Abstract
As a layered topological nodal line semimetals hosting a quasi-one-dimensional (quasi-1D) crystalline structure, TaNiTe5 has attracted intensive attention. In this research, we analyze the low temperature (low-T) transport properties in single crystals of TaNiTe5. The high anisotropic transport behaviors confirm the anisotropic electronic structure in quasi-1D TaNiTe5. The resistivity shows a magnetic field-induced resistivity upturn followed by a plateau at low temperatures when current is parallel to the c axis and magnetic field is parallel to the b axis. An extremely large magnetoresistance of 1000% has been observed at 2 K and 13 T. Such a magnetic field-induced phenomenon can be generally explained using the topological theory, but we find that the behaviors are well accounted with the classical Kohler’s rule. The analysis of the Hall resistivity points to carrier compensation in TaNiTe5, fully justifying Kohler’s rule. Our findings imply that analogous magnetic field-induced low-T properties in nodal line semimetals TaNiTe5 can be understood in the framework of classical magnetoresistance theories that do not require to invoke the topological surface states.
1. Introduction
Topological semimetals (TSMs) with nontrivial band structures have been one of the spotlights in condensed matter physics owing to their novel topological responses [1,2,3,4]. Compared with high-dimensional materials, low-dimensional materials, especially one-dimensional materials, exhibit unique characteristics due to the quantum confinement effect [5,6,7]. For instance, when electrons are spatially confined to a quasi-1D bismuthine edge, the system is in the Tomonaga–Luttinger liquid regime, with the characteristic feature of the separationof charge and spin [8]. Due to the anisotropic one-dimensional conductive channels, backscattering is strictly prohibited in quasi-1D materials, which favors the generation of highly directional spin currents and contributes to the development of spintronics devices with low energy consumption [9]. Therefore, the TSM with low-dimensional structures provided an excellent platform to explore and engineer topological properties due to the reduced dimensionality. Nevertheless, a vast majority of TSMs identified to date are two-dimensional or three-dimensional, whereas one-dimensional TSMs have rarely been identified.
As topological material candidates with quasi-1D structural characteristics, ternary transition-metal telluride has attracted intensive attention [9,10,11,12,13,14,15]. For example, the ABTe4 (A = Nb, Ta; B = Ir, Rh) family has been predicted to be a new series of type-II Weyl semimetals [12,16]. Experimentally, the Shubnikov-de Haas oscillations have been observed as in TaIrTe4 [11] and NbIrTe4 [17], which indicate the light effective masses of charge carriers and the nontrivial Berry phase associated with Weyl fermions. In addition, the Fermi arcs as well as Weyl nodes in the bulk of TaIrTe4 have been identified directly via angle-resolved photoemission spectroscopy (ARPES) [18,19]. Interestingly, on the TaIrTe4 surface, quasi-1D superconductivity has been observed [19], illustrating the strong correlation between complex quantum phenomena and quasi-1D structure. From a crystal structure viewpoint, both NbIrTe4 and TaIrTe4 have a layered non-centrosymmetric orthorhombic structure with alternating quasi-1D IrTe2 and NbTe2/TaTe2 chains along a axis [20,21]. It is worth noting that this structural feature is very common in ternary transition-metal telluride [13]. Therefore, the structural similarities and complicated topological properties in ternary transition metal tellurides have prompted further exploration of novel topological materials in these low-dimensional compounds.
Another new family in ternary transition metal tellurides, Ta-based TaXTe5 (X = Ni, Pd, Pt) has been recently proposed as candidates for quasi-1D topological materials that possess stable chemical properties [15,22,23]. Among them, TaNiTe5 has the similar layered orthorhombic structure [24,25]. Its eclipsed stacking of the atomic layer is along the b axis through van der Waals interactions, and the alternating one-dimensional TaTe3 and NiTe2 chains are parallel to a axis in the layered slab. The quasi-1D properties and topological electronic structures of TaNiTe5 have been well investigated. The quasi-1D atomic nature of the surface and the electronic structures in TaNiTe5 have been characterized using scanning tunneling microscopy/spectroscopy. The cryogenically cleaved TaNiTe5 is terminated with quasi-1D stripes along the crystallographic a axis, and the spatial distribution of local density of states exhibits apparent anisotropy [26]. Moreover, the quasi-one-dimensionality of TaNiTe5 has also been demonstrated because of its large anisotropy in the resistivity [27]. The excellent quasi-1D electronic properties of TaNiTe5 would inspire low-dissipation devices and applications. In our previous study, we have found a pronounced de Hass–van Alphen oscillations and revealed three major oscillation frequencies, F1 = 56 T, F2 = 162 T, and F3 = 232 T, under //b, and two major oscillation frequencies, F4 = 64 T, and F5 = 252 T, under //a, respectively [27]. The corresponding light effective masses and the nontrivial Berry phases suggest the nontrivial band topology in TaNiTe5. The ARPES and density functional theory (DFT) calculations revealed multiple Dirac-type nodal lines with fourfold degeneracy in TaNiTe5, which results from the interplay between non-symmorphic symmetry and structural anisotropy [28]. Further, ARPES and spin-resolved ARPES combined with DFT calculations revealed the coexistence of the strong and weak topological phases in TaNiTe5 [9], where the surface states protected by weak topological order forms Dirac-node arcs in the vicinity of the Fermi energy, which are responsible for the strong anisotropy in the transport measurements [9]. Furthermore, on the surface of TaNiTe5, the ferroelectric-like polarization and novel surface states have been obtained via ARPES, scanning tunneling microscopy and piezo response force microscopy measurements [29]. The interesting combination of ferroelectric-like polarization and novel surface states has intriguing potential for future applications. These studies demonstrate that the TaXTe5 (X = Ni, Pd, Pt) family is a promising platform to investigate low-dimensional quantum phenomena and further facilitates the development of spintronics.
