Study on Mathematical Models for Precise Estimation of Tire–Road Friction Coefficient of Distributed Drive Electric Vehicles Based on Sensorless Control of the Permanent Magnet Synchronous Motor
Abstract
1. Introduction
1.1. Motivation and Technical Challenge
1.2. Literature Review
1.3. Main Contribution
- (1)
- The vehicle dynamics model and PMSM mathematical model are constructed, and the TRFC estimation method for distributed drive electric vehicles with sensorless control of PMSM based on the MCSVDGHCKF algorithm is proposed. The MCSVDGHCKF algorithm proposed in this paper effectively solves the low accuracy and non-positive definite problems of HCKF when dealing with high-dimensional systems, and the method has strong robustness to the change in non-Gaussian noise environments.
- (2)
- The proposed estimation method can significantly improve the estimation accuracy of the TRFC. Specifically, the estimation accuracies of the TRFC are improved by at least 40.36% over the existing HCKF.
1.4. Paper Organization
2. Vehicle Model
2.1. Seven-Degree-of-Freedom Vehicle Dynamics Model
- a.
- Ignore the impact of air resistance and suspension system;
- b.
- The steering angle of the front wheel is the same, and the rear wheel is not steering;
- c.
- The center of gravity of the vehicle coincides with the origin of the vehicle coordinate system;
- d.
- Do not consider the impact of roll motion on vehicle dynamics.
2.2. Dugoff Tire Model
2.3. PMSM Mathematical Model
3. MCSVDGHCKF Algorithm
3.1. Maximum Correntropy Criterion
3.2. SVDGHCKF Algorithm Steps
3.2.1. Singular Value Decomposition (SVD)
3.2.2. Generalized Cubature Criteria
3.2.3. SVDGHCKF Algorithm
- (1)
- Cubature point propagation:
- (2)
- Following propagation, the cubature points are as follows:
- (3)
