Enhancing Urban Intersection Efficiency: Visible Light Communication and Learning-Based Control for Traffic Signal Optimization and Vehicle Management
Abstract
1. Introduction
2. Traffic Control Challenges: Addressing Pedestrian Dynamics and Muti-Intersection Scenarios
- (1)
- What is special about pedestrian traffic as opposed to vehicle traffic?
- (2)
- How can we exploit these specialties to optimize the efficiency, safety, and scalability of traffic signal control in the multi-intersection scenario?
2.1. Pedestrian Traffic Dynamics and Multi-Intersection Complexity
2.2. Innovative Solutions: V-VLC Integration
3. Traffic Controlled Intersection
3.1. V-VLC Communication Link
- Mesh Controllers: Positioned at the streetlights, at strategic intervals along roadways, the “mesh” controller serves as a pivotal node in the network, responsible for relaying messages to vehicles traversing its vicinity. The mesh controller efficiently forwards data packets to nearby vehicles, ensuring timely dissemination of critical information such as geo-distribution and real-time load balancing (q(x,y,t)) and traffic messages.
- Mesh/Cellular Hybrid Controllers: At the traffic lights, operating at the intersection of mesh and cellular networks, the “mesh/cellular” hybrid controller assumes a multifaceted role within the system architecture. Primarily functioning as a border-router for edge computing (V2I), this controller not only facilitates seamless integration between mesh and cellular networks but also serves as a gateway for data exchange between edge devices and the central cloud infrastructure (I2IM). By leveraging the hybrid nature of its connectivity, the mesh/cellular controller enables robust and resilient communication pathways, ensuring uninterrupted data flow across the network.
3.2. Scenario and Environment for the Simulation
3.3. Multi-Cooperative Localization
3.4. Communication Protocol
- Start of Frame (SoF): The frame begins with a synchronization block of 5 bits, indicated by the pattern [10101]. This is used to synchronize the receivers and identify the start of a new frame.
- Identification (ID) Blocks: These blocks encode information using binary representation for coded decimal numbers. Information includes the type of communication, localization of transmitters (x, y coordinates), and timeline information (END, Hour, Min, Sec). The time sub-block begins with the pattern [111] to alert the decoder that the following bit sequence (6 + 6 + 6) corresponds to time identification rather than payload.
- Other ID Blocks: These include the necessary number and temporary identification of vehicles following the leader: Information related to the occupied lane (Lane 0–7), traffic signal requested (TL 0–15), cardinal direction, or active phase provided by the infrastructure in a “response” or “request” message at the intersection.
- 2-Traffic Message (Body of the Message): This block includes additional information:
- Vehicle Information: x, y coordinates and order of cars behind the leader that request/receive permission to cross the intersection (CarIDx, CarIDy, n° behind).
- Traffic information (payload); Road Conditions; Average Waiting Time; Weather Conditions:
- End of Frame (EoF): The frame concludes with a 4-bit EoF block, defined by the pattern [0000], indicating the end of the frame.
