Research on LFD System of Humanoid Dual-Arm Robot
Abstract
1. Introduction
2. Related Work
3. Preliminaries
4. Humanoid Dual-Arm Robot Demonstration Learning System
4.1. The Framework of LFD System
- (1)
- Motion Level Learning: Firstly, the composition members of the action primitive library are predefined, and most complex operation tasks can be represented by combining these members. Fourteen different types of preset action primitives (Table 1) can be represented by three spatial pose points each in this project. The primitive library can be dynamically added or subtracted based on needs at a later stage. Then, for each action primitive, human demonstration data is collected. The features of the demonstration data are extracted using behavioral representation algorithms to form the action primitive library for subsequent program retrieval and matching.
- (2)
- Task Level Learning: Since an operating task is typically composed of multiple basic actions. One of the challenges in demonstration learning is figuring out how to segment complex tasks into reasonable action segments [45,46]. Currently, task segmentation algorithms rarely achieve satisfactory processing results. Therefore, this article proposes the following solution: introducing human decision making into task-level learning. The task data is segmented during the acquisition by manually inserting keyframe markers into the task, which means that the system just needs to represent the ordered combination of which action segments correspond to a task. The keyframe marker process is as follows: the demonstrator marks a keyframe by closing their middle finger from open to closed and then back to open. The demonstration process of keyframe markers is shown in Figure 2a, and Figure 2b shows the change in the angle between the middle finger and thumb.
- (3)
- Behavior Reproduction: We propose a new action feature matching algorithm. This algorithm represents the input unknown action segment and the system’s action primitive library as three distinct spatial pose locations, with the goal of completing similarity matching between them. When a set of task data is input, the algorithm encodes the task into a combination of certain elements in the action primitive library in temporal order. Finally, these encoded data are input into the robot controller to realize behavior reproduction.
4.2. Creation of Action Primitives Library
4.3. Action Layer of LFD
- (1)
- Select 10 sets of filtered teaching trajectory data.
- (2)
- Use the iterative method to estimate the parameters of the GMM. Once the model converges, it can be used to represent the teaching trajectory data. The GMM can be represented in space as a “mountain range” with K sections as ellipses. The height of the section corresponds to the probability of the teaching data distribution in this model.
- (3)
- Project the GMM onto the trajectory plane in the form of contour lines (Gaussian ellipses).
- (4)
- Perform further processing on the Gaussian ellipses to determine the center of the ellipses, thereby fitting the teaching data.
- (5)
- Use the GMR algorithm to generalize the model and obtain a smooth optimal teaching trajectory.
- (6)
- Reconstruct the action primitive by selecting the start point S, intermediate point M, and end point E from an optimal teaching trajectory, putting pose information, and then putting each point into the trajectory planning algorithm.
4.4. Task Layer of LFD
4.5. Action Feature Matching Algorithm
- (1)
- Calculate the straight-line distance from the start point to the end point of action segment X. This distance determines the magnitude of the action of X.
- (2)
- Three points in space can determine a circular arc. Using , , and to calculate the radius of the circular arc, the radius of the circular arc determines the subsequent planning type. We stipulate that if satisfies certain conditions (not specified in the question), then use S and E to directly plan the straight-line trajectory, otherwise plan the circular arc trajectory.
- (3)
- Detect whether the attitude undergoes large changes during the process. If there are large changes, use joint space planning, otherwise use Cartesian space planning.
- (4)
- Calculate the differences between and calculated in (1) and (2) and each member of the action primitive library. Select the action primitive that has the smallest deviation to represent action segment X. Finally, output the matching result with pose parameters.
