Abstract
Six nonlinear, optical chromophores, Z1–Z6, based on the bis(N,N-diethyl)aniline-derived donor and thiolated isophorone bridge, were designed and synthesized. The bis(N,N-diethyl)aniline-derived donor was applied in a chromophore with thiolated isophorone as an electron bridge for the first time. In particular, the bridge parts of chromophores Z2–Z6 were modified with different functional groups, including tert-butyltrimethylsilane and tert-butyl(methyl)diphenylsilane derivative: 1,3-bis(trifluoromethyl)benzene and alkylaniline cyanoacetate, respectively. Density functional theory calculations suggested this series of chromophores show much greater hyperpolarizability than traditional, nonlinear, optical chromophores due to strong electron donor ability. These chromophores, Z1–Z6, showed very high poling efficiencies due to the large steric hindrance and hyperpolarizability of the chromophores. A large poling efficiency (2.04 ± 0.08 nm2/V2) and r33 value (193 pm/V) were achieved for polymeric thin films doped with 25 wt% chromophore Z6 at 1310 nm.
1. Introduction
In the new generation of information technology innovation and promotion, broadband networks are sweeping the world; the momentum of high-speed growth cannot be ignored and information processing, transmission and storage-related technology innovation is gaining more attention [1]. As new application layers are emerging, the demand for improving basic network facilities, increasing the speed and increasing the processing capacity of large data volume is constantly rising, and the bandwidth of optical communication networks is facing great pressure. The electro-optic modulator is the core component in optical communication networks and plays an important role in the construction of optical communication networks [2]. Compared with inorganic materials, organic, nonlinear, optical materials have become the core materials for the fabrication of new electro-optical devices due to their large, electro-optical coefficient, fast response rate and easy processing and integration and have important applications in high-speed communication, terahertz radiation and detection, biomedicine and other fields [3,4,5,6]. The results show that organic, second-order, electro-optic chromophores show broad application prospects [7,8].
The second-order, nonlinear chromophore is composed of three parts: donor (D), bridge (π) and acceptor (A), known as the D-π-A structure [9]. All three of these components can have a very large effect on the performance of the molecule [10,11]. Aniline derivatives (triarylamino, alkylaniline, etc.) are the most suitable donor groups [12,13]. Electron bridges are concentrated on polyene or heterocycle (thiophene and CLD bridges, etc.) [13,14,15]. Common receptors include TCF, CF3-TCF and TCP [16,17,18]. The optimal combination of electron donor, electron acceptor and electron bridge can obtain higher first-order hyperpolarizability and a higher electro-optical coefficient [19].
As well as the large, first-order hyperpolarizability value, steric groups need to be introduced into the electron donor and/or electron bridge and/or electron acceptor of the chromophore to increase the polarization efficiency and electro-optic coefficient of the chromophore [20]. The electrostatic interaction between chromophore molecules attenuates the poling orientation of the chromophore molecules’ action of electric field [21,22]. The introduction of isolation groups increases the distance between molecules, reduces the electrostatic interaction between molecules and improves the poling efficiency of chromophores [23,24,25].
Based on the above, many excellent chromophores were developed; among these, the CLD-type chromophores using isophorone derivatives as electron bridges exhibited very excellent properties [26]. Many steric and functional groups were introduced into the isophorone bridge of the chromophores [27]. However, the donor of the CLD chromophore is rarely changed, and it is, basically, a triarylamino and alkylaniline derivative. A bis(N,N-diethyl)aniline-derived donor group acts as a double donor to enhance electron-donating ability and hyperpolarizability [28]. Moreover, the second donor can increase the donor’s electron-donating ability and act as a steric group to weaken the electrostatic interaction between molecules. Many excellent chromophores based on double donors were designed with a large r33 value [29,30,31,32]. Despite the success of CLD-type chromophores and bis(N,N-diethyl)aniline-derived donors, chromophores with a combination of the bis(N,N-diethyl)aniline-derived donors and thiolated isophorone as the electron bridge are rarely reported [33]. So, it is very promising to develop chromophores using this combination, and the combination of strong double donors and excellent electron bridges can greatly improve the first-order hyperpolarizability of chromophores.
