Non-Standard Finite Difference and Vieta-Lucas Orthogonal Polynomials for the Multi-Space Fractional-Order Coupled Korteweg-de Vries Equation
Abstract
1. Introduction
2. Vieta-Lucas Polynomials and Function Approximations
2.1. Shifted Vieta-Lucas Polynomials
2.2. Convergence Analysis
- 1.
- Equation (2) has a bounded series of coefficients, meaning
- 2.
- The norm for the error estimate -norm) can be articulated as follows:
- 3.
- If , then the absolute error bound is satisfied
2.3. Nonstandard Finite Difference Scheme Notations
3. Spectral Method for Solving CMSKDV
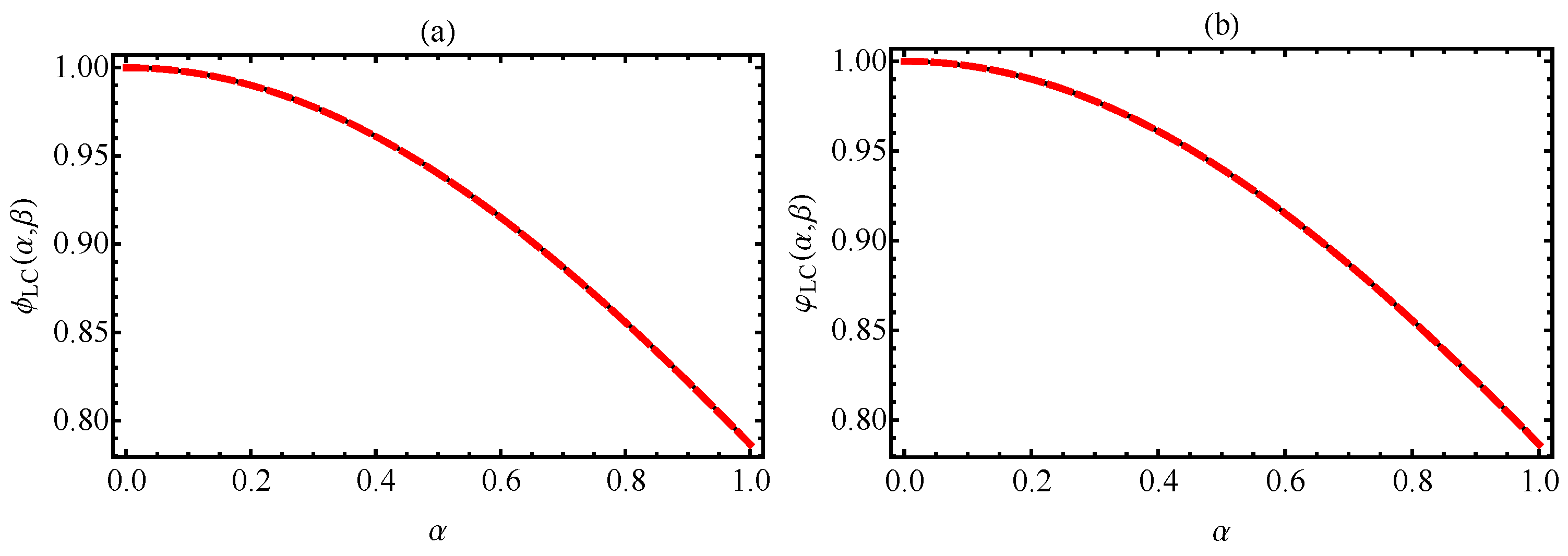
3.1. CMSKDV via the Liouville-Caputo Fractional Derivative
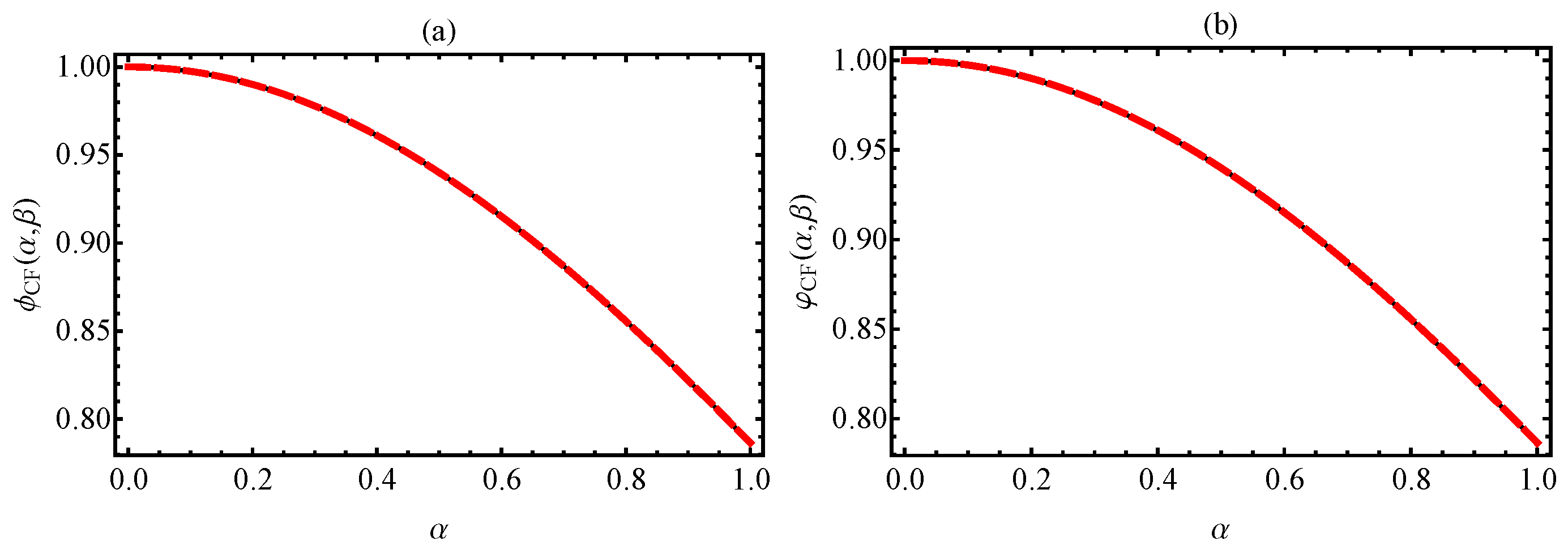
3.2. CMSKDV via the Caputo-Fabrizio Fractional Derivative
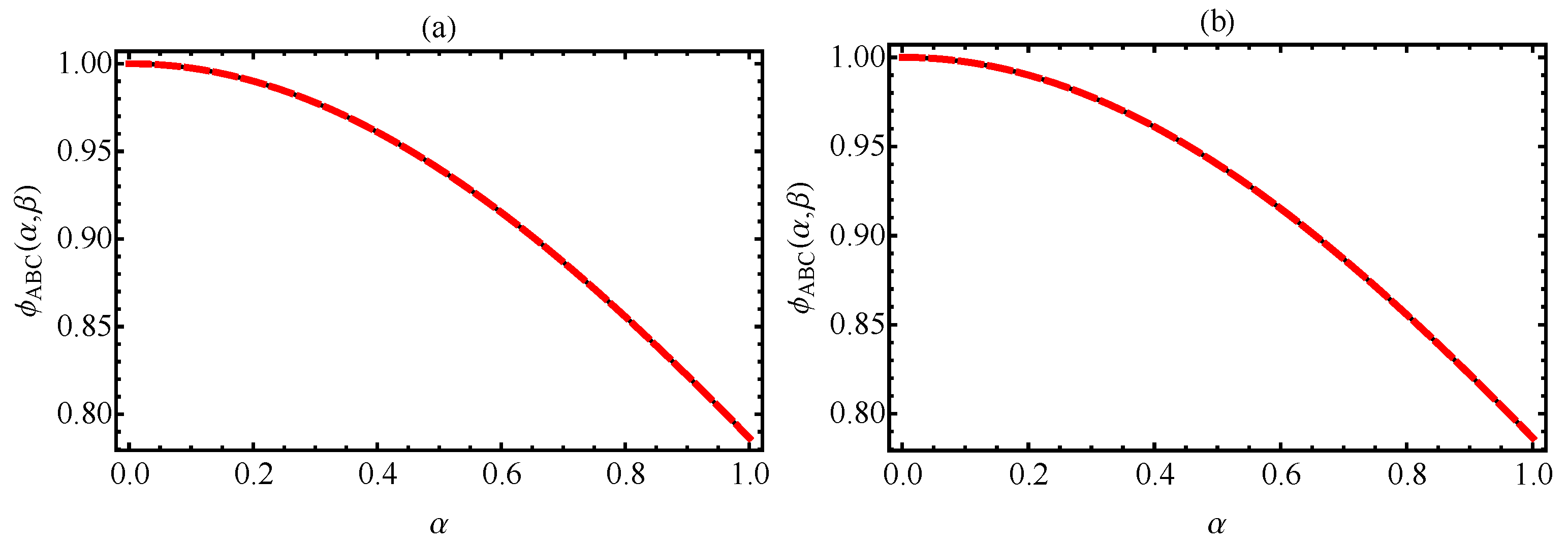
3.3. CMSKDV via the Atangana-Baleanu-Caputo Fractional Derivative
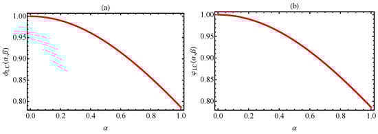
4. Numerical Results and Discussion
5. Conclusions
Author Contributions
Funding
Data Availability Statement
Acknowledgments
Conflicts of Interest
References
- Kilbas, A.A.; Srivastava, H.M.; Trujillo, J.J. Theory and Applications of Fractional Differential Equations. In North-Holland Mathematical Studies; Elsevier: Amsterdam, The Netherlands; London, UK; New York, NY, USA, 2006; Volume 204. [Google Scholar]
- Podlubny, I. Fractional Differential Equations: An Introduction to Fractional Derivatives, Fractional Differential Equations, to Methods of Their Solution and Some of Their Applications, Mathematics in Science and Engineering; Academic Press: New York, NY, USA; London, UK; Sydney, Australia; Tokyo, Japan; Toronto, ON, Canada, 1999; Volume 198. [Google Scholar]
- Srivastava, H.M. Fractional-order derivatives and integrals: Introductory overview and recent developments. Kyungpook Math. J. 2020, 60, 73–116. [Google Scholar]
- Samko, S.G.; Kilbas, A.A.; Marichev, O.I. Fractional Integrals and Derivatives: Theory and Applications; Gordon and Breach: Yverdon, Switzerland, 1993. [Google Scholar]
- Miller, K.S.; Ross, B. An Introduction to the Fractional Calculus and Fractional Differential Equations; John Wiley and Sons.: New York, NY, USA; Chischester, UK; Brisbane, Australia; Toronto, ON, Canada, 1993. [Google Scholar]
