Total and Partial Shear Viscosity in Heavy-Ion Collisions at Energies of BES, FAIR and NICA
Abstract
1. Introduction
2. Calculation of Shear Viscosity within Green–Kubo Formalism
3. The Three-Component Method
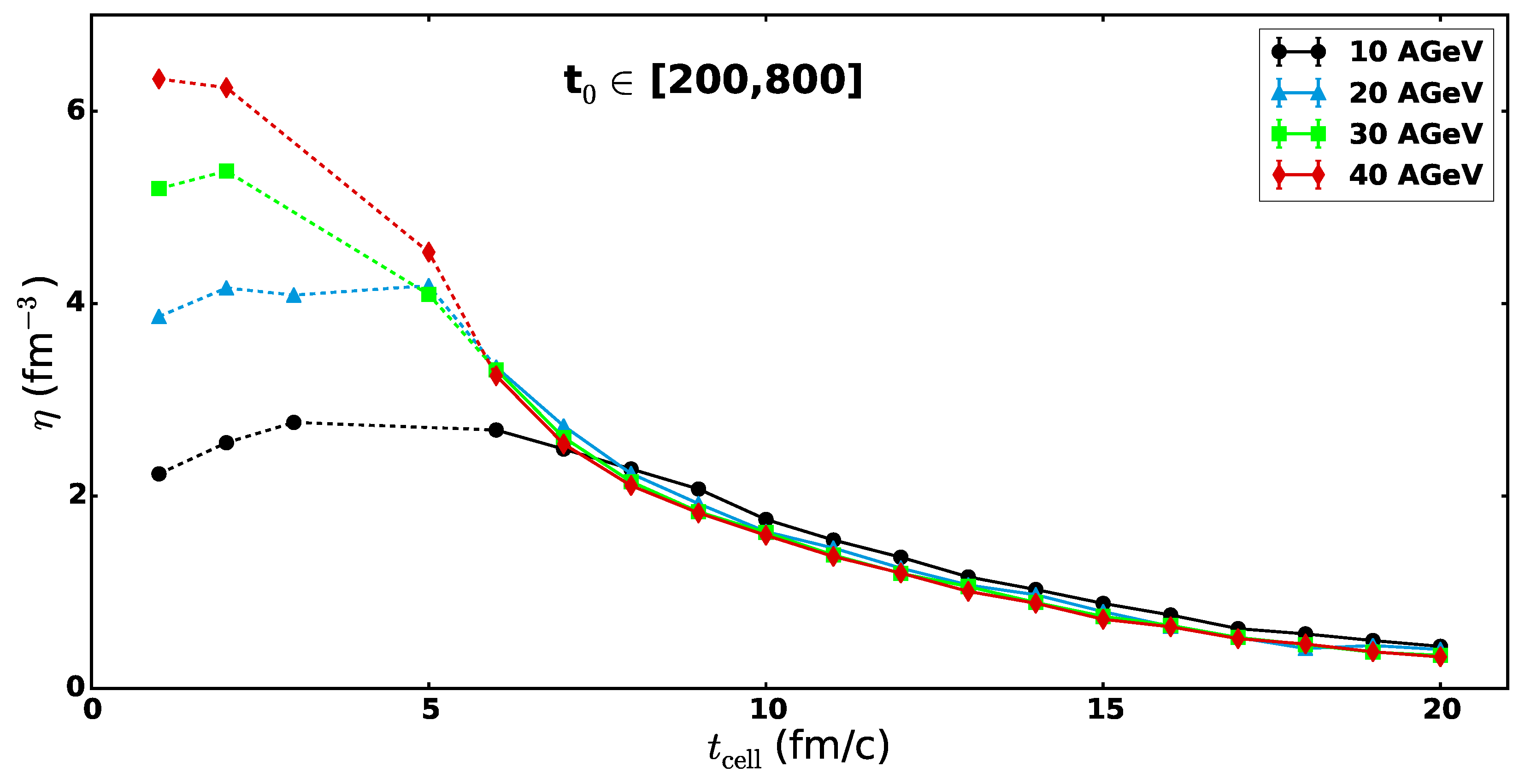
4. Results: Total and Partial Shear Viscosity of Hadrons
5. Discussion and Conclusions
Author Contributions
Funding
Institutional Review Board Statement
Informed Consent Statement
Data Availability Statement
Acknowledgments
Conflicts of Interest
References
- Sarkar, S.; Satz, H.; Sinha, B. The Physics of the Quark-Gluon Plasma: Introductory Lectures; Lecture Notes in Physics; Springer: Berlin/Heidelberg, Germany, 2010; Volume 785, pp. 1–369. [Google Scholar] [CrossRef]
- Proceedings of Quark Matter 2019; Liu, F., Wang, E., Wang, X.-N., Xu, N., Zhang, B.-W., Eds.; Nuclear Physics A; Elsevier: Amsterdam, The Netherlands, 2021; Volume 1005. [Google Scholar]
- Landau, L.D. On the multiparticle production in high-energy collisions. Izv. Akad. Nauk. Ser. Fiz. 1953, 17, 51–64. [Google Scholar]
- Arsene, I.; Bearden, I.; Beavis, D.; Besliu, C.; Budick, B.; Bøggild, H.; Chasman, C.; Christensen, C.; Christiansen, P.; Cibor, J.; et al. Quark gluon plasma and color glass condensate at RHIC? The Perspective from the BRAHMS experiment. Nucl. Phys. A 2005, 757, 1–27. [Google Scholar] [CrossRef]
- Back, B.; Baker, M.; Ballintijn, M.; Barton, D.; Becker, B.; Betts, R.; Bickley, A.; Bindel, R.; Budzanowski, A.; Busza, W.; et al. The PHOBOS perspective on discoveries at RHIC. Nucl. Phys. A 2005, 757, 28–101. [Google Scholar] [CrossRef]
- Adams, J.; Aggarwal, M.; Ahammed, Z.; Amonett, J.; Anderson, B.; Arkhipkin, D.; Averichev, G.; Badyal, S.; Bai, Y.; Balewski, J.; et al. Experimental and theoretical challenges in the search for the quark gluon plasma: The STAR Collaboration’s critical assessment of the evidence from RHIC collisions. Nucl. Phys. A 2005, 757, 102–183. [Google Scholar] [CrossRef]
- Adcox, K.; Adler, S.; Afanasiev, S.; Aidala, C.; Ajitanand, N.; Akiba, Y.; Al-Jamel, A.; Alexander, J.; Amirikas, R.; Aoki, K.; et al. Formation of dense partonic matter in relativistic nucleus-nucleus collisions at RHIC: Experimental evaluation by the PHENIX collaboration. Nucl. Phys. A 2005, 757, 184–283. [Google Scholar] [CrossRef]
- Kovtun, P.; Son, D.T.; Starinets, A.O. Viscosity in strongly interacting quantum field theories from black hole physics. Phys. Rev. Lett. 2005, 94, 111601. [Google Scholar] [CrossRef] [PubMed]
- Ollitrault, J.-Y. Anisotropy as a signature of transverse collective flow. Phys. Rev. D 1992, 46, 229–245. [Google Scholar] [CrossRef] [PubMed]
- Poskanzer, A.M.; Voloshin, S.A. Methods for analyzing anisotropic flow in relativistic nuclear collisions. Phys. Rev. C 1998, 58, 1671–1678. [Google Scholar] [CrossRef]