A recent study showed magnetic field-induced resistivity upturn and plateau in TaNiTe5 [23], which shows that its origin from a field-induced metal-to-insulator-like transition. Similar resistivity upturn and plateau in topological insulator materials under zero magnetic field have been widely investigated, like Bi2Te2Se [30] and SmB6 [31]. In the topological insulators, the surface that is in contact with air is metallic, whereas the bulk states are completely gapped out near the Fermi level [32,33]. The metallic surface states are protected by time reversal symmetry (TRS), and thus are robust to disorders. The hallmark of transport signature of surface states in the topological insulators displays a typical resistivity plateau [30,31,34], which arrests the exponential divergence of the insulating bulk with decreasing temperature. On the other hand, similar resistivity upturn and plateau have been investigated in topological semimetals under magnetic field [32,35,36,37,38,39,40]. Several mechanisms have been proposed to explain these features [32,35,36,37,40,41,42]. Tafti et al. observed resistivity upturn followed by a plateau at low temperatures when in LaSb [32], which is related to the breaking of TRS in topological semimetals; that is, the magnetic field-induced resistivity upturn is generally considered indicative of a metal–insulator transition resulting from the gap opening at the band-touching points, and the resistivity plateau is considered as a transport signature for topological surface states [32,35,41,43]. However, in the case of Weyl semimetals WTe2, whose low-T upturn excludes the possible existence of a metal–insulator transition or a contribution of electronic structure change [40], indicative of the classical magnetoresistance (MR) origin. As a matter of fact, the sample which follows Kohler’s rule generally has residual resistivity, high mobilities, and large residual resistance ratio (RRR). The Kohler’s rule compliance indicates that the scattering mechanism remains the same throughout the related temperature and field ranges, which rules out the mechanism of a metal-to-insulator transition. A similar phenomenon in other topological semimetals have been explained with this mechanism, like YSb [37], TaSe3 [36], and TaSb2 [44]. Therefore, the magnetic field-induced metal–insulator transition is not the only mechanism to understand low-T resistivity upturn and plateau in topological semimetals. In this case, it is critical to explore the origin of the low-T magnetic field-induced behaviors in TaNiTe5.
In this research, high-quality TaNiTe5 single crystals were grown to study the transport properties. The transport behavior for TaNiTe5 is highly anisotropic, which reflects its anisotropic electronic properties of quasi-1D structure. When I//c and //b, magnetic field-induced resistivity upturn and plateau are observed, and an extremely large magnetoresistance (XMR) is observed. The magnetic field-induced behaviors can be accounted with the classical magnetoresistance theory, i.e., Kohler’s rule. The analysis of magnetic field dependence of Hall resistivity shows electron–hole compensation in TaNiTe5. The relatively low carrier concentrations and high mobility characteristic are consistent with the nature of topological semimetal for TaNiTe5. Our result provides strong support for the magnetic field-induced properties in TaNiTe5 without the necessity of invoking topologically nontrivial states.
2. Experimental and Methods
As we know, high-quality single crystals serve as the premise and foundation for investigating novel physical properties, and the crystal quality significantly affects the transport properties [32]. This effect is even more obvious in the topological materials because the quantum phenomenon is sensitive to crystal quality [32,45]. In order to observe the intrinsic transport properties of the topological material, it is essential to prepare high-quality single-crystal samples. Compared to the chemical vapor transport method, single crystals grown using the self-flux method generally display fewer defects and impurities. On the other hand, the high RRR value is a good indicator of excellent crystal quality. For example, the RRR of self-flux-grown WTe2 crystals reaches a value of 1256, which is much higher than the values of 184–370 of the sample grown using the chemical vapor transport method [45,46,47]. In addition, the cooling rate has a great influence on the crystal quality in the self-flux method. A slow cooling rate is advantageous for obtaining high-quality single crystals. Thus, high-quality TaNiTe5 single crystals were grown using the self-flux method. The powder of Ta (99.99%), Ni (99.99%), and Te (99.99%) were mixed with the molar ratio 1:1:10 and placed in an alumina crucible. The crucible was sealed in a silica tube under vacuum. The quartz tube was heated in a furnace at 1000 °C for 32 h, and then cooled to 500 °C with 1 K/h cooling rate. At 500 °C, the silica tube was centrifuged to separate the crystals from the flux. TaNiTe5 single crystals with metallic luster were finally obtained. The inset of Figure 1b shows the typical size of the samples. The single crystals were examined using a x-ray diffractometer (XRD, Bruker, D2, Germany). The chemical compositions were characterized via energy-dispersive x-ray spectroscopy (EDX, FlexSEM-1000, Hitachi, Japan). The chemical composition of the crystals utilized was determined to be TaNi1.1Te5.5, which is very close to the ideal chemical composition. Henceforth, we refer to the obtained samples as TaNiTe5. All samples were removed from the remaining flux on the surface, and fashioned into bar-shaped samples. The electrical transport properties were carried out in a commercial physical property measurement system (PPMS, Quantum Design). The standard four-probe method was employed for the electrical measurements. The Hall resistivity was obtained by subtracting the longitudinal resistivity component.
Figure 1.
(a) Crystal structure of TaNiTe5 viewed along the a axis. (b) XRD pattern of single crystal. Inset: Typical optical image of TaNiTe5 single crystals. (c) Temperature dependence of the electronic resistivity ρa, ρb, and ρc, with current applied along a axis, b axis, and c axis, respectively, for TaNiTe5. The inset shows the enlarged view of ρa, ρb, and ρc in the low-T regime and the fit to the Fermi liquid paradigm. (d) Temperature dependence of the resistivity anisotropy for ρc/ρa and ρb/ρa, respectively.
