the independent variable, Section 2.2 proposes the existing constraints in the trajectory optimization segment and the objective function for solving the planning problem. In Section 2.3, the original trajectory planning problem is elaborated using the bank angle rate as the control variable.

2.1. Aircraft Dynamics Model

In this subsection, to facilitate the handling of constraints in the trajectory optimization process, a flight dynamics model with time as the independent variable is established. Figure 1 describes the flight process of the HV on a spherical rotating Earth. The following assumptions are adopted in the study.
Figure 1. Schematic diagram of flight dynamics model.
Assumption 1.
The Earth is a homogeneous rotating sphere and considers Earth’s rotation.
Assumption 2.
The atmospheric density model is continuously differentiable.
To maintain the consistency of the magnitude of the state variables and improve the stability of subsequent numerical calculations, we achieve dimensionless representation of state variables through the scale transformation invariance principle. Let the dimensionless transformation medium be g 0 R 0 , then the three-dimensional flight motion equations of the aircraft are expressed as follows [32].
r ˙ = V sin γ θ ˙ = V cos γ sin ψ r cos ϕ ϕ ˙ = V cos γ cos ψ r V ˙ = D sin γ r 2 + Ω 2 r cos ϕ ( sin γ cos ϕ cos γ sin ϕ cos ψ ) γ ˙ = L cos σ V + V 2 g r cos γ V r + 2 Ω cos ϕ sin ψ + Ω 2 r cos ϕ ( cos γ cos ϕ + sin γ sin ϕ cos ψ ) V ψ ˙ = L sin σ V cos γ + V cos γ sin ψ tan ϕ r 2 Ω ( tan γ cos ψ cos ϕ sin ϕ ) + Ω 2 r sin ϕ cos ϕ sin ψ V cos γ σ ˙ = u
where r is the radial distance from the Earth’s center to the HV, g represents the gravitational acceleration constant, θ and ϕ denote the longitude and latitude, respectively, V represents the relative velocity to the Earth, γ denotes the flight path angle, ψ represents the velocity vector heading angle, σ denotes the tilt angle, and Ω represents the dimensionless Earth’s rotational angular velocity constant. The lift acceleration L and drag acceleration D are expressed as
L = R 0 ρ V 2 A r e f C L 2 m D = R 0 ρ V 2 A r e f C D 2 m
where m is the dimensionless mass, A r e f represents the dimensionless aircraft reference area, ρ denote the dimensionless atmospheric density, and C L and C D corresponding to the aerodynamic lift coefficient and drag coefficient, respectively.
Remark 1.
In Equation (1), the state variables and control inputs exhibit strong nonlinearity. Owing to the coupling between the states and controls within the dynamic system, high-frequency oscillations tend to arise during the subsequent successive linearization of the system dynamics. To address this issue, this paper designates the bank angle rate σ ˙ as the control input and incorporates an additional state σ ˙ = u variable into the motion equations.

2.2. Constraints and Objective Function

If the HV adopts a fixed angle of attack scheme to perform flight missions, then only the bank angle is the sole control variable during flight [33]. The bank angle magnitude constraints and its rate constraints can be expressed as
σ min σ σ max 0 σ min < σ max 90 °
Meanwhile, HV generally needs to consider heat flux, dynamic pressure, total load factor, and drag acceleration during flight. The specific constraints are expressed as follows:
Q ˙ = k Q g 0 R 0 3.15 ρ V 3.15 Q ˙ max q = 0.5 g 0 R 0 ρ V 2 q max n = L 2 + D 2 n max D D min
Boundary constraints mainly include initial state and terminal state constraints, expressed as
x t 0 = x 0 ,   x t f = x f x x min , x max
Furthermore, to solve a trajectory optimization problem with minimal terminal state deviation, we set the objective function as follows:
J = φ x t f + t 0 t f l ( x , σ ) d t
Remark 2.
The above objective function ensures minimum terminal state deviation of the aircraft through terminal cost, while quantifying global constraints and losses through process cost to ensure that the HV satisfies the constraints. Since the terminal constraints on flight path angle and heading angle need to consider the HV’s guidance capability, this paper does not consider the guidance part, therefore these two terminal angles are unconstrained.

2.3. Trajectory Planning Problem Description

Under the consideration of new control variables, the nonlinear dynamics are reformulated as
x . = f ( x ) + B u + f Ω ( x )
where the state vector is x = [ r ; θ ; ϕ ; V ; γ ; ψ ; σ ] . It is worth noting that due to the negligible influence of Earth’s rotation, terms related to Earth’s rotation are separated into the column vector f ( x ) . The expressions for the column vectors f ( x ) 7 and B 7 are as follows.
f ( x ) = V sin γ V cos γ sin ψ r cos ϕ V cos γ cos ψ r D sin γ r 2 L cos σ V + V 2 g r cos γ V r L sin σ V cos γ + V cos γ sin ψ tan ϕ r 0 , B = 0 0 0 0 0 0 1
Based on the descriptions in Section 2.1 and Section 2.2, the original trajectory planning problem P1, with the tilt angular velocity as the control variable, is obtained, and its expression is as follows:
Min x , u J = φ x t f + t 0 t f l ( x ) d t Subject   to : Equation   ( 7 ) x t 0 = x 0 ,   x t f = x f x x min , x max Q ˙ Q ˙ max q q max n n max | u | u max