- Csernai, L.P.; Kapusta, J.I.; McLerran, L.D. On the Strongly-Interacting Low-Viscosity Matter Created in Relativistic Nuclear Collisions. Phys. Rev. Lett. 2006, 97, 152303. [Google Scholar] [CrossRef]
- Romatschke, P.; Romatschke, U. Viscosity Information from Relativistic Nuclear Collisions: How Perfect is the Fluid Observed at RHIC? Phys. Rev. Lett. 2007, 99, 172301. [Google Scholar] [CrossRef]
- Dusling, K.; Teaney, D. Simulating elliptic flow with viscous hydrodynamics. Phys. Rev. C 2008, 77, 034905. [Google Scholar] [CrossRef]
- Schenke, B.; Tribedy, P.; Venugopalan, R. Fluctuating Glasma initial conditions and flow in heavy ion collisions. Phys. Rev. Lett. 2012, 108, 252301. [Google Scholar] [CrossRef] [PubMed]
- Schenke, B.; Tribedy, P.; Venugopalan, R. Event-by-event gluon multiplicity, energy density, and eccentricities in ultrarelativistic heavy-ion collisions. Phys. Rev. C 2012, 86, 034908. [Google Scholar] [CrossRef]
- Karpenko, I.A.; Huovinen, P.; Petersen, H.; Bleicher, M. Estimation of the shear viscosity at finite net-baryon density from A+A collision data at = 7.7 − 200 GeV. Phys. Rev. C 2015, 91, 064901. [Google Scholar] [CrossRef]
- Ivanov, Y.B.; Soldatov, A.A. Entropy Production and Effective Viscosity in Heavy-Ion Collisions. Eur. Phys. J. A 2016, 52, 367. [Google Scholar] [CrossRef][Green Version]
- Ivanov, Y.B.; Soldatov, A.A. Estimation of the shear viscosity from 3FD simulations of Au + Au collisions at = 3.3 − 39 GeV. Eur. Phys. J. A 2016, 52, 117. [Google Scholar] [CrossRef][Green Version]
- Song, H.; Bass, S.A.; Heinz, U. Viscous QCD matter in a hybrid hydrodynamic+Boltzmann approach. Phys. Rev. C 2011, 83, 024912. [Google Scholar] [CrossRef]
- Niemi, H.; Denicol, G.S.; Huovinen, P.; Molnar, E.; Rischke, D.H. Influence of a temperature-dependent shear viscosity on the azimuthal asymmetries of transverse momentum spectra in ultrarelativistic heavy-ion collisions. Phys. Rev. C 2012, 86, 014909. [Google Scholar] [CrossRef]
- Chakraborty, P.; Kapusta, J.I. Quasi-Particle Theory of Shear and Bulk Viscosities of Hadronic Matter. Phys. Rev. C 2011, 83, 014906. [Google Scholar] [CrossRef]
- Noronha-Hostler, J.; Noronha, J.; Greiner, C. Hadron Mass Spectrum and the Shear Viscosity to Entropy Density Ratio of Hot Hadronic Matter. Phys. Rev. C 2012, 86, 024913. [Google Scholar] [CrossRef]
- Meyer, H.B. A Calculation of the shear viscosity in SU(3) gluodynamics. Phys. Rev. D 2007, 76, 101701. [Google Scholar] [CrossRef]
- Astrakhantsev, N.; Braguta, V.; Kotov, A. Temperature dependence of shear viscosity of SU(3)–gluodynamics within lattice simulation. J. High Energy Phys. 2017, 4, 101. [Google Scholar] [CrossRef]
- Muronga, A. Shear viscosity coefficient from microscopic models. Phys. Rev. C 2004, 69, 044901. [Google Scholar] [CrossRef]
