Abstract
In this paper we use a modification of the Newtonian gravitational potential with a non-linear Yukawa-like correction, as it was proposed by C. Will earlier to obtain new bounds on graviton mass from the observed orbits of S-stars around the Galactic Center (GC). This phenomenological potential differs from the gravitational potential obtained in the weak field limit of Yukawa gravity, which we used in our previous studies. We also assumed that the orbital precession of S-stars is close to the prediction of General Relativity (GR) for Schwarzschild precession, but with a possible small discrepancy from it. This assumption is motivated by the fact that the GRAVITY Collaboration in 2020 and in 2022 detected Schwarzschild precession in the S2 star orbit around the Supermassive Black Hole (SMBH) at the GC. Using this approach, we were able to constrain parameter of the potential and, assuming that it represents the graviton Compton wavelength, we also found the corresponding upper bound of graviton mass. The obtained results were then compared with our previous estimates, as well as with the estimates of other authors.
1. Introduction
Here we use a phenomenological modification of the Newtonian gravitational potential with a non-linear Yukawa-like correction, as provided in [1,2], with the aim of obtaining new constraints on graviton mass from the observed orbits of S-stars around the Galactic Center.
The modified theories of gravity have been suggested as alternative approaches to Newtonian gravity in order to explain astrophysical observations at different astronomical and cosmological scales. There are a significant number of theories of modified gravity: [3,4,5,6,7,8,9,10,11,12].
Graviton is the gauge boson of the gravitational interaction and in GR theory is considered as massless, moving along null geodesics at the speed of light, c. On the other hand, according to a class of alternative theories, known as theories of massive gravity, gravitational interaction is propagated by a massive field, in which case graviton has some small non-zero mass [13,14,15,16,17,18,19,20,21,22,23,24]. This approach was first introduced in 1939 by Fierz and Pauli [13].
The LIGO and Virgo Collaborations considered a theory of massive gravity to be an appropriate approach and presented their estimate of the mass of the graviton, eV, in their first publication regarding gravitational wave detection from binary black holes [25]. Analyzing signals observed during the three observational runs collected in the third Gravitational-Wave Transient Catalog (GWTC-3), the LIGO–Virgo–KAGRA Collaborations obtained a stringer constraint of eV [26]. Various experimental constraints on the graviton mass are provided in [27].
There is a wide range of massive gravity theories, which have led to various phenomenologies [23]. However, several such models predict that gravitational potential in the Newtonian limit acquires a Yukawa suppression [23], so that the Poisson equation for Newtonian gravity, , is modified by graviton mass, , and as noted in [28] it then takes the following form:
in which
is the Compton wavelength of the graviton. In such a case (see, e.g., [1,2,28]), the spherically symmetric potential, , of a body of mass M is provided by
Different Yukawa-like potentials are analyzed in papers [29,30,31,32,33,34,35,36,37,38,39,40,41,42,43], and more recently in [2,23,44,45,46,47,48,49,50]. As noted in [1], the exact form of the Yukawa-like potential, , should be, in principle, derived in the frame of a complete theory of massive gravity. Therefore, in our previous investigations we studied the case of massive gravity obtained from theories (see, e.g., [51,52,53,54,55]), which resulted in the Yukawa-like potential, , with two parameters: the range of Yukawa interaction, , and its strength, . In contrast, here we follow the approach from [1] and assume the above-mentioned particular phenomenology, according to which the potential, , takes the form of Equation (3), regardless of the theoretical model that produces it. As a consequence, we also assume that the metric at leading order in the Newtonian regime is (see, e.g., [56]) as follows:
Here, we study the trajectories of S-stars orbiting the central SMBH of our Galaxy, in the frame of Yukawa gravity using the modified PPN formalism [57,58,59,60]. Our present research is the continuation of our previous investigations of different extended gravity theories, where we used astrometric observations for S-star orbits [51,52,53,54,55,61,62,63,64,65,66,67,68,69,70,71,72].
The compact radio source Sgr A* is very bright and located at the GC, while the so-called S-stars are the bright stars that move around it. The orbits of these S-stars around Sgr A*, which was recently confirmed to be an SMBH (as was expected earlier [73,74,75,76,77]), have been monitored for approximately 30 years [78,79,80,81,82,83,84,85,86,87,88,89,90,91,92,93,94,95,96]. A number of analyses of S-star orbits have been performed using available observational data by some theoretical groups (see, e.g., [97,98,99,100,101,102,103,104,105,106]).
This paper is organized as follows: in Section 2, we present orbital precession in Yukawa-like gravitational potential. In Section 3, we introduce the PPN equations of motion, together with other important expressions we use for the analysis of stellar orbits around Sgr A* in Yukawa gravity. We then perform an analysis of the potential from [2] that we previously developed for other modified potentials and obtain the results for the upper bound on graviton mass in the case of different S-stars. These results are presented and discussed in Section 4. Section 5 is devoted to the concluding remarks.
2. Orbital Precession in Yukawa-like Gravitational Potential
In order to derive the expression for orbital precession in gravitational potential (3), we assume that it does not differ significantly from the Newtonian potential, . Namely, it is well known that orbital precession, , per orbital period, induced by small perturbations to the Newtonian gravitational potential, which are described by the perturbing potential, , could be evaluated as (see, e.g., [65] and references therein)
where r is related to z via and is the semilatus rectum of the orbital ellipse. An approximate formula for orbital precession, , can be obtained by performing the power series expansion of the perturbing potential, , and by inserting the first-order term of this expansion into Equation (5), which results in
Note that a similar expression for orbital precession was obtained in [2], and it was used for bounding the Compton wavelength and mass of the graviton by the Solar System data.
3. Stellar Orbits in Extended/Modified PPN Formalisms
We simulated the orbits of S-stars around the GC using the Parameterized Post-Newtonian (PPN) equations of motion (for more details regarding the PPN approach, see, e.g., [107] and references therein). However, it is well known that Yukawa-like potentials could not be entirely represented by the standard PPN formalism and thus require its extension/modification (see the related references in [54]). This is also valid for the potential (3) and its corresponding metric (4). Moreover, since Yukawa gravity is indistinguishable from GR up to the first post-Newtonian correction [57], in addition to the standard PPN equations of motion, , in GR, PPN equations of motion, , in potential (3) also include an additional term, , with exponential correction due to the perturbing potential, . In this extended PPN formalism (denoted here as ), the equations of motion are
where is the Newtonian acceleration, is the first post-Newtonian correction, and is the additional Yukawa correction provided by the following expressions, respectively:
The additional Yukawa correction, , becomes negligible when , and then , i.e., the PPN equations of motion, , in potential (3) reduce to the standard PPN equations of motion in GR. Therefore, the orbits of S-stars in Yukawa gravity and GR can then be simulated by the numerical integration of the corresponding expressions (7).