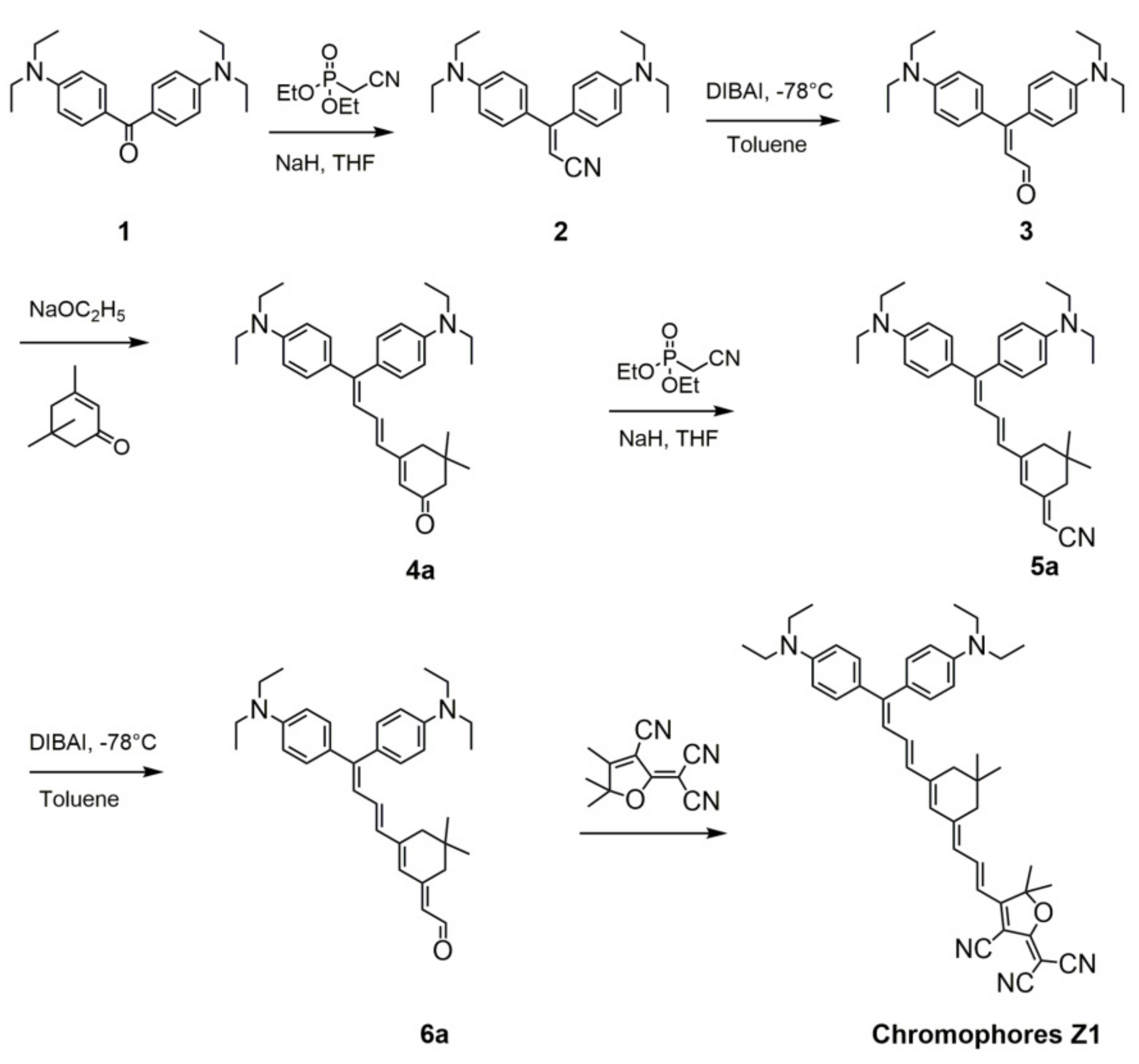
We designed six nonlinear, optical chromophores, Z1–Z6, with a bis(N,N-diethyl)aniline-derived double donor, isophorone-derived bridges and a TCF acceptor, as shown in Figure 1. The bis(N,N-diethyl)aniline-based donor was used in CLD-type, nonlinear, optical chromophores for the first time. Aside from this, different spacer groups, including tert-butyldimethylsilyl (TBDMS) and tert-butyldiphenylsilyl (TBDPS) substituents, 1,3-bis(trifluoromethyl)benzene and alkylaniline cyanoacetate, were introduced into the isophorone bridge of chromophores Z3–Z6, respectively. The red-shifted λmax and smaller band gaps compared to a chromophore with a single donor verified the stronger donor strength. DFT theoretical calculation showed that the stronger electron donor ability created greater first-order hyperpolarizability. A large poling efficiency (1.62 ± 0.07 and 2.04 ± 0.08 nm2/V2) and r33 value (169 pm/V and 193 pm/V) were achieved for doped PMMA films containing 25 wt% chromophores Z4 and Z6 at 1310 nm, respectively. These values were much larger than in similar chromophores.
Figure 1.
Chemical structure for chromophores Z1–Z6.
2. Materials and Methods
2.1. Materials and Instruments
The anhydrous solvents used in the experiment included DMF, CH2Cl2, THF and ethanol, all of which were purchased from Energy Chemical Reagent Company. In addition, (DMAP) 4-(dimethylamino)pyridine, (1-ethyl-(3-dimethylaminopropyl) carbodiimide hydrochloride) (EDCI), ethyl acetate, petroleum ether, imidazole, cyanomethyl diethyl phosphate, isophorone and diisobutyl aluminum hydride were also purchased from Energy Chemical Reagent Company. Compounds 2–8 and chromophore Z2 were synthesized according to the steps in the literature [29,32].
The data of 1H and 13C NMR spectrum were obtained from the Advance Bruker 500 MHz NMR spectrometer (tetramethylsilane as an internal reference). The 1H NMR, 13C NMR and HRMS of all synthesized compounds are shown in the Supplementary Materials. The MS spectra were obtained using a MALDI-TOF (matrix-assisted laser desorption/ionization time-of-flight) on a BIFLEXIII (Broker Inc.: Braintree, MA, USA) spectrometer. TGA was obtained from TGA4000 (PerkinElmer Inc.: Boston, MA, USA) at a heating rate of 10 °C min−1 under the protection of nitrogen. The UV–vis spectra were recorded on a Shimadzu UV-1800 photo spectrometer.