3. Results and Discussion
TaNiTe5 crystallizes in the orthorhombic space group (Cmcm, No.63) with the refined lattice parameter a = 3.659 Å, b = 13.122 Å, c = 15.111 Å, and α = β = γ = 90° [24]. As depicted in Figure 1a, triangle NiTe2 chains are formed along a axis, making the compound structurally one-dimensional and exhibit highly anisotropic behaviors. Figure 1b shows the XRD patterns collected from an as-grown facet of TaNiTe5 single crystals. It can be seen that only the (0l0) Bragg peaks are observed, demonstrating that the exposed surface is ac plane. Figure 1c displays the temperature (T) dependence of resistivity measured at zero field with current along three crystallographic axes, i.e., ρa(T), ρb(T), and ρc(T), respectively. The residual resistivity ratio RRR = ρ (300 K)/ρ (2 K)) are RRRa= 30, RRRb= 24, RRRc= 31, respectively. These values are much bigger than the value reported so far [23,25]. ρa(T), ρb(T), and ρc(T) all show an approximative linear temperature dependence between 300 and 50 K. Upon further cooling, all of them gradually deviate from linear dependence, and cross over to a quadratic temperature dependence at low-temperature region, as demonstrated in the inset of Figure 1c; that is, the data of three directions can be described with the Fermi liquid, suggesting that electron–electron scattering mechanism dominates in the low-T region. Figure 1d shows that the temperature dependence of resistivity anisotropy of TaNiTe5. The small value of ρc/ρa~1.4–1.7 during the whole temperature range of 2–300 K suggests a weak anisotropy in the layered slab. By contrast, the value of ρb/ρa~37–39 is much bigger than that of ρc/ρa~1.4–1.7, which demonstrates the strong anisotropy between in-plane and out-of-plane. Evidently, the quasi-1D transport behaviors in TaNiTe5 are clearly manifested by ρa:ρb:ρc = 1:28:1.4 at 300 K and 1:27:1.7 at 2 K, respectively. A similar anisotropic behavior also appears in the sister compounds TaPdTe5 [13], and TaPtTe5 [22]. The anisotropic transports signify the large anisotropic Fermi surfaces and the associated electron lifetime, reflecting its quasi-1D electronic structure. Notably, the anisotropy value of our sample is the highest compared to the previous report [23]. Both the RRR value and highest anisotropy assure the high quality of our single crystals.
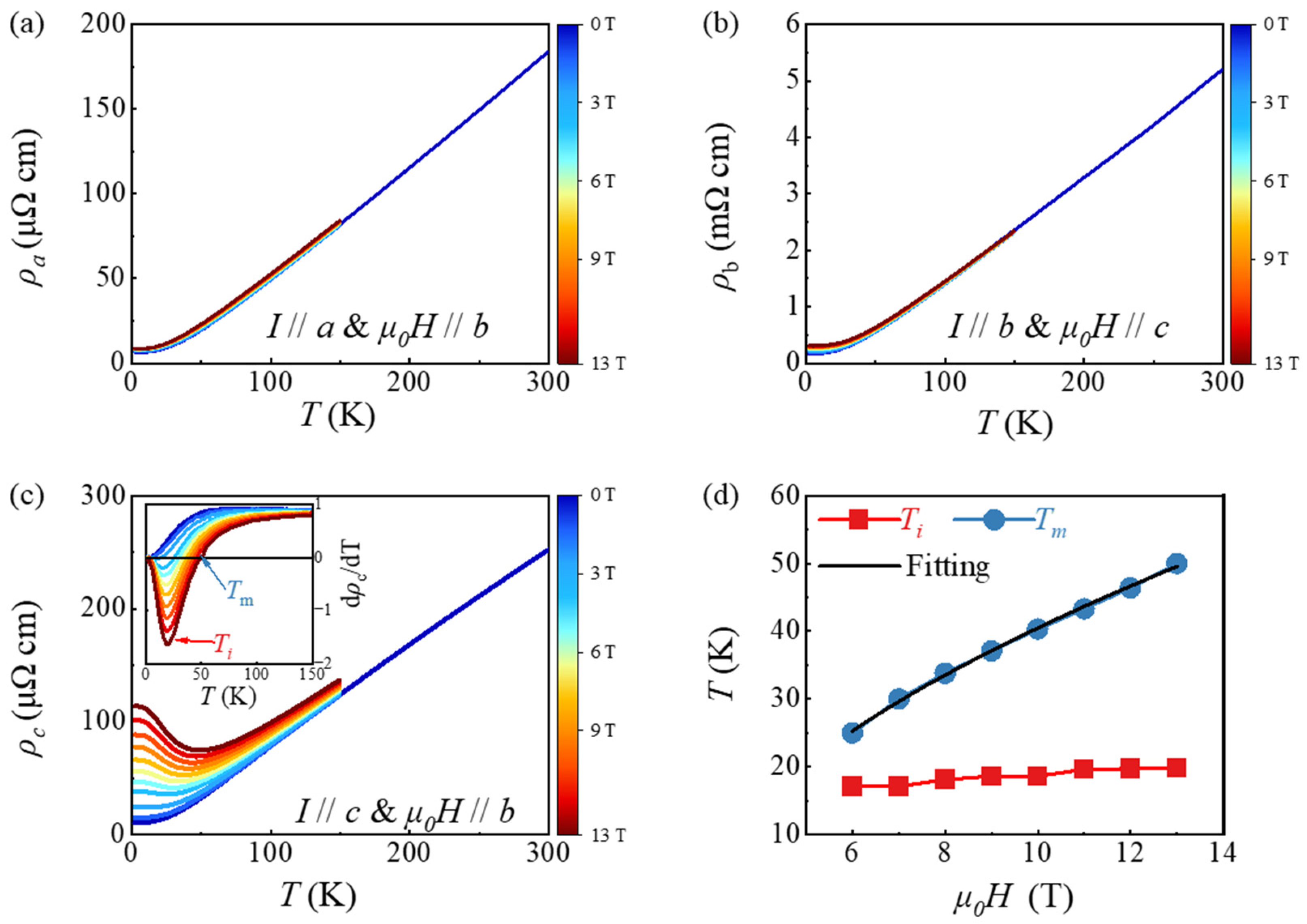
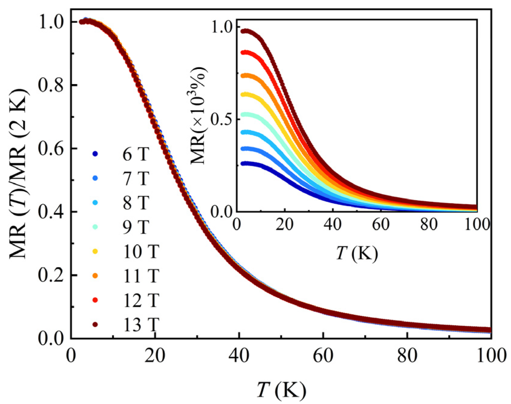
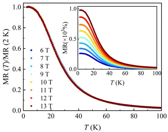
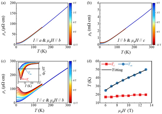
Based on our high-quality single crystals of TaNiTe5, we further measured the temperature-dependent resistivity along each direction of the crystallographic axis under various magnetic fields. As shown in Figure 2a–c, ρa(T), ρb(T), and ρc(T) display interesting anisotropy behavior. Both ρa(T) and ρb(T) show typical metallic behavior with negligible MR until applied field of 13 T. By contrast, ρc(T) shows metallic behavior at high temperatures, while the resistivity reached a minimum at Tm once μ0H ≥ 6 T. Remarkably, below Tm, the resistivity keeps increasing until a resistivity plateau is reached at Ti. A similar anisotropic behavior has been observed in its sister compound TaPdTe5 [22] and NbNiTe5 [15], which reflects the anisotropic electronic properties in this quasi-1D material. To obtain the values of Tm and Ti, we plotted the temperature dependence of the derivative dρc/dT under various magnetic fields, as shown in the inset of Figure 2c. Tm is defined by the point where dρc/dT = 0, and Ti is the point where dρc/dT = 0 is minimum. Figure 2d shows the magnetic field dependence of Tm and Ti. Tm and Ti both increase