3. Sequential Convex Optimization Method Based on Hp-Adaptive Trust Region

3.1. Convexification and Discretization of Trajectory Planning Problem

In the convex optimization process, equality constraints must be linear, and the objective function and inequality constraints must be convex or linear. Problem P1 is a strongly nonlinear optimal control problem characterized by nonlinear dynamics and path constraints. To address this challenge, this paper employs a linearization approach based on continuous small perturbations to approximate P1. The convexification process of P1 is introduced below.
First, according to objective function J , the integrand is linearized through first-order Taylor series expansion at a given state, namely
l ( x ) l x * + l ( x ) x x = x * x x *
where x * represents the reference state variable. Furthermore, the terminal cost function is handled through linear approximation with respect to the reference terminal state, expressed as
φ x t f φ x * t f + φ x t f x t f x t f = x * t f x t f x * t f
For optimal control problems, the time of most configured terminal states is variable. This paper converts the time interval of terminal variable states into a fixed one through affine transformation. Using first-order Taylor expansion on Equation (7) and performing linearization treatment at the reference trajectory, the linearized expression of the dynamics equation is obtained, expressed as
x . f x * + A x * x x * + B u + f Ω x *
where the specific expressions of A x * are detailed in Appendix A.
Finally, the path constraints in P1 are linearized at the same reference trajectory, expressed as follows:
p i ( x ) p i x * + p i x * x x * , i = 1 , 2 , 3
where
p 1 x * = p 1 r , p 1 V = 0.5 R 0 k Q V 3.15 ρ h s , 3.15 k Q V 2.15 ρ x * p 2 x * = p 2 r , p 2 V = 0.5 V 2 R 0 ρ h s , ρ V x * p 3 x * = p 3 r , p 3 V = 0.5 R 0 2 A ref   C L 2 + C D 2 ρ V 2 m h s , R 0 A ref   C L 2 + C D 2 ρ V m x *
After the above convexification treatment, P1 can be re-expressed as follows, denoted as P2:
min x , u J = φ x t f + t 0 t f l ( x ) d t Subject   to :   x . = f x * + A x * x x * + B u + f Ω x * p i x * + p i x * x x * p i , max , i = 1 , 2 , 3 x t 0 = x 0 ,   x t f = x f x x min , x max x x * δ Q ˙ Q ˙ max q q max n n max | u | u max
Remark 3.
In problem P2, the variable  δ is defined as the radius of the trust region. Subsequently, the hp-adaptive method will be utilized to dynamically adjust the trust region radius to reduce the optimization space and improve convergence speed. Meanwhile, the main optimization purpose of P2 is to target the integral term in the objective function, which is to enlarge the feasible solution space and avoid convergence failure caused by an overly small solution space of the original problem.
Obviously, the subproblem in P2 is still an infinite-dimensional optimal control problem, so this paper adopts the trapezoidal discretization method to transform it into a finite-dimensional optimization problem. The local nature of the trapezoidal method makes the implementation of dynamic grid and order adaptation far more flexible, efficient, and robust compared to global high-order methods—particularly suitable for addressing the strong nonlinearities and non-smooth characteristics inherent in hypersonic trajectories. First, the time domain is discretized into N - 1 equal event intervals, with constraints imposed at N nodes. The step size is set as Δ t = t f t 0 N 1 , and the discretization nodes are represented by t 1 , t 2 , t N 1 , t N . Correspondingly, the state variables and control variables are discretized into sequences x 1 , x 2 , , x N 1 , x N and sequences u 1 , u 2 , , u N 1 , u N . Performing numerical integration on the dynamic equation yield:
x i + 1 = x i + Δ t 2 A i k 1 x i + B u i + f i k 1 A i k 1 x i k 1 + f Ω , i k 1 + A i + 1 k 1 x i + 1 + B u i + 1 + f i + 1 k 1 A i + 1 k 1 x i + 1 k 1 + f Ω , i + 1 k 1
where x i k = x k t i , A i k = A x i k ,   f i k = f x i k , f Ω , i k = f Ω x i k and B is a constant. Rearranging the above equation gives
I Δ t 2 A i + 1 k 1 x i + 1 I + Δ t 2 A i k 1 x i Δ t 2 B u i + 1 Δ t 2 B u i = Δ t 2 f i k 1 A i k 1 x i k 1 + f Ω , i k 1 + f i + 1 k 1 A i + 1 k 1 x i + 1 k 1 + f Ω , i + 1 k 1
Similarly, the linearized objective function can be discretized into a linear function of y . All constraints defined in P2 are imposed at each node and become linear equality constraints and second-order cone inequality constraints. It is worth noting that to further ensure the robustness of the solution process and keep the problem bounded in each iteration, the constant trust region constraints in P2 are replaced with quadratic trust region constraints, expressed as follows:
x i x i k 1 T x i x i k 1 s i , i = 1 , 2 , , N
where s is a slack variable, and s i represents the i -th element of s . Meanwhile, the objective function is transformed as follows.
J ^ = φ x k 1 t f + φ x k 1 t f x t f x k 1 t f + i = 1 N 1 l x i k 1 + l x i k 1 x i x i k 1 Δ t + w s s 2
The above equation represents the augmented objective function under the condition of ensuring bounded trust region constraints, where w s is a positive weight factor. After discretization, P2 can be transformed into a nonlinear programming problem, expressed as follows, denoted as P3:
min x , u J ^ = φ x k 1 t f + φ x k 1 t f x t f x k 1 t f + i = 1 N 1 l x i k 1 + l x i k 1 x i x i k 1 Δ t + w s s 2 Subject   to :   x i + 1 = x i + Δ t 2 A i k 1 x i + B u i + f i k 1 A i k 1 x i k 1 + f Ω , i k 1 + A i + 1 k 1 x i + 1 + B u i + 1 + f i + 1 k 1 A i + 1 k 1 x i + 1 k 1 + f Ω , i + 1 k 1 g ^ i = p 1 x i k 1 + p 1 x i k 1 x i x i k 1 Q ˙ max p 2 x i k 1 + p 2 x i k 1 x i x i k 1 q max p 3 x i k 1 + p 3 x i k 1 x i x i k 1 n max 0 x i x i k 1 T x i x i k 1 s i x t 0 = x 0 ,   x t f = x f x x min , x max | u | u max

