An Iterative Algorithm for the Generalized Reflexive Solution Group of a System of Quaternion Matrix Equations
Abstract
1. Introduction
2. Preliminaries
- whereThrough a simple verification, we derive that also satisfies the following two properties which is useful for some deductions in this paper:
- where
3. The Solution of Problem 1
| Algorithm 1: Iterative algorithm for Problem 1. |
1. Input 2. Calculate
3. If , or and stop; else 4. Calculate
5. Go to Step 3. |
4. The Solution of Problem 2
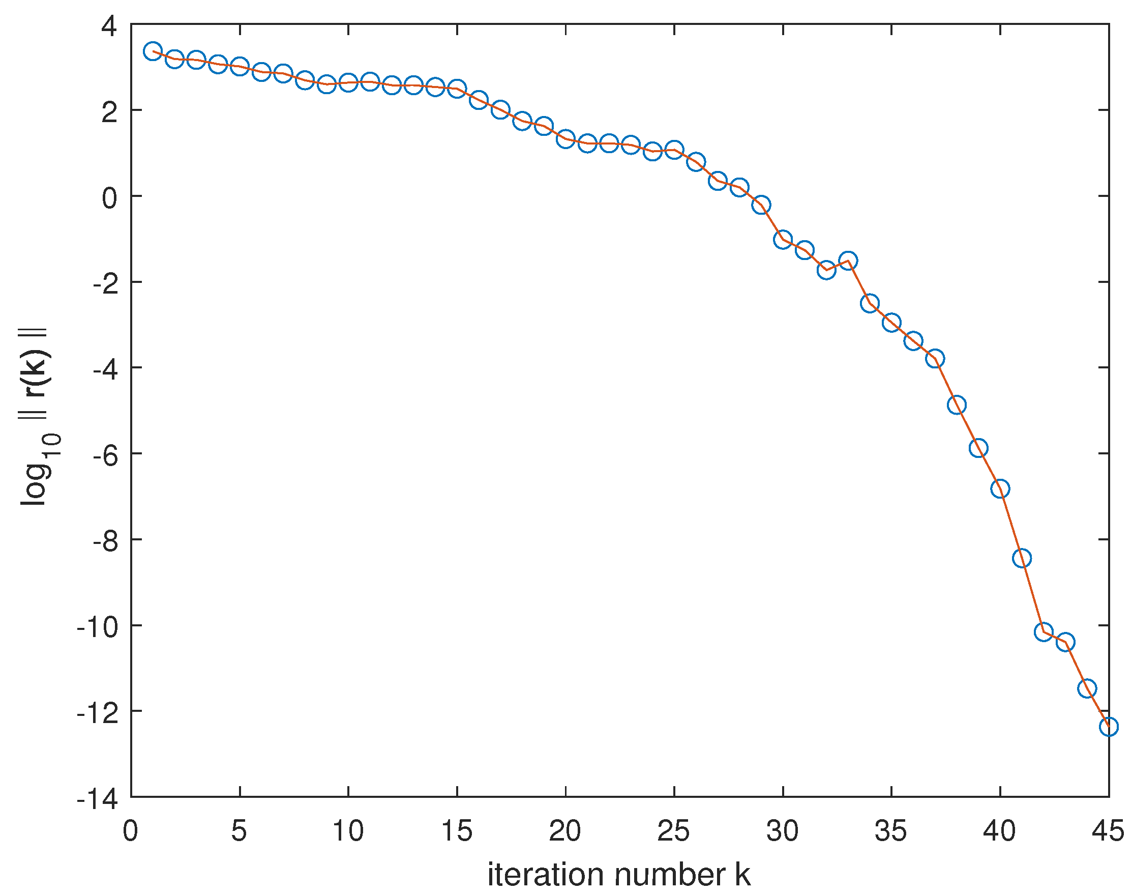
5. Examples
6. Conclusions
Author Contributions
Funding
Institutional Review Board Statement
Informed Consent Statement
Data Availability Statement
Conflicts of Interest
Appendix A
Appendix A.1. The Proof of Lemma 2
Appendix A.2. The Proof of Lemma 3
Appendix A.3. The Proof of Lemma 6
References
- Chen, H.C. Generalized reflexive matrices: Special properties and applications. SIAM J. Matrix Anal. Appl. 1998, 19, 140–153. [Google Scholar] [CrossRef]
- Chen, J.L.; Chen, X.H. Special Matrices; Qinghua University Press: Beijing, China, 2001. (In Chinese) [Google Scholar]
- Datta, L.; Morgera, S. On the reducibility of centrosymmetric matrices-applications in engineering problems. Circ. Syst. Signal Process. 1989, 8, 71–96. [Google Scholar] [CrossRef]
- He, Z.H.; Wang, Q.W.; Zhang, Y. A system of quaternary coupled Sylvester-type real quaternion matrix equations. Automatica 2018, 87, 25–31. [Google Scholar] [CrossRef]
- He, Z.H.; Wang, Q.W.; Zhang, Y. Constrained two-sided coupled Sylvester-type quaternion matrix equations. Automatica 2019, 101, 207–213. [Google Scholar]
- He, Z.H.; Wang, M.; Liu, X. On the general solutions to some systems of quaternion matrix equations. Rev. Real Acad. Cienc. Exactas Fis. Nat. Ser. A Mat. 2020, 114, 95. [Google Scholar] [CrossRef]
- He, Z.H.; Wang, M. Solvability conditions and general solutions to some quaternion matrix equations. Math. Meth. Appl. Sci. 2021, 44, 14274–14291. [Google Scholar] [CrossRef]
- He, Z.H.; Qin, W.L.; Wang, X.X. Some applications of a decomposition for five quaternion matrices in control system and color image processing. Comput. Appl. Math. 2021, 40, 205. [Google Scholar] [CrossRef]
- Wang, Q.W.; Wang, X. A system of coupled two-sided Sylvester-type tensor equations over the quaternion algebra. Taiwan J. Math. 2020, 24, 1399–1416. [Google Scholar] [CrossRef]
- Wang, Q.W.; Wang, X.; Zhang, Y.S. A constraint system of coupled two-sided Sylvester-like quaternion tensor equations. Comput. Appl. Math. 2020, 39, 317. [Google Scholar] [CrossRef]
- Song, G.J.; Wang, Q.W.; Yu, S.W. Cramer’s rule for a system of quaternion matrix equations with applications. Appl. Math. Comput. 2018, 336, 490–499. [Google Scholar] [CrossRef]
- Song, G.J.; Yu, S.W. Cramer’s rule for the general solution to a restricted system of quaternion matrix equations. Adv. Appl. Clifford Algebr. 2019, 29, 91. [Google Scholar] [CrossRef]
- Kyrchei, I. Cramer’s rules of η-(skew-)Hermitian solutions to the quaternion Sylvester-type matrix equations. Adv. Appl. Clifford Algebr. 2019, 29, 56. [Google Scholar] [CrossRef]
- Kyrchei, I. Determinantal representations of general and (skew-)Hermitian solutions to the generalized Sylvester-type quaternion matrix equation. Abstr. Appl. Anal. 2019, 14, 5926832. [Google Scholar] [CrossRef]