monotonically with increasing magnetic field, while the increase in Tm is more drastic than that of Ti. And Tm is well fitted using the equation , with fitting parameters ν = 1.73. The value is close to those observed ν = 2 in compensated semimetals WTe2 [40], graphite [48], and bismuth [48]. It was predicted that at T ≤ Tm an excitonic gap can be induced by a magnetic field with [49], which was earlier used as an evidence of a metal–insulator transition. However, as shown in the inset of Figure 3, the MR curves decreases monotonically with increasing temperature without any gap-opening-induced features, such as steps at . Furthermore, as shown in Figure 3, when MR curves at different magnetic fields are normalized with values at 2 K, all curves overlap each other. This is inconsistent with the case of a magnetic field-induced gap, where a steeper slope in MR curves would appear under a higher magnetic field [40,50]; that is, a metal–insulator transition is probably not the origin of the low-T resistivity upturn in our TaNiTe5 crystals.
Figure 2.
(a)Temperature dependence of electronic resistivity with the magnetic field parallel to the b axis up to 13 T for TaNiTe5. (b)Temperature dependence of electronic resistivity with the magnetic field parallel to the c axis up to 13 T for TaNiTe5. (c) Temperature dependence of electronic resistivity with the magnetic field parallel to the b axis up to 13 T for TaNiTe5. The inset shows the Tm and Ti values obtained from the differential curves under various fields. (d) Tm and Ti as a function of magnetic field. The black line is the fit to .
Figure 3.
Temperature dependence of the normalized magnetoresistances obtained at various fixed magnetic fields with current parallel to the c axis and magnetic fields parallel to the b axis. Inset shows temperature dependence of the original magnetoresistances obtained at various magnetic fields with current parallel to the c axis and magnetic fields parallel to the b axis.
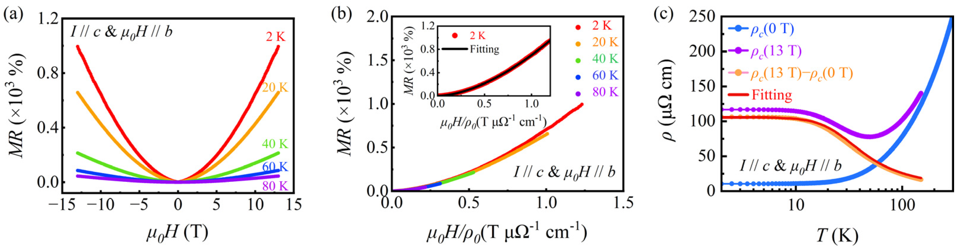
To further analyze the mechanism for the magnetic field-induced phenomenon in TaNiTe5, we measured the magnetic field-dependent magnetoresistance at fixed temperatures with current parallel to the c axis and magnetic fields parallel to the b axis. MR is defined as , where is the longitudinal resistivity under magnetic field, and is the longitudinal resistivity at zero magnetic field. As shown in Figure 4a, we observe the XMR in TaNiTe5, where MR reaches about 1000% at T = 2 K and without any sign of saturation. This is comparable to other XMR materials [36,42,51]. As we know, Kohler’s rule can describe the motion of electrons in a single band or multiple bands under magnetic field [40,52]. In previous studies on topological semimetal [36,40,44], the magnetic field-induced phenomenon could be explained within the framework of Kohler’s rule. Here, we use Kohler’s rule to analyze the MR curves. In Kohler’s rule,
where α and m are constants. When m = 2, the above-mentioned Kohler’s rule equation can be derived from the two-band model of electrical resistivity. The derived process is given below. The complex resistivity in the two-band model is expressed as [47,53]
Figure 4.
(a) The MR for with the magnetic fields parallel to the b axis at selected temperatures for TaNiTe5. (b) Kohler’s scaling for at selected temperatures for TaNiTe5. Inset: MR vs. μ0H/ at T = 2 K. The solid black line represents a fit to . (c) Temperature dependence of resistivity with the magnetic fields parallel to the b axis at 0 T and 13 T and their differences for TaNiTe5. The solid red line represents fit to Kohler’s rule.