- Demir, N.; Bass, S.A. Shear-Viscosity to Entropy-Density Ratio of a Relativistic Hadron Gas. Phys. Rev. Lett. 2009, 102, 172302. [Google Scholar] [CrossRef] [PubMed]
- Motornenko, A.; Bravina, L.; Gorenstein, M.I.; Mager, A.G.; Zabrodin, E. Nucleon matter equation of state, particle number fluctuations, and shear viscosity within UrQMD box calculations. J. Phys. G 2018, 45, 035101. [Google Scholar] [CrossRef]
- Teslyk, M.; Bravina, L.; Panova, O.; Vitiuk, O.; Zabrodin, E. Shear viscosity in microscopic calculations of A+A collisions at energies available at the Nuclotron-based Ion Collider fAcility (NICA). Phys. Rev. C 2020, 101, 014904. [Google Scholar] [CrossRef]
- Zabrodin, E.; Teslyk, M.; Vitiuk, O.; Bravina, L. Calculation of shear viscosity in Au+Au collisions at NICA energies. Phys. Scr. 2020, 85, 074009. [Google Scholar] [CrossRef]
- Ozvenchuk, V.; Linnyk, O.; Gorenstein, M.I.; Bratkovskaya, E.L.; Cassing, W. Shear and bulk viscosities of strongly interacting “infinite” parton-hadron matter within the parton-hadron-string dynamics transport approach. Phys. Rev. C 2013, 87, 064903. [Google Scholar] [CrossRef]
- Rose, J.B.; Torres-Rincon, J.M.; Schäfer, A.; Oliinychenko, D.R.; Petersen, H. Shear viscosity of a hadron gas and influence of resonance lifetimes on relaxation time. Phys. Rev. C 2018, 97, 055204. [Google Scholar] [CrossRef]
- Xu, Z.; Greiner, C.; Stoecker, H. PQCD calculations of elliptic flow and shear viscosity at RHIC. Phys. Rev. Lett. 2008, 100, 172301. [Google Scholar] [CrossRef]
- Plumari, S.; Puglisi, A.; Scardina, F.; Greco, V. Shear viscosity of a strongly interacting system: Green-Kubo correlator versus Chapman-Enskog and relaxation-time approximations. Phys. Rev. C 2012, 86, 054902. [Google Scholar] [CrossRef]
- Wesp, C.; El, A.; Reining, F.; Xu, Z.; Bouras, I.; Greiner, C. Calculation of shear viscosity using Green-Kubo relations within a parton cascade. Phys. Rev. C 2011, 84, 054911. [Google Scholar] [CrossRef]
- Rais, J.; Gallmeister, K.; Greiner, C. The shear viscosity to entropy density ratio in Hagedorn states. Phys. Rev. D 2020, 102, 036009. [Google Scholar] [CrossRef]
- Bass, S.A. Microscopic models for ultrarelativistic heavy ion collisions. Prog. Part. Nucl. Phys. 1998, 41, 255–369. [Google Scholar] [CrossRef]
- Bleicher, M.; Zabrodin, E.; Spieles, C.; Bass, S.; Ernst, C.; Soff, S.; Bravina, L.; Belkacem, M.; Weber, H.; Stöcker, H.; et al. Relativistic hadron hadron collisions in the ultrarelativistic quantum molecular dynamics model. J. Phys. G 1999, 25, 1859–1896. [Google Scholar] [CrossRef]
- Zabrodin, E.; Bravina, L.; Teslyk, M.; Vitiuk, O. Early thermalization and shear viscosity to entropy ratio in heavy-ion collisions at energies of BES, FAIR and NICA. Nucl. Phys. A 2021, 1005, 121861. [Google Scholar] [CrossRef]