- Sabir, Z.; Said, S.B.; Al-Mdallal, Q. A fractional order numerical study for the influenza disease mathematical model. Alexandria Engrg. J. 2023, 65, 615–626. [Google Scholar] [CrossRef]
- Alqhtani, M.; Owolabi, K.M.; Saad, K.M. Spatiotemporal (target) patterns in sub-diffusive predator-prey system with the Caputo operator. Chaos Solitons Fractals 2022, 160, 112267. [Google Scholar] [CrossRef]
- Abdoon, M.A.; Hasan, F.L. Advantages of the differential equations for solving problems in mathematical physics with symbolic computation. Math. Model. Engrg. Probl. 2022, 9, 268–276. [Google Scholar] [CrossRef]
- Srivastava, H.M.; Saad, K.M.; Hamanah, W.M. Certain new models of the multi-space fractal-fractional Kuramoto-Sivashinsky and Korteweg-de Vries equations. Mathematics 2022, 10, 1089. [Google Scholar] [CrossRef]
- Waheed, W.; Deng, G.; Liu, B. Discrete Laplacian operator and its Applications in signal processing. IEEE Access 2020, 8, 89692–89707. [Google Scholar] [CrossRef]
- Lin, Z.; Wang, H. Modeling and application of fractional-order economic growth model with time delay. Fractal Fract. 2021, 5, 74. [Google Scholar] [CrossRef]
- Yang, X.; Zhang, Z. On conservative, positivity preserving, nonlinear FV scheme on distorted meshes for the multi-term nonlocal Nagumo-type equations. Appl. Math. Lett. 2024, 150, 108972. [Google Scholar] [CrossRef]
- Wang, J.; Jiang, X.; Yang, X.; Zhang, H. A nonlinear compact method based on double reduction order scheme for the nonlocal fourth-order PDEs with Burgers’ type nonlinearity. J. Appl. Math. Comput. 2024. [Google Scholar] [CrossRef]
- Xiao, W.; Yang, X.; Zhou, Z. Pointwise-in-time α-robust error estimate of the ADI difference scheme for three-dimensional fractional subdiffusion equations with variable coefficients. Commun. Anal. Mech. 2024, 16, 53–70. [Google Scholar] [CrossRef]
- Pakhira, R.; Ghosh, U.; Garg, H. An inventory model for partial backlogging items with memory effect. Soft Comput. 2023, 27, 9533–9550. [Google Scholar] [CrossRef]