3.5. Transmitted and Decoded VLC Signals
4. Dynamic Traffic Flow Control Simulation
4.1. SUMO Simulation: State Representation and Cycle and Phases Durations
4.2. SUMO Simulation: VLC Pedestrian Incorporation
4.3. Inter-Intersections: 160 m (1 × 2); 250 m (1 × 2) and 400 m (1 × 2) Road Network Topology
5. Intelligent Traffic Flow Control Simulation
5.1. RL-Based Model Using VLC
5.2. Training Adjacent Symmetric Homogenous Rewards
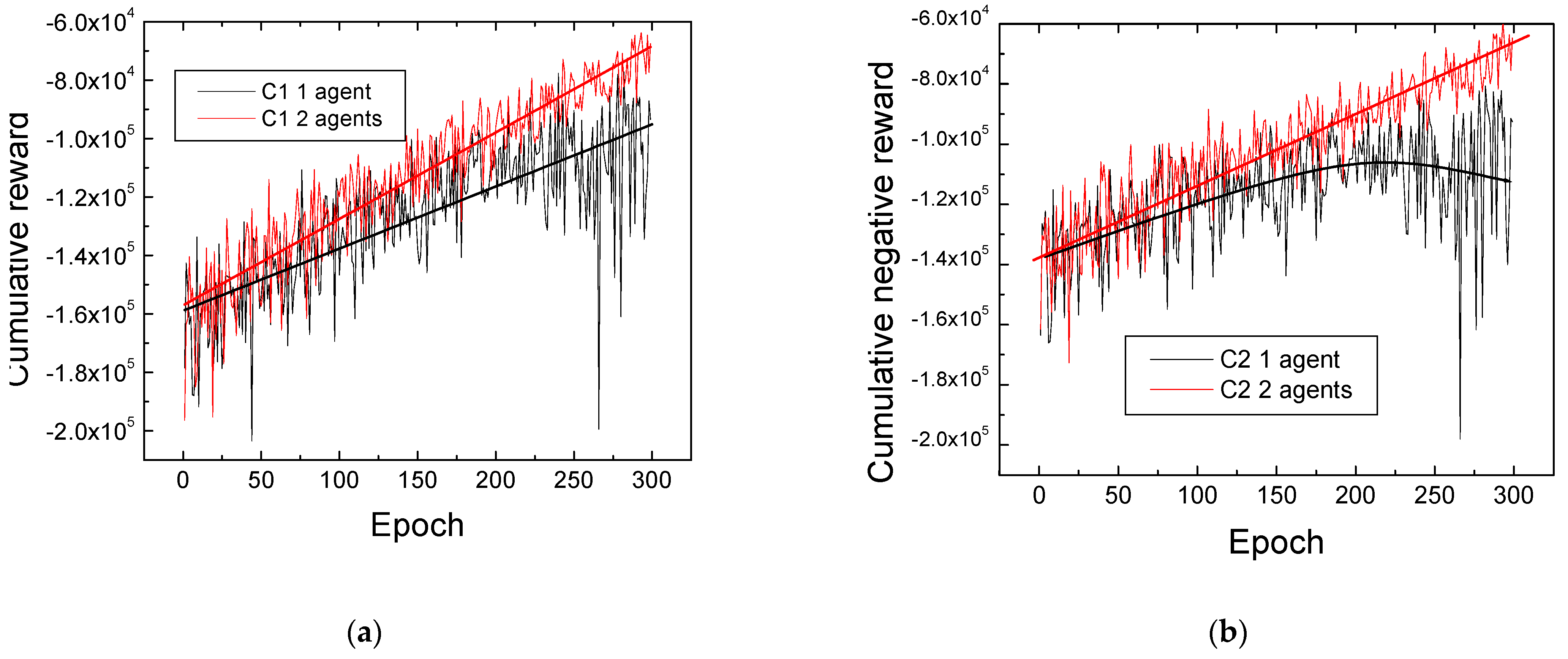
5.3. Neural Network Tests for High and Low Vehicular Scenarios Using 160 m (1 × 2) Road Network Topology
6. Conclusions and Future Work
Author Contributions
Funding
Data Availability Statement
Acknowledgments
Conflicts of Interest
References
- O’Brien, D.; Le Minh, H.; Zeng, L.; Faulkner, G.; Lee, K.; Jung, D.; Oh, Y.; Won, E.T. Indoor Visible Light Communications: Challenges and Prospects. In Free-Space Laser Communications VIII, Proceedings of the Optical Engineering + Applications, San Diego, CA, USA, 10–14 August 2008; SPIE: Bellingham, WA, USA, 2008; Volume 7091, pp. 60–68. [Google Scholar]
- Pathak, P.H.; Feng, X.; Hu, P.; Mohapatra, P. Visible Light Communication, Networking and Sensing: Potential and Challenges. IEEE Commun. Surv. Tutor. 2015, 17, 2047–2077. [Google Scholar] [CrossRef]
- Memedi, A.; Dressler, F. Vehicular Visible Light Communications: A Survey. IEEE Commun. Surv. Tutor. 2020, 23, 161–181. [Google Scholar] [CrossRef]
- Caputo, S.; Mucchi, L.; Cataliotti, F.; Seminara, M.; Nawaz, T.; Catani, J. Measurement-based VLC channel characterization for I2V communications in a real urban scenario. Veh. Commun. 2021, 28, 100305. [Google Scholar] [CrossRef]
- Vieira, M.A.; Vieira, M.; Vieira, P.; Louro, P. Optical Signal Processing for a Smart Vehicle Lighting System Using A-SiCH Technology. In Optical Sensors 2017, Proceedings of the SPIE Optics + Optoelectronics, Prague, Czech Republic, 24–27 April 2017; SPIE: Bellingham, WA, USA, 2017; Volume 10231, p. 10231. [Google Scholar]
- Liang, X.; Du, X.; Wang, G.; Han, Z. A Deep Reinforcement Learning Network for Traffic Light Cycle Control. IEEE Trans. Veh. Technol. 2019, 68, 1243–1253. [Google Scholar] [CrossRef]
- Vieira, M.A.; Vieira, M.; Louro, P.; Vieira, P. Cooperative vehicular communication systems based on visible light communication. Opt. Eng. 2018, 57, 076101. [Google Scholar] [CrossRef]
- Elliott, D.; Keen, W.; Miao, L. Recent advances in connected and automated vehicles. J. Traffic Transp. Eng. 2019, 6, 109–131. [Google Scholar] [CrossRef]
- Bajpai, J.N. Emerging vehicle technologies & the search for urban mobility solutions. Urban Plan. Transp. Res. 2016, 4, 83–100. [Google Scholar]
- Wang, N.; Qiao, Y.; Wang, W.; Tang, S.; Shen, J. Visible Light Communication based Intelligent Traffic Light System: Designing and Implementation. In Proceedings of the 2018 Asia Communications and Photonics Conference (ACP), Hangzhou, China, 26–29 October 2018. [Google Scholar] [CrossRef]