The orbital precession in GR is provided by the well-known expression for the Schwarzschild precession [108],
where a is the semi-major axis and e is the eccentricity of the orbit. Recently, the GRAVITY Collaboration detected the orbital precession of the S2 star around the SMBH at the GC and showed that it was close to the above prediction of GR [95]. For that purpose, they introduced an ad hoc factor, , in front of the first post-Newtonian correction of GR in order to parametrize the effect of the Schwarzschild metric. In this modified PPN formalism (denoted here as ), the equations of motion are provided by
The corresponding modified expression for the Schwarzschild precession is [95]
For , expression (10) reduces to the standard PPN equations of motion, , in GR provided in Equation (7), while expression (11) also reduces to the corresponding GR prediction from Equation (9). The parameter shows to what extent some gravitational models are relativistic, and it is defined as , where and are the post-Newtonian parameters, and in the case of GR both of them are equal to 1 (and thus in this case). For , the Newtonian case is recovered. However, in the case of the S2 star a value of was obtained by the GRAVITY Collaboration, indicating the orbital precession of in its orbit around Sgr A* [95]. Recently, this collaboration updated the above first estimate to , also obtained from the detected Schwarzschild precession of the S2 star’s orbit [109]. Furthermore, they also presented the following estimate obtained from the fit with the four-star (S2, S29, S38, S55) data with the uncertainty: [109].
4. Results: Constraints on the Compton Wavelength and Mass of the Graviton
The constraints on parameter , under which the orbital precession in the gravitational potential (3) deviates from the Schwarzschild precession in GR by a factor , can be obtained provided that the total orbital precession in Yukawa gravity, provided by the sum , is close to the observed precession, , obtained by the GRAVITY Collaboration:
Taking into account the third Kepler law (since the orbits are almost Keplerian),
then from Equations (12) and (13) one can obtain the following relation between and :
The above condition can be used for constraining the Compton wavelength, , of the graviton by the observed values of only in cases when is larger than 1, since always provides a positive contribution to the total precession in Equation (12). The corresponding constraints on the graviton mass, , can then be found by inserting the obtained value of into Equation (2). The relative error of parameter (and thus of the graviton mass, ) in this case can be found by differentiating the logarithm of the above expression (14):
It can bee seen that potential (3) results in the same relative errors as the corresponding Yukawa potential derived in the frame of theories of gravity (see, e.g., [55]).
We first used three estimates for , obtained by the GRAVITY Collaboration, in order to find the corresponding constraints on the Compton wavelength, , of the graviton and its mass, , in the case of the S2 star. These are the values of detected by GRAVITY collaboration in the case of S2 star [95,109], as well as from the combination of a few other stars: S2, S29, S38, and S55 [109]. For two estimates that were lower than 1, we used the upper limits of their intervals, i.e., the values . The obtained constraints are provided in Table 1, from which it can be seen that the most reliable result was obtained in the case of with the lowest uncertainty, resulting from the fit with the four-star data. In that case, the relative error for and was the lowest. In contrast, the worst constraint with an unrealistically high relative error was obtained in the second case with the lowest value of , due to the fact that it is too close to the corresponding prediction of GR. By comparing the results obtained in the first case with our previous corresponding estimates from Table I in [55], obtained for Yukawa-like potential derived from theories of gravity, it can be seen that the upper bound on graviton mass, , and its absolute error, , were improved by ∼30% in the case of the phenomenological potential (3), although the relative error remained the same.
Table 1.
The Compton wavelength of the graviton, , and its mass, , as well as their relative and absolute errors, calculated for three different values of in the case of the S2 star.
In the first case of , we also graphically compared the simulated orbits of the S2 star, obtained by the numerical integration of the equations of motion in the formalism provided by Equation (10), with those in the formalism provided by Equation (7) for AU, which corresponds to this according to Equation (14). The comparisons during one and five orbital periods are presented in the top-left and bottom-left panels of Figure 1, respectively, while in the corresponding right panels we present the differences between the corresponding x and y coordinates in these two PPN formalisms as the functions of time. In order to see more clearly the difference between the simulated orbits of the S2 star in two PPN formalisms, we show in the middle panel of Figure 1 part of its orbit near the pericenter (left panel) and near the apocenter (right panel).
Figure 1.
Top left: Comparison between the simulated orbits of the S2 star during one orbital period, obtained by numerical integration of the equations of motion provided by Equation (10) in the formalism for (blue dotted line) and those provided by Equation (7) in the formalism for AU (red dashed line), which corresponds to according to Equation (14). Top right: The differences between the corresponding x and y coordinates in the and formalisms as the functions of time. Middle: Comparison between the simulated orbits of the S2 star, near pericenter (left) and near apocenter (right) in two PPN formalisms. Bottom: The same as in the top panel, but for five orbital periods.
As can be seen from Figure 1, the differences between the simulated orbits of the S2 star in these two PPN formalisms are very small, and the maximum discrepancy between the corresponding coordinates during the first orbital period is only ∼2 AU at the pericenter. This discrepancy slowly increases with time during the successive orbital periods due to neglecting the higher-order terms in the power-series expansion of the perturbing potential, , in Equation (5). One should also note that the two PPN formalisms provide close, but not exactly the same, epochs of pericenter passage, as can be seen from the top-right panel of Figure 1.
This sufficiently small difference between the simulated orbits in the two studied PPN formalisms confirms that relation (14) could be used for obtaining the constraints on the Compton wavelength, , of the graviton and its mass, , from the latest estimates for obtained by the GRAVITY Collaboration.
Taking the above considerations into account, we then estimated the Compton wavelength, , of the graviton, its mass, , and also their relative and absolute errors for all S-stars from Table 3 in [85], except for the S111 star. For that purpose, and in order to avoid the cases when , we adopted the same strategy as in [55] and assumed that the recent GRAVITY estimates for are very close to the value in GR of , so that these estimates represent a confirmation of GR within . Therefore, we constrained the graviton mass, , in the particular cases when , i.e., for , , and . As before, we used the expressions (14), (15), and (2) for this purpose, and the obtained results are presented in Table 2 and Table 3. Furthermore, Table 2 also contains the results for since, as shown in Table 1, this estimate is sufficiently larger than 1.
Table 2.
The Compton wavelength of the graviton, , and its mass, , as well as their relative and absolute errors, calculated for and in the case of all S-stars from Table 3 in [85], except for S111.
Table 3.
The same as in Table 2, but for and .
Using data from these tables, in Figure 2 we provide the comparison of the estimated Compton wavelength, , of the graviton, as well as for the graviton mass upper bound, for four stars (S2, S29, S38, S55), which the GRAVITY Collaboration used for the newest estimation of . As can be seen from Figure 2, all constraints in the case of the S2, S38, and S55 stars are approximately of the same order of magnitude ( AU and eV). The only exception is the S29 star since it results with an order of magnitude larger values of , and hence an order of magnitude smaller than estimates for the upper bound on graviton mass, . This is not surprising because the S29 star has a much longer orbital period of ∼101 yrs. with respect to the orbital periods of the other three stars, which are ∼13–20 yrs. (see Table 3 from [85]).