5. Experiments
5.1. Experiment of Robot Drawing a Circle in Cartesian Space
5.1.1. Experimental Process
5.1.2. Analysis of Results
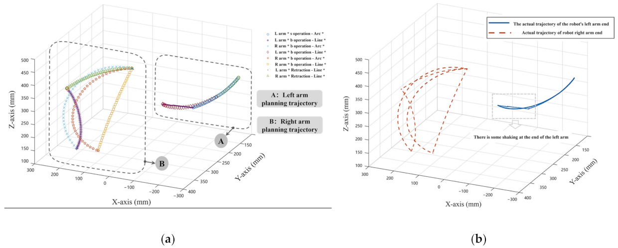
5.2. Robot Object Picking Experiment
5.2.1. Experimental Process
5.2.2. Analysis of Results
6. Conclusions
Author Contributions
Funding
Institutional Review Board Statement
Informed Consent Statement
Data Availability Statement
Conflicts of Interest
References
- Hu, Z.; Li, W.; Gan, Z.; Guo, W.; Zhu, J.; Gao, X.; Yang, X.; Peng, Y.; Zuo, Z.; Wen, J.Z.; et al. Learning with Dual Demonstration Domains: Random Domain-Adaptive Meta-Learning. IEEE Robot. Autom. Lett. 2022, 7, 3523–3530. [Google Scholar] [CrossRef]
- Li, H.; Ding, X. Adaptive and intelligent robot task planning for home service: A review. Eng. Appl. Artif. Intell. 2023, 117, 105618. [Google Scholar] [CrossRef]
- Hu, Z.; Gan, Z.; Li, W.; Guo, W.; Gao, X.; Zhu, J. Learning from Demonstrations Via Multi-Level and Multi-Attention Domain-Adaptive Me-ta-Learning. IEEE Robot. Autom. Lett. 2022, 7, 11910–11917. [Google Scholar] [CrossRef]
- Argall, B.D.; Chernova, S.; Veloso, M.; Browning, B. A survey of robot learning from demonstration. Robot. Auton. Syst. 2009, 57, 469–483. [Google Scholar] [CrossRef]
- Ravichandar, H.; Polydoros, A.S.; Chernova, S.; Billard, A. Recent Advances in Robot Learning from Demonstration. Annu. Rev. Control. Robot. Auton. Syst. 2020, 3, 297–330. [Google Scholar] [CrossRef]
- Jang, E.; Irpan, A.; Khansari, M.; Kappler, D.; Ebert, F.; Lynch, C.; Levine, S.; Finn, C. Bc-z: Zero-shot task generalization with robotic imitation learning. In Proceedings of the Conference on Robot Learning, Auckland, New Zealand, 14–18 December 2022; pp. 991–1002. [Google Scholar]
- Barros, J.J.O.; dos Santos, V.M.F.; da Silva, F.M.T.P. Bimanual haptics for humanoid robot teleoperation using ROS and V-REP. In Proceedings of the 2015 IEEE International Conference on Autonomous Robot Systems and Competitions, Vila Real, Portugal, 8–10 April 2015; pp. 174–179. [Google Scholar]
- Cui, Z.; Li, K.; Chen, Z.; Bao, P.; Kou, L.; Xie, L.; Tang, Y.; Zhu, D. Research on Learning from Demonstration System of Manipulator Based on the Improved Soft Actor-Critic Algorithm. In Proceedings of the 2022 IEEE International Conference on Robotics and Biomimetics (ROBIO), Jinghong, China, 5–9 December 2022; pp. 1445–1450. [Google Scholar]
- Mueller, C.L.; Hayes, B. Safe and robust robot learning from demonstration through conceptual constraints. In Proceedings of the Companion of the 2020 ACM/IEEE International Conference on Human-Robot Interaction, Cambridge, UK, 23–26 March 2020; pp. 588–590. [Google Scholar]
- Illandara, T. Active Keyframe Learning (AKL): Learning Interaction and Constraint Keyframes from a Single Demonstration of a Task. Ph.D. Thesis, Massachusetts Institute of Technology, Cambridge, MA, USA, 2022. [Google Scholar]
- Wu, Y.; Su, Y.; Demiris, Y. A morphable template framework for robot learning by demonstration: Integrating one-shot and in-cremental learning approaches. Robot. Auton. Syst. 2014, 62, 1517–1530. [Google Scholar] [CrossRef]
- Wang, N.; Chen, C.; Yang, C. A robot learning framework based on adaptive admittance control and generalizable motion mod-eling with neural network controller. Neurocomputing 2020, 390, 260–267. [Google Scholar] [CrossRef]