- The predicted value of the state is given by the following formula:
- (4)
- Calculate the covariance matrix for the state prediction at the k + 1 moment:
- (1)
- Update the status cubature points as follows:
- (2)
- The cubature points transmitted by the measuring equation are provided as follows:
- (3)
- The measured predicted values are as follows:
- (4)
- The measurement error covariance matrix and cross-correlation covariance matrix are provided in the following manner:
- (5)
- The expression for the Kalman filter gain is as follows:
- (6)
- State estimates are given as follows:
- (7)
- The matrix representing the covariance of the posterior distribution is given by the following equation:
3.3. Derivation of the MCSVDGHCKF
4. TRFC Estimation for Sensorless Control of PMSM
4.1. PMSM Rotor Speed and Position Estimator Based on MCSVDGHCKF
4.2. TRFC Estimator Based on MCSVDGHCKF
4.3. Design of PMSM Speed Loop Controller Based on Sliding Mode
5. Simulation Analysis
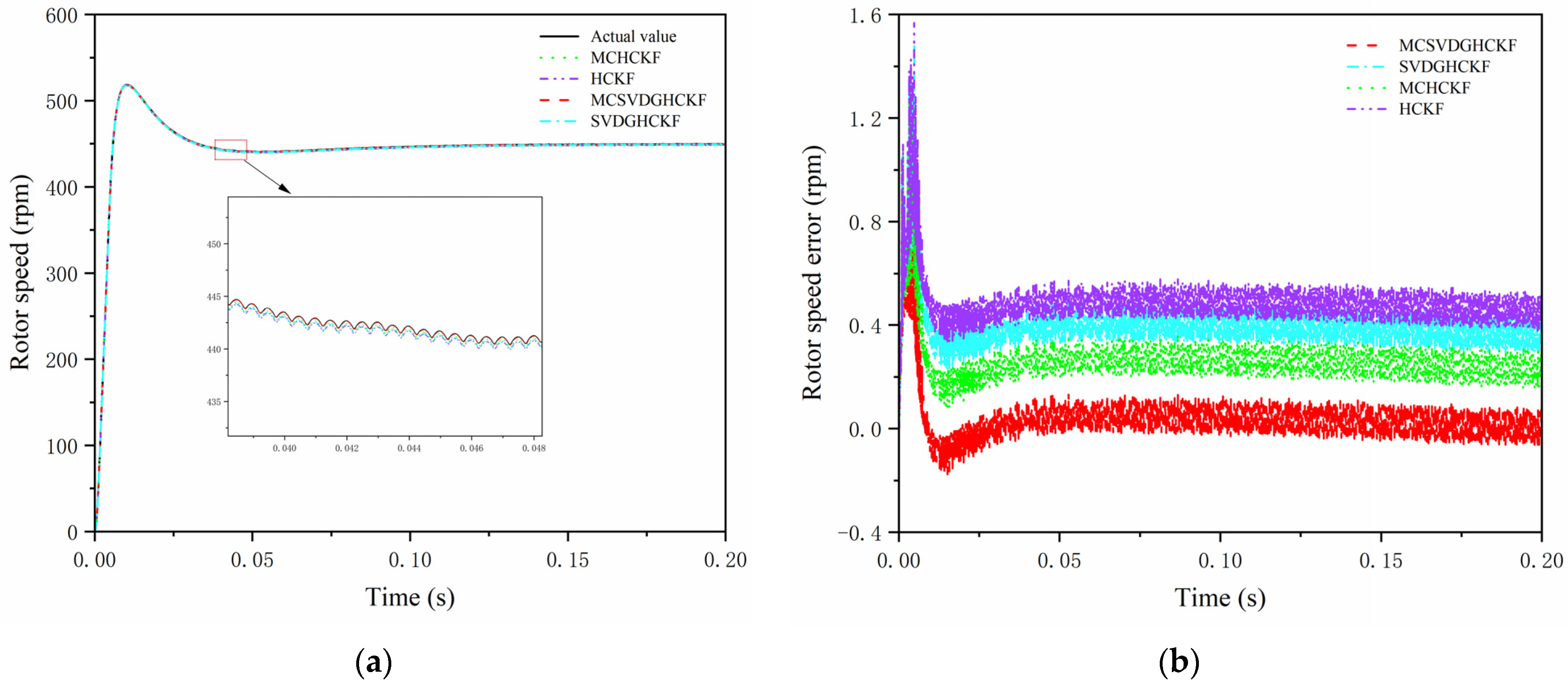
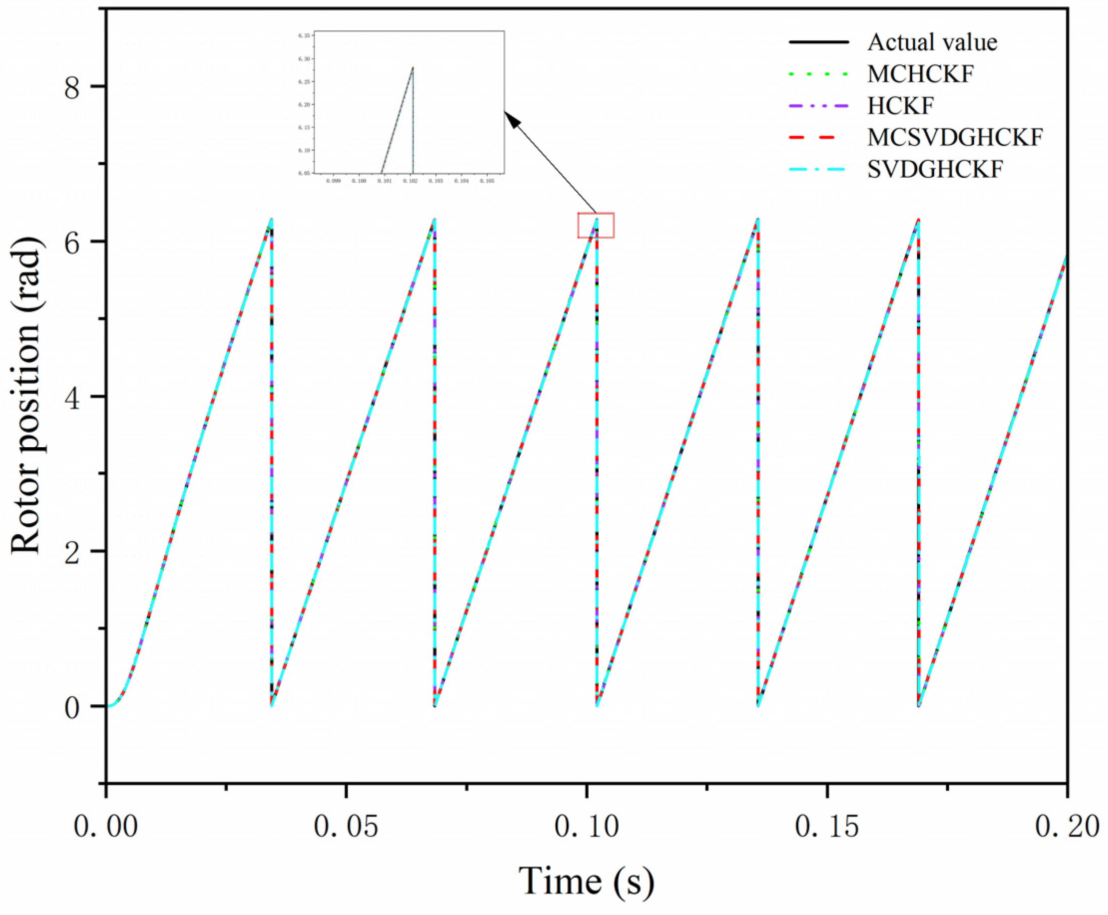
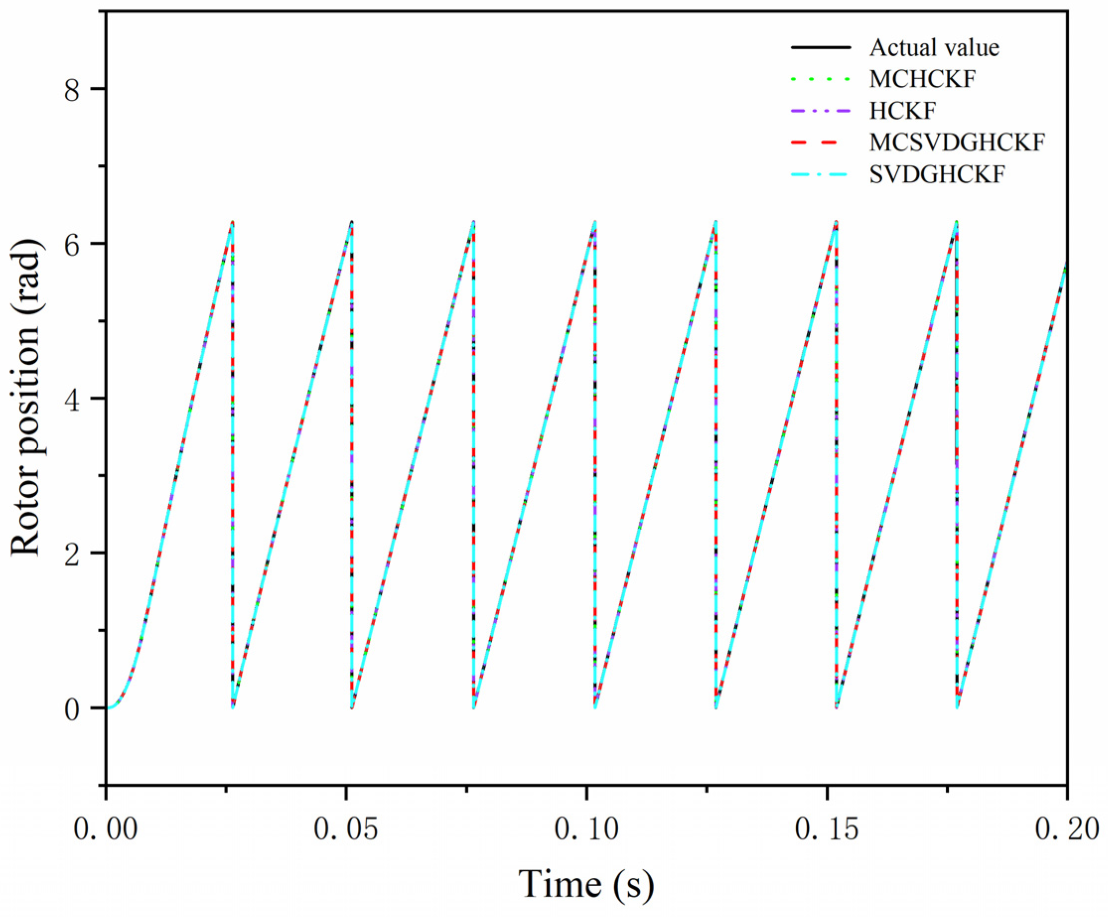
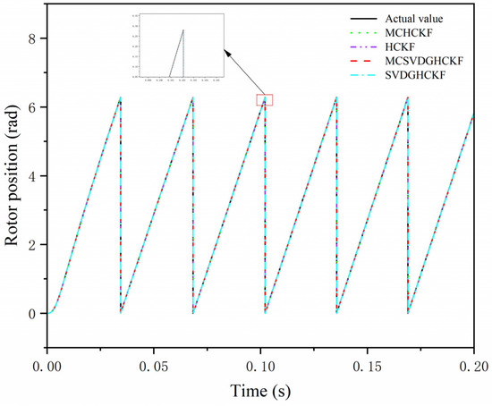
5.1. PMSM Sensorless Control Simulation and Analysis
5.2. Simulation of TRFC Estimation Using PMSM Sensorless Control
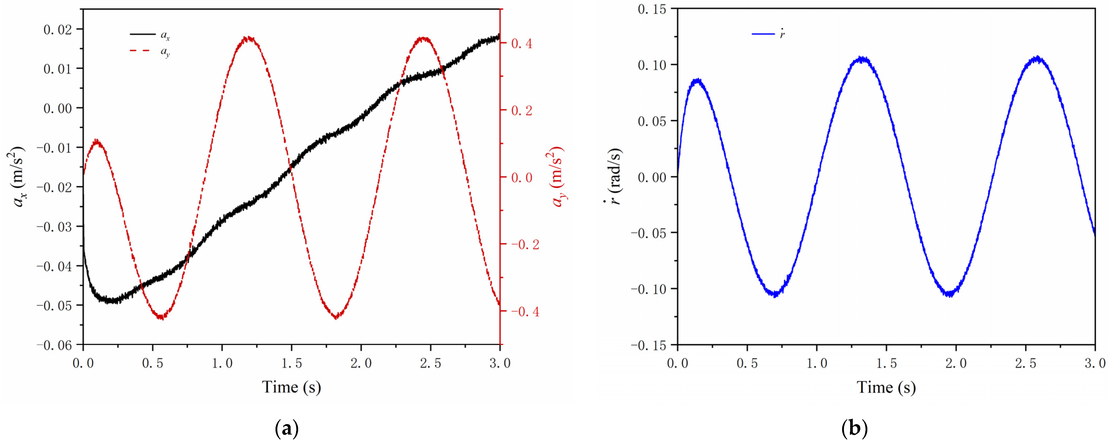
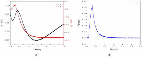
5.2.1. Serpentine Conditions
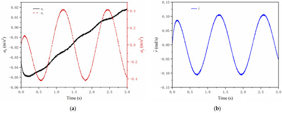
5.2.2. Step Conditions
6. Conclusions and Future Work
- (1)
- Aiming at the problem of low accuracy and poor robustness of TRFC estimation in non-Gaussian heavy-tail noise environments, this paper proposes a MCSVDGHCKF algorithm, which can solve the problems of HCKF divergence and non-positive definite in high-dimensional systems, and improve the accuracy and robustness of the estimator.