Figure 2.
Left: Constraints on the Compton wavelength, , of the graviton from the orbits of the S2, S29, S38, and S55 stars, in cases of the following estimates: 1.1, 1.144, 1.16, and 1.19. Right: Upper bounds on graviton mass, , for the same group of S-stars and the same .
If one compares these results with our previous corresponding estimates from Tables I and III in [55], obtained for Yukawa-like potential derived from theories of gravity, it can be noticed that both the upper bound on graviton mass, , and its absolute error in the case of Yukawa-like potential (3) were further improved by ∼ 30%, in a similar way as for the S2 star in the first case from Table 1 (i.e., for ).
Although the current GRAVITY estimates of (from [95]) and and (from [109]) can improve our previous constraints on the upper bound of graviton mass for ∼30% (these results can be compared with our previous corresponding estimates from Tables I and III in [55] for the corresponding S-star), we have to stress that we made the assumption that has been measured for all S-star orbits already to a given precision. In reality, it is expected that the orbits of different S-stars should result with slightly different measured values and accuracies of . Because of this, our assumption that is the same for all S-stars (see Table 2 and Table 3) probably does not hold.
PPN Fit of the Observed Orbit of the S2 Star
In order to verify the results presented in Table 2 and Table 3, we also estimated the value of the Compton wavelength, , of the graviton by fitting the simulated orbits in the extended formalism into the observed orbit of the S2 star. For this purpose, we used the publicly available astrometric observations of the S2 star from [85]. Orbital fitting in the frame of extended formalism (7) was performed by minimization of the reduced statistics,
where is the i-th observed position, is the corresponding calculated position, N is the number of observations, is number of unknown parameters, and and are the observed astrometric uncertainties.
The values of the graviton Compton wavelength, , SMBH mass, M, distance, R, to the GC, and the osculating orbital elements , which correspond to the minimum of , were found using the differential evolution optimization method, implemented as Python Scipy function: https://docs.scipy.org/doc/scipy/reference/generated/scipy.optimize.differential_evolution.html (accessed on 1 February 2024). This is a population-based metaheuristic search technique of finding the global minimum of a multivariate function, which is especially suitable in evolutionary computations since it is stochastic in nature, does not use gradient descent to find the minimum, can search large areas of candidate space, and seeks to iteratively enhances a candidate solution concerning a specified quality metric. In order to improve the minimization slightly, the final result of the differential evolution optimization is further enhanced at the end using Python Scipy function: https://docs.scipy.org/doc/scipy/reference/generated/scipy.optimize.minimize.html (accessed on 1 February 2024). This also results in an approximation for the inverse Hessian matrix of , which, on the other hand, could be considered as a good estimation for the covariance matrix of the parameters. Therefore, the standard error for each fitted parameter can be calculated by taking the square root of the respective diagonal element of this covariance matrix.
A particular value of that corresponds to some specific combination of the mentioned adjustable parameters is calculated in the following way:
- 1.
- First, a simulated orbit of the S2 star in the extended formalism is calculated by numerical integration of the equations of motion (7), starting from initial conditions , where the first two components specify the initial position and the last two the initial velocity in the orbital plane. In our simulations, the initial conditions correspond to the time of apocenter passage, , preceding the first astrometric observation at : , where T is the time of pericenter passage, P is the orbital period, and k is the smallest positive integer (number of periods) for which . Then, the initial conditions are: , , , and where is the apocenter distance and is the corresponding orbital velocity at the apocenter.
- 2.
- The true orbit obtained in the first step, which depends only on , was then projected to the observer’s sky plane using the remaining geometrical orbital elements , in order to obtain the corresponding positions along the apparent orbit,where , and G are the Thiele–Innes elements:In addition, the radial velocities, , are obtained from the corresponding true positions and orbital velocities as (see, e.g., [62] and references therein)where .
- 3.
- Finally, is obtained according to Equation (16), taking into account only those apparent positions that are calculated at the same epochs as the astrometric observations .
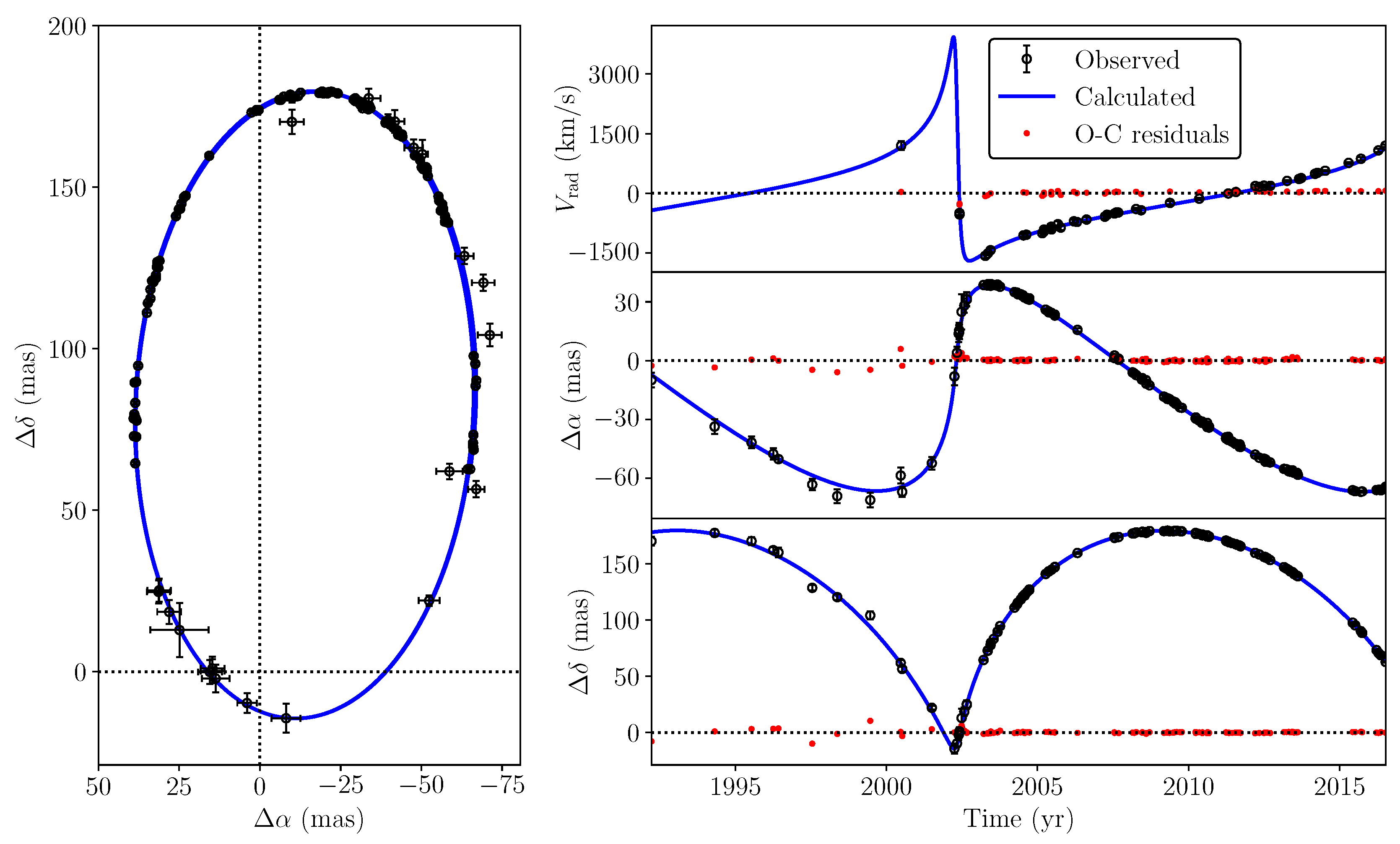
The obtained results of the orbital fitting in the case of the S2 star are presented in Figure 3, and the corresponding best-fit values of the parameters are provided in Table 4. As can be seen from Figure 3, and since the best fit resulted with , which is only slightly larger than 1, the best-fit orbit of the S2 star in the extended formalism is in very good agreement with the observations.