- Fitzgerald, T.; Goel, A.K.; Thomaz, A.L. Representing skill demonstrations for adaptation and transfer. In Proceedings of the 2014 AAAI Fall Sym-posium Series, Arlington, VA, USA, 13–15 November 2014; pp. 78–84. [Google Scholar]
- Chen, Y.; Paulius, D.; Sun, Y.; Jia, Y. Robot Learning of Assembly Tasks from Non-expert Demonstrations using Functional Ob-ject-Oriented Network. In Proceedings of the 2022 IEEE 18th International Conference on Automation Science and Engineering (CASE), Mexico City, Mexico, 20–24 August 2022; pp. 2012–2019. [Google Scholar]
- Sun, D.; Liao, Q. A Framework of Robot Manipulability Learning and Control and Its Application in Telerobotics. IEEE Trans. Fuzzy Syst. 2023, 32, 266–280. [Google Scholar] [CrossRef]
- Biagiotti, L.; Meattini, R.; Chiaravalli, D.; Palli, G.; Melchiorri, C. Robot Programming by Demonstration: Trajectory Learning Enhanced by sEMG-Based User Hand Stiffness Estimation. IEEE Trans. Robot. 2023, 39, 3259–3278. [Google Scholar] [CrossRef]
- Li, J.; Wang, J.; Wang, S.; Yang, C. Human–robot skill transmission for mobile robot via learning by demonstration. Neural Com-Puting Appl. 2023, 35, 23441–23451. [Google Scholar] [CrossRef]
- Mahalingam, D.; Chakraborty, N. Human-guided planning for complex manipulation tasks using the screw geometry of mo-tion. In Proceedings of the 2023 IEEE International Conference on Robotics and Automation (ICRA), London, UK, 29 May–2 June 2023; pp. 7851–7857. [Google Scholar]
- Wu, R.; Zhang, H.; Zhu, Y.; Zang, X.; Zhao, J. Impedance adjustment for learning human variable impedance skill. Mechatronics 2023, 95, 103036. [Google Scholar] [CrossRef]
- Evrard, P.; Gribovskaya, E.; Calinon, S.; Billard, A.; Kheddar, A. Teaching physical collaborative tasks: Object-lifting case study with a humanoid. In Proceedings of the 2009 9th IEEE-RAS International Conference on Humanoid Robots, Paris, France, 7–10 December 2009; pp. 399–404. [Google Scholar]
- Sirintuna, D.; Giammarino, A.; Ajoudani, A. An object deformation-agnostic framework for human–robot collaborative transportation. IEEE Trans. Autom. Sci. Eng. 2023. [Google Scholar] [CrossRef]
- Vianello, L.; Penco, L.; Gomes, W.; You, Y.; Anzalone, S.M.; Maurice, P.; Thomas, V.; Ivaldi, S. Human-Humanoid Interaction and Cooperation: A Review. Curr. Robot. Rep. 2021, 2, 441–454. [Google Scholar] [CrossRef]
- Liu, Y.; Li, Z.; Liu, H.; Kan, Z. Skill transfer learning for autonomous robots and human–robot cooperation: A survey. Robot. Auton. Syst. 2020, 128, 103515. [Google Scholar] [CrossRef]
- Arefeen, A.; Quarnstrom, J.; Syed SP, Q.; Bai, H.; Xiang, Y. Human grasping force prediction, measurement, and validation for human-robot lifting. In Proceedings of the International Design Engineering Technical Conferences and Computers and Information in Engineering Conference, St. Louis, MI, USA, 14–17 August 2022; American Society of Mechanical Engineers: New York, NY, USA, 2022; Volume 86212, p. V002T02A025. [Google Scholar]
- Calinon, S.; Guenter, F.; Billard, A. On Learning, Representing, and Generalizing a Task in a Humanoid Robot. IEEE Trans. Syst. Man Cybern. Part B (Cybernetics) 2007, 37, 286–298. [Google Scholar] [CrossRef] [PubMed]
- Hua, J.; Zeng, L.; Li, G.; Ju, Z. Learning for a Robot: Deep Reinforcement Learning, Imitation Learning, Transfer Learning. Sensors 2021, 21, 1278. [Google Scholar] [CrossRef] [PubMed]