3.2. Hp-Adaptive Trust Region

The SCP algorithm controls the deviation between iterative solutions and reference trajectories through trust region constraints to balance convergence and solution optimality. However, fixed discretization step sizes and polynomial approximation orders may lead to low computational efficiency or insufficient optimization accuracy. Therefore, this subsection will introduce a dynamic trust region method based on hp-adaptation, which approximates the trust region radius by dynamically adjusting discretion step sizes and polynomial orders, and dynamically adjusts the radius size according to errors in the iterative process.
First, the normalized time interval [ 0 , 1 ] is divided into M subintervals [ τ j 1 , τ j ] , where j = 1 , 2 , , M . Within the j -th subinterval, state variables and control variables are approximated using p j order polynomials, expressed as
x j ( τ ) = i = 0 p j x j , i ϕ j , i ( τ ) u j ( τ ) = i = 0 p j u j , i ϕ j , i ( τ )
where ϕ j , i ( τ ) represents the Legendre basis functions within the j -th subinterval. To handle artificial infeasibility in the linearization process, virtual control ν j are introduced in each subinterval, and the modified dynamics equation is expressed as
x . j = f x j ( k 1 ) + A x j ( k 1 ) x j x j ( k 1 ) + B u j + f Ω x j ( k 1 ) + ν j
where v 7 . After discretization treatment, the above equation becomes
h ^ j , i = x j , i + 1 x j , i Δ t j 2 A j , i k 1 x j , i + B u j , i + ν j , i + f j , i k 1 A j , i k 1 x j , i k 1 + f Ω , j , i k 1 + A j , i + 1 k 1 x j , i + 1 + B u j , i + 1 + ν j , i + 1 + f j , i + 1 k 1 A j , i + 1 k 1 x j , i + 1 k 1 + f Ω , j , i + 1 k 1 = 0
To improve the robustness of the solution process and ensure the problem remains bounded in each iteration, second-order cone constraints are added to the virtual controls:
ν j , i 2 η j , i , i = 1 , 2 , , N j
where η j , i is a slack variable and N j is the number of discrete points in the j -th subinterval. Next, an hp-adaptive strategy based on posterior error estimation is established. The local error indicator for the j -th subinterval is defined as
E j ( k ) = h j F x j ( k ) , u j ( k ) , ξ ( k ) x . j ( k ) L 2 τ j 1 , τ j + α ν ν j ( k ) L 2 τ j 1 , τ j
where h j represents the step size of the j -th subinterval, and α ν is the weight coefficient of virtual control. The smoothness indicator of the solution is defined as
S j ( k ) = d p j x j ( k ) d τ p j L 2 τ j 1 , τ j x j ( k ) L 2 τ j 1 , τ j
where L 2 τ j 1 , τ j represents the L 2 norm over the j -th subinterval. Based on the above two formulas, hp-adaptive criteria are established as
h j ( k + 1 ) = h j ( k ) 2 ,   if   E j ( k ) > ϵ h   and   S j ( k ) > S t   p j ( k + 1 ) = p j ( k ) + 1 ,   if E j ( k ) > ϵ p   and   S j ( k ) S t h j ( k + 1 ) = 2 h j ( k ) ,   if   E j ( k ) < ϵ h 4   and mergeable p j ( k + 1 ) = p j ( k ) 1 ,   if   E j ( k ) < ϵ p 4   and   p j ( k ) > p min
where ϵ h and ϵ p represent the error tolerances for h and p adaptive strategies, respectively. To coordinate with the hp-adaptive strategy, a dynamic adjustment mechanism for local trust region radius is established. The local trust region constraint for the j -th subinterval is defined as
x j , i x j , i ( k 1 ) δ j ( k ) , i = 1 , 2 , , N j
Meanwhile, we introduce a local value function to evaluate the optimization effect of each subinterval, expressed as
ϕ j z j ( k ) ; μ = J j ( k ) z j ( k ) + μ 1 i = 1 N j 1 h j , i z j ( k ) + μ 2 i = 1 N j g j , i + z j ( k )
where z j ( k ) = x j ( k ) , u j ( k ) , ν j ( k ) contains all optimization variables of the j -th subinterval, J j ( k ) , h j , i and g j , i + represent local objective function, dynamics constraint violation, and path constraint violation, respectively, μ 1 and μ 2 represent penalty coefficients for dynamics constraint violation and path constraint violation, respectively. The actual descent Λ j and predicted descent Γ j for the j -th subinterval are defined and calculated by the following formulas as follows.
Λ j = ϕ j z j ( k 1 ) ; μ ϕ j z j ( k ) ; μ Γ j = ϕ j z j ( k 1 ) ; μ ϕ ^ j z j ( k ) ; μ
where ϕ ^ j is the linearized local value function. The local trust region ratio Φ j is defined as
Φ j ( k ) = Λ j Γ j
Combined with the hp-adaptive strategy, the trust region radius adjustment rule is established as
δ j ( k + 1 ) = δ j ( k ) γ Φ j ( k ) β h log 2 h j ( k + 1 ) / h j ( k ) β p p j ( k + 1 ) p j ( k )
where β h and β p are hp-adaptive adjustment factors, typically valued at 0.8 and 1.2, and the adjustment function γ Φ is defined as
γ ( Φ ) = 0 . 25 , if   Φ < 0.25 1 , if   0.25 Φ 0.75 min 2 , δ max δ j ( k ) ,   if   Φ > 0.75   and   s j ( k ) > 0.8 δ j ( k )
To ensure global coordination, we introduce continuity constraints between different intervals and a global error balance function, expressed as follows:
x j , N j = x j + 1 , 0 , j = 1 , 2 , , M 1
I ( k ) = max j E j ( k ) min j E j ( k ) 1 M j = 1 M E j ( k )
When I ( k ) > I t   , global rebalancing is triggered to ensure that the hp-adaptive method can maintain good error distribution balance globally, where I t   is a set threshold.
In summary, the objective function is reformulated as
J ˜ = φ x k 1 t f + φ x k 1 t f x t f x k 1 t f + j = 1 M i = 1 N j 1 l x j , i k 1 Δ t j + w s s 2 + w η j = 1 M η j 2
Thus, the SCP problem based on hp-adaptive dynamic trust region is formulated as follows, denoted as P4:
min x , u J ˜ = φ x k 1 t f + φ x k 1 t f x t f x k 1 t f + j = 1 M i = 1 N j 1 l x j , i k 1 Δ t j + w s s 2 + w η j = 1 M η j 2 Subject   to :   x i + 1 = x i + Δ t 2 A i k 1 x i + B u i + f i k 1 A i k 1 x i k 1 + f Ω , i k 1 + A i + 1 k 1 x i + 1 + B u i + 1 + f i + 1 k 1 A i + 1 k 1 x i + 1 k 1 + f Ω , i + 1 k 1 g ^ i = p 1 x i k 1 + p 1 x i k 1 x i x i k 1 Q ˙ max p 2 x i k 1 + p 2 x i k 1 x i x i k 1 q max p 3 x i k 1 + p 3 x i k 1 x i x i k 1 n max 0 x i x i k 1 T x i x i k 1 s i x t 0 = x 0 , x t f = x f x x min , x max | u | u max
Remark 4.
The hp-adaptive dynamic trust region method solves P4 in each SCP iteration to obtain the current iterative solution by calculating the error indicator  E j ( k ) and smoothness indicator S j ( k ) for each subinterval. The discretization parameters are adjusted according to hp-adaptive criteria, and the trust region radius for each subinterval is updated using the local trust region ratio Φ j ( k ) . Finally, a global error balance mechanism is utilized to ensure coordination between different subintervals, ultimately achieving high-precision and high-efficiency optimal control problem solving. The detailed implementation process of the overall method will be introduced in the next subsection.