- Korteweg, D.J.; de Vries, G. On the change of form of long waves advancing in a rectangular canal, and on a new type of long stationary waves. Philos. Mag. 1895, 39, 422–443. [Google Scholar] [CrossRef]
- Wu, Y.; Geng, X.; Hu, X.; Zhu, S. A generalized Hirota-Satsuma coupled Korteweg-de Vries equation and Miura transformations. Phys. Lett. A 1999, 255, 259–264. [Google Scholar] [CrossRef]
- Hirota, R.; Satsuma, J. Soliton solutions of a coupled Korteweg-de Vries equation. Phys. Lett. A 1981, 85, 407–418. [Google Scholar] [CrossRef]
- Srivastava, H.M.; Mandal, H.; Bira, B. Lie symmetry and exact solution of the time-fractional Hirota-Satsuma Korteweg-de Vries system. Russian J. Math. Phys. 2021, 28, 284–292. [Google Scholar] [CrossRef]
- Dabiri, A.; Butcher, E.A. Efficient modified Chebyshev differentiation matrices for fractional differential equations. Commun. Nonlinear Sci. Numer. Simul. 2017, 50, 284–310. [Google Scholar] [CrossRef]
- Yang, X.-J.; Hristov, J.; Srivastava, H.M.; Ahmad, B. Modelling fractal waves on shallow water surfaces via local fractional Korteweg-de Vries equation. Abstr. Appl. Anal. 2014, 2014, 278672. [Google Scholar] [CrossRef]
- Baleanu, D.; Shiri, B.; Srivastava, H.M.; Qurashi, M.A. A Chebyshev spectral method based on operational matrix for fractional differential equations involving non-singular Mittag-Leffler kernel. Adv. Differ. Equ. 2018, 2018, 353. [Google Scholar] [CrossRef]
- Hadhoud, A.R.; Srivastava, H.M.; Rageh, A.A.M. Non-polynomial B-spline and shifted Jacobi spectral collocation techniques to solve time-fractional nonlinear coupled Burgers’ equations numerically. Adv. Differ. Equ. 2021, 2021, 439. [Google Scholar] [CrossRef]
- Wang, W.; Zhang, H.; Jiang, X.; Yang, X. A high-order and efficient numerical technique for the nonlocal neutron diffusion equation representing neutron transport in a nuclear reactor. Ann. Nucl. Energy 2024, 195, 110163. [Google Scholar] [CrossRef]
- Wang, W.; Wang, Y.; Zhu, B.; Chen, H. Robust H1-norm convergence analysis of L1 FEM-ADI scheme for 2D/3D subdiffusion equation with initial singularity. Math. Methods Appl. Sci. 2023, 46, 16144–16155. [Google Scholar] [CrossRef]