- De Groot, S.R.; van Leeuwen, W.A.; Weert, C. Relativistic Kinetic Theory, Principles and Applications; North-Holland Publishing Company: Amsterdam, The Netherlands, 1980. [Google Scholar]
- Green, M.S. Markoff Random Processes and the Statistical Mechanics of Time-Dependent Phenomena. II. Irreversible Processes in Fluids. J. Chem. Phys. 1954, 22, 398. [Google Scholar] [CrossRef]
- Kubo, R. Statistical-Mechanical Theory of Irreversible Processes. I. General Theory and Simple Applications to Magnetic and Conduction Problems. J. Phys. Soc. Jpn. 1957, 12, 570–586. [Google Scholar] [CrossRef]
- Tanabashi, M.; Hagiwara, K.; Hikasa, K.; Nakamura, K.; Sumino, Y.; Takahashi, F.; Tanaka, J.; Agashe, K.; Aielli, G.; Amsler, C.; et al. Review of Particle Physics. Phys. Rev. D 2018, 98, 030001. [Google Scholar] [CrossRef]
- Mitrovski, M.; Schuster, T.; Gräf, G.; Petersen, H.; Bleicher, M. Charged particle (pseudo-)rapidity distributions in p + /p + p and Pb+Pb/Au+Au collisions from UrQMD calculations at energies available at the CERN Super Proton Synchrotron to the Large Hadron Collider. Phys. Rev. C 2009, 79, 044901. [Google Scholar] [CrossRef]
- Bravina, L.; Gorenstein, M.; Belkacem, M.; Bass, S.; Bleicher, M.; Brandstetter, M.; Hofmann, M.; Soff, S.; Spieles, C.; Weber, H.; et al. Local thermodynamical equilibrium and the equation of state of hot, dense matter created in Au+Au collisions at AGS. Phys. Lett. B 1998, 434, 379–387. [Google Scholar] [CrossRef]
- Bravina, L.; Gorenstein, M.; Belkacem, M.; Bass, S.; Bleicher, M.; Brandstetter, M.; Hofmann, M.; Soff, S.; Spieles, C.; Weber, H.; et al. Local thermal and chemical equilibration and the equation of state in relativistic heavy ion collisions. J. Phys. G 1999, 25, 351–362. [Google Scholar] [CrossRef][Green Version]
- Bravina, L.V.; Brandstetter, M.; Gorenstein, M.I.; Zabrodin, E.E.; Belkacem, M.; Bleicher, M.; Bass, S.; Ernst, C.; Hofmann, M.; Soff, S.; et al. Local equilibrium in heavy ion collisions: Microscopic model versus statistical model analysis. Phys. Rev. C 1999, 60, 024904. [Google Scholar] [CrossRef]
- Bravina, L.V.; Zabrodin, E.E.; Gorenstein, M.I.; Bass, S.; Belkacem, M.; Bleicher, M.; Brandstetter, M.; Ernst, C.; Hofmann, M.; Neise, L.; et al. Chemical freezeout parameters at RHIC from microscopic model calculations. Nucl. Phys. A 2002, 698, 383–386. [Google Scholar] [CrossRef][Green Version]
- Bravina, L.V.; Zabrodin, E.E.; Bass, S.; Faessler, A.; Fuchs, C.; Gorenstein, M.I.; Greiner, W.; Soff, S.; Stöcker, H.; Weber, H. Equation of state of resonance rich matter in the central cell in heavy ion collisions at S1/2 = 200 AGeV. Phys. Rev. C 2001, 63, 064902. [Google Scholar] [CrossRef]