2.2. Syntheses
2.2.1. Synthesis of (E)-2-(3-((E)-4,4-bis(4-(diethylamino)phenyl)buta-1,3-dien-1-yl)-2-((2-((tert-butyldiphenylsilyl)oxy)ethyl)thio)-5,5-dimethylcyclohex-2-en-1-ylidene)acetaldehyde (Compound 9a)
Imidazole (0.17 g, 2.45 mmol) and tert-butyl diphenylchlorosilane (0.67 g, 2.45 mmol) were added to a 100 mL flask. After that, compound 8 (0.7 g, 1.22 mmol) and DMF (15 mL) were added under nitrogen situation and stirred at room temperature for three hours. The product was extracted with ethyl acetate 3 times, then dried over anhydrous magnesium sulfate overnight. Finally, the solvent was evaporated by rotator, and the red oily compound 9a was obtained with a yield of 88% (0.64 g, 0.79 mmol) by column chromatography. MS (ESI) (M+, C52H66N2O2SSi): calculated: 811.26; found: 811.32. 1H NMR (500 MHz, CDCl3) δ 9.96 (d, J = 8.0 Hz, 1H, CHO), 7.55 (d, J = 1.6 Hz, 2H, ArH), 7.54 (d, J = 1.8 Hz, 2H, ArH), 7.50 (d, J = 15.2 Hz, 1H,CH), 7.29–7.25 (m, 4H, ArH), 7.24–7.21 (m, 2H,ArH), 7.11 (d, J = 9.0 Hz, 2H, ArH), 7.05 (d, J = 8.8 Hz, 2H, ArH), 6.86–6.77 (m, 2H, CH), 6.61 (d, J = 8.9 Hz, 2H, ArH), 6.58 (d, J = 11.3 Hz, 1H, CH), 6.48 (d, J = 9.0 Hz, 2H, ArH), 3.63 (t, J = 7.0 Hz, 2H, OCH2), 3.31 (q, J = 7.0 Hz, 4H, NCH2), 3.26 (q, J = 7.0 Hz, 4H, NCH2), 2.63 (t, J = 7.0 Hz, 2H, SCH2), 2.47 (s, 2H, CH2), 2.13 (s, 2H, CH2), 1.12 (t, J = 7.0 Hz, 6H, CH3), 1.07 (t, J = 7.1 Hz, 7H, CH3), 0.96 (s, 9H, CH3), 0.79 (s, 6H, CH3). 13C NMR (126 MHz, CDCl3) δ 191.3, 156.5, 150.6, 147.9, 147.6, 147.4, 135.4, 135.1, 134.7, 133.5, 132.1, 131.1, 129.6, 129.5, 127.7, 127.6, 127.4, 126.5, 123.8, 110.9, 63.1, 44.2, 41.4, 39.7, 37.1, 29.8, 28.1, 26.8, 26.5, 19.1, 12.6.
2.2.2. Synthesis of 2-(((E)-2-((E)-4,4-bis(4-(diethylamino)phenyl)buta-1,3-dien-1-yl)-4,4-dimethyl-6-(2-oxoethylidene)cyclohex-1-en-1-yl)thio)ethyl 3,5-bis(trifluoromethyl)benzoate (Compound 9b)
3,5-bis(trifluoromethyl) benzoic acid (0.72 g, 2.8 mmol), 1-(3-Dimethy-laminopropyl)-3-ethylcarbodiimide hydrochloride (EDCI) (0.54 g, 2.8 mmol) and 4-di-methylaminopyridine (DMAP) (0.034 g, 0.28 mmol) were added to a three-necked bottle. The reaction system needed to be vacuumized and maintained in a nitrogen environment; solvent methylene chloride (15 mL) was added, then the reaction bottle was placed at 0 °C and stirred for 1 h. After the solution was clarified, compound 8 (0.8 g, 1.4 mmol) was dissolved with methylene chloride and injected into the reaction bottle. The reaction was stirred at 0 °C for 2 h. Then, the temperature was increased to 40 °C, and the solvent was heated and refluxed overnight. After the solvent was evaporated by rotator, it was extracted with ethyl acetate 3 times, dried over anhydrous magnesium sulfate overnight and spin-dried by rotary evaporator. The red solid compound 10 was obtained by column chromatography; the yield was 85.5% (0.69 g, 0.85 mmol). MS (ESI) (M+, C45H50F6N2O3S): calculated: 812.96; found: 812.92. 1H NMR (500 MHz, CDCl3) δ 10.05 (d, J = 8.0 Hz, 1H, CHO), 8.40 (s, 2H, ArH), 7.89 (d, J = 16.6 Hz, 1H, CH), 7.48 (d, J = 15.2 Hz, 1H, CH), 7.19 (s, 1H, ArH), 7.07–7.04 (m, 2H, ArH), 7.03–6.98 (m, 2H, ArH), 6.91–6.80 (m, 1H, CH), 6.62 (d, J = 8.9 Hz, 2H, ArH), 6.49 (d, J = 9.0 Hz, 2H, ArH), 6.38 (d, J = 11.2 Hz, 1H, CH), 4.34 (t, J = 6.7 Hz, 2H, OCH2), 3.38–3.34 (m, 4H, NCH2), 3.32–3.26 (m, 4H, NCH2), 2.89 (t, J = 6.7 Hz, 2H, SCH2), 2.64 (s, 2H, CH2), 2.23 (s, 2H, CH2), 1.15 (t, J = 7.0 Hz, 6H, CH3), 1.11 (t, J = 7.1 Hz, 6H, CH3), 0.90 (s, 6H, CH3). 13C NMR (126 MHz, CDCl3) δ 191.3, 163.6, 156.2, 151.9, 148.9, 147.8, 147.6, 136.0, 132.2 132.0, 130.4, 129.9, 129.7, 129.2, 126.5, 126.1, 125.8–125.7, 123.3, 110.9, 64.3, 44.3, 41.5, 39.9, 36.0, 33.0, 30.00, 29.7, 28.2, 12.6.