- Zhang, H.; Yang, X.; Tang, Q.; Xu, D. A robust error analysis of the OSC method for a multi-term fourth-order sub-diffusion equation. Comput. Math. Appl. 2022, 109, 180–190. [Google Scholar] [CrossRef]
- Zhang, H.; Liu, Y.; Yang, X. An efficient ADI difference scheme for the nonlocal evolution problem in three-dimensional space. J. Appl. Math. Comput. 2023, 69, 651–674. [Google Scholar] [CrossRef]
- Tian, Q.; Yang, X.; Zhang, H.; Xu, D. An implicit robust numerical scheme with graded meshes for the modified Burgers model with nonlocal dynamic properties. Comp. Appl. Math. 2023, 42, 246. [Google Scholar] [CrossRef]
- Khader, M.M.; Saad, K.M. A numerical approach for solving the fractional Fisher equation using Chebyshev spectral collocation method. Chaos Solitons Fractals 2018, 110, 169–177. [Google Scholar] [CrossRef]
- Khader, M.M.; Saad, K.M.; Hammouch, Z.; Baleanu, D. A spectral collocation method for solving fractional KdV and KdV-Burgers equations with non-singular kernel derivatives. Appl. Numer. Math. 2021, 161, 137–146. [Google Scholar] [CrossRef]
- Saad, K.M.; Khader, M.M.; Gómez-Aguilar, J.F.; Baleanu, D. Numerical solutions of the fractional Fisher’s type equations with Atangana-Baleanu fractional derivative by using spectral collocation methods. Chaos 2019, 29, 023116. [Google Scholar] [CrossRef] [PubMed]
- Horadam, A.F. Vieta Polynomials; The University of New England: Armidaie, Australia, 2000. [Google Scholar]
- Zakaria, M.; Khader, M.M.; Al-Dayel, I.; Al-Tayeb, W. Solving fractional generalized Fisher-Kolmogorov-Petrovsky-Piskunov’s equation using compact finite different method together with spectral collocation algorithms. J. Math. 2022, 2022, 1901131. [Google Scholar]
- Mickens, R.E. Applications of Nonstandard Finite Difference Schemes; World Scientific: Singapore, 2000. [Google Scholar]
- Caputo, M.; Fabrizio, M. A new definition of fractional derivative without singular kernel. Progr. Fract. Differ. Appl. 2015, 1, 1–13. [Google Scholar]
- Atangana, A.; Baleanu, D. New fractional derivative with non-local and non-singular kernel. Thermal Sci. 2016, 20, 757–763. [Google Scholar] [CrossRef]
- Srivastava, H.M. Some parametric and argument variations of the operators of fractional calculus and related special functions and integral transformations. J. Nonlinear Convex Anal. 2021, 22, 1501–1520. [Google Scholar]