- Grimes, D.B.; Chalodhorn, R.; Rao, R.P.N. Dynamic imitation in a humanoid robot through nonparametric probabilistic in-ference. In Proceedings of the Robotics: Science and Systems, Philadelphia, PA, USA, 16–19 August 2006; pp. 199–206. [Google Scholar]
- Zhao, D.; Song, S.; Su, J.; Jiang, Z.; Zhang, J. Learning bionic motions by imitating animals. In Proceedings of the 2020 IEEE International Conference on Mechatronics and Automation (ICMA), Beijing, China, 13–16 October 2020; pp. 872–879. [Google Scholar]
- Tavassoli, M.; Katyara, S.; Pozzi, M.; Deshpande, N.; Caldwell, D.G.; Prattichizzo, D. Learning Skills from Demonstrations: A Trend from Motion Primitives to Experience Abstraction. IEEE Trans. Cogn. Dev. Syst. 2023, 16, 57–74. [Google Scholar] [CrossRef]
- Franzese, G.; Rosa, L.d.S.; Verburg, T.; Peternel, L.; Kober, J. Interactive Imitation Learning of Bimanual Movement Primitives. IEEE/ASME Trans. Mechatron. 2023, 1–13. [Google Scholar] [CrossRef]
- Schneider, M.; Ertel, W. Robot learning by demonstration with local gaussian process regression. In Proceedings of the 2010 IEEE/RSJ International Conference on Intelligent Robots and Systems, Taipei, Taiwan, 18–22 October 2010; pp. 255–260. [Google Scholar]
- Liu, F.; Sun, F.; Fang, B.; Li, X.; Sun, S.; Liu, H. Hybrid Robotic Grasping with a Soft Multimodal Gripper and a Deep Multistage Learning Scheme. IEEE Trans. Robot. 2023, 39, 2379–2399. [Google Scholar] [CrossRef]
- Song, Y.; Wen, J.; Liu, D.; Yu, C. Deep Robotic Grasping Prediction with Hierarchical RGB-D Fusion. Int. J. Control. Autom. Syst. 2022, 20, 243–254. [Google Scholar] [CrossRef]
- Wei, H.; Pan, S.; Ma, G.; Duan, X. Vision-Guided Hand–Eye Coordination for Robotic Grasping and Its Application in Tangram Puzzles. AI 2021, 2, 209–228. [Google Scholar] [CrossRef]
- Sasabuchi, K.; Wake, N.; Ikeuchi, K. Task-Oriented Motion Mapping on Robots of Various Configuration Using Body Role Division. IEEE Robot. Autom. Lett. 2020, 6, 413–420. [Google Scholar] [CrossRef]
- Chou, G.; Wang, H.; Berenson, D. Gaussian Process Constraint Learning for Scalable Chance-Constrained Motion Planning from Demonstrations. IEEE Robot. Autom. Lett. 2022, 7, 3827–3834. [Google Scholar] [CrossRef]
- Lobbezoo, A.; Kwon, H.J. Simulated and Real Robotic Reach, Grasp, and Pick-and-Place Using Combined Reinforcement Learning and Traditional Controls. Robotics 2023, 12, 12. [Google Scholar] [CrossRef]
- Radosavovic, I.; Xiao, T.; James, S.; Abbeel, P.; Malik, J.; Darrell, T. Real-world robot learning with masked visual pre-training. In Proceedings of the Conference on Robot Learning, Auckland, New Zealand, 14–18 December 2022; pp. 416–426. [Google Scholar]
- Chebotar, Y.; Vuong, Q.; Hausman, K.; Xia, F.; Lu, Y.; Irpan, A.; Kumar, A.; Yu, T.; Herzog, A.; Pertsch, K.; et al. Q-transformer: Scalable offline reinforcement learning via autoregressive q-functions. In Proceedings of the Conference on Robot Learning, Atlanta, GA, USA, 6–9 November 2023; pp. 3909–3928. [Google Scholar]
- Kehoe, B.; Matsukawa, A.; Candido, S.; Kuffner, J.; Goldberg, K. Cloud-based robot grasping with the google object recognition engine. In Proceedings of the 2013 IEEE International Conference on Robotics and Automation, Karlsruhe, Germany, 17 October 2013; pp. 4263–4270. [Google Scholar]