Figure 3.
Left: Comparison between the best-fit orbit of the S2 star (blue solid line), simulated in the extended formalism, and the corresponding astrometric observations from [85] (black circles with error bars). Right: The same for the radial velocity of the S2 star (top), as well as for its (middle) and (bottom) offset relative to the position of Sgr A* at the coordinate origin. Red dots in the right panels denote the corresponding O–C residuals.
Table 4.
Best-fit values of the graviton Compton wavelength, , SMBH mass, M, and distance, R, to the GC and the osculating orbital elements of the S2 star orbit.
Concerning the graviton Compton wavelength, , obtained from the S2 star orbit, it can be seen that its best-fit value of AU from Table 4 is slightly larger, but still within the error intervals of the corresponding values from Table 2 and Table 3, obtained according to Equation (14) from the detected values of . Therefore, the results of direct orbital fitting are in agreement with our constraints on the graviton Compton wavelength, , and mass, , presented in Table 2 and Table 3, which were obtained from the values of estimated by the GRAVITY Collaboration.
5. Conclusions
Here we used the phenomenological Yukawa-like gravitational potential from [1,2] in order to obtain the constraints on the graviton mass, , from the detected Schwarzschild precession in the observed stellar orbits around the SMBH at the GC. For this purpose, we used two modified/extended PPN formalisms in order to derive the relation between the Compton wavelength, , of the graviton and parameter , which parametrizes the effect of the Schwarzschild metric and was obtained by the GRAVITY Collaboration from the observed stellar orbits at the GC. The results from this study can be summarized as follows:
- 1.
- We found the condition for parameter of the phenomenological Yukawa-like gravitational potential (3) under which the orbital precession in this potential deviates from the Schwarzschild precession in GR by a factor ;
- 2.
- 3.
- Both of the studied PPN formalisms result in close and very similar simulated orbits of S-stars, which practically overlap during the first orbital period and then begin to slowly diverge over time due to some assumed theoretical approximations;
- 4.
- In most cases, the constraints on the upper bound on graviton mass, , and its absolute error, , obtained using the phenomenological potential (3), were improved by ∼30% in respect to our previous corresponding estimates from [55], obtained using a slightly different Yukawa-like potential derived in the frame of theories of gravity, although the relative errors in both cases remained the same;
- 5.
- These results were also confirmed in the case of the S2 star by fitting its observed orbit into the frame of the extended formalism, which resulted in the best-fit value for the graviton Compton wavelength, , within the error intervals of its corresponding estimates obtained according to Equation (14) from the detected values of ;
- 6.
- The least reliable constraints with unrealistically high uncertainties were only obtained from estimates for that were very close to its value predicted by GR, being only slightly larger than 1;
- 7.
- If one compares the results from Table 2 with those from Table 3, it can be seen that the upper bounds on graviton mass, , are very similar. In the case of the S2 star, eV and the relative error is approximately 50%. We can conclude that more precise future observations are required in order to further improve the upper graviton mass bounds.
Author Contributions
Methodology, P.J., V.B.J., D.B. and A.F.Z.; investigation, P.J., V.B.J., D.B. and A.F.Z.; writing—original draft preparation, P.J., V.B.J., D.B. and A.F.Z.; writing—review and editing, P.J., V.B.J., D.B. and A.F.Z. All coauthors participated in writing, calculation and discussion of obtained results. All authors have read and agreed to the published version of the manuscript.
Funding
This research was funded by the Ministry of Science, Technological Development and Innovations of the Republic of Serbia through the Project contracts No. 451-03-66/2024-03/200002 and 451-03-66/2024-03/200017.
Data Availability Statement
Data are contained within the article.
Conflicts of Interest
The authors declare no conflicts of interest.