2.2.3. Synthesis of 2-(((E)-2-((E)-4,4-bis(4-(diethylamino)phenyl)buta-1,3-dien-1-yl)-4,4-dimethyl-6-(2-oxoethylidene)cyclohex-1-en-1-yl)thio)ethyl (E)-2-cyano-3-(4-(dimethylamino)phenyl)acrylate (Compound 9c)
Referring to the steps of synthesizing compound 9b, we synthesized compound 9c from compound 8 as a red oil with a 73.1% yield (0.49 g, 0.63 mmol). MS (ESI) (M+, C48H58N4O3S): calculated: 771.08; found: 771.14. 1H NMR (500 MHz, CDCl3) δ 10.04 (d, J = 8.0 Hz, 1H, CHO), 7.96 (s, 1H, CH), 7.81 (d, J = 9.1 Hz, 2H), 7.53 (d, J = 15.2 Hz, 1H, CH), 7.13 (d, J = 9.0 Hz, 2H, ArH), 7.01 (d, J = 8.8 Hz, 2H, ArH), 6.88 (d, J = 8.3 Hz, 1H, ArH), 6.86–6.80 (m, 1H, CH), 6.66 (d, J = 8.0 Hz, 1H, ArH), 6.60 (d, J = 8.9 Hz, 2H, ArH), 6.54 (d, J = 9.1 Hz, 2H, ArH), 6.47 (d, J = 9.0 Hz, 2H, CH), 4.24 (d, J = 6.8 Hz, 2H, OCH2), 3.33 (q, J = 7.0 Hz, 4H, NCH2), 3.28 (q, J = 7.0 Hz,4H, NCH2), 2.99 (s, 6H, NCH3), 2.82 (t, J = 6.8 Hz, 2H, SCH2), 2.65 (s, 2H, CH2), 2.24 (s, 2H, CH2), 1.14 (t, J = 7.0 Hz, 6H, CH3), 1.08 (t, J = 7.0 Hz, 6H, CH3), 0.89 (s, 6H, CH3). 13C NMR (126 MHz, CDCl3) δ 190.4, 163.0, 155.5, 153.8, 152.6, 150.7, 147.4, 146.7, 146.5, 134.9, 133.2, 131.2, 129.8, 128.8, 128.4, 125.5, 122.8, 118.4, 116.4, 110.5, 109.9, 92.5, 63.1, 59.4, 43.3, 40.5, 39.0, 32.00, 29.0, 27.2, 20.0, 11.7.
2.2.4. Synthesis of 2-(4-((1E,3E)-3-(3-((E)-4,4-bis(4-(diethylamino)phenyl)buta-1,3-dien-1-yl)-2-(3-((tert-butyldimethylsilyl)oxy)propyl)-5,5-dimethylcyclohex-2-en-1-ylidene)prop-1-en-1-yl)-3-cyano-5,5-dimethylfuran-2(5H)-ylidene)malononitrile (Chromophore Z3)
Referring to the steps of synthesizing Z2, we synthesized Z3 from compound 7 as a green solid with a 74.1% yield (0.35 g, 0.41 mmol). HRMS (ESI) ([M + H]+, C54H72N5O2Si): calculated: 850.5455; found: 850.5451. 1H NMR (500 MHz, CDCl3) δ 8.16–8.07 (m, 1H, CH), 7.66 (d, J = 14.7 Hz, 1H, CH), 7.52 (d, J = 12.3 Hz, 1H, CH), 7.26 (d, J = 9.1 Hz, 2H, ArH), 7.16 (d, J = 8.8 Hz, 2H, ArH), 7.07 (dd, J = 15.0, 11.5 Hz, 1H, CH), 6.78 (d, J = 14.1 Hz, 1H, CH), 6.71 (d, J = 8.9 Hz, 2H, ArH), 6.61 (d, J = 9.0 Hz, 2H, ArH), 6.35 (d, J = 14.7 Hz, 1H, CH), 3.71 (t, J = 6.9 Hz, 2H, OCH2), 3.46–3.41 (m, 4H, NCH2), 3.39–3.37 (m, 4H, NCH2), 2.73 (t, J = 6.9 Hz, 2H, SCH2), 2.46 (s, 2H, CH2), 2.35 (s, 2H, CH2), 1.68 (s, 6H, CH3), 1.23 (t, J = 7.0 Hz, 6H, CH3), 1.19 (t, J = 7.1 Hz, 6H, CH3), 0.96 (s, 6H, CH3), 0.90 (s, 9H, CH3), 0.06 (s, 6H, CH3). 13C NMR (126 MHz, CDCl3) δ 176.3, 173.0, 155.0, 152.5, 150.3, 148.1, 147.8, 144.8, 137.6, 132.4, 131.3, 130.1, 129.7, 129.2, 127.9, 126.2, 124.2, 116.1, 112.7, 112.1, 111.8, 110.9, 96.7, 93.4, 62.3, 54.7, 44.3, 41.6, 41.2, 38.2, 30.1, 29.6, 28.1, 26.3, 25.9, 18.3, 12.6, 0.9, −5.3.
2.2.5. Synthesis of 2-(4-((1E,3E)-3-(3-((E)-4,4-bis(4-(diethylamino)phenyl)buta-1,3-dien-1-yl)-2-((2-((tert-butyldiphenylsilyl)oxy)ethyl)thio)-5,5-dimethylcyclohex-2-en-1-ylidene)prop-1-en-1-yl)-3-cyano-5,5-dimethylfuran-2(5H)-ylidene)malononitrile (Chromophore Z4)
The procedure for compound Z2 was followed to prepare Z4 from compound 9a as a green solid with a 71.1% yield (0.32 g, 0.32 mmol). HRMS (ESI) ([M + H]+, C63H74N5O2SSi): calculated: 992.5332; found: 992.5329. 1H NMR (500 MHz, CDCl3) δ 8.09 (t, J = 13.5 Hz, 1H, ArH), 7.59–7.55(m, 5H, ArH), 7.43 (d, J = 12.3 Hz, 1H. ArH), 7.34–7.30 (m, 2H, ArH), 7.30–7.24 (m, 4H, ArH), 7.19–7.14 (m, 2H, CH), 7.08 (d, J = 8.8 Hz, 2H, ArH), 6.96 (dd, J = 15.0, 11.5 Hz, 1H, CH), 6.66–6.63 (m, 3H, ArH, CH), 6.53 (d, J = 9.0 Hz, 2H, ArH), 6.13 (d, J = 14.7 Hz, 1H, CH), 3.68 (t, J = 6.6 Hz, 2H, OCH2), 3.40–3.35 (m, 4H, NCH2), 3.35–3.29 (m, 4H, NCH2), 2.69 (t, J = 6.6 Hz, 2H, SCH2), 2.32 (s, 2H,CH2), 2.22 (s, 2H,CH2), 1.52 (s, 6H, CH3), 1.17 (t, J = 7.0 Hz, 6H, CH3), 1.12 (t, J = 7.1 Hz, 6H, CH3), 1.00 (s, 9H,CH3), 0.83 (s, 6H, CH3). 13C NMR (126 MHz, CDCl3) δ 176.4, 173.0, 155.3, 152.7, 150.2, 148.1, 147.8, 144.9, 137.6, 135.5, 133.5, 132.4, 131.4, 130.2, 129.6, 129.3, 127.8, 126.3, 124.3, 116.0, 112.7, 112.3, 111.8, 110.9, 96.7, 93.1, 62.9, 54.8, 44.4, 41.6, 41.1, 38.2, 30.2, 29.7, 28.2, 26.9, 26.2, 19.3, 12.6.