- Srivastava, H.M. An introductory overview of fractional-calculus operators based upon the Fox-Wright and related higher transcendental functions. J. Adv. Engrg. Comput. 2021, 5, 135–166. [Google Scholar] [CrossRef]
- Agarwal, P.; El-Sayed, A.A. Vieta-Lucas polynomials for solving a fractional-order mathematical physics model. Adv. Differ. Equ. 2020, 2020, 626. [Google Scholar] [CrossRef]
- Loh, J.R.; Isah, A.; Phang, C.; Toh, Y.T. On the new properties of Caputo-Fabrizio operator and its application in deriving shifted Legendre operational matrix. Appl. Numer. Math. 2018, 132, 138–153. [Google Scholar] [CrossRef]
- Abdeljawad, T.; Baleanu, D. Integration by parts and its applications of a new nonlocal fractional derivative with Mittag-Leffler nonsingular kernel. J. Nonlinear Sci. Appl. 2017, 9, 1098–1107. [Google Scholar] [CrossRef]
- Srivastava, H.M. A survey of some recent developments on higher transcendental functions of analytic number theory and applied mathematics. Symmetry 2021, 13, 2294. [Google Scholar] [CrossRef]
- Yang, X.; Zhang, H.; Zhang, Q.; Yuan, G. Simple positivity-preserving nonlinear finite volume scheme for subdiffusion equations on general non-conforming distorted meshes. Nonlinear Dyn. 2022, 108, 3859–3886. [Google Scholar] [CrossRef]
- Yang, X.; Zhang, H. The uniform l1 long-time behavior of time discretization for time-fractional partial differential equations with nonsmooth data. Appl. Math. Lett. 2022, 124, 107644. [Google Scholar] [CrossRef]
- Ibrahim, R.W.; Obaiys, S.J.; Karaca, Y.; Secer, A. Complex Mathematical Modeling for Advanced Fractal-Fractional Differential Operators within Symmetry. Fractals 2023, 31, 2340194. [Google Scholar] [CrossRef]
- Ibrahim, R.W.; Obaiys, S.J.; Karaca, Y.; Binti Jamaludin, N.A. Symmetrically Conformable Fractional Differential Operators by Computational Numerical Modeling with Special Function. Fractals 2023, 31, 2340157. [Google Scholar] [CrossRef]
- Srivastava, H.M. An introductory overview of Bessel polynomials, the generalized Bessel polynomials and the q-Bessel polynomials. Symmetry 2023, 15, 822. [Google Scholar] [CrossRef]