3.3. Sequential Convex Optimization Implementation Process

To verify the proposed method, since the gliding phase of HV has long flight times, numerous flight environment constraints, and relatively harsh conditions, this paper applies the proposed method to trajectory optimization in the gliding phase. In this phase, the initial state of the aircraft is determined through nonlinear dynamics integration under zero bank angle. When the aircraft’s flight path angle is zero, the corresponding state is the initial state of the gliding phase, which serves as the initial state for trajectory optimization [34]. The initial reference trajectory is constructed using quadratic polynomial approximation, where state variables connect the initial state and the desired initial values of the target terminal state through polynomial interpolation, and control variables are initially set to zero to simplify the initial guess. The initial flight time is set as a constant, while an experience-based optimization range is given to ensure that feasible solutions of the original problem exist within the flight time. The initial mesh adopts uniform distribution, and the initial polynomial order is set to form the initial discretization framework for hp-adaptation. The initial radius of the dynamic trust region is set as a sufficiently large constant vector based on state variable characteristics, ultimately forming a discrete initial trajectory that includes states, controls, flight time, initial mesh, and trust region parameters.
This paper combines the hp-adaptive method to design a novel SCP method with dynamic trust region. The implementation flowchart of the method is shown in Figure 2, and the specific solution steps are as follows.
Figure 2. Sequence diagram of the SCP based on hp-adaptive trust region.
Step 1: Define the initial state and initial reference trajectory. Define the initial grid partition consisting of M ( 0 ) subintervals, represented as τ j 1 ( 0 ) , τ j ( 0 ) j = 1 , , M ( 0 ) . Each subinterval defines the initial step size h j ( 0 ) = τ j ( 0 ) τ j 1 ( 0 ) and the initial polynomial degree p j ( 0 ) , represented as H ( 0 ) = h j ( 0 ) j = 1 , , M ( 0 ) and P ( 0 ) = p j ( 0 ) j = 1 , , M ( 0 ) . The initial grid parameters are T ( 0 ) , H ( 0 ) , P ( 0 ) , and the initial local trust region radius is δ ( 0 ) = δ j ( 0 ) j = 1 , , M ( 0 ) . Let k = 0 .
Step 2: Based on the reference trajectory x ( k ) , u ( k ) , ν ( k ) , the current grid parameters T ( k ) , H ( k ) , P ( k ) and the trust region radius δ ( k ) , solve problem P4 to obtain the iterative solution, represented as follows:
x ( k + 1 ) , u ( k + 1 ) , ν ( k + 1 ) T ( k ) , H ( k ) , P ( k ) , δ ( k )
Step 3: Check the convergence conditions. Calculate the global error metric E ( k + 1 ) = x f ( k + 1 ) x ¯ f ( k + 1 ) , where x ¯ f ( k + 1 ) is the exact terminal state obtained by integrating the original nonlinear dynamical equations. If the convergence condition ε ( k + 1 ) ε is satisfied, the algorithm terminates; otherwise, proceed to Step 4.
Step 4: Calculate the hp error metrics. Using Equations (25) and (26), calculate the local error E j ( k + 1 ) and smoothness metric S j ( k + 1 ) for each subinterval j = 1 , , M ( k ) .
Step 5: Use the hp-adaptive dynamic adjustment to adjust the trust region radius. For each subinterval on the grid T ( k ) , H ( k ) , P ( k ) . Execute the judgment of Equation (27) for each subinterval on the mesh.
Step 6: Update the local confidence region radius. Calculate the local confidence region ratio Φ j ( k ) for each sub-interval using Equation (31) and update it according to Equation (32).
Step 7: Check the global error balance. Calculate the global error distribution imbalance I ( k + 1 ) . If it satisfies I ( k ) > I t   , perform global rebalancing; otherwise, return to Step 5.
Step 8: Construct new grid parameters and trust region radii. Based on the hp-adaptive adjustment results, construct new grid parameters T ( k + 1 ) , H ( k + 1 ) , P ( k + 1 ) and map the iterative solution to x ( k + 1 ) , u ( k + 1 ) , ν ( k + 1 ) T ( k + 1 ) , H ( k + 1 ) , P ( k + 1 ) , δ ( k ) using interpolation. Let k = k + 1 and return to Step 2.

4. Numerical Simulation

4.1. Simulation Conditions