- Pérez-D’Arpino, C.; Shah, J.A. C-learn: Learning geometric constraints from demonstrations for multi-step manipulation in shared autonomy. In Proceedings of the 2017 IEEE International Conference on Robotics and Automation (ICRA), Singapore, 29 May–3 June 2017; pp. 4058–4065. [Google Scholar]
- Ebert, F.; Finn, C.; Dasari, S.; Xie, A.; Lee, A.; Levine, S. Visual foresight: Model-based deep reinforcement learning for vision-based robotic control. arXiv 2018, arXiv:1812.00568, 6–25. [Google Scholar]
- Si, W.; Wang, N.; Yang, C. A review on manipulation skill acquisition through teleoperation-based learning from demonstration. Cogn. Comput. Syst. 2021, 3, 1–16. [Google Scholar] [CrossRef]
- Cohen, P.R.; Chang, Y.H.; Morrison, C.T.; Beal, C.R. Learning and Transferring Action Schemas. In Proceedings of the IJCAI 2007, Hyderabad, India, 6–12 January 2007; pp. 720–725. [Google Scholar]
- Rozo, L.; Calinon, S.; Caldwell, D.G.; Jimenez, P.; Torras, C. Learning Physical Collaborative Robot Behaviors from Human Demonstrations. IEEE Trans. Robot. 2016, 32, 513–527. [Google Scholar] [CrossRef]
- Castro, A.; Silva, F.; Santos, V. Trends of Human-Robot Collaboration in Industry Contexts: Handover, Learning, and Metrics. Sensors 2021, 21, 4113. [Google Scholar] [CrossRef] [PubMed]
- Markatou, M. Mixture Models, Robustness, and the Weighted Likelihood Methodology. Biometrics 2000, 56, 483–486. [Google Scholar] [CrossRef]






















| Action Primitive | Movement Type | Planning Type | Range of Motion | Remark |
|---|---|---|---|---|
| Get ready | Terminal curve | Joint space | Large | Origin pose → Ready pose |
| Back to origin | Terminal curve | Joint space | Large | End pose → origin position |
| Outcome/straight line | Terminal curve | Cartesian space | Large | Ready pose → Operating front pose |
| Retraction/arc | Terminal curve | Cartesian space | Large | Ready pose → Operating front pose |
| Pull back/straight line | Terminal curve | Cartesian space | Large | After position →End position |
| Retraction/arc | Terminal curve | Cartesian space | Large | After position → End position |
| Small operation/straight line | Terminal curve | Cartesian space | Small | Operating front pose → Operating back pose |
| Small operation/arc | Terminal curve | Cartesian space | Small | Operating front pose → Operating back pose |
| Large operation/straight line | Terminal curve | Cartesian space | Large | Operating front pose → Operating back pose |
| Large operation/arc | Terminal curve | Cartesian space | Large | Operating front pose → Operating back pose |
| Operation/Euler angle | Terminal curve | Cartesian space | Small | Attitude change |
| Opening jaw | None | None | Small | Loose item |
| Closing jaw | None | None | Small | Grab |
| Key frame flag | None | None | Small | The task is divided into action keyframes |
| Teaching Data Points of the Left Arm | Spatial Point | Position (XYZ Space, mm) | Pose (Euler Angles ZYX, °) | |
| Start | A | (556.348, −550.542, −99.134) | (1.282, 0.967, 134.922) | |
| Mid | B | (306.235, −601.328, 105.782) | (2.764, 0.167, 135.434) | |
| End | C | (556.623, −550.246, −101.667) | (0.235, 1.115, 132.671) | |
| Processing | Distance (mm) | Radius (mm) | Is there a change in pose? | |
| 2.565 | 205.922 | No | ||
| Conclusion | Teaching data of the left arm belong to the “big operation/arc” in the action primitive library, and the reproduction algorithm uses the “Cartesian space trajectory planning algorithm” | |||