- (2)
- A sensorless control system for PMSMs is developed, employing the SMC control strategy. The utilization of the estimated rotor speed is employed in lieu of the information from the wheel angular speed sensor, and a TRFC estimation algorithm is formulated based on sensorless control of a PMSM. The efficacy of the suggested algorithm is validated by simulation studies.
- (3)
- In subsequent investigations, the authors intend to extend the scope of the proposed algorithm by including the roll and pitch motions of the vehicle.
Author Contributions
Funding
Data Availability Statement
Conflicts of Interest
References
- Shi, Y.; Li, B.; Luo, J.; Yu, F. A practical identifier design of road variations for anti-lock brake system. Veh. Syst. Dyn. 2019, 57, 336–368. [Google Scholar] [CrossRef]
- Zhang, R.; Shi, P.; Zhao, L.; Gao, Z. Research on coordinated control of electronic stability program and active suspension system based on function allocation and multi-objective fuzzy decision. Proc. Inst. Mech. Eng. Part. I J. Syst. Control Eng. 2018, 232, 1155–1169. [Google Scholar]
- Wu, X.; Zhou, B.; Wu, T.; Pan, Q. Research on intervention criterion and stability coordinated control of AFS and DYC. Int. J. Veh. Des. 2023, 90, 116–141. [Google Scholar] [CrossRef]
- Wang, Y.; Geng, K.; Xu, L.; Ren, Y.; Dong, H.; Yin, G. Estimation of sideslip angle and tire cornering stiffness using fuzzy adaptive robust cubature kalman filter. IEEE Trans. Syst. Man. Cybern. Syst. 2022, 52, 1451–1462. [Google Scholar] [CrossRef]
- Zhang, Y.; Zhang, Y.; Ai, Z.; Feng, Y.; Zhang, J.; Murphey, Y. Estimation of electric mining haul trucks’ mass and road slope using dual level reinforcement estimator. IEEE Trans. Veh. Technol. 2019, 68, 10627–10638. [Google Scholar] [CrossRef]
- Leng, B.; Jin, D.; Xiong, L.; Ying, X.; Yu, Z. Estimation of tire-road peak adhesion coefficient for intelligent electric vehicles based on camera and tire dynamics information fusion. Mech. Syst. Signal Process. 2021, 150, 107275. [Google Scholar] [CrossRef]
- Liu, F.; Wu, Y.; Yang, X.; Mo, Y.; Liao, Y. Identification of winter road friction coefficient based on multi-task distillation attention network. Pattern Anal. Appl. 2022, 25, 441–449. [Google Scholar] [CrossRef]
- Wu, Y.; Li, G.; Fan, D. Joint Estimation of Driving State and Road Adhesion Coefficient for Distributed Drive Electric Vehicle. IEEE Access 2021, 9, 75460–75469. [Google Scholar] [CrossRef]
- Xiao, F.; Hu, J.; Jia, M.; Zhu, P.; Cheng, C. A novel estimation scheme of tyre-road friction characteristics based on parameter constraints on varied-mu roads. Measurement 2022, 194, 111077. [Google Scholar] [CrossRef]
- Wang, G.; Li, S.; Feng, G.; Yang, Z. Road adhesion coefficient estimation by multi-sensors with LM-MMSOFNN algorithm. Adv. Mech. Eng. 2023, 15, 16878132231183232. [Google Scholar] [CrossRef]