This paper validates the effectiveness of the proposed method (hp-adaptive SCP) through numerical simulation. In this section, the experimental process is set up as follows: firstly, algorithm verification is performed through comparison with interpolated integral solutions to verify the physical feasibility of the proposed method. Subsequently, key performance indicators are compared with GPOPS-II and the fixed trust region-based SCP method (Fixed SCP) to verify the advancement of the proposed method. The key parameters of the HV used in this section are shown in Table 1, and specific unmentioned parameters refer to Ref. [34]. The initial conditions, terminal states, and flight constraints for the simulation are shown in Table 2. CVX provides a highly mature and stable modeling environment, ensuring the accurate formulation of our optimization problems, while Mosek, as a leading commercial solver, is renowned for its exceptional numerical stability and solving efficiency. This combination offers a robust and credible benchmark platform for evaluating the performance of our algorithm. All simulations in this section are solved using CVX calling the Mosek solver, and the simulation platform used is Matlab2023a under Intel Core i7-12700H, 2.70 GHz, 32G RAM, and Windows 11 operating system.
Table 1. Key Parameters and Flight Constraints of the HV.
Table 2. Initial and Terminal Parameters of State Variables, Trust Region Constraints, and Convergence Thresholds.

4.2. Effectiveness Verification

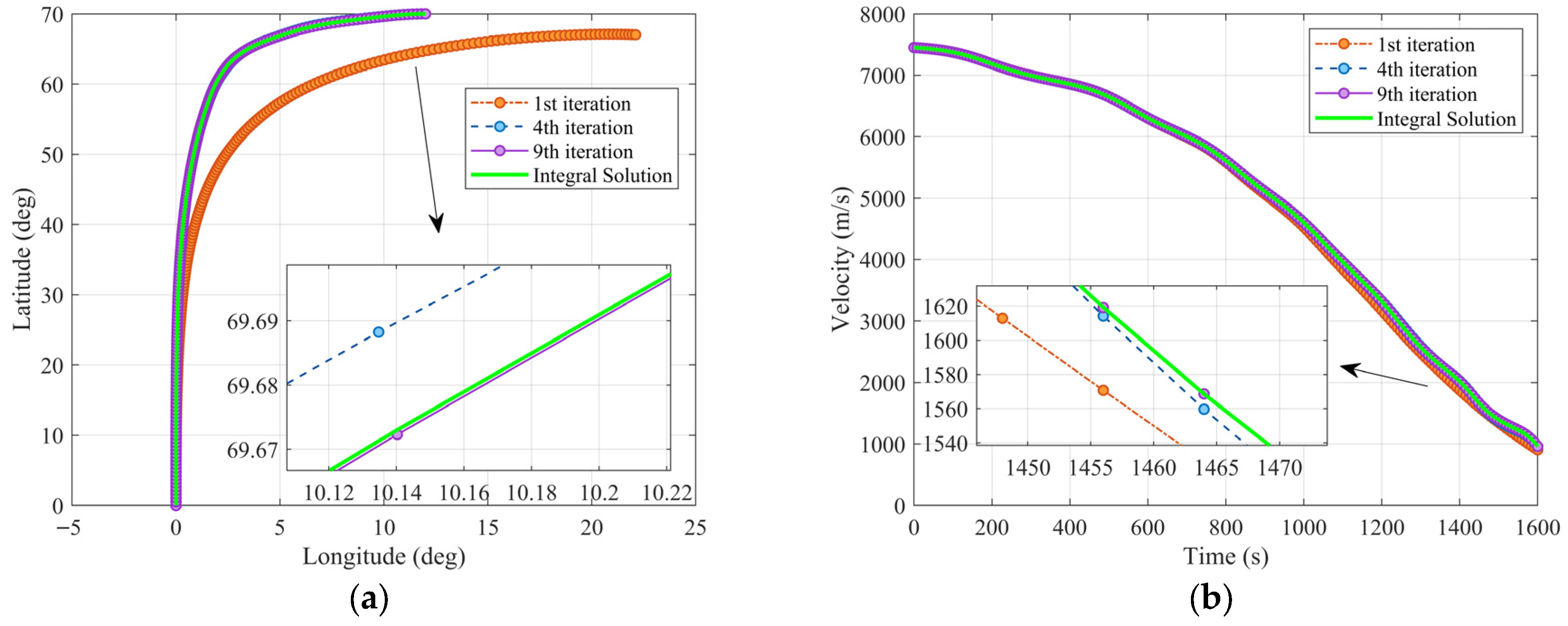
To verify the feasibility of the optimization results obtained by the proposed algorithm, this subsection interpolates the optimized control commands and substitutes them into the original nonlinear system for dynamic integration to obtain the integrated trajectory (Integral Solution). The Integral Solution is compared with the optimization results of the proposed method. The simulation comparison results are shown in Figure 3, Figure 4, Figure 5 and Figure 6, where Figure 3a shows the trajectory planning iteration curve, reflecting the trend of the aircraft’s position change over time. It can be seen from the figure that the longitude and latitude are −12° and 70°, respectively, both satisfying the terminal position constraints. Figure 3b shows the velocity and time iteration curve, from which under the condition of satisfying the terminal velocity, it gradually approaches the integral solution curve after 9 iterations. The flight path angle and azimuth angle iteration curves are shown in Figure 4a,b, respectively. The bank angle iteration curve obtained from trajectory optimization is shown in Figure 5a. Within the constraint size limited range, due to the overly narrow constraint conditions set in the simulation experiment, the bank angle adjustments at the end to ensure convergence, which also demonstrates that the proposed method captures bank angle changes more precisely when adapting to dense grids. Figure 5b shows the control command of the optimized trajectory, namely the bank angle rate iteration curve, which varies slightly within the constraint size limited range. Figure 6a,b represent the changes in value function and objective function magnitude, respectively, this shows that after gradual iteration, the value function and objective function values stabilize at 2.45 and 959, respectively. From Figure 9, Figure 10 and Figure 11, the dynamic pressure peak is 16.05 kPa, satisfying the maximum dynamic pressure constraint of 18 kPa. The overload peak is 2.22 g, satisfying the maximum overload constraint of 2.5 g. The peak heat flux rate of the HV during flight is 312.49 kW/m2, satisfying the constraint condition of maximum heat flux rate of 1200 kW/m2. The proposed algorithm is satisfying the process constraints and can quickly obtain an optimized nominal trajectory while satisfying various constraint conditions.
Figure 3. (a) Schematic diagram of latitude and longitude trajectory iteration curves under hp-adaptive SCP optimization; (b) Schematic diagram of HV velocity iteration curves under hp-adaptive SCP optimization.
Figure 4. (a) Schematic diagram of the flight path angle iteration curves of the HV under hp-adaptive SCP optimization; (b) Schematic diagram of the heading angle iteration curves of the HV under hp-adaptive SCP optimization.
Figure 5. (a) Schematic diagram of the Bank Angle Iteration Curve of the HV under hp-adaptive SCP optimization; (b) Schematic diagram of the Bank Angle Rate Iteration Curve of the HV under hp-adaptive SCP optimization.
Figure 6. (a) This is a figure of the cost function curve for the hp-adaptive SCP method. (b) This is a figure of the Objective Function Curve for the hp-adaptive SCP method.