The experimentally observed resistivity equals to . When the system is in perfect electron–hole compensation, ,we can obtain
and
We define ; thus, we obtain
For the system with an imperfect compensated (), Kohler’s rule can be still obeyed when the first two terms in the denominator in dominates [40]. We note that in this case, , which is temperature-independent. In the case of temperature-dependent α, Kohler’s rule would be violated [40]. As presented in Figure 4b, the MR curves from T = 2–80 K can basically be scaled into a single curve when plotted as MR vs. ; that is, the temperature dependence of the MR under I//c and //b in TaNiTe5 follows Kohler’s rule, indicating that the scattering mechanism keeps same over the measured temperature and magnet field ranges. Thus, the possibility of an intrinsic field-induced metal–insulator transition can further be ruled out [40,54]. Inset of Figure 4b shows MR as a function of at 2 K from which α and m were determined, and . Kohler’s rule can be rearranged and written as
i.e.,
As seen, the resistivity under magnetic field consists of two terms, one is temperature dependence of the resistivity at zero field, i.e., , the other one is magnetic field-induced resistivity, i.e., . Evidently, the two terms have opposite dependence on temperature, so the competition between them lead to a minimum in resistivity under magnetic field [40,55,56]. Figure 4c shows the temperature dependence of resistivity with //b at 0 T [] and 13 T [] and their differences [], respectively. As seen, the differences is fitted with the second term, i.e., with and , as represented by the red solid line. The fitting further suggests that Kohler’s rule is obeyed in TaNiTe5. This indicates that the temperature dependence of the resistivity in a fixed magnetic field is solely determined by , because both α and m are temperature-independent. Furthermore, at low temperatures, becomes low and almost independent of temperature variation. This implies at low temperatures, which is almost constant, giving rise to a resistivity plateau. Thus, the magnetic field-induced resistivity upturn and plateau in TaNiTe5 can be explained with the help of the classical magnetoresistance theory; that is, while TaNiTe5 is nodal-line semimetals, it is not necessary to invoke topological theories to explain the magnetic field-induced phenomenon. This case is similar to WTe2 [40] and TaSe3 [42].
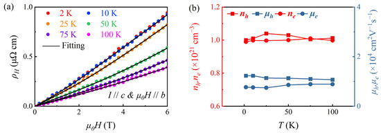
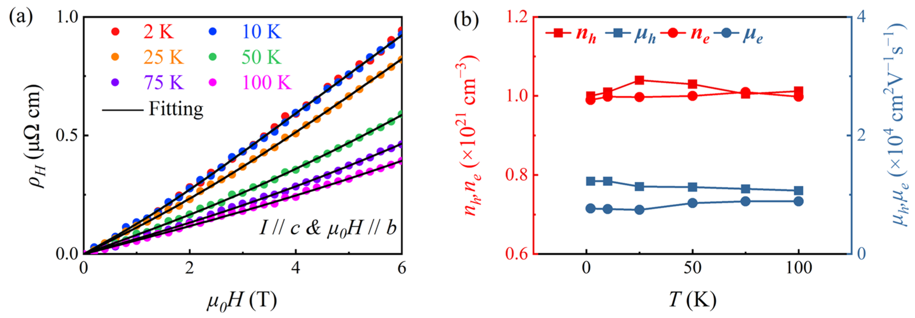
To confirm the carrier type, concentration, and mobility in TaNiTe5, the Hall effect was investigated. Figure 5a shows the results of Hall resistivity (ρH) at various temperatures. It can be seen that magnetic field-dependent Hall resistivity deviates from a perfect linear behavior. This suggests that both electron and hole are responsible for the Hall effect, reflecting the multi-band characteristic in TaNiTe5. For a system with multi-band, curves are fitted with the two-band model including both electron- and hole-type carriers [52]. In the two-band model, the experimentally observed Hall resistivity equals to [47,52]:
where () and () are density and mobility of holes (electrons), respectively. We fit our measured Hall resistivity vs. as shown in Figure 5a. It can be seen that the fits are well performed with the nonlinear data below 100 K. The obtained values of , , , and are shown in Figure 5b. The result shows that and do not significantly change with temperature. At T = 2 K, and are evaluated to be cm−3 and cm−3, respectively. Simultaneously, the obtained and are 1.23 and 7.70 at T = 2 K, respectively. The relatively low carrier concentrations and high mobility characteristic are consistent with the nature of topological semimetal for TaNiTe5. The ratio , depending on the temperature, points towards a carrier compensation, which fully justifies Kohler’s rule [40,42]. In addition, the results suggest that electron–hole resonance plays the dominant role for XMR in TaNiTe5 when the magnetic field is applied. The case is similar to that in Weyl semimetal WTe2 [40], in which Kohler’s scaling takes into account magnetoresistance of normal metals that do not require topological surface states. Therefore, while the topological surface state is present in single crystals of TaNiTe5, one does not need to invoke this to explain magnetic field-induced resistivity upturn and plateau at low temperatures.
Figure 5.
(a) The magnetic field dependence of Hall resistivity at various temperatures with current parallel to c axis and the magnetic field parallel to the b axis for TaNiTe5. The black solid lines represent the two-band model fitting. (b) Temperature dependence of the carrier density and the mobility extracted from the above fits.
4. Conclusions
In summary, we present an experimental investigation of the transport magnetic properties of high-quality TaNiTe5 single crystals, which show significant anisotropic behavior and have a quasi-1D structure. The resistivity ρc(T) exhibits magnetic field-induced resistivity upturn and plateau at low-T regime when μ0H ≥ 6 T. XRM is observed, reaching 1000% at T = 2 K under μ0H = 13 T. Through fitting, we found that the magnetic field-induced behaviors follow Kohler’s rule. In addition, the analysis of the Hall effect points to electron–hole compensation in TaNiTe5, making Kohler’s rule fully justified. The results imply that classical magnetoresistance theories can be used to explain the magnetic field-induced properties in topological materials.
Author Contributions
Methodology, Y.H. and R.Y.; Investigation, W.S. and X.Y.; Writing—original draft preparation, Y.H.; Writing—review and editing, G.C.; Supervision, G.C.; Project administration, G.C. All authors have read and agreed to the published version of the manuscript.
Funding
This work was supported by Key Research Project of Zhejiang Lab (No. 2021PE0AC02) and Department of Science and Technology of Zhejiang Province (2023C01182). A portion of this work was performed at the Steady High Magnetic Field Facilities, High Magnetic Field Laboratory, CAS.
Data Availability Statement
Data available upon request from the authors.
Conflicts of Interest
The authors declare no conflict of interest.