| Robotic Arm | Spatial Point | Position (XYZ Space, mm) | Pose (Euler Angles ZYX, °) | |
|---|---|---|---|---|
| Left arm | Start | A | (557.142, −550.153, −100.034) | (0.246, 0.167, 135.022) |
| Mid | B | (305.735, −600.068, 105.482) | (1.964, 0.101, 136.433) | |
| End | C | (559.193, −550.145, −102.647) | (−0.235, 0.172, 134.614) | |
| Right arm | Start | A | (−556.901, −553.239, −99.013) | (1.446, 0.106, 136.126) |
| Mid | B | (−305.128, −600.142, 100.024) | (0.024, 0.132, 135.307) | |
| End | C | (−555.989, −551.653, −101.315) | (−1.225, 1.072, 135.144) | |
| Robot Arm | Comprehensive Position Error (mm) | Comprehensive Pose Error (°) |
|---|---|---|
| Left arm |
| Spatial Point | Position (XYZ Space, mm) | Pose (Euler Angles ZYX, °) | Action Primitive | ||
|---|---|---|---|---|---|
| Left arm | A1 | Start | (250.050, −399.583, −360.214) | (0.031, −44.721, 90.434) | “Small operation/arc” |
| A2 | Mid | (300.257, −299.746, −350.120) | (−0.488, −45.163, 89.662) | ||
| A3 | End | (301.068, −250.424, −340.446) | (−0.334, −44.898, 89.763) | ||
| Right arm | B1 | Start | (−250.260, −400.377, −280.316) | (−35.131, 44.611, 135.280) | “Reaching out/arc” |
| B2 | Mid | (−215.260, −415.083, −300.450) | (−35.404, 44.632, 135.442) | ||
| B3 | End | (−179.597, −429.555, −480.009) | (−35.265, 44.853, 135.321) | ||
| Right arm | C1 | Start | (−179.755, −430.311, −479.813) | (−35.053, 44.806, 135.009) | “Big operation/arc” |
| C2 | Mid | (−100.316, −415.132, −179.874) | (−34.856, 44.879, 135.312) | ||
| C3 | End | (−4.720, −400.419, −179.571) | (−34.624, 45.050, 135.122) | ||
| Left arm | D1 | Start | (301.087, −250.292, −340.199) | (−0.389, −45.242, 89.909) | “Big operation/straight line” |
| D2 | Mid | (299.971, −300.270, −349.656) | (0.211, −45.278, 89.617) | ||
| D3 | End | (134.695, −410.274, −360.329) | (0.008, −45.414, 89.762) | ||
| Left arm | E1 | Start | (135.592, −410.803, −360.476) | (0.488, −45.000, 89.960) | “Big operation/straight line” |
| E2 | Mid | (299.671, −299.641, −350.727) | (0.719, −44.389, 90.153) | ||
| E3 | End | (301.442, −250.786, −339.692) | (−0.943, −45.020, 89.336) | ||
| Right arm | F1 | Start | (−5.012, −399.442, −179.570) | (−34.191, 45.220, 135.235) | “Big operation/arc” |
| F2 | Mid | (−49.193, −414.218, −180.332) | (−35.634, 44.480, 135.773) | ||
| F3 | End | (−99.603, −430.604, −480.939) | (−34.043, 45.425, 135.001) | ||
| Right arm | G1 | Start | (−99.555, −430.700, −479.681) | (−35.021, 44.679, 135.903) | “Big operation/straight line” |
| G2 | Mid | (−49.963, −414.054, −299.702) | (−35.462, 44.846, 135.096) | ||
| G3 | End | (−4.399, −400.092, −180.135) | (−35.397, 45.402, 135.333) | ||
| Left arm | H1 | Start | (300.942, −250.881, −339.636) | (−0.788, −45.255, 89.396) | “Big operation—straight line” |
| H2 | Mid | (299.085, −300.857, −349.957) | (0.841, −45.895, 90.476) | ||
| H3 | End | (134.193, −409.364, −359.365) | (0.885, −45.165, 90.966) | ||
| Left arm | I1 | Start | (135.651, −410.833, −360.734) | (0.078, −44.604, 90.333) | “Withdrawing hand/straight line” |
| I2 | Mid | (191.347, −405.218, −359.337) | (−0.658, −45.935, 90.122) | ||
| I3 | End | (250.607, −400.879, −360.201) | (−0.262, −45.079, 90.963) | ||
| Right arm | J1 | Start | (−4.946, −400.166, −179.686) | (−35.644, 44.256, 135.998) | “Withdrawing hand/straight line” |