- Kyrchei, I. Determinantal representations of solutions to systems of two-sided quaternion matrix equations. Linear Multilinear Algebra 2021, 69, 648–672. [Google Scholar] [CrossRef]
- Rehman, A.; Kyrchei, I.; Ali, I.; Akram, M.; Shakoor, A. Explicit formulas and determinantal representation for η-skew-Hermitian solution to a system of quaternion matrix equations. Filomat 2020, 34, 2601–2627. [Google Scholar] [CrossRef]
- Rehman, A.; Kyrchei, I.; Ali, I.; Akram, M.; Shakoor, A. The general solution of quaternion matrix equation having η-skew-Hermicity and its Cramer’s rule. Math. Probl. Eng. 2019, 2019, 7939238. [Google Scholar] [CrossRef]
- Kyrchei, I.I.; Mosić, D.; Stanimirović, P.S. MPCEP-*CEPMP-solutions of some restricted quaternion matrix equations. Adv. Appl. Clifford Algebr. 2022, 32, 16. [Google Scholar] [CrossRef]
- Rehman, A.; Khan, I.A.; Anjum, R.; Hussain, I. Solvability conditions and general solution of a system of matrix equations involving η-skew-Hermitian quaternion matrices. Symmetry 2021, 13, 1825. [Google Scholar] [CrossRef]
- Zhang, F.X.; Wei, M.S.; Li, Y.; Zhao, J.L. An efficient real representation method for least squares problem of the quaternion constrained matrix equation AXB + CYD = E. Int. J. Comput. Math. 2021, 98, 1408–1419. [Google Scholar] [CrossRef]
- Li, M.Z.; Yuan, S.F.; Jiang, H. Direct methods on η-Hermitian solutions of the split quaternion matrix equation (AXB, CXD) = (E, F). Math. Meth. Appl. Sci. 2021, 2021, 1–20. [Google Scholar] [CrossRef]
- Tian, Y.; Liu, X.; Yuan, S.F. On Hermitian solutions of the generalized quaternion matrix equation AXB + CXD = E. Math. Probl. Eng. 2021, 2021, 1497335. [Google Scholar] [CrossRef]
- Zhang, F.X.; Wei, M.S.; Li, Y.; Zhao, J.L. An efficient method for least-squares problem of the quaternion matrix equation . Linear Multilinear Algebra 2020, 2020, 1806197. [Google Scholar] [CrossRef]
- Song, C.Q.; Chen, G.L. Solutions to matrix equations X − AXB = CY + R and X − = CY + R. J. Comput. Appl. Math. 2018, 343, 488–500. [Google Scholar] [CrossRef]
- Song, C.Q.; Feng, J.E. On solutions to the matrix equations XB − AX = CY and XB − = CY. J. Frankl. Inst. 2016, 353, 1075–1088. [Google Scholar] [CrossRef]
- Chang, H.X.; Duan, X.F.; Wang, Q.W. The Hermitian R-conjugate generalized procrustes problem. Abstr. Appl. Anal. 2013, 2013, 423605. [Google Scholar] [CrossRef]
- Dehghan, M.; Shirilord, A. A new approximation algorithm for solving generalized Lyapunov matrix equations. J. Comput. Appl. Math. 2022, 404, 113898. [Google Scholar] [CrossRef]
- Hajarian, M.; Chronopoulos, A.T. Least-squares partially bisymmetric solutions of coupled Sylvester matrix equations accompanied by a prescribed submatrix constraint. Math. Methods Appl. Sci. 2021, 44, 4297–4315. [Google Scholar] [CrossRef]
- Wang, M.H.; Zhang, J.T. On the pure imaginary quaternionic least squares solutions of matrix equation. J. Appl. Math. Inform. 2016, 34, 95–106. [Google Scholar] [CrossRef]
- Zhang, X.F.; Wang, Q.W. Developing iterative algorithms to solve Sylvester tensor equations. Appl. Math. Comput. 2021, 409, 126403. [Google Scholar] [CrossRef]