- Srivastava, H.M.; Saad, K.M.; Khader, M.M.; Singh, H. Spectral collocation method based upon special functions for fractional partial differential equations. In Chapman and Hall/CRC; Elsevier: Amsterdam, The Netherlands, 2022; Volume 1, Noumber 1; pp. 79–101. [Google Scholar] [CrossRef]









| 0 | ||||
| 0.2 | ||||
| 0.4 | ||||
| 0.6 | ||||
| 0.8 | ||||
| 1 |
| 0 | 0 | |||
| 0.2 | ||||
| 0.4 | ||||
| 0.6 | ||||
| 0.8 | ||||
| 1 |
| 0 | 0 | |||
| 0.2 | ||||
| 0.4 | ||||
| 0.6 | ||||
| 0.8 | ||||
| 1 | 0 | 0 |
Disclaimer/Publisher’s Note: The statements, opinions and data contained in all publications are solely those of the individual author(s) and contributor(s) and not of MDPI and/or the editor(s). MDPI and/or the editor(s) disclaim responsibility for any injury to people or property resulting from any ideas, methods, instructions or products referred to in the content. |
© 2024 by the authors. Licensee MDPI, Basel, Switzerland. This article is an open access article distributed under the terms and conditions of the Creative Commons Attribution (CC BY) license (https://creativecommons.org/licenses/by/4.0/).
Share and Cite
Saad, K.M.; Srivastava, R. Non-Standard Finite Difference and Vieta-Lucas Orthogonal Polynomials for the Multi-Space Fractional-Order Coupled Korteweg-de Vries Equation. Symmetry 2024, 16, 242. https://doi.org/10.3390/sym16020242
Saad KM, Srivastava R. Non-Standard Finite Difference and Vieta-Lucas Orthogonal Polynomials for the Multi-Space Fractional-Order Coupled Korteweg-de Vries Equation. Symmetry. 2024; 16(2):242. https://doi.org/10.3390/sym16020242
Chicago/Turabian StyleSaad, Khaled M., and Rekha Srivastava. 2024. "Non-Standard Finite Difference and Vieta-Lucas Orthogonal Polynomials for the Multi-Space Fractional-Order Coupled Korteweg-de Vries Equation" Symmetry 16, no. 2: 242. https://doi.org/10.3390/sym16020242
APA StyleSaad, K. M., & Srivastava, R. (2024). Non-Standard Finite Difference and Vieta-Lucas Orthogonal Polynomials for the Multi-Space Fractional-Order Coupled Korteweg-de Vries Equation. Symmetry, 16(2), 242. https://doi.org/10.3390/sym16020242