4.3. Comparison with Other Methods

In this subsection, comparative experiments with GPOPS-II and Fixed SCP are set up to verify the correctness and effectiveness of the proposed method, as well as the improvement in computational efficiency of the improved SCP method relative to nonlinear programming methods. The reasons for setting up the comparison methods in this subsection are as follows: Through comparison with GPOPS-II, the performance in solving numerical optimization is verified, namely verifying the performance of convex optimization and nonlinear programming methods. Through comparison with the Fixed SCP, it is verified that the proposed method can effectively solve the problems of convergence efficiency and convergence accuracy brought by fixed trust regions. The GPOPS-II, as a general optimization toolbox based on pseudospectral methods, has been widely recognized as one of the industry standards in the field of trajectory optimization, with its solution accuracy and reliability validated by numerous studies. The fixed-parameter SCP method represents the most fundamental implementation form in sequential convex programming. Through direct comparison with this benchmark method, the performance improvements brought by the “hp-adaptive dynamic trust region mechanism” itself can be most clearly and directly isolated and highlighted.
Among the above three algorithms, except for their respective specific parameters, the same simulation conditions are adopted.
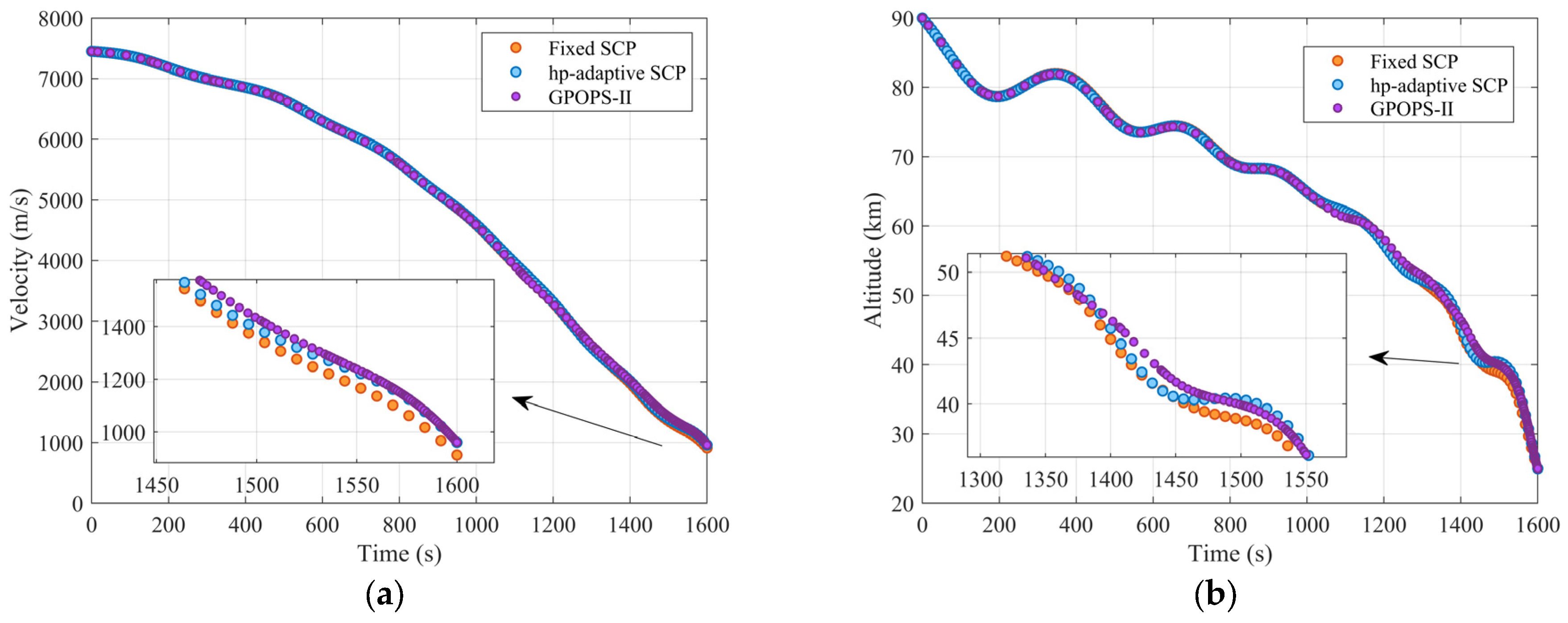
The simulation results of the trajectory optimization algorithms are shown in Figure 7, Figure 8, Figure 9, Figure 10, Figure 11, Figure 12, Figure 13, Figure 14 and Figure 15 and Table 3, where the control variable curves are divided into two subfigures for clearer display of results. From the results, the trajectory curve trends of the three algorithms are almost identical, with only minor differences, and all process and terminal state constraints are satisfied. However, it can still be clearly observed that compared to methods GPOPS-II and Fixed SCP, the proposed method has smoother control trajectories and no significant jumping phenomena in state variables (Figure 13a,b). In addition, from Table 3 and Figure 15, for one of the most important performances in online trajectory optimization applications, namely the computational efficiency of the algorithm, the proposed method has the shortest time among the three algorithms, with an average duration of 0.42 s per subproblem and a total time of 3.89 s. In comparison, Fixed SCP wastes considerable time in certain grid processing due to its inability to adapt to changes in the optimization process, which also leads to slightly longer processing time. GPOPS-II has the longest processing time with a total time of 192.47 s. From the perspective of iteration count and global error convergence, in completing the same optimization task using the same initial trajectory, hp-adaptive SCP requires 9 iterations, Fixed SCP requires 16 iterations, and GPOPS-II requires 15 iterations, proving that the proposed algorithm is optimal in both computational efficiency and convergence accuracy.
Table 3. Comparison of Metrics with GPOPS and SCP Algorithms.
Figure 7. Schematic diagram of latitude and longitude trajectory iteration curves under optimization using three comparative methods.
Figure 8. (a) Schematic diagram of HV velocity iteration curves under optimization using three comparative methods; (b) Schematic diagram of HV trajectory altitude curves under optimization using three comparative methods.
Figure 9. Schematic diagram of dynamic pressure curves under optimization using three comparative methods.
Figure 10. Schematic diagram of overload diagram curves under optimization using three comparative methods.
Figure 11. Schematic diagram of heat flow diagram curves under optimization using three comparative methods.
Figure 12. (a) Schematic diagram of HV azimuth angle curves under optimization using three comparative methods; (b) Schematic diagram of HV flight path angle curves under optimization using three comparative methods.
Figure 13. (a) Bank Angle Rate Diagram Compared with GPOPS-II; (b) Bank Angle Rate Diagram Compared with Fixed SCP.
Figure 14. Schematic diagram of HV bank angle curves under optimization using three comparative methods.
Figure 15. Schematic diagram of HV global error convergence curves under optimization using hp-adaptive SCP and Fixed SCP.
In summary, different methods exhibit different performance effects when processing the same optimization task. Under the same conditions, the proposed method is superior to the Fixed SCP method in computational efficiency and convergence speed, and is far superior to the direct trajectory optimization method based on nonlinear programming. The hp-adaptive SCP has a larger and more flexible convergence domain with low sensitivity to initial values and still maintains better adaptability. Benefiting from the hp-adaptive dynamic adjustment strategy, the proposed method reduces computational time in each iteration compared to the GPOPS-II and the Fixed SCP, showing significant improvement while ensuring optimal convergence accuracy and having a smoother convergence process.
To verify the robustness of the proposed hp-adaptive SCP algorithm, we conducted comprehensive Monte Carlo simulations with 1000 sample runs. The specific settings are as follows: (1) initial and terminal state parameters adopt uniform distribution, with values randomly perturbed within ±15% of nominal values; (2) HV’s mass, reference area, and atmospheric density all randomly vary within ±5% of nominal values; and (3) aerodynamic parameters follow normal distribution and randomly fluctuate within 20% of nominal values. Through the above settings, the robustness of the algorithm under initial condition perturbations is verified.
Figure 16 shows the total optimization time and number of total iterations of the hp-adaptive SCP when the initial and terminal conditions are perturbed within the range of ±15%. During the entire simulation process, each iteration converged successfully. However, for a more rigorous verification of the algorithm’s stability, we defined the results with a deviation from the average total time of less than 60% as the convergence success rate. It can be seen from Figure 16 and Table 4 that under the −15% perturbation of the nominal values of the initial and terminal conditions, the flight altitude decreases, which reduces the constraints to be optimized by the HV. This enables the hp-adaptive SCP to adapt to the optimization conditions more quickly, shortening the total algorithm runtime and reducing the number of iterations. The average total time is 1.63 s, the average number of iterations is 6, and the convergence success rate is 98.2%. Under the 15% perturbation of the nominal values of the initial and terminal conditions, the optimization altitude increases. Affected by the thin air at high altitudes, the constraint conditions for HV optimization become more severe. This leads to a longer number of iterations and total runtime of the algorithm compared with the nominal values. Nevertheless, benefiting from the adaptive strategy of the algorithm, it can still solve the problem quickly. Its average total time is 7.37 s, the average number of iterations is 10, and the convergence success rate is 95.4%. From the aforementioned Monte Carlo simulation results, it can be concluded that the algorithm proposed is capable of adapting to trajectory optimization problems under different conditions.
Figure 16. Monte Carlo simulation results of the number of algorithm iterations and total time under different initial conditions. (a) The number of iterations of hp-adaptive SCP at −15% of the nominal values of the initial and final states; (b) the total running time of hp-adaptive SCP at −15% of the nominal values of the initial and final states; (c) the number of iterations of hp-adaptive SCP at 15% of the nominal values of the initial and final states; (d) the total running time of hp-adaptive SCP at −15% of the nominal values of the initial and final states.
Table 4. Mean Value of the Results From Monte Carlo Shooting Tests.

5. Conclusions and Prospect

5.1. Conclusions

Aiming at the problems of initial value sensitivity and low optimization efficiency under multiple constraints in traditional trajectory convex optimization methods, this paper takes the gliding phase trajectory planning of high-constraint HV as the research object and proposes a new improved sequential convex optimization method. By comparing it with the integral solution, the feasibility of the proposed method is verified. Furthermore, through performance comparison with two algorithms, namely GPOPS-II and Fixed SCP, it is further shown that although all three methods can satisfy the trajectory process and terminal state constraints, and the trajectory curve trends are basically consistent, the proposed method has the following advantages:
a. The control trajectory is smoother, with no obvious jump phenomenon in state variables.
b. It has optimal computational efficiency, with an average time consumption of 0.42 s per subproblem and a total time consumption of only 3.89 s, which is much lower than that of Fixed SCP and GPOPS-II.
c. It has better convergence performance. To complete the same optimization task, the proposed method iterates 9 times, which is less than 16 iterations of Fixed SCP and 15 iterations of GPOPS-II. In addition, it has a larger convergence domain, stronger flexibility and low sensitivity to initial values.
In conclusion, this method is superior to traditional schemes in terms of convergence speed, constraint satisfaction and computational efficiency for trajectory optimization, and provides a reliable path for online applications.