Abbreviations
The following abbreviations are used in this manuscript:
| GC | Galactic Center |
| GR | General Relativity |
| SMBH | Supermassive Black Hole |
| PPN formalism | Parameterized Post-Newtonian formalism |
References
- Will, C.M. Bounding the mass of the graviton using gravitational-wave observations of inspiralling compact binaries. Phys. Rev. D 1998, 57, 2061. [Google Scholar] [CrossRef]
- Will, C.M. Solar system versus gravitational-wave bounds on the graviton mass. Class. Quant. Grav. 2018, 35, 17LT01. [Google Scholar] [CrossRef]
- Fischbach, E.; Talmadge, C.L. The Search for Non–Newtonian Gravity; Springer: Heidelberg, Germany; New York, NY, USA, 1999; 305p. [Google Scholar]
- Kopeikin, S.; Vlasov, I. Parametrized post-Newtonian theory of reference frames, multipolar expansions and equations of motion in the N-body problem. Phys. Rep. 2004, 400, 209. [Google Scholar] [CrossRef]
- Clifton, T. Alternative Theories of Gravity; University of Cambridge: Cambridge, UK, 2006. [Google Scholar] [CrossRef]
- Capozziello, S.; de Laurentis, M. Extended Theories of Gravity. Phys. Rep. 2011, 509, 167. [Google Scholar] [CrossRef]
- Capozziello, S.; Faraoni, V. Beyond Einstein Gravity: A Survey of Gravitational Theories for Cosmology and Astrophysics; Fundamental Theories of Physics; Springer: Dordrecht, The Netherlands, 2011; Volume 170. [Google Scholar]
- Nojiri, S.; Odintsov, S.D. Unified cosmic history in modified gravity: From F(R) theory to Lorentz non-invariant models. Phys. Rept. 2011, 505, 59. [Google Scholar] [CrossRef]
- Capozziello, S.; Laurentis, M.D. The dark matter problem from f(R) gravity viewpoint. Ann. Phys. 2012, 524, 545. [Google Scholar] [CrossRef]
- Clifton, T.; Ferreira, P.G.; Padilla, A.; Skordis, C. Modified gravity and cosmology. Phys. Rep. 2012, 513, 1. [Google Scholar]
- Nojiri, S.; Odintsov, S.D.; Oikonomou, V.K. Modified Gravity Theories on a Nutshell: Inflation, Bounce and Late-time Evolution. Phys. Rept. 2017, 692, 1. [Google Scholar] [CrossRef]
- Salucci, P.; Esposito, G.; Lambiase, G.; Battista, E.; Benetti, M.; Bini, D.; Boco, L.; Sharma, G.; Bozza, V.; Buoninfante, L.; et al. Einstein, Planck and Vera Rubin: Relevant encounters between the Cosmological and the Quantum Worlds. Front. Phys. 2021, 8, 603190. [Google Scholar] [CrossRef]
- Fierz, M.; Pauli, W. On Relativistic Wave Equations for Particles of Arbitrary Spin in an Electromagnetic Field. Proc. R. Soc. Lond. Ser. A 1939, 173, 211. [Google Scholar]
- Logunov, A.A.; Mestvirishvili, M.A.; Chugreev, Y.V. Graviton Mass and Evolution of a Friedmann Universe. Theor. Math. Phys. 1988, 74, 1. [Google Scholar] [CrossRef]
- Chugreev, Y.V. Cosmological consequences of the relativistic theory of gravitation with massive gravitons. Theor. Math. Phys. 1989, 79, 554. [Google Scholar] [CrossRef]
- Gershtein, S.S.; Logunov, A.A.; Mestvirishvili, M.A. Graviton Mass and the Total Relative Mass Density Ωtot in the Universe. Dokl. Phys. 2003, 48, 282. [Google Scholar] [CrossRef]
- Gershtein, S.S.; Logunov, A.A.; Mestvirishvili, M.A.; Tkachenko, N.P. Graviton mass, quintessence, and oscillatory character of Universe evolution. Phys. Atomic Nucl. 2004, 67, 1596. [Google Scholar] [CrossRef][Green Version]
- Gershtein, S.S.; Logunov, A.A.; Mestvirishvili, M.A. Gravitational field self-limitation and its role in the Universe. Phys.-Uspekhi 2006, 49, 1179. [Google Scholar] [CrossRef]
- Rubakov, V.A.; Tinyakov, P.G. Infrared-modified gravities and massive gravitons. Phys. Usp. 2008, 51, 759. [Google Scholar] [CrossRef]
- Babichev, E.; Deffayet, C.; Ziour, R. Recovery of general relativity in massive gravity via the Vainshtein mechanism. Phys. Rev. D 2010, 82, 104008. [Google Scholar] [CrossRef]
- de Rham, C.; Gabadadze, G.; Tolley, A.J. Resummation of Massive Gravity. Phys. Rev. Lett. 2011, 89, 231101. [Google Scholar] [CrossRef] [PubMed]
- de Rham, C. Massive Gravity. Living Rev. Relativ. 2014, 17, 7. [Google Scholar] [CrossRef]
- de Rham, C.; Deskins, J.T.; Tolley, A.J.; Zhou, S.-Y. Massive Gravity. Rev. Mod. Phys. 2017, 89, 025004. [Google Scholar] [CrossRef]
- Boulware, D.G.; Deser, S. Can Gravitation Have a Finite Range? Phys. Rev. D 1972, 6, 3368. [Google Scholar] [CrossRef]
- LIGO Scientific Collaboration and Virgo Collaboration; Abbott, B.P.; Abbott, R.; Abbott, T.; Abernathy, M.R.; Acernese, F.; Ackley, K.; Adams, C.; Adams, T.; Addesso, P.; et al. Observation of Gravitational Waves from a Binary Black Hole Merger. Phys. Rev. Lett. 2016, 116, 061102. [Google Scholar] [CrossRef] [PubMed]
- LIGO Scientific Collaboration; Virgo Collaboration and KAGRA Collaboration; Abbott, R.; Abe, H.; Acernese, F.; Ackley, K.; Adhikari, N.; Adhikari, R.X.; Adkins, V.K.; Adya, V.B.; et al. Tests of General Relativity with GWTC-3. arXiv 2021, arXiv:2112.06861. [Google Scholar]
- Particle Data Group. Review of particle physics. Progr. Theor. Exper. Phys. 2022, 2022, 083C01. [Google Scholar] [CrossRef]
- Poisson, E.; Will, C.M. Gravity (Newtonian, Post-Newtonian, Relativistic); Cambridge University Press: Cambridge, UK, 2014; ISBN 978-1-107-03286-6. [Google Scholar]
- Sanders, R.H. Anti-gravity and galaxy rotation curves. Astron. Astrophys. 1984, 136, L21. [Google Scholar]
- Talmadge, C.; Berthias, J.-P.; Hellings, R.W.; Standish, E.M. Model-independent constraints on possible modifications of Newtonian gravity. Phys. Rev. Lett. 1988, 61, 1159. [Google Scholar] [CrossRef]
- White, M.J.; Kochanek, C.S. Constraints on the long-range properties of gravity from weak gravitational lensing. Astrophys. J. 2001, 560, 539. [Google Scholar] [CrossRef]