| J2 | Mid | (−174.744, −400.416, −230.137) | (−34.236, 45.338, 134.381) | ||
| J3 | End | (−250.969, −399.032, −280.666) | (−35.687, 45.711, 135.290) | ||
| Items to Be Picked | Position (XYZ Space, mm) |
|---|---|
| Cube | (−183.142, −431.314, −481.442) |
| Cylinder | (−100.632, −427.953, −481.192) |
| Steps | Action Primitive | Spatial Point | Robotic Arm | Objective |
|---|---|---|---|---|
| 1 | “Small operation/arc” | A1, A2, A3 | Left arm | Clear workspace for the right arm |
| 2 | “Reaching out/arc” | B1, B2, B3 | Right arm | Gripper approaches the cube |
| 3 | “Close the gripper” | B3 | Right arm | Gripper grasps the cube |
| 4 | “Big operation/arc” | C1, C2, C3 | Right arm | Right arm picks up the cube |
| 5 | “Big operation/straight line” | D1, D2, D3 | Left arm | The container at the end of the left arm is in position |
| 6 | “Open the gripper” | C3 | Right arm | Place the cube into the container |
| 7 | “Big operation/straight line” | E1, E2, E3 | Left arm | Clear workspace for the right arm |
| 8 | “Big operation/arc” | F1, F2, F3 | Right arm | Gripper approaches the cylinder |
| 9 | “Close the gripper” | F3 | Right arm | Gripper grasps the cylinder |
| 10 | “Big operation/straight line” | G1, G2, G3 | Right arm | Right arm picks up the cylinder |
| 11 | “Big operation/straight line” | H1, H2, H3 | Left arm | The container at the end of the left arm is in position |
| 12 | “Open the gripper” | G3 | Right arm | Place the cylinder into the container |
| 13 | “Withdrawing hand/straight line” | I1, I2, I3 | Left arm | Left arm returns to the end pose |
| 14 | “Withdrawing hand/straight line” | J1, J2, J3 | Right arm | Right arm returns to the end pose |
| Robotic Arms | Comprehensive Position Error (mm) | Comprehensive Pose Error (°) |
|---|---|---|
| Left arm | ||
| Right arm |
| Grasping Times | Successful Grasping Times | Grasping Success Rate | Placement Times | Successful Placement Times | Placement Success Rate |
|---|---|---|---|---|---|
| 40 | 39 | 97.5% | 40 | 40 | 100% |
Disclaimer/Publisher’s Note: The statements, opinions and data contained in all publications are solely those of the individual author(s) and contributor(s) and not of MDPI and/or the editor(s). MDPI and/or the editor(s) disclaim responsibility for any injury to people or property resulting from any ideas, methods, instructions or products referred to in the content. |
© 2024 by the authors. Licensee MDPI, Basel, Switzerland. This article is an open access article distributed under the terms and conditions of the Creative Commons Attribution (CC BY) license (https://creativecommons.org/licenses/by/4.0/).
Share and Cite
Cui, Z.; Kou, L.; Chen, Z.; Bao, P.; Qian, D.; Xie, L.; Tang, Y. Research on LFD System of Humanoid Dual-Arm Robot. Symmetry 2024, 16, 396. https://doi.org/10.3390/sym16040396
Cui Z, Kou L, Chen Z, Bao P, Qian D, Xie L, Tang Y. Research on LFD System of Humanoid Dual-Arm Robot. Symmetry. 2024; 16(4):396. https://doi.org/10.3390/sym16040396
Chicago/Turabian StyleCui, Ze, Lang Kou, Zenghao Chen, Peng Bao, Donghai Qian, Lang Xie, and Yue Tang. 2024. "Research on LFD System of Humanoid Dual-Arm Robot" Symmetry 16, no. 4: 396. https://doi.org/10.3390/sym16040396
APA StyleCui, Z., Kou, L., Chen, Z., Bao, P., Qian, D., Xie, L., & Tang, Y. (2024). Research on LFD System of Humanoid Dual-Arm Robot. Symmetry, 16(4), 396. https://doi.org/10.3390/sym16040396