- Cheng, N.; Lyu, F.; Chen, J.; Xu, W.; Zhou, H.; Zhang, S.; Shen, X. Big data driven vehicular networks. IEEE Netw. 2018, 32, 160–167. [Google Scholar] [CrossRef]
- Singh, P.; Singh, G.; Singh, A. Implementing Visible Light Communication in intelligent traffic management to resolve traffic logjams. Int. J. Comput. Eng. Res. 2015, 5, 1–5. [Google Scholar]
- Sousa, I.; Queluz, P.; Rodrigues, A.; Vieira, P. Realistic Mobility Modeling of Pedestrian Traffic in Wireless Networks. In Proceedings of the 2011 IEEE EUROCON-International Conference on Computer as a Tool, Lisbon, Portugal, 27–29 April 2011; pp. 1–4. [Google Scholar]
- Oskarbski, J.; Guminska, L.; Miszewski, M.; Oskarbska, I. Analysis of Signalized Intersections in the Context of Pedestrian Traffic. Transp. Res. Procedia 2016, 14, 2138–2147. [Google Scholar] [CrossRef]
- Pribyl, O.; Pribyl, P.; Lom, M.; Svitek, M. Modeling of smart cities based on ITS architecture. IEEE Intell. Transp. Syst. Mag. 2019, 11, 28–36. [Google Scholar] [CrossRef]
- Miucic, R. Connected Vehicles: Intelligent Transportation Systems; Springer: Cham, Switzerland, 2019. [Google Scholar]
- Yousefi, S.; Altman, E.; El-Azouzi, R.; Fathy, M. Analytical Model for Connectivity in Vehicular Ad Hoc Networks. IEEE Trans. Veh. Technol. 2008, 57, 3341–3356. [Google Scholar] [CrossRef]
- Zhang, J.; Wang, F.-Y.; Wang, K.; Lin, W.-H.; Xu, X.; Chen, C. Data-driven intelligent transportation systems: A survey. IEEE Trans. Intell. Transp. Syst. 2011, 12, 1624–1639. [Google Scholar] [CrossRef]
- Sahu, S.P.; Dewangan, D.K.; Agrawal, A.; Sai Priyanka, T. Traffic Light Cycle Control Using Deep Reinforcement Technique. In Proceedings of the 2021 International Conference on Artificial Intelligence and Smart Systems (ICAIS), Coimbatore, India, 25–27 March 2021; pp. 697–702. [Google Scholar] [CrossRef]
- Alvarez Lopez, P.; Behrisch, M.; Bieker-Walz, L.; Erdmann, J.; Flötteröd, Y.-P.; Hilbrich, R.; Lücken, L.; Rummel, J.; Wagner, P.; Wiessner, E. Microscopic Traffic Simulation Using SUMO. In Proceedings of the 21st IEEE International Conference on Intelligent Transportation Systems, Maui, HI, USA, 4–7 November 2018; pp. 2575–2582. [Google Scholar]
- Yousefpour, A.; Fung, C.; Nguyen, T.; Kadiyala, K.; Jalali, F.; Niakanlahiji, A.; Kong, J.; Jue, J.P. All one needs to know about fog computing and related edge computing paradigms: A complete survey. J. Syst. Archit. 2019, 98, 289–330. [Google Scholar] [CrossRef]
- Vieira, M.A.; Louro, P.; Vieira, P. Bi-Directional Communication between Infrastructures and Vehicles through Visible Light. In Proceedings of the Fourth International Conference on Applications of Optics and Photonics, Lisbon, Portugal, 31 May–4 June 2019; Volume 11207. [Google Scholar] [CrossRef]