- Amendola, L.; Quercellini, C. Skewness as a test of the equivalence principle. Phys. Rev. Lett. 2004, 92, 181102. [Google Scholar] [CrossRef]
- Reynaud, S.; Jaekel, M.-T. Testing the Newton law at long distances. Int. J. Mod. Phys. A 2005, 20, 2294. [Google Scholar] [CrossRef]
- Sealfon, C.; Verde, L.; Jimenez, R. Limits on deviations from the inverse-square law on megaparsec scales. Phys. Rev. D 2005, 71, 083004. [Google Scholar] [CrossRef]
- Moffat, J.W. Gravitational theory, galaxy rotation curves and cosmology without dark matter. J. Cosmol. Astropart. P. 2005, 5, 22. [Google Scholar] [CrossRef]
- Moffat, J.W. Scalar tensor vector gravity theory. J. Cosmol. Astropart. P. 2006, 03, 004. [Google Scholar] [CrossRef]
- Sereno, M.; Jetzer, P. Dark matter versus modifications of the gravitational inverse-square law: Results from planetary motion in the Solar system. Mon. Not. R. Astron. Soc. 2006, 371, 626. [Google Scholar] [CrossRef]
- Capozziello, S.; Stabile, A.; Troisi, A. Newtonian limit of f(R) gravity. Phys. Rev. D 2007, 76, 104019. [Google Scholar] [CrossRef]
- Iorio, L. Constraints on the range Λ of Yukawa-like modifications to the Newtonian inverse-square law of gravitation from Solar System planetary motions. J. High Energy Phys. 2007, 10, 41. [Google Scholar] [CrossRef]
- Iorio, L. Putting Yukawa-like Modified Gravity (MOG) on the test in the Solar System. Sch. Res. Exch. 2008, 2008, 238385. [Google Scholar] [CrossRef][Green Version]
- Adelberger, E.G.; Gundlach, J.H.; Heckel, B.R.; Hoedl, S.; Schlamminger, S. Torsion balance experiments: A low-energy frontier of particle physics. Prog. Part. Nucl. Phys. 2009, 62, 102. [Google Scholar] [CrossRef]
- Capozziello, S.; de Filippis, E.; Salzano, V. Modelling clusters of galaxies by f(R)-gravity. Mon. Not. R. Astron. Soc. 2009, 394, 947. [Google Scholar] [CrossRef]
- Cardone, V.F.; Capozziello, S. Systematic biases on galaxy haloes parameters from Yukawa-like gravitational potentials. Mon. Not. R. Astron. Soc. 2011, 414, 1301. [Google Scholar] [CrossRef]
- Miao, X.; Shao, L.; Ma, B.-Q. Bounding the mass of graviton in a dynamic regime with binary pulsars. Phys. Rev. D 2019, 99, 123015. [Google Scholar] [CrossRef]
- Capozziello, S.; Altucci, C.; Bajardi, F.; Basti, A.; Beverini, N.; Carelli, G.; Ciampini, D.; Di Virgilio, A.D.; Fuso, F.; Giacomelli, U.; et al. Constraining theories of gravity by GINGER experiment. Eur. Phys. J. Plus 2021, 136, 394. [Google Scholar] [CrossRef]
- De Martino, I.; della Monica, R.; De Laurentis, M. f(R)-gravity after the detection of the orbital precession of the S2 star around the Galactic centre massive black hole. Phys. Rev. D 2021, 104, L101502. [Google Scholar] [CrossRef]
- della Monica, R.; De Martino, I.; De Laurentis, M. Constraining MOdified Gravity with the S2 star. Universe 2022, 8, 137. [Google Scholar] [CrossRef]
- Benisty, D. Testing modified gravity via Yukawa potential in two body problem: Analytical solution and observational constraints. Phys. Rev. D 2022, 106, 043001. [Google Scholar] [CrossRef]
- Dong, Y.; Shao, L.; Hu, Z.; Miao, X.; Wang, Z. Prospects for constraining the Yukawa gravity with pulsars around Sagittarius A*. J. Cosmol. Astropart. P. 2022, 11, 51. [Google Scholar] [CrossRef]
- Tan, Y.; Lu, Y. Constraining the Yukawa Gravity with Post Newtonian Approximation using S-star Orbits around the Supermassive Black Hole in our Galactic Center. arXiv 2024, arXiv:2402.00333. [Google Scholar]
- Borka, D.; Capozziello, S.; Jovanović, P.; Borka Jovanović, V. Probing hybrid modified gravity by stellar motion around Galactic Center. Astropart. Phys. 2016, 79, 41. [Google Scholar] [CrossRef]
- Zakharov, A.F.; Jovanović, P.; Borka, D.; Borka Jovanović, V. Constraining the range of Yukawa gravity interaction from S2 star orbits II: Bounds on graviton mass. J. Cosmol. Astropart. Phys. 2016, 5, 45. [Google Scholar] [CrossRef]
- Jovanović, P.; Borka, D.; Borka Jovanović, V.; Zakharov, A.F. Influence of bulk mass distribution on orbital precession of S2 star in Yukawa gravity. Eur. Phys. J. D 2021, 75, 145. [Google Scholar] [CrossRef]
- Jovanović, P.; Borka Jovanović, V.; Borka, D.; Zakharov, A.F. Constraints on Yukawa gravity parameters from observations of bright stars. J. Cosmol. Astropart. Phys. 2023, 3, 056. [Google Scholar] [CrossRef]
- Jovanović, P.; Borka Jovanović, V.; Borka, D.; Zakharov, A.F. Improvement of graviton mass constraints using GRAVITY’s detection of Schwarzschild precession in the orbit of S2 star around the Galactic Center. Phys. Rev. D 2024, 109, 064046. [Google Scholar] [CrossRef]
- Bernus, L.; Minazzoli, O.; Fienga, A.; Gastineau, M.; Laskar, J.; Deram, P. Constraining the Mass of the Graviton with the Planetary Ephemeris INPOP. Phys. Rev. Lett. 2019, 123, 161103. [Google Scholar] [CrossRef] [PubMed]
- Clifton, T. Parametrized post-Newtonian limit of fourth-order theories of gravity. Phys. Rev. D 2008, 77, 24041. [Google Scholar] [CrossRef]
- Alsing, J.; Berti, E.; Will, C.M.; Zaglauer, H. Gravitational radiation from compact binary systems in the massive Brans-Dicke theory of gravity. Phys. Rev. D 2012, 85, 064041. [Google Scholar] [CrossRef]
- Gainutdinov, R.I. PPN Motion of S-Stars around Sgr A*. Astrophysics 2020, 63, 470. [Google Scholar] [CrossRef]
- Gainutdinov, R.; Baryshev, Y. Relativistic Effects in Orbital Motion of the S-Stars at the Galactic Center. Universe 2020, 6, 177. [Google Scholar] [CrossRef]
- Borka, D.; Jovanović, P.; Borka Jovanović, V.; Zakharov, A.F. Constraints on Rn gravity from precession of orbits S2-like stars. Phys. Rev. D 2012, 85, 124004. [Google Scholar] [CrossRef]
- Borka, D.; Jovanović, P.; Borka Jovanović, V.; Zakharov, A.F. Constraining the range of Yukawa gravity interaction from S2 star orbits. J. Cosmol. Astropart. Phys. 2013, 11, 50. [Google Scholar] [CrossRef]