- Liu, F.; Wu, Y.; Yang, X.; Mo, Y.; Liao, Y.; He, Y. Road Friction Coefficient Estimation Via Weakly Supervised Semantic Segmentation and Uncertainty Estimation. Intern. J. Pattern Recognit. Artif. Intell. 2022, 36, 2258009. [Google Scholar] [CrossRef]
- Enisz, K.; Szalay, I.; Kohlrusz, G.; Fodor, D. Tyre-road friction coefficient estimation based on the discrete-time extended Kalman filter. Proc. Inst. Mech. Eng. D J. Automob. Eng. 2015, 229, 1158–1168. [Google Scholar] [CrossRef]
- Quan, L.; Chang, R.; Guo, C. Vehicle State and Road Adhesion Coefficient Joint Estimation Based on High-Order Cubature Kalman Algorithm. Appl. Sci. 2023, 13, 10734. [Google Scholar] [CrossRef]
- Zhang, Z.; Ling, Z.; Wu, H.; Zhang, Z.; Li, Y.; Liang, Y. An estimation scheme of road friction coefficient based on novel tyre model and improved SCKF. Veh. Syst. Dyn. 2021, 60, 2775–2804. [Google Scholar] [CrossRef]
- Saadaoui, O.; Khlaief, A.; Abassi, M.; Chaari, A.; Boussak, M. A rotor initial position estimation method for sensorless field-oriented control of permanent magnet synchronous motor. Trans. Inst. Meas. Control 2018, 40, 4198–4207. [Google Scholar] [CrossRef]
- Kung, Y.-S.; Risfendra, R.; Lin, Y.; Huang, L.-C. FPGA-realization of a sensorless speed controller for PMSM drives using novel sliding mode observer. Microsyst. Technol. 2018, 24, 79–93. [Google Scholar] [CrossRef]
- Zhang, R.; Gong, C.; Shi, P.; Zhao, L.; Zheng, C.; Wang, C. The Permanent Magnet Synchronous Motor Sensorless Control of Electric Power Steering Based on Iterative Fifth-Order Cubature Kalman Filter. J. Dyn. Syst. Meas. Control 2020, 142, 081004. [Google Scholar]
- Zhang, R.; Zhang, B.; Shi, P.; Zhao, L.; Feng, Y.; Liu, Y. Estimation of state parameters and road adhesion coefficients for distributed drive electric vehicles based on a strong tracking SCKF. Proc. Inst. Mech. Eng. D J. Automob. Eng. 2024, 238, 1571–1588. [Google Scholar] [CrossRef]
- Zhang, R.; Feng, Y.; Shi, P.; Zhao, L.; Du, Y.; Liu, Y. Tire-Road Friction Coefficient Estimation for Distributed Drive Electric Vehicles Using PMSM Sensorless Control. IEEE Trans. Veh. Technol. 2023, 72, 8672–8685. [Google Scholar] [CrossRef]
- Liu, X.; Qu, H.; Zhao, J.; Yue, P.; Wang, M. Maximum Correntropy Unscented Kalman Filter for Spacecraft Relative State Estimation. Sensors 2016, 16, 1530. [Google Scholar] [CrossRef]
- You, D.; Liu, P.; Shang, W.; Zhang, Y.; Kang, Y.; Xiong, J. An Improved Unscented Kalman Filter Algorithm for Radar Azimuth Mutation. Int. J. Aerosp. Eng. 2020, 2020, 8863286. [Google Scholar] [CrossRef]
- Liu, Y.; Zhang, R.; Shi, P.; Zhao, L.; Feng, Y.; Du, Y. Distributed Electric Vehicle State Parameter Estimation Based on the ASO-SRGHCKF Algorithm. IEEE Sens. J. 2022, 22, 18780–18792. [Google Scholar]
- Liu, D.; Chen, X.; Xu, Y.; Liu, X.; Shi, C. Maximum correntropy generalized high-degree cubature Kalman filter with application to the attitude determination system of missile. Aerosp. Sci. Technol. 2019, 95, 105441. [Google Scholar] [CrossRef]