- Vieira, M.A.; Vieira, M.; Louro, P.; Vieira, P. Cooperative Vehicular Visible Light Communication in Smarter Split Intersections. In Optical Sensing and Detection VII, Proceedings of the SPIE Photonics Europe, Strasbourg, France, 3 April–23 May 2022; SPIE: Bellingham, WA, USA, 2022; Volume 12139, p. 12139. [Google Scholar] [CrossRef]
- Vieira, M.A.; Vieira, M.; Louro, P.; Vieira, P. On the Use of Visible Light Communication in Cooperative Vehicular Communication Systems. In Next-Generation Optical Communication: Components, Sub-Systems, and Systems VII Proceedings of the SPIE, 105610T; SPIE: Bellingham, WA, USA, 2018. [Google Scholar] [CrossRef]
- Galvão, G.; Vieira, M.; Louro, P.; Vieira, M.A.; Véstias, M.; Vieira, P. Visible Light Communication at Urban Intersections to Improve Traffic Signaling and Cooperative Trajectories. In Proceedings of the 2023 7th International Young Engineers Forum (YEF-ECE), Caparica/Lisbon, Portugal, 7 July 2023; pp. 60–65. [Google Scholar] [CrossRef]
- Han, G.; Zheng, Q.; Liao, L.; Tang, P.; Li, Z.; Zhu, Y. Deep Reinforcement Learning for Intersection Signal Control Considering Pedestrian Behavior. Electronics 2022, 11, 3519. [Google Scholar] [CrossRef]
- Vieira, M.A.; Vieira, M.; Louro, P.; Vieira, P. Connected Cars: Road-to-Vehicle Communication through Visible Light. In Proceedings of the SPIE 10947, Next-Generation Optical Communication: Components, Sub-Systems, and Systems VIII, San Francisco, CA, USA, 2–7 February 2019; Volume 10947, pp. 81–90. [Google Scholar] [CrossRef]
- Vieira, M.A.; Vieira, M.; Louro, P.; Vieira, P.; Fantoni, A. Vehicular Visible Light Communication for Intersection Management. Signals 2023, 4, 457–477. [Google Scholar] [CrossRef]
- Vieira, P.; Vieira, M.A.; Queluz, M.A.; Rodrigues, A. A Novel Vehicular Mobility Model for Wireless Networks. Wirel. Pers. Commun. 2007, 43, 1689–1703. [Google Scholar] [CrossRef]
- Vieira, M.A.; Vieira, M.; Louro, P.; Vieira, P. Redesign of the trajectory within a complex intersection for visible light communication ready connected cars. Opt. Eng. 2020, 59, 097104. [Google Scholar] [CrossRef]
- Han, Y.; Wang, M.; Leclercq, L. Leveraging reinforcement learning for dynamic traffic control: A survey and challenges for field implementation. Commun. Transp. Res. 2023, 3, 100104. [Google Scholar] [CrossRef]
- Mushtaq, A.; Haq, I.U.; Sarwar, M.A.; Khan, A.; Khalil, W.; Mughal, M.A. Multi-Agent Reinforcement Learning for Traffic Flow Management of Autonomous Vehicles. Sensors 2023, 23, 2373. [Google Scholar] [CrossRef]
- Touhbi, S.; Babram, M.A.; Nguyen-Huu, T.; Marilleau, N.; Hbid, M.L.; Cambier, C.; Stinckwich, S. Adaptive traffic signal control: Exploring reward definition for reinforcement learning. Procedia Comput. Sci. 2017, 109, 513–520. [Google Scholar] [CrossRef]
- Vidali, A.; Crociani, L.; Vizzari, G.; Bandini, S. A Deep Reinforcement Learning Approach to Adaptive Traffic Lights Management. In Proceedings of the Workshop “From Objects to Agents” (WOA 2019), Parma, Italy, 26–28 June 2019; pp. 42–50. [Google Scholar]