- Zakharov, A.F.; Borka, D.; Borka Jovanović, V.; Jovanović, P. Constraints on Rn gravity from precession of orbits of S2-like stars: A case of a bulk distribution of mass. Adv. Space Res. 2014, 54, 1108. [Google Scholar] [CrossRef]
- Capozziello, S.; Borka, D.; Jovanović, P.; Borka Jovanović, V.B. Constraining Extended Gravity Models by S2 star orbits around the Galactic Centre. Phys. Rev. D 2014, 90, 44052. [Google Scholar] [CrossRef]
- Zakharov, A.F.; Jovanović, P.; Borka, D.; Borka Jovanović, V. Constraining the range of Yukawa gravity interaction from S2 star orbits III: Improvement expectations for graviton mass bounds. J. Cosmol. Astropart. Phys. 2018, 4, 50. [Google Scholar] [CrossRef]
- Dialektopoulos, K.F.; Borka, D.; Capozziello, S.; Borka Jovanović, V.; Jovanović, P. Constraining nonlocal gravity by S2 star orbits. Phys. Rev. D 2019, 99, 044053. [Google Scholar] [CrossRef]
- Borka Jovanović, V.; Jovanović, P.; Borka, D.; Capozziello, S.; Gravina, S.; D’Addio, A. Constraining scalar-tensor gravity models by S2 star orbits around the Galactic Center. Facta Univ. Ser. Phys. Chem. Technol. 2019, 17, 11. [Google Scholar] [CrossRef]
- Borka, D.; Borka Jovanović, V.; Capozziello, S.; Zakharov, A.F.; Jovanović, P. Estimating the Parameters of Extended Gravity Theories with the Schwarzschild Precession of S2 Star. Universe 2021, 7, 407. [Google Scholar] [CrossRef]
- Zakharov, A.F. Testing the Galactic Centre potential with S-stars. Mon. Not. R. Astron. Soc. Lett. 2022, 511, L35. [Google Scholar] [CrossRef]
- Zakharov, A.F. Orbits of Bright Stars Near the Galactic Center as a Tool to Test Gravity Theories. Mosc. Univ. Phys. Bull. 2022, 77, 341. [Google Scholar] [CrossRef]
- Zakharov, A.F. Trajectories of Bright Stars and Shadows around Supermassive Black Holes as Tests of Gravity Theories. Phys. Part. Nucl. 2023, 54, 889. [Google Scholar] [CrossRef]
- Borka, D.; Borka Jovanović, V.; Nikolić, V.N.; Lazarov, N.D.; Jovanović, P. Estimating the parameters of Hybrid Palatini gravity model with the Schwarzschild precession of S2, S38 and S55 stars: Case of bulk mass distribution. Universe 2022, 8, 70. [Google Scholar] [CrossRef]
- Lynden-Bell, D.; Rees, M.J. The Galactic Center. Mon. Not. R. Astron. Soc. 1971, 152, 461. [Google Scholar] [CrossRef]
- Oort, J.H. The Galactic Center. Annu. Rev. Astron. Astrophys. 1977, 15, 295. [Google Scholar] [CrossRef]
- Rees, M.J. The Compact Source at the Galactic Center. AIP Conf. Proc. 1982, 83, 166. [Google Scholar]
- Genzel, R.; Townes, C.H. Physical conditions, dynamics, and mass distribution in the center of the Galaxy. Ann. Rev Astron. Astrophys. 1987, 25, 377. [Google Scholar] [CrossRef]
- Townes, C.H.; Genzel, R. What is Happening at the Center of Our Galaxy? Sci. Am. 1990, 262, 46. [Google Scholar] [CrossRef]
- Ghez, A.M.; Morris, M.; Becklin, E.E.; Tanner, A.; Kremenek, T. The accelerations of stars orbiting the Milky Way’s central black hole. Nature 2000, 407, 349. [Google Scholar] [CrossRef] [PubMed]
- Schodel, R.; Ott, T.; Genzel, R.; Hofmann, R.; Lehnert, M.; Eckart, A.; Mouawad, N.; Alexander, T.; Reid, M.J.; Lenzen, R.; et al. Closest star seen orbiting the supermassive black hole at the Centre of the Milky Way. Nature 2002, 419, 694. [Google Scholar] [CrossRef] [PubMed]
- Ghez, A.M.; Salim, S.; Weinberg, N.N.; Lu, J.R.; Do, T.; Dunn, J.K.; Matthews, K.; Morris, M.R.; Yelda, S.; Becklin, E.E.; et al. Measuring distance and properties of the Milky Way’s central supermassive black hole with stellar orbits. Astrophys. J. 2008, 689, 1044. [Google Scholar] [CrossRef]
- Gillessen, S.; Eisenhauer, F.; Fritz, T.K.; Bartko, H.; Dodds-Eden, K.; Pfuhl, O.; Ott, T.; Genzel, R. The orbit of the star S2 around Sgr A* from very large telescope and Keck data. Astrophys. J. 2009, 707, L114. [Google Scholar] [CrossRef]
- Gillessen, S.; Eisenhauer, F.; Trippe, S.; Alexander, T.; Genzel, R.; Martins, F.; Ott, T. Monitoring stellar orbits around the massive black hole in the Galactic Center. Astrophys. J. 2009, 692, 1075. [Google Scholar] [CrossRef]
- Genzel, R.; Eisenhauer, F.; Gillessen, S. The Galactic Center massive black hole and nuclear star cluster. Rev. Mod. Phys. 2010, 82, 3121. [Google Scholar] [CrossRef]
- Meyer, L.; Ghez, A.M.; Schödel, R.; Yelda, S.; Boehle, A.; Lu, J.R.; Do, T.; Morris, M.R.; Becklin, E.E.; Matthews, K. The Shortest-Known-Period Star Orbiting Our Galaxy’s Supermassive Black Hole. Science 2012, 338, 84. [Google Scholar] [CrossRef]
- Gillessen, S.; Plewa, P.M.; Eisenhauer, F.; Sari, R.E.; Waisberg, I.; Habibi, M.; Pfuhl, O.; George, E.; Dexter, J.; von Fellenberg, S.; et al. An Update on Monitoring Stellar Orbits in the Galactic Center. Astrophys. J. 2017, 837, 30. [Google Scholar] [CrossRef]
- Hees, A.; Do, T.; Ghez, A.M.; Martinez, G.D.; Naoz, S.; Becklin, E.E.; Boehle, A.; Chappell, S.; Chu, D.; Dehghanfar, A.; et al. Testing General Relativity with Stellar Orbits around the Supermassive Black Hole in Our Galactic Center. Phys. Rev. Lett. 2017, 118, 211101. [Google Scholar] [CrossRef]
- Hees, A.; Ghez, A.M.; Do, T.; Lu, J.R.; Morris, M.R.; Becklin, E.E.; Witzel, G.; Boehle, A.; Chappell, S.; Chen, Z.; et al. Testing the gravitational theory with short-period stars around our Galactic Center. In Proceedings of the 52th Rencontres de Moriond, 2017 Gravitation, La Thuile, Italy, 25 March–1 April 2017; Auge, E., Dumarchez, J., Van, J.T.T., Eds.; ARISF: Lausanne, Switzerland, 2017; pp. 283–286. Available online: https://moriond.in2p3.fr/Proceedings/2017/Moriond_Gravitation_2017.pdf (accessed on 1 February 2024).