- Bravina, L.V.; Zabrodin, E.E.; Bass, S.A.; Bleicher, M.; Brandstetter, M.; Faessler, A.; Fuchs, C.; Greiner, W.; Soff, S.; Stöcker, H. Microscopic models and effective equation of state in nuclear collisions in the vicinity of Elab = 30 AGeV at the GSI Facility for Antiproton and Ion Research (FAIR) and beyond. Phys. Rev. C 2008, 78, 014907. [Google Scholar] [CrossRef]
- Oliinychenko, D.; Petersen, H. Deviations of the Energy-Momentum Tensor from Equilibrium in the Initial State for Hydrodynamics from Transport Approaches. Phys. Rev. C 2016, 93, 034905. [Google Scholar] [CrossRef]
- De, S.; De, S.; Chattopadhyay, S. Thermalization of dense hadronic matter in Au + Au collisions at energies available at the Facility for Antiproton and Ion Research. Phys. Rev. C 2016, 94, 054901. [Google Scholar] [CrossRef]
- Belkacem, M.; Brandstetter, M.; Bass, S.A.; Bleicher, M.; Bravina, L.; Gorenstein, M.I.; Konopka, J.; Neise, L.; Spieles, C.; Soff, S.; et al. Equation of state, spectra and composition of hot and dense infinite hadronic matter in a microscopic transport model. Phys. Rev. C 1998, 58, 1727–1733. [Google Scholar] [CrossRef]
- Bravina, L.V.; Zabrodin, E.E.; Bass, S.A.; Bleicher, M.; Brandstetter, M.; Soff, S.; Stöcker, H.; Greiner, W. Local equilibrium in heavy ion collisions: Microscopic analysis of a central cell versus infinite matter. Phys. Rev. C 2000, 62, 064906. [Google Scholar] [CrossRef]
- Bratkovskaya, E.L.; Cassing, W.; Greiner, C.; Effenberger, M.; Mosel, U.; Sibirtsev, A. Aspects of thermal and chemical equilibration of hadronic matter. Nucl. Phys. A 2000, 675, 661–691. [Google Scholar] [CrossRef][Green Version]











Publisher’s Note: MDPI stays neutral with regard to jurisdictional claims in published maps and institutional affiliations. |
© 2022 by the authors. Licensee MDPI, Basel, Switzerland. This article is an open access article distributed under the terms and conditions of the Creative Commons Attribution (CC BY) license (https://creativecommons.org/licenses/by/4.0/).
Share and Cite
Teslyk, M.; Bravina, L.; Zabrodin, E. Total and Partial Shear Viscosity in Heavy-Ion Collisions at Energies of BES, FAIR and NICA. Symmetry 2022, 14, 634. https://doi.org/10.3390/sym14040634
Teslyk M, Bravina L, Zabrodin E. Total and Partial Shear Viscosity in Heavy-Ion Collisions at Energies of BES, FAIR and NICA. Symmetry. 2022; 14(4):634. https://doi.org/10.3390/sym14040634
Chicago/Turabian StyleTeslyk, Maksym, Larisa Bravina, and Evgeny Zabrodin. 2022. "Total and Partial Shear Viscosity in Heavy-Ion Collisions at Energies of BES, FAIR and NICA" Symmetry 14, no. 4: 634. https://doi.org/10.3390/sym14040634
APA StyleTeslyk, M., Bravina, L., & Zabrodin, E. (2022). Total and Partial Shear Viscosity in Heavy-Ion Collisions at Energies of BES, FAIR and NICA. Symmetry, 14(4), 634. https://doi.org/10.3390/sym14040634