References
- Li, P.; Qiu, P.; Xu, Q.; Luo, J.; Xiong, Y.; Xiao, J.; Aryal, N.; Li, Q.; Chen, L.; Shi, X. Colossal Nernst power factor in topological semimetal NbSb2. Nat. Commun. 2022, 13, 7612. [Google Scholar] [CrossRef]
- Burkov, A.A. Topological semimetals. Nat. Mater. 2016, 15, 1145–1148. [Google Scholar] [CrossRef]
- Bernevig, B.A.; Felser, C.; Beidenkopf, H. Progress and prospects in magnetic topological materials. Nature 2022, 603, 41–51. [Google Scholar] [CrossRef]
- Chen, L.; Setty, C.; Hu, H.; Vergniory, M.G.; Grefe, S.E.; Fischer, L.; Yan, X.; Eguchi, G.; Prokofiev, A.; Paschen, S.; et al. Topological semimetal driven by strong correlations and crystalline symmetry. Nat. Phys. 2022, 18, 1341–1346. [Google Scholar] [CrossRef]
- Noguchi, R.; Takahashi, T.; Kuroda, K.; Ochi, M.; Shirasawa, T.; Sakano, M.; Bareille, C.; Nakayama, M.; Watson, M.D.; Yaji, K.; et al. A weak topological insulator state in quasi-one-dimensional bismuth iodide. Nature 2019, 566, 518–522. [Google Scholar] [CrossRef]
- Lin, C.; Ochi, M.; Noguchi, R.; Kuroda, K.; Sakoda, M.; Nomura, A.; Tsubota, M.; Zhang, P.; Bareille, C.; Kurokawa, K.; et al. Visualization of the strain-induced topological phase transition in a quasi-one-dimensional superconductor TaSe3. Nat. Mater. 2021, 20, 1093–1099. [Google Scholar] [CrossRef]
- Jiao, W.-H.; Xiao, S.; Zhang, S.-J.; Yang, W.-Z.; Xie, X.-M.; Liu, Y.; Liu, J.-Y.; Song, S.-J.; Liu, W.; Ren, Z.; et al. Structure and transport properties of the quasi-one-dimensional telluride Ta1.2Os0.8Te4. Phys. Rev. B 2022, 105, 064201. [Google Scholar] [CrossRef]
- Stühler, R.; Reis, F.; Müller, T.; Helbig, T.; Schwemmer, T.; Thomale, R.; Schäfer, J.; Claessen, R. Tomonaga–Luttinger liquid in the edge channels of a quantum spin Hall insulator. Nat. Phys. 2020, 16, 47–51. [Google Scholar] [CrossRef]
- Wang, D.-Y.; Jiang, Q.; Kuroda, K.; Kawaguchi, K.; Harasawa, A.; Yaji, K.; Ernst, A.; Qian, H.-J.; Liu, W.-J.; Zha, H.-M.; et al. Coexistence of Strong and Weak Topological Orders in a Quasi-One-Dimensional Material. Phys. Rev. Lett. 2022, 129, 146401. [Google Scholar] [CrossRef]
- Schönemann, R.; Chiu, Y.-C.; Zheng, W.; Quito, V.L.; Sur, S.; McCandless, G.T.; Chan, J.Y.; Balicas, L. Bulk Fermi surface of the Weyl type-II semimetallic candidate NbIrTe4. Phys. Rev. B 2019, 99, 195128. [Google Scholar] [CrossRef]
- Khim, S.; Koepernik, K.; Efremov, D.V.; Klotz, J.; Förster, T.; Wosnitza, J.; Sturza, M.I.; Wurmehl, S.; Hess, C.; van den Brink, J.; et al. Magnetotransport and de Haas--van Alphen measurements in the type-II Weyl semimetal TaIrTe4. Phys. Rev. B 2016, 94, 165145. [Google Scholar] [CrossRef]
- Liu, J.; Wang, H.; Fang, C.; Fu, L.; Qian, X. van der Waals Stacking-Induced Topological Phase Transition in Layered Ternary Transition Metal Chalcogenides. Nano Lett. 2017, 17, 467–475. [Google Scholar] [CrossRef]
- Jiao, W.-H.; Xie, X.-M.; Liu, Y.; Xu, X.; Li, B.; Xu, C.-Q.; Liu, J.-Y.; Zhou, W.; Li, Y.-K.; Yang, H.-Y.; et al. Topological Dirac states in a layered telluride TaPdTe5 with quasi-one-dimensional PdTe2 chains. Phys. Rev. B 2020, 102, 075141. [Google Scholar] [CrossRef]
- Xiao, S.; Jiao, W.-H.; Lin, Y.; Jiang, Q.; Yang, X.; He, Y.; Jiang, Z.; Yang, Y.; Liu, Z.; Ye, M.; et al. Dirac nodal lines in the quasi-one-dimensional ternary telluride TaPtTe5. Phys. Rev. B 2022, 105, 195145. [Google Scholar] [CrossRef]
- Jiao, W.-H.; Xiao, S.; Liu, W.; Liu, Y.; Qiu, H.-Q.; Xia, K.; He, S.; Li, Y.; Cao, G.-H.; Xu, X. Anisotropic transport and multiple topology in quasi-one-dimensional ternary telluride NbNiTe5. Phys. Rev. B 2023, 107, 195124. [Google Scholar] [CrossRef]
- Koepernik, K.; Kasinathan, D.; Efremov, D.V.; Khim, S.; Borisenko, S.; Büchner, B.; van den Brink, J. TaIrTe4: A ternary type-II Weyl semimetal. Phys. Rev. B 2016, 93, 201101. [Google Scholar] [CrossRef]
- Zhou, W.; Li, B.; Xu, C.Q.; van Delft, M.R.; Chen, Y.G.; Fan, X.C.; Qian, B.; Hussey, N.E.; Xu, X. Nonsaturating Magnetoresistance and Nontrivial Band Topology of Type-II Weyl Semimetal NbIrTe4. Adv. Electron. Mater. 2019, 5, 1900250. [Google Scholar] [CrossRef]
- Belopolski, I.; Yu, P.; Sanchez, D.S.; Ishida, Y.; Chang, T.-R.; Zhang, S.S.; Xu, S.-Y.; Zheng, H.; Chang, G.; Bian, G.; et al. Signatures of a time-reversal symmetric Weyl semimetal with only four Weyl points. Nat. Commun. 2017, 8, 942. [Google Scholar] [CrossRef]