2.2.6. Synthesis of 2-(((E)-2-((E)-4,4-bis(4-(diethylamino)phenyl)buta-1,3-dien-1-yl)-6-((E)-3-(4-cyano-5-(dicyanomethylene)-2,2-dimethyl-2,5-dihydrofuran-3-yl)allylidene)-4,4-dimethylcyclohex-1-en-1-yl)thio)ethyl 3,5-bis(trifluoromethyl)benzoate (Chromophore Z5)
The procedure for compound Z2 was followed to prepare Z5 from compound 9b as a green solid with a 72.4% yield (0.31 g, 0.31 mmol). HRMS (ESI) ([M + H]+, C56H58F6N5O3S): calculated: 994.4165; found: 994.4162. 1H NMR (500 MHz, CDCl3) δ 8.40 (s, 2H, ArH), 8.05–7.99 (m, 1H, ArH), 7.89 (s, 1H, ArH), 7.54 (d, J = 15.0 Hz, 1H, CH), 7.39 (d, J = 12.2 Hz, 1H, CH), 7.08 (d, J = 9.0 Hz, 2H, ArH), 7.02 (d, J = 8.8 Hz, 2H, ArH), 6.99–6.90 (m, 1H, ArH), 6.62 (d, J = 8.9 Hz, 2H, ArH), 6.50 (d, J = 9.0 Hz, 2H, CH), 6.45 (d, J = 11.4 Hz, 1H, CH), 6.25 (d, J = 14.7 Hz, 1H,CH), 4.37 (t, J = 6.7 Hz, 2H, OCH2), 3.38–3.34 (m, 4H, NCH2), 3.34–3.28 (m, 4H, NCH2), 2.93 (t, J = 6.7 Hz, 2H, SCH2), 2.40 (s, 2H, CH2), 2.28 (s, 2H,CH2), 1.60 (s, 6H, CH3), 1.16 (t, J = 7.1 Hz, 6H, CH3), 1.12 (t, J = 7.1 Hz, 6H, CH3), 0.89 (s, 6H, CH3). 13C NMR (126 MHz, CDCl3) δ 176.2, 173.0, 163.6, 154.3, 153.4, 151.0, 148.2, 147.9, 144.5, 138.2, 132.5, 132.3, 132.1, 130.6, 130.2, 129.7, 129.0, 127.7, 127.4, 126.2, 123.8, 121.7, 116.4, 112.6, 112.0, 111.7, 110.9, 96.8, 94.0, 64.3, 55.1, 44.4, 41.6, 41.2, 33.7, 30.2, 28.2, 26.3, 12.6.
2.2.7. Synthesis of 2-(((E)-2-((E)-4,4-bis(4-(diethylamino)phenyl)buta-1,3-dien-1-yl)-6-((E)-3-(4-cyano-5-(dicyanomethylene)-2,2-dimethyl-2,5-dihydrofuran-3-yl)allylidene)-4,4-dimethylcyclohex-1-en-1-yl)thio)ethyl(E)-2-cyano-3-(4-(dimethylamino)phenyl)acrylate (Chromophore Z6)
The procedure for compound Z2 was followed to prepare Z6 from compound 9c as a green solid with a 70.3% yield (0.28 g, 0.29 mmol). HRMS (ESI) ([M + H]+, C59H66N7O3S): calculated: 952.4948; found: 952.4943. 1H NMR (500 MHz, CDCl3) δ 8.11–8.01 (m, 1H, ArH), 7.93 (s, 1H, CH), 7.80 (d, J = 9.0 Hz, 2H, ArH), 7.49 (dd, J = 16.7, 13.8 Hz, 2H, CH), 7.16 (t, J = 4.5 Hz, 3H, ArH), 7.04 (d, J = 8.7 Hz, 2H, ArH), 7.01–6.92 (m, 1H, CH), 6.69 (d, J = 11.4 Hz, 1H, ArH), 6.59 (t, J = 9.0 Hz, 5H, ArH,CH), 6.49 (d, J = 9.0 Hz, 2H, ArH), 6.31 (d, J = 14.7 Hz, 1H, CH), 4.21 (t, J = 6.0 Hz, 2H, OCH2), 3.33 (q, J = 7.1 Hz, 4H, NCH2), 3.28 (q, J = 7.1 Hz, 4H, NCH2), 3.03 (s, 4H, NCH3), 2.87 (t, J = 6.1 Hz, 2H, SCH2), 2.38 (s, 2H, CH2), 2.26 (s, 2H, CH2), 1.52 (s, 6H, CH3), 1.13 (t, J = 6.9 Hz, 6H, CH3), 1.08 (t, J = 7.0 Hz, 6H, CH3), 0.86 (s, 6H, CH3). 13C NMR (126 MHz, CDCl3) δ 175.4, 172.2, 163.1, 154.1, 153.9, 152.8, 151.8, 149.5, 147.1, 146.8, 143.9, 136.9, 133.3, 131.5, 130.0, 129.2, 128.3, 127.3, 127.1, 125.3, 123.2, 118.2, 116.6, 115.7, 110.5, 109.9, 96.0, 92.1, 62.5, 53.6, 48.2, 43.4, 40.7, 40.2, 39.0, 33.2, 32.9, 29.3, 28.7, 27.3, 25.2, 24.6, 23.9, 11.7.