5.2. Prospects for Future Work

Although the hp-adaptive SCP framework proposed in this study has demonstrated significant performance improvements in solving hypersonic trajectory optimization problems, there are still several directions worthy of in-depth exploration, which provide a clear scheme for our subsequent research:
First, this study focuses on verifying the effectiveness of the core algorithm in typical problems, and its large-scale scalability analysis will be the focus of the next step. We will systematically study the quantitative impact of the growth in the number of grid nodes and polynomial orders on computational complexity to evaluate its potential in addressing higher-dimensional problems. Second, in terms of evaluation metrics, in addition to convergence and computational efficiency, we plan to introduce more stringent engineering standards such as maximum constraint violation and trajectory deviation from high-precision integral solutions. This will more comprehensively quantify the algorithm’s performance, which is crucial for its engineering application. Furthermore, the use of the CVX/Mosek environment in this study aims to provide a reliable benchmark for algorithm verification. In the future, we will commit to the engineering implementation of the algorithm, including porting it to efficient languages such as C++/Python, integrating more underlying QP solvers (e.g., HPIPM), and exploring strategies such as GPU acceleration and warm-start. These efforts are expected to reduce the computation time to the millisecond level, ultimately meeting the stringent requirements of online real-time planning. These subsequent works will collectively promote the method from an advanced algorithm framework to a practical engineering application solution.

Author Contributions

Conceptualization, Z.Y. and Z.A.; methodology, Z.Y. and Z.A.; software, Z.Y. and Z.A.; validation, Z.Y., Z.A. and G.W.; formal analysis, Z.Y. and X.W.; investigation, Z.A. and G.W.; resources, C.M. and X.W.; data curation, Z.Y. and Z.A.; writing—original draft preparation, Z.Y. and Z.A.; writing—review and editing, C.M.; visualization, Z.A. and X.W.; supervision, C.M. and X.W.; project administration, C.M. and X.W.; funding acquisition, C.M. and X.W. All authors have read and agreed to the published version of the manuscript.

Funding

The authors would like to acknowledge the National Natural Science Foundation of China (Grant No. 52002185) and the Fundamental Research Funds for the Central Universities (Grant No. 30925010705) for providing funding for conducting experiments.

Data Availability Statement

The original contributions presented in this study are included in the article. Further inquiries can be directed to the corresponding author.

Conflicts of Interest

The authors declare no conflicts of interest.

Abbreviations

The following abbreviations are used in this manuscript:
HVHypersonic Vehicles
SCPSequential Convex Programming
GPOPS-IIGeneral Pseudospectral Optimal Control Software, Version II
Fixed SCPFixed trust region-based Sequential Convex Programming
Hp-adaptive SCPHp-adaptive trust region-based Sequential Convex Programming

Appendix A

The specific expression form of A x * in Equation (12) is as follows:
A x * = f ( x ) x x = x * = 0 0 0 sin γ V cos γ 0 0 a 21 0 a 23 a 24 a 25 a 26 0 a 31 0 0 a 34 a 35 a 36 0 a 41 0 0 a 44 a 45 0 0 a 51 0 0 a 54 a 55 0 a 57 a 61 0 a 63 a 64 a 65 a 66 a 67 0 0 0 0 0 0 0 x = x *
where
a 21 = V cos γ sin ψ r 2 cos ϕ a 23 = V cos γ sin ψ sin ϕ r cos 2 ϕ a 24 = cos γ sin ψ r cos ϕ a 25 = V sin γ sin ψ r cos ϕ a 26 = V cos γ cos ψ r cos ϕ
a 31 = V cos γ cos ψ r 2 a 34 = cos γ cos ψ r a 35 = V sin γ cos ψ r a 36 = V cos γ sin ψ r
a 41 = D r + 2 sin γ r 3 a 44 = D V a 45 = cos γ r 2
a 51 = cos σ V L r V cos γ r 2 + 2 cos γ r 3 V a 54 = cos σ V L V L cos σ V 2 + cos γ r + cos γ r 2 V 2 a 55 = 1 r 2 V V r sin γ a 57 = L sin σ V
a 61 = sin σ V cos γ L r V cos γ sin ψ tan ϕ r 2 a 63 = V cos γ sin ψ r cos 2 ϕ a 64 = sin σ V cos γ L V L sin σ V 2 cos γ + cos γ sin ψ tan ϕ r a 65 = L sin σ sin γ V cos 2 γ V sin γ sin ψ tan ϕ r a 66 = V cos γ cos ψ tan ϕ r a 67 = L cos σ V cos γ
D r = D r = R 0 2 ρ V 2 A r e f C D 2 m h s = R 0 h s D D V = D V = R 0 ρ V A r e f C D m
L r = R 0 h s L L V = R 0 ρ V A r e f C L m