- Chen, D.; Hajidavalloo, M.R.; Li, Z.; Chen, K.; Wang, Y.; Jiang, L.; Wang, Y. Deep multi-agent reinforcement learning for highway on-ramp merging in mixed traffic. IEEE Trans. Intell. Transp. Syst. 2023, 24, 11623–11638. [Google Scholar] [CrossRef]
- Liu, D.; Li, L. A traffic light control method based on multi-agent deep reinforcement learning algorithm. Sci. Rep. 2023, 13, 9396. [Google Scholar] [CrossRef] [PubMed]













| COM | Position | ||||||||||||||
|---|---|---|---|---|---|---|---|---|---|---|---|---|---|---|---|
| L2V | Sync | 1 | x | y | END | Hour | Min | Sec | Payload | (32 bits) | EOF | ||||
| V2V | Sync | 2 | x | y | Lane (0–7) | Nº Veic. | END | Hour | Min | Sec | Car IDx | Car IDy | nº behind | EOF | |
| V2I | Sync | 3 | x | y | TL (0–15) | Nº Veic. | END | Hour | Min | Sec | Car IDx | Car IDy | nº behind | EOF | |
| I2V | Sync | 4 | x | y | TL (0–15) | ID veic | END | Hour | Min | Sec | Car IDx | Car IDy | nº behind | Phase | EOF |
| P2I | Sync | 5 | x | y | TL (0–15) | Direct. | END | Hour | Min | Sec | payload | EOF | |||
| I2P | Sync | 6 | x | y | TL (0–15) | Phase | END | Hour | Min | Sec | Payload | EOF | |||
Disclaimer/Publisher’s Note: The statements, opinions and data contained in all publications are solely those of the individual author(s) and contributor(s) and not of MDPI and/or the editor(s). MDPI and/or the editor(s) disclaim responsibility for any injury to people or property resulting from any ideas, methods, instructions or products referred to in the content. |
© 2024 by the authors. Licensee MDPI, Basel, Switzerland. This article is an open access article distributed under the terms and conditions of the Creative Commons Attribution (CC BY) license (https://creativecommons.org/licenses/by/4.0/).
Share and Cite
Vieira, M.A.; Galvão, G.; Vieira, M.; Louro, P.; Vestias, M.; Vieira, P. Enhancing Urban Intersection Efficiency: Visible Light Communication and Learning-Based Control for Traffic Signal Optimization and Vehicle Management. Symmetry 2024, 16, 240. https://doi.org/10.3390/sym16020240
Vieira MA, Galvão G, Vieira M, Louro P, Vestias M, Vieira P. Enhancing Urban Intersection Efficiency: Visible Light Communication and Learning-Based Control for Traffic Signal Optimization and Vehicle Management. Symmetry. 2024; 16(2):240. https://doi.org/10.3390/sym16020240
Chicago/Turabian StyleVieira, Manuel Augusto, Gonçalo Galvão, Manuela Vieira, Paula Louro, Mário Vestias, and Pedro Vieira. 2024. "Enhancing Urban Intersection Efficiency: Visible Light Communication and Learning-Based Control for Traffic Signal Optimization and Vehicle Management" Symmetry 16, no. 2: 240. https://doi.org/10.3390/sym16020240
APA StyleVieira, M. A., Galvão, G., Vieira, M., Louro, P., Vestias, M., & Vieira, P. (2024). Enhancing Urban Intersection Efficiency: Visible Light Communication and Learning-Based Control for Traffic Signal Optimization and Vehicle Management. Symmetry, 16(2), 240. https://doi.org/10.3390/sym16020240