2.2.8. Synthesis of (E)-3-(4,4-bis(4-(diethylamino)phenyl)buta-1,3-dien-1-yl)-5,5-dimethylcyclohex-2-en-1-one (Compound 4a)
In N2 atmosphere, anhydrous ethanol (20 mL) was slowly added to a clean, double-mouth flask containing metal sodium (0.45 g, 19.4 mmol) under 0 °C. Then, isophorone was added after the complete dissolution of the metal sodium. After the reaction, it was stirred at room temperature for 1 h and then compound 3 (6.8 g, 19.4 mmol) was added. The mixture reacted at 65 °C overnight, and it was concentrated in vacuum. The compound 4a, as an oil with a 78.3% yield (7.2 g, 15.2 mmol), was obtained by column chromatography. MS (ESI) (M+, C32H42N2O): calculated: 471.34; found: 471.36. 1H NMR (500 MHz, CDCl3) δ 7.15 (d, J = 15.2Hz, 1H, CH), 7.09 (d, J = 10.0 Hz, 2H, ArH), 6.99 (d, J = 8.7 Hz, 2H, ArH), 6.92–6.88 (m, 3H, CH, ArH), 6.56 (d, J = 9.0 Hz, 3H, ArH), 5.96 (s, 1H, CH), 3.22 (q, J = 7.1 Hz, 4H, NH2), 3.33 (q, J = 7.1 Hz, 4H, NCH2), 2.24 (s, 2H,CH2), 2.16 (s, 2H,CH2), 1.06 (t, J = 7.1 Hz, 6H, CH3), 1.02(t, J = 7.1 Hz, 6H, CH3), 0.89(s, 6H, CH3).13C NMR (126 MHz, CDCl3) δ 194.6, 158.3, 153.4, 150.1, 148.5, 148.0, 147.4, 132.2, 130.3, 129.7, 127.9, 125.1, 123.2, 120.2, 119.1, 111.0, 67.5, 52.3, 44.4, 33.1, 31.0, 28.2, 12.8.
2.2.9. Synthesis of (E)-2-(3-((E)-4,4-bis(4-(diethylamino)phenyl)buta-1,3-dien-1-yl)-5,5-dimethylcyclohex-2-en-1-ylidene)acetonitrile (Compound 5a)
Under 0 ℃ and N2 atmosphere, anhydrous tetrahydrofuran was added into a round-bottom, double-mouth bottle filled with sodium hydride. After the solvent was stirred evenly, diethyl(cyanomethyl)-phosphate (5.4 g, 30.4 mmol) was slowly added. After the solution was clarified, compound 4 (7.2 g, 15.2 mmol) in tetrahydrofuran (40 mL) was added. The reaction refluxed at 65 °C overnight. After removing tetrahydrofuran in vacuum, compound 7 was purified by silica gel elution column chromatography with ethyl acetate/n-hexane (1:15 to 1:10) to produce the compound 5 as yellow oil with an 84.2% yield (6.3 g, 12.8 mmol). MS (ESI) (M+, C34H43N3): calculated: 494.35; found: 494.36. 1H NMR (500 MHz, CDCl3) δ 7.21 (d, J = 15.1 Hz, 1H,CH), 7.14 (d, J = 9.0 Hz, 2H, ArH), 7.04 (d, J = 8.8 Hz, 2H, ArH), 6.93 (dd, J = 15.2, 11.3 Hz, 1H, ArH), 6.62–6.58 (m, 3H, CH, ArH), 6.51 (d, J = 9.1 Hz, 2H, ArH), 6.29 (s, 1H, CH), 6.05 (s, 1H, CH), 3.34 (q, J = 7.1 Hz, 4H, NCH2), 3.28 (q, J = 7.1 Hz, 4H, NCH2), 2.32 (s, 2H, CH2), 2.03 (s, 2H, CH2), 1.14 (t, J = 7.1 Hz, 6H, CH3), 1.09 (t, J = 7.1 Hz, 6H, CH3), 0.88 (s, 6H, CH3), 0.84 (s, 9H, CH3). 13C NMR (126 MHz, CDCl3) δ 157.4, 146.6, 146.4, 145.8, 145.0, 131.5, 131.1, 129.4, 128.5, 125.7, 123.7, 122.2, 117.8, 110.0, 90.6, 43.3, 41.1, 37.9, 30.1, 27.1, 11.7.
2.2.10. Synthesis of (E)-2-(3-((E)-4,4-bis(4-(diethylamino)phenyl)buta-1,3-dien-1-yl)-5,5-dimethylcyclohex-2-en-1-ylidene)acetaldehyde (Compound 6a)
Compound 5 (6.3 g, 12.8 mmol), dissolved in anhydrous toluene at −78 °C in N2 atmosphere, was added to a clean, double-mouth bottle. After stirring evenly, diisobutyl aluminum hydride (25.6 mL, 25.6 mmol) was slowly added to the solvent. After reacting at −78 °C for 3 h, wet silica gel (4.0 g) containing 40.0 mL of water was added and stirred at 0 ℃ for 2 h. Then, the solvent was poured into H2O and extracted with DCM. The solvent was evaporated by rotator. Compound 6 was obtained by silica gel column chromatography and elution with ethyl acetate/n-hexane (1:15~1:10) to produce the compound 6 as an oil with an 83.6% yield (5.3 g, 10.7 mmol). MS (ESI) (M+, C34H45N2O): calculated: 497.35; found: 497.38. 1H NMR (500 MHz, CDCl3) δ 9.34 (d, J = 8.3 Hz, 1H, CHO), 7.49(d, J = 15.1 Hz, 1H, CH), 7.29 (dd, J = 14.9, 11.6 Hz, 1H, CH), 7.18 (d, J = 9.0 Hz, 2H, ArH), 7.02 (d, J = 8.8 Hz, 2H, ArH), 6.64–6.58 (m, 4H, CH), 6.51 (d, J = 9.1 Hz, 2H, ArH), 6.12 (dd, J = 14.8, 8.1 Hz, 1H,CH), 3.35–3.31 (m, 4H, NCH2), 3.30–3.26 (m, 4H, NCH2), 2,63(s, 2H, CH2), 2.25(s, 2H, CH2), 1.13 (t, J = 7.1 Hz, 6H, CH3), 1.08 (t, J = 7.1 Hz, 6H,CH3). 13C NMR (126 MHz, CDCl3) δ 192.9, 154.2, 151.9, 147.6, 147.1, 131.2, 131.1, 129.5, 127.9, 127.2, 124.2, 119.0, 109.9, 109.7, 43.3, 28.7, 25.9, 21.6, 18.0, 11.6.