- Chu, D.S.; Do, T.; Hees, A.; Ghez, A.; Naoz, S.; Witzel, G.; Sakai, S.; Chappell, S.; Gautam, A.K.; Lu, J.R.; et al. Investigating the Binarity of S0-2: Implications for Its Origins and Robustness as a Probe of the Laws of Gravity around a Supermassive Black Hole. Astrophys. J. 2018, 854, 12. [Google Scholar] [CrossRef]
- GRAVITY Collaboration; Abuter, R.; Amorim, A.; Anugu, N.; Bauböck, M.; Benisty, M.; Berger, J.P.; Blind, N.; Bonnet Brandner, W.; Buron, A.; et al. Detection of the gravitational redshift in the orbit of the star S2 near the Galactic centre massive black hole. Astron. Astrophys. 2018, 615, L15. [Google Scholar]
- GRAVITY Collaboration; Abuter, R.; Amorim, A.; Bauböck, M.; Berger, J.P.; Bonnet, H.; Brandner, W.; Clénet, Y.; Du Foresto, V.C.; De Zeeuw, P.T.; et al. A geometric distance measurement to the Galactic center black hole with 0.3% uncertainty. Astron. Astrophys. 2019, 625, L10. [Google Scholar]
- Do, T.; Hees, A.; Ghez, A.; Martinez, G.D.; Chu, D.S.; Jia, S.; Sakai, S.; Lu, J.R.; Gautam, A.K.; O’Neil, K.K.; et al. Relativistic redshift of the star S0-2 orbiting the Galactic Center supermassive black hole. Science 2019, 365, 664. [Google Scholar] [CrossRef]
- GRAVITY Collaboration. Scalar field effects on the orbit of S2 star. Mon. Not. R. Astron. Soc. 2019, 489, 4606. [Google Scholar] [CrossRef]
- Saida, H.; Nishiyama, S.; Ohgami, T.; Takamori, Y.; Takahashi, M.; Minowa, Y.; Najarro, F.; Hamano, S.; Omiya, M.; Iwamatsu, A.; et al. A significant feature in the general relativistic time evolution of the redshift of photons coming from a star orbiting Sgr A*. Astron. Soc. Japan 2019, 71, 126. [Google Scholar] [CrossRef]
- Hees, A.; Do, T.; Roberts, B.M.; Ghez, A.M.; Nishiyama, S.; Bentley, R.O.; Gautam, A.K.; Jia, S.; Kara, T.; Lu, J.R.; et al. Search for a Variation of the Fine Structure Constant around the Supermassive Black Hole in Our Galactic Center. Phys. Rev. Lett. 2020, 124, 81101. [Google Scholar] [CrossRef]
- GRAVITY Collaboration; Abuter, R.; Amorim, A.; Bauböck, M.; Berger, J.P.; Bonnet, H.; Brandner, W.; Cardoso, V.; Clénet, Y.; de Zeeuw, P.T.; et al. Detection of the Schwarzschild precession in the orbit of the star S2 near the Galactic centre massive black hole. Astron. Astrophys. 2020, 636, L5. [Google Scholar]
- Genzel, R. Nobel Lecture: A forty-year journey. Rev. Mod. Phys. 2022, 94, 020501. [Google Scholar] [CrossRef]
- Dokuchaev, V.I.; Eroshenko, Y.N. Physical laboratory at the center of the Galaxy. Phys. Uspekhi 2015, 58, 772. [Google Scholar] [CrossRef]
- De Martino, I.; Lazkoz, R.; De Laurentis, M. Analysis of the Yukawa gravitational potential in f(R) gravity I: Semiclassical periastron advance. Phys. Rev. D 2018, 97, 104067. [Google Scholar] [CrossRef]
- De Laurentis, M.; De Martino, I.; Lazkoz, R. Analysis of the Yukawa gravitational potential in f(R) gravity II: Relativistic periastron advance. Phys. Rev. D 2018, 97, 104068. [Google Scholar] [CrossRef]
- Kalita, S. The Galactic Center Black Hole, Sgr A*, as a Probe of New Gravitational Physics with the Scalaron Fifth Force. Astrophys. J. 2020, 893, 31. [Google Scholar] [CrossRef]
- Lalremruati, P.C.; Kalita, S. Periastron shift of compact stellar orbits from general relativistic and tidal distortion effects near Sgr A*. Mon. Not. R. Astron. Soc. 2021, 502, 3761. [Google Scholar] [CrossRef]
- D’Addio, A. S-star dynamics through a Yukawa-like gravitational potential. Phys. Dark Universe 2021, 33, 100871. [Google Scholar] [CrossRef]
- Lalremruati, P.C.; Kalita, S. Is It Possible to See the Breaking Point of General Relativity near the Galactic Center Black Hole? Consideration of Scalaron and Higher-dimensional Gravity. Astrophys. J. 2022, 925, 126. [Google Scholar] [CrossRef]
- Benisty, D.; Davis, A.-C. Dark energy interactions near the Galactic Center. Phys. Rev. D 2022, 105, 024052. [Google Scholar] [CrossRef]
- Benisty, D.; Mifsud, J.; Levi Said, J.; Staicova, D. Strengthening extended gravity constraints with combined systems: f(R) bounds from cosmology and the galactic center. Phys. Dark Universe 2023, 42, 101344. [Google Scholar] [CrossRef]
- Bambhaniya, P.; Joshi, A.B.; Dey, D.; Joshi, P.S.; Mazumdar, A.; Harada, T.; Nakao, K.I. Relativistic orbits of S2 star in the presence of scalar field. Eur. Phys. J. C 2024, 84, 124. [Google Scholar] [CrossRef]
- Will, C.M. Theory and Experiment in Gravitational Physics; Cambridge University Press: Cambridge, UK, 2018; 360p. [Google Scholar]
- Will, C.M. The Confrontation between General Relativity and Experiment. Living Rev. Relativ. 2014, 17, 4. [Google Scholar] [CrossRef] [PubMed]
- GRAVITY Collaboration; Abuter, R.; Aimar, N.; Amorim, A.; Ball, J.; Bauböck, M.; Berger, J.P.; Bonnet, H.; Bourdarot, G.; Brandner, W.; et al. Mass distribution in the Galactic Center based on interferometric astrometry of multiple stellar orbits. Astron. Astrophys. 2022, 657, L12. [Google Scholar]
Disclaimer/Publisher’s Note: The statements, opinions and data contained in all publications are solely those of the individual author(s) and contributor(s) and not of MDPI and/or the editor(s). MDPI and/or the editor(s) disclaim responsibility for any injury to people or property resulting from any ideas, methods, instructions or products referred to in the content. |
© 2024 by the authors. Licensee MDPI, Basel, Switzerland. This article is an open access article distributed under the terms and conditions of the Creative Commons Attribution (CC BY) license (https://creativecommons.org/licenses/by/4.0/).