- Xing, Y.; Shao, Z.; Ge, J.; Luo, J.; Wang, J.; Zhu, Z.; Liu, J.; Wang, Y.; Zhao, Z.; Yan, J.; et al. Surface superconductivity in the type II Weyl semimetal TaIrTe4. Natl. Sci. Rev. 2019, 7, 579–587. [Google Scholar] [CrossRef]
- Mar, A.; Ibers, J.A. Synthesis and physical properties of the new layered ternary tellurides MIrTe4 (M = Nb, Ta), and the structure of NbIrTe4. J. Solid State Chem. 1992, 97, 366–376. [Google Scholar] [CrossRef]
- Mar, A.; Jobic, S.; Ibers, J.A. Metal-metal vs tellurium-tellurium bonding in WTe2 and its ternary variants TaIrTe4 and NbIrTe4. J. Am. Chem. Soc. 1992, 114, 8963–8971. [Google Scholar] [CrossRef]
- Jiao, W.-H.; Xiao, S.; Li, B.; Xu, C.; Xie, X.-M.; Qiu, H.-Q.; Xu, X.; Liu, Y.; Song, S.-J.; Zhou, W.; et al. Anisotropic transport and de Haas--van Alphen oscillations in quasi-one-dimensional TaPtTe5. Phys. Rev. B 2021, 103, 125150. [Google Scholar] [CrossRef]
- Xu, C.; Liu, Y.; Cai, P.; Li, B.; Jiao, W.; Li, Y.; Zhang, J.; Zhou, W.; Qian, B.; Jiang, X.; et al. Anisotropic Transport and Quantum Oscillations in the Quasi-One-Dimensional TaNiTe5: Evidence for the Nontrivial Band Topology. J. Phys. Chem. Lett. 2020, 11, 7782–7789. [Google Scholar] [CrossRef]
- Liimatta, E.W.; Ibers, J.A. Synthesis, structures, and conductivities of the new layered compounds Ta3Pd3Te14 and TaNiTe5. J. Solid State Chem. 1989, 78, 7–16. [Google Scholar] [CrossRef]
- Chen, Z.; Wu, M.; Zhang, Y.; Zhang, J.; Nie, Y.; Qin, Y.; Han, Y.; Xi, C.; Ma, S.; Kan, X.; et al. Three-dimensional topological semimetal phase in layered TaNiTe5 probed by quantum oscillations. Phys. Rev. B 2021, 103, 035105. [Google Scholar] [CrossRef]
- Ma, N.; Wang, D.-Y.; Huang, B.-R.; Li, K.-Y.; Song, J.-P.; Liu, J.-Z.; Mei, H.-P.; Ye, M.; Li, A. Quasi-one-dimensional characters in topological semimetal TaNiTe5. Chin. Phys. B 2023, 32, 056801. [Google Scholar] [CrossRef]
- Ye, R.; Gao, T.; Li, H.; Liang, X.; Cao, G. Anisotropic giant magnetoresistanceand de Hass–van Alphen oscillations in layered topological semimetal crystals. AIP Adv. 2022, 12, 045104. [Google Scholar] [CrossRef]
- Hao, Z.; Chen, W.; Wang, Y.; Li, J.; Ma, X.-M.; Hao, Y.-J.; Lu, R.; Shen, Z.; Jiang, Z.; Liu, W.; et al. Multiple Dirac nodal lines in an in-plane anisotropic semimetal TaNiTe5. Phys. Rev. B 2021, 104, 115158. [Google Scholar] [CrossRef]
- Li, Y.; Ran, Z.; Huang, C.; Wang, G.; Shen, P.; Huang, H.; Xu, C.; Liu, Y.; Jiao, W.; Jiang, W.; et al. Coexistence of Ferroelectriclike Polarization and Dirac-like Surface State in TaNiTe5. Phys. Rev. Lett. 2022, 128, 106802. [Google Scholar] [CrossRef]
- Ren, Z.; Taskin, A.A.; Sasaki, S.; Segawa, K.; Ando, Y. Large bulk resistivity and surface quantum oscillations in the topological insulator Bi2Te2Se. Phys. Rev. B 2010, 82, 241306. [Google Scholar] [CrossRef]
- Kim, D.J.; Xia, J.; Fisk, Z. Topological surface state in the Kondo insulator samarium hexaboride. Nat. Mater. 2014, 13, 466–470. [Google Scholar] [CrossRef] [PubMed]
- Tafti, F.F.; Gibson, Q.D.; Kushwaha, S.K.; Haldolaarachchige, N.; Cava, R.J. Resistivity plateau and extreme magnetoresistance in LaSb. Nat. Phys. 2016, 12, 272–277. [Google Scholar] [CrossRef]
- Wolgast, S.; Kurdak, Ç.; Sun, K.; Allen, J.W.; Kim, D.-J.; Fisk, Z. Low-temperature surface conduction in the Kondo insulator SmB6. Phys. Rev. B 2013, 88, 180405. [Google Scholar] [CrossRef]
- Kim, D.J.; Thomas, S.; Grant, T.; Botimer, J.; Fisk, Z.; Xia, J. Surface Hall Effect and Nonlocal Transport in SmB6: Evidence for Surface Conduction. Sci. Rep. 2013, 3, 3150. [Google Scholar] [CrossRef] [PubMed]
- Li, Y.; Li, L.; Wang, J.; Wang, T.; Xu, X.; Xi, C.; Cao, C.; Dai, J. Resistivity plateau and negative magnetoresistance in the topological semimetal TaSb2. Phys. Rev. B 2016, 94, 121115. [Google Scholar] [CrossRef]
- Saleheen, A.I.U.; Chapai, R.; Xing, L.; Nepal, R.; Gong, D.; Gui, X.; Xie, W.; Young, D.P.; Plummer, E.W.; Jin, R. Evidence for topological semimetallicity in a chain-compound TaSe3. npj Quantum Mater. 2020, 5, 53. [Google Scholar] [CrossRef]
- Pavlosiuk, O.; Swatek, P.; Wiśniewski, P. Giant magnetoresistance, three-dimensional Fermi surface and origin of resistivity plateau in YSb semimetal. Sci. Rep. 2016, 6, 38691. [Google Scholar] [CrossRef]
- An, L.; Zhu, X.; Gao, W.; Wu, M.; Ning, W.; Tian, M. Chiral anomaly and nontrivial Berry phase in the topological nodal-line semimetal SrAs3. Phys. Rev. B 2019, 99, 045143. [Google Scholar] [CrossRef]