- Yan, T.X.; Ma, C.F. An iterative algorithm for generalized Hamiltonian solution of a class of generalized coupled Sylvester-conjugate matrix equations. Appl. Math. Comput. 2021, 411, 126491. [Google Scholar] [CrossRef]
- Song, C.Q.; Wang, Q.W. Modified CGLS iterative algorithm for solving the generalized Sylvester-conjugate matrix equation. Filomat 2020, 34, 1329–1346. [Google Scholar] [CrossRef]
- Wu, A.G.; Zhang, Y.; Sun, H.J. Parametric Smith iterative algorithms for discrete Lyapunov matrix equations. J. Ind. Manag. Optim. 2020, 16, 3047–3063. [Google Scholar] [CrossRef]
- Ling, S.T.; Jia, Z.G. Matrix iterative algorithms for least-squares problem in quaternionic quantum theory. Int. J. Comput. Math. 2013, 90, 727–745. [Google Scholar] [CrossRef]
- Ling, S.T.; Jia, Z.G.; Jiang, T.S. LSQR algorithm with structured preconditioner for the least squares problem in quaternionic quantum theory. Comput. Math. Appl. 2017, 73, 2208–2220. [Google Scholar] [CrossRef]
- Ling, S.T.; Jia, Z.G.; Lu, X.; Yang, B. Matrix LSQR algorithm for structured solutions to quaternionic least squares problem. Comput. Math. Appl. 2019, 77, 830–845. [Google Scholar] [CrossRef]
- Beik, F.P.A.; Ahmadi-Asl, S. An iterative algorithm for η-(Anti)-Hermitian least-squares solutions of quaternion matrix equations. Electron. J. Linear Algebra 2015, 30, 372–401. [Google Scholar] [CrossRef]
- Ahmadi-Asl, S.; Beik, F.P.A. An efficient iterative algorithm for quaternionic least-squares problems over the generalized η-(anti-)bi-Hermitian matrices. Linear Multilinear Algebra 2017, 65, 1743–1769. [Google Scholar] [CrossRef]
- Shojaei-Fard, A.; Amroudi, A.N. An efficient method for solving a quaternionic least-squares problem. Int. J. Appl. Comput. Math. 2018, 4, 48. [Google Scholar] [CrossRef]
- Wang, Q.W.; Jiang, J. Extreme ranks of (skew-)Hermitian solutions to a quaternion matrix equation. Electron. J. Linear Algebra 2010, 20, 552–573. [Google Scholar] [CrossRef][Green Version]
- Peng, Y.X.; Hu, X.Y.; Zhang, L. An iteration method for the symmetric solutions and the optimal approximation solution of the matrix equation AXB = C. Appl. Math. Comput. 2005, 160, 763–777. [Google Scholar] [CrossRef]



Publisher’s Note: MDPI stays neutral with regard to jurisdictional claims in published maps and institutional affiliations. |
© 2022 by the authors. Licensee MDPI, Basel, Switzerland. This article is an open access article distributed under the terms and conditions of the Creative Commons Attribution (CC BY) license (https://creativecommons.org/licenses/by/4.0/).
Share and Cite
Jiang, J.; Li, N. An Iterative Algorithm for the Generalized Reflexive Solution Group of a System of Quaternion Matrix Equations. Symmetry 2022, 14, 776. https://doi.org/10.3390/sym14040776
Jiang J, Li N. An Iterative Algorithm for the Generalized Reflexive Solution Group of a System of Quaternion Matrix Equations. Symmetry. 2022; 14(4):776. https://doi.org/10.3390/sym14040776
Chicago/Turabian StyleJiang, Jing, and Ning Li. 2022. "An Iterative Algorithm for the Generalized Reflexive Solution Group of a System of Quaternion Matrix Equations" Symmetry 14, no. 4: 776. https://doi.org/10.3390/sym14040776
APA StyleJiang, J., & Li, N. (2022). An Iterative Algorithm for the Generalized Reflexive Solution Group of a System of Quaternion Matrix Equations. Symmetry, 14(4), 776. https://doi.org/10.3390/sym14040776