2.2.11. Synthesis of 2-(4-((1E,3E)-3-(3-((E)-4,4-bis(4-(diethylamino)phenyl)buta-1,3-dien-1-yl)-5,5-dimethylcyclohex-2-en-1-ylidene)prop-1-en-1-yl)-3-cyano-5,5-dimethylfuran-2(5H)-ylidene)malononitrile (Chromophore Z1)
Compound 6 (1 g, 2.0 mmol) and 2-(3-cyano-4,5,5-trimethylfuran-2(5H)-ylidene) malononitrile (0.47 g, 2.4 mmol) were dried in vacuum for 2 h, and absolute ethanol was added in N2 atmosphere. After the reaction at 65 °C for 6 h, the solvent was evaporated by rotator. The chromophore Z1 was obtained as a green solid with a 70% yield (0.94 g, 14 mmol) by column chromatography. HRMS (ESI) ([M + H]+,C45H52N5O): calculated: 678.4172; found: 678.4169. 1H NMR (500 MHz, CDCl3) δ 7.91 (t, J = 13.4 Hz, 1H, CH), 7.18–7.14 (m, 3H, CH), 7.06 (d, J = 8.8 Hz, 3H, ArH), 6.87–6,81 (m, 1H, CH), 6.62 (d, J = 8.8 Hz, 3H, ArH), 6.41 (d, J = 14.9 Hz, 1H, CH), 6.25 (d, J = 8.8 Hz, 2H, ArH), 6.13 (d, J = 14.6 Hz, 1H, CH), 3.39–3.33 (m, 4H, NH2), 3.30–3.27 (m, 4H, NH2), 2.30 (s, 2H, CH2), 2.14 (s, 2H, CH2), 1.58 (s, 6H, CH3), 1.15 (t, J = 7.0 Hz, 6H, CH3), 1.10 (t, J = 7.0 Hz, 6H, CH3), 0.90 (s, 6H, CH3). 13C NMR (126 MHz, CDCl3) δ 175.4, 171.8, 156.6, 154.8, 149.1, 148.6, 148.4, 147.8, 147.1, 146.8, 143.0, 134.5, 132.1, 131.7, 131.5, 130.5, 129.1, 128.7, 128.4, 127.3, 126.9, 125.3, 124.2, 122.6, 121.8, 113.8, 113.0, 112.0, 111.3, 110.0, 95.6, 95.4, 53.1, 52.6, 43.4, 38.8, 38.5, 30.4, 27.3, 25.6, 11.7.
3. Results and Discussion
3.1. Synthesis and Characterization of Chromophores
The six chromophores, Z1–Z6, were synthesized from commercially available 4,4’-bis(diethylamino)benzophenone, as shown in Figure 2 and Figure 3. Chromophores Z1–Z6 were synthesized by six or nine steps; compounds 1 and 5 were converted to compounds 2 and 7 containing the cyanide group by the Wittig–Horner reaction with diethyl phosphate. Compounds 2, 5a and 6 with the nitrile group were generated to aldehyde 3, 6a and 7 using DIBAL-H-involved reduction. Compound 3 reacted with isophorone or thiolated isophorone to produce compound 4 or 4a through Knoevenagel condensation. Compound 7 with the tert-butyltrimethylsilane group was hydrolyzed to generate compound 8 in order to facilitate the use of subsequent synthesis steps. The steric group, R1–R3, was attached to compound 7 to generate aldehydes 9a–9c through Steglich esterification or nucleophilic reaction. The donor and bridged aldehydes, 6a, 7, 8 and 9a–9c, were condensed with the TCF acceptor to form chromophores Z1–Z6. These chromophores were characterized by nuclear magnetic hydrogen and carbon spectrum and HRMS. These six chromophores showed good solubility in organic solvents (such as ethanol, acetone, dichloromethane and acetonitrile and so on).
Figure 2.
Synthetic routes for chromophore Z1.
Figure 3.
Synthetic routes for chromophores Z2–Z6.
3.2. Thermal Stability
Depending on the EO device in practical use and the induced polarization conditions, the chromophores must be thermally stable enough to withstand temperatures in excess of 150 °C. Therefore, the thermal stability of organic chromophores is required [34]. The thermal properties of the six chromophores were studied at a 10 °C min−1 heating rate in a nitrogen environment, as shown in Figure 4. The decomposition temperature (Td, 5% weight loss) of all the chromophores, Z1–Z6, was above 190 °C, which indicates that the thermal stability performance was enough to withstand the subsequent electric field polarization process. Among the six kinds of chromophore synthesized, chromophore Z3 had the lowest decomposition temperature (Td, 191 °C), while chromophore Z2 had the best decomposition temperature (Td, 267 °C), followed by chromophores Z5 (Td, 247 °C). The chromophores Z1 (Td, 241 °C), Z4 (Td, 241 °C) and Z6 (Td, 204 °C) were arranged in sequence.
Figure 4.