- Laha, A.; Mardanya, S.; Singh, B.; Lin, H.; Bansil, A.; Agarwal, A.; Hossain, Z. Magnetotransport properties of the topological nodal-line semimetal CaCdSn. Phys. Rev. B 2020, 102, 035164. [Google Scholar] [CrossRef]
- Wang, Y.L.; Thoutam, L.R.; Xiao, Z.L.; Hu, J.; Das, S.; Mao, Z.Q.; Wei, J.; Divan, R.; Luican-Mayer, A.; Crabtree, G.W.; et al. Origin of the turn-on temperature behavior in WTe2. Phys. Rev. B 2015, 92, 180402. [Google Scholar] [CrossRef]
- Wang, Y.-Y.; Yu, Q.-H.; Guo, P.-J.; Liu, K.; Xia, T.-L. Resistivity plateau and extremely large magnetoresistance in NbAs2 and TaAs2. Phys. Rev. B 2016, 94, 041103. [Google Scholar] [CrossRef]
- Xing, L.; Chapai, R.; Nepal, R.; Jin, R. Topological behavior and Zeeman splitting in trigonal PtBi2-x single crystals. npj Quantum Mater. 2020, 5, 10. [Google Scholar] [CrossRef]
- Singha, R.; Pariari, A.K.; Satpati, B.; Mandal, P. Large nonsaturating magnetoresistance and signature of nondegenerate Dirac nodes in ZrSiS. Proc. Natl. Acad. Sci. USA 2017, 114, 2468–2473. [Google Scholar] [CrossRef] [PubMed]
- Kumar, P.; Patnaik, S. Origin of exceptional magneto-resistance in Weyl semimetal TaSb2. J. Phys. Commun. 2019, 3, 115007. [Google Scholar] [CrossRef]
- Ali, M.N.; Schoop, L.; Xiong, J.; Flynn, S.; Gibson, Q.; Hirschberger, M.; Ong, N.P.; Cava, R.J. Correlation of crystal quality and extreme magnetoresistance of WTe2. Europhys. Lett. 2015, 110, 67002. [Google Scholar] [CrossRef]
- Zhu, Z.; Lin, X.; Liu, J.; Fauqué, B.; Tao, Q.; Yang, C.; Shi, Y.; Behnia, K. Quantum Oscillations, Thermoelectric Coefficients, and the Fermi Surface of Semimetallic WTe2. Phys. Rev. Lett. 2015, 114, 176601. [Google Scholar] [CrossRef]
- Ali, M.N.; Xiong, J.; Flynn, S.; Tao, J.; Gibson, Q.D.; Schoop, L.M.; Liang, T.; Haldolaarachchige, N.; Hirschberger, M.; Ong, N.P.; et al. Large, non-saturating magnetoresistance in WTe2. Nature 2014, 514, 205–208. [Google Scholar] [CrossRef]
- Kopelevich, Y.; Pantoja, J.C.M.; da Silva, R.R.; Moehlecke, S. Universal magnetic-field-driven metal-insulator-metal transformations in graphite and bismuth. Phys. Rev. B 2006, 73, 165128. [Google Scholar] [CrossRef]
- Khveshchenko, D.V. Magnetic-Field-Induced Insulating Behavior in Highly Oriented Pyrolitic Graphite. Phys. Rev. Lett. 2001, 87, 206401. [Google Scholar] [CrossRef]
- Thoutam, L.R.; Wang, Y.L.; Xiao, Z.L.; Das, S.; Luican-Mayer, A.; Divan, R.; Crabtree, G.W.; Kwok, W.K. Temperature-Dependent Three-Dimensional Anisotropy of the Magnetoresistance in WTe2. Phys. Rev. Lett. 2015, 115, 046602. [Google Scholar] [CrossRef]
- Narayanan, A.; Watson, M.D.; Blake, S.F.; Bruyant, N.; Drigo, L.; Chen, Y.L.; Prabhakaran, D.; Yan, B.; Felser, C.; Kong, T.; et al. Linear Magnetoresistance Caused by Mobility Fluctuations in n-Doped Cd3As2. Phys. Rev. Lett. 2015, 114, 117201. [Google Scholar] [CrossRef] [PubMed]
- Pippard, A.B. Magnetoresistance in Metals; Cambridge University Press: Cambridge, UK, 1989; Volume 2. [Google Scholar]
- Feng, D.; Jin, G. Introduction To Condensed Matter Physics; World Scientific Publishing Company: London, UK, 2005; Volume 1. [Google Scholar]
- Fallah Tafti, F.; Gibson, Q.; Kushwaha, S.; Krizan, J.W.; Haldolaarachchige, N.; Cava, R.J. Temperature-field phase diagram of extreme magnetoresistance. Proc. Natl. Acad. Sci. USA 2016, 113, E3475–E3481. [Google Scholar] [CrossRef] [PubMed]
- Han, F.; Xu, J.; Botana, A.S.; Xiao, Z.L.; Wang, Y.L.; Yang, W.G.; Chung, D.Y.; Kanatzidis, M.G.; Norman, M.R.; Crabtree, G.W.; et al. Separation of electron and hole dynamics in the semimetal LaSb. Phys. Rev. B 2017, 96, 125112. [Google Scholar] [CrossRef]
- Pavlosiuk, O.; Swatek, P.; Kaczorowski, D.; Wiśniewski, P. Magnetoresistance in LuBi and YBi semimetals due to nearly perfect carrier compensation. Phys. Rev. B 2018, 97, 235132. [Google Scholar] [CrossRef]
Disclaimer/Publisher’s Note: The statements, opinions and data contained in all publications are solely those of the individual author(s) and contributor(s) and not of MDPI and/or the editor(s). MDPI and/or the editor(s) disclaim responsibility for any injury to people or property resulting from any ideas, methods, instructions or products referred to in the content. |
© 2023 by the authors. Licensee MDPI, Basel, Switzerland. This article is an open access article distributed under the terms and conditions of the Creative Commons Attribution (CC BY) license (https://creativecommons.org/licenses/by/4.0/).