| Parameter | Value | Unit |
|---|---|---|
| Pole pairs (Pn) | 4 | |
| Stator inductance (Ls) | 0.00525 | mH |
| Stator resistance (R) | 0.958 | |
| Flux linkage () | 0.1827 | Wb |
| Rotor’s moment of inertia (J) | 0.003 | Kgm2 |
| Viscous damping (B) | 0.008 | Nms |
| Parameter | Value | Unit |
|---|---|---|
| Vehicle mass (m) | 1765 | kg |
| Yaw moment of inertia (Izz) | 2700 | Kgm2 |
| Distance from the front axle to the CG (l_f) | 1.2 | m |
| Distance from the rear axle to the CG (l_r) | 1.4 | m |
| Front wheel tread (t_f) | 1.6 | m |
| Rear wheel tread (t_r) | 1.6 | m |
| Effective rolling radius of the tire (Rm) | 0.354 | m |
| Height of CG (hcg) | 0.5 | m |
| Estimated Objects | Algorithm | |||
|---|---|---|---|---|
| MCSVDGHCKF | MCHCKF | SVDGHCKF | HCKF | |
| 0.0129 | 0.0220 | 0.0246 | 0.0263 | |
| 0.0228 | 0.0384 | 0.0410 | 0.0425 | |
| Estimated Objects | Algorithm | |||
|---|---|---|---|---|
| MCSVDGHCKF | MCHCKF | SVDGHCKF | HCKF | |
| 0.0344 | 0.0623 | 0.0708 | 0.0730 | |
| 0.0893 | 0.1928 | 0.2111 | 0.2166 | |
Disclaimer/Publisher’s Note: The statements, opinions and data contained in all publications are solely those of the individual author(s) and contributor(s) and not of MDPI and/or the editor(s). MDPI and/or the editor(s) disclaim responsibility for any injury to people or property resulting from any ideas, methods, instructions or products referred to in the content. |
© 2024 by the authors. Licensee MDPI, Basel, Switzerland. This article is an open access article distributed under the terms and conditions of the Creative Commons Attribution (CC BY) license (https://creativecommons.org/licenses/by/4.0/).
Share and Cite
Yu, B.; Hu, Y.; Zeng, D. Study on Mathematical Models for Precise Estimation of Tire–Road Friction Coefficient of Distributed Drive Electric Vehicles Based on Sensorless Control of the Permanent Magnet Synchronous Motor. Symmetry 2024, 16, 792. https://doi.org/10.3390/sym16070792
Yu B, Hu Y, Zeng D. Study on Mathematical Models for Precise Estimation of Tire–Road Friction Coefficient of Distributed Drive Electric Vehicles Based on Sensorless Control of the Permanent Magnet Synchronous Motor. Symmetry. 2024; 16(7):792. https://doi.org/10.3390/sym16070792
Chicago/Turabian StyleYu, Binghao, Yiming Hu, and Dequan Zeng. 2024. "Study on Mathematical Models for Precise Estimation of Tire–Road Friction Coefficient of Distributed Drive Electric Vehicles Based on Sensorless Control of the Permanent Magnet Synchronous Motor" Symmetry 16, no. 7: 792. https://doi.org/10.3390/sym16070792
APA StyleYu, B., Hu, Y., & Zeng, D. (2024). Study on Mathematical Models for Precise Estimation of Tire–Road Friction Coefficient of Distributed Drive Electric Vehicles Based on Sensorless Control of the Permanent Magnet Synchronous Motor. Symmetry, 16(7), 792. https://doi.org/10.3390/sym16070792