References

  1. Ye, H.; Kang, X.; Joung, J.; Liang, Y. Optimization for Wireless-Powered IoT Networks Enabled by an Energy-Limited UAV Under Practical Energy Consumption Model. IEEE Wirel. Commun. Lett. 2021, 10, 567–571. [Google Scholar] [CrossRef]
  2. Scharf, P.; Açıkmeşe, B.; Dueri, D.; Benito, J.; Casoliva, J. Implementation and Experimental Demonstration of Onboard Powered-Descent Guidance. J. Guid. Control Dyn. 2017, 40, 213–229. [Google Scholar] [CrossRef]
  3. Yu, J.; Ge, X. Optimal Route Planning of Parking Lot Based on Dijkstra Algorithm. In Proceedings of the 2017 International Conference on Robots & Intelligent System (ICRIS), Huai’an City, China, 15–16 October 2017; pp. 221–224. [Google Scholar] [CrossRef]
  4. Braga, M.d.L.; Santos, A.d.J.d.; Pedroza, A.C.; Costa, L.H.M.; de Amorim, M.D.; Ghamri-Doudane, Y. Anytime route planning with constrained devices. Comput. Electr. Eng. 2016, 54, 53–67. [Google Scholar] [CrossRef]
  5. Zhang, K.; Yang, S.; Xiong, F. Rapid Ascent Trajectory Optimization for Guided Rockets via Sequential Convex Programming. Proc. Inst. Mech. Eng. Part G J. Aerosp. Eng. 2019, 233, 4800–4809. [Google Scholar] [CrossRef]
  6. Wang, J.; Cui, N.; Wei, C. Optimal Rocket Landing Guidance Using Convex Optimization and Model Predictive Control. J. Guid. Control Dyn. 2019, 42, 1078–1092. [Google Scholar] [CrossRef]
  7. Rao, A.V. A survey of numerical methods for optimal control. In Proceedings of the Astrodynamics 2009: Proceedings of the AAS/AIAA Astrodynamics Specialist, Pittsburgh, PA, USA, 9–13 August 2009; pp. 497–528. [Google Scholar]
  8. Betts, J.T. Survey of Numerical Methods for Trajectory Optimization. J. Guid. Control Dyn. 1998, 21, 193–207. [Google Scholar] [CrossRef]
  9. Danylo, M.; Taylor, R.; Michael, S. Discretization Performance and Accuracy Analysis for the Rocket Powered Descent Guidance Problem. In Proceedings of the AIAA Scitech 2019 Forum, San Diego, CA, USA, 7–11 January 2019. [Google Scholar] [CrossRef]
  10. Liang, Z.; Duan, G.; Ren, Z. Mars entry guidance based on an adaptive reference drag profile. Adv. Space Res. 2017, 60, 692–701. [Google Scholar] [CrossRef]
  11. Patterson, M.A.; Rao, A.V. GPOPS-II: A MATLAB Software for Solving Multiple-Phase Optimal Control Problems Using hp-Adaptive Gaussian Quadrature Collocation Methods and Sparse Nonlinear Programming. ACM Trans. Math. Softw. 2014, 41, 1–37. [Google Scholar] [CrossRef]
  12. Chai, D.; Fang, Y.; Wu, Y.; Xu, S. Boost-skipping trajectory optimization for air-breathing hypersonic missile. Aerosp. Sci. Technol. 2015, 46, 506–513. [Google Scholar] [CrossRef]
  13. An, K.; Guo, Z.; Xu, X.; Huang, W. A framework of trajectory design and optimization for the hypersonic gliding vehicle. Aerosp. Sci. Technol. 2020, 106, 106110. [Google Scholar] [CrossRef]
  14. Lu, P.; Liu, X.F. Autonomous trajectory planning for rendezvous and proximity operations by conic optimization. J. Guid. Control Dyn. 2013, 36, 375–389. [Google Scholar] [CrossRef]
  15. Liu, X.; Lu, P.; Pan, B. Survey of convex optimization for aerospace applications. Astrodynamics 2017, 1, 23–40. [Google Scholar] [CrossRef]
  16. Acikmese, B.; Ploen, S.R. Convex Programming Approach to Powered Descent Guidance for Mars Landing. J. Guid. Control Dyn. 2007, 30, 1353–1366. [Google Scholar] [CrossRef]
  17. Dong, C.J.; Yang, H.W.; Li, S.; Li, B. Convex optimization of asteroid landing trajectories driven by solar radiation pressure. Chin. J. Aeronaut. 2022, 35, 200–211. [Google Scholar] [CrossRef]
  18. Liu, X.F.; Shen, Z.J.; Lu, P. Entry Trajectory Optimization by Second-Order Cone Programming. J. Guid. Control Dyn. 2015, 39, 227–241. [Google Scholar] [CrossRef]
  19. Wang, Z.B. Maximum-Normal-Load Entry Trajectory Optimization for Hypersonic Glide Vehicles. In Proceedings of the AIAA Scitech 2019 Forum, San Diego, CA, USA, 7–11 January 2019. [Google Scholar]
  20. Zhang, Y.L.; Chen, K.J.; Liu, L.H. Entry Trajectory Planning Based on Three-dimensional Acceleration Profile Guidance. Aerosp. Sci. Technol. 2016, 48, 131–139. [Google Scholar] [CrossRef]
  21. Benedikter, B.; Zavoli, A.; Colasurdo, G.; Pizzurro, S.; Cavallini, E. Convex Approach to Three-Dimensional Launch Vehicle Ascent Trajectory Optimization. J. Guid. Control Dyn. 2021, 44, 1116–1131. [Google Scholar] [CrossRef]
  22. Zhang, P.; Li, W.; Gong, S. Ascent Trajectory Optimization for Boost-Glide Vehicle Using Homotopy Approximation Function Sequential Convex Programming. IEEE Trans. Aerosp. Electron. Syst. 2025, 61, 7576–7596. [Google Scholar] [CrossRef]
  23. Shirazi, A. Minimum-Fuel Low-Thrust Trajectory Optimization via a Direct Adaptive Evolutionary Approach. IEEE Trans. Aerosp. Electron. Syst. 2024, 60, 1319–1333. [Google Scholar] [CrossRef]
  24. Zhao, J.S.; Li, S. Mars Atmospheric Entry Trajectory Optimization with Maximum Parachute Deployment Altitude Using Adaptive Mesh Refinement. Acta Astronaut. 2019, 160, 401–413. [Google Scholar] [CrossRef]
  25. Song, Y.; Miao, X.Y.; Gong, S.P. Adaptive Powered Descent Guidance based on Multi-Phase Pseudospectral Convex Optimization. Acta Astronaut. 2021, 180, 386–397. [Google Scholar] [CrossRef]
  26. Simplicio, P.; Marcos, A.; Bennani, S. Guidance of reusable launchers: Improving descent and landing performance. J. Guid. Control Dyn. 2019, 42, 2206–2219. [Google Scholar] [CrossRef]
  27. Simplicio, P.; Marcos, A.; Bennani, S. Reusable Launchers: Development of a Coupled Flight Mechanics, Guidance, and Control Benchmark. J. Spacecr. Rocket. 2019, 57, 74–89. [Google Scholar] [CrossRef]
  28. Wang, Z.B.; Grant, M.J. Hypersonic Trajectory Optimization by Sequential Semidefinite Programming. In Proceedings of the AIAA Atmospheric Flight Mechanics Conference, Grapevine, TX, USA, 9–13 January 2017. [Google Scholar]
  29. Jain, S.; Tsiotras, P. Multiresolution based Direct Trajectory Optimization. In Proceedings of the 46th IEEE Conference on Decision and Control, New Orleans, LA, USA, 12–14 December 2007. [Google Scholar]
  30. Mao, Y.; Szmuk, M.; Acikmese, B. Successive Convexification of Non-Convex Optimal Control Problems and Its Convergence Properties. In Proceedings of the IEEE 55th Conference on Decision and Control, Las Vegas, NV, USA, 12–14 December 2016. [Google Scholar]
  31. Zhao, J.S.; Li, S. Modified Multiresolution Technique for Mesh Refinement in Numerical Optimal Control. J. Guid. Control Dyn. 2017, 40, 3328–3338. [Google Scholar] [CrossRef]
  32. Zhou, X.; He, R.Z.; Zhang, H.B.; Tang, G.J.; Bao, W.M. Sequential convex programming method using adaptive mesh refinement for entry trajectory planning problem. Aerosp. Sci. Technol. 2021, 109, 106374. [Google Scholar] [CrossRef]
  33. Zhang, Y.L. Research on Reentry Guidance Method Based on Three-Dimensional Profile. Master’s Thesis, National University of Defense Technology, Changsha, China, 2014. [Google Scholar] [CrossRef]
  34. Phillips, T.H. A Common Aero Vehicle Model, Description, and Employment Guide. Available online: https://www.doc88.com/p-501932383682.html (accessed on 31 December 2013).
Disclaimer/Publisher’s Note: The statements, opinions and data contained in all publications are solely those of the individual author(s) and contributor(s) and not of MDPI and/or the editor(s). MDPI and/or the editor(s) disclaim responsibility for any injury to people or property resulting from any ideas, methods, instructions or products referred to in the content.

Article Metrics

Citations

Article Access Statistics

Multiple requests from the same IP address are counted as one view.