TGA curves of chromophores Z1–Z6 with a heating rate of 10 °C min−1.
3.3. Optical Properties
In order to explore the effect of different spacer groups on the UV absorption of chromophores, we tested the UV absorption of the six chromophores in six kinds of solvent and in films. The UV absorption data are displayed in Figure 5, Figure 6 and Figure 7 and Table 1. In these solvents, the maximum absorption of chromophores Z2–Z5 in chloroform was around 770 nm, which was red-shifted by about 90 nm compared to traditional, monomer-donor chromophores, probably due to the stronger double donor [35,36,37,38,39,40,41]. A larger UV absorption wavelength means that these chromophores have greater first-order hyperpolarizability than single-donor chromophores. The blue shift of chromophore Z2, relative to chromophores Z1–Z5, was 10 nm, which may be due to the electron absorption of the cyano group.
Figure 5.
UV–vis absorption spectra of chromophores Z1–Z6 in chloroform.
Figure 6.
UV–vis absorption spectra of chromophores Z1–Z6 in solvent.
Figure 7.
UV–vis absorption spectra of Z1–Z6 in film.
Table 1.
Thermal and optical property data of the chromophores.
We tested the solvatochromic behavior of the six chromophores in different solvents, as shown in Figure 6. Chromophores Z1–Z6 showed bathochromic shifts of 64 nm–93 nm when comparing the absorption of chromophores in dioxane and chloroform, which indicated that these six chromophores are easily polarizable [12]. The UV–vis absorption spectra of the chromophores in film were tested, as shown in Figure 7. The maximum absorption values (λmax) of molecules Z1–Z6 were 671–740 nm, which are different from those in solution due to different interactions between the chromophores and the polymers/solvent.
3.4. Theoretical Calculations
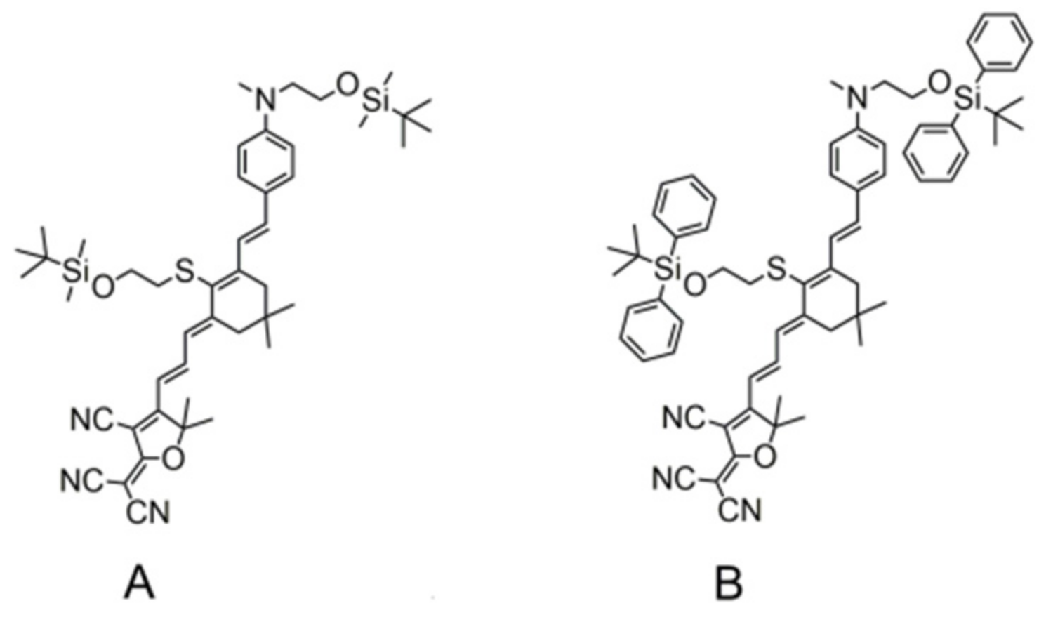
To calculate the first-order hyperpolarizability and energy gap of the six chromophores, DFT calculation was performed using Gaussian 09 program package at R-B3LYP level using 6–31 g (d) basis group [42,43,44]. The molecule was calculated in trans-configuration. The first hyperpolarizability (β0), HOMO–LUMO energy gap (∆E DFT) and dipole moment (µ) of the six chromophores are shown in Figure 8 and Table 2. The ∆E (DFT) values for chromophores Z1–Z6 were 1.814, 1.826, 1.795, 1.799, 1.829 and 1.841 eV, respectively. Moreover, the first-order hyperpolarizability of the six chromophores was about 1500 × 10−30 esu, which is easy to understand because the conjugated structures of the six chromophores were almost the same and were not destroyed by the introduction of spacer groups. Similar UV absorption also showed that these chromophores had similar conjugate absorption. The value of the hyperpolarizability of the six chromophores with a bis(N,N-diethyl)aniline-derived donor was much larger than chromophores capped with a (N,N-diethyl)aniline-derived donor (~1100 × 10−30 esu). We calculated chromophores A and B with a similar structure using aniline as donor, as shown in Table 2 and Figure 9 [38]. The first-order hyperpolarizability value of chromophore Z1 was less than that of chromophores Z2–Z5, which indicates that thiolated chromophores can achieve higher molecular hyperpolarizability.
Figure 8.
Frontier molecular orbitals HOMO and LUMO of chromophores Z1–Z6.
Table 2.
Summary of DFT and optical property data of the chromophores.
Figure 9.
Chemical structure of compounds A and B.
The alkylaniline cyanoacetate group in chromophore Z6 was a small chromophore. For chromophores with donor and acceptor, the first-order hyperpolarizability of alkylaniline cyanoacetate group was calculated. The hyperpolarizability value of the alkylaniline cyanoacetate group was 42.9 × 10−30 esu, which was negligible compared to the hyperpolarizability value (~1500 × 10−30 esu) of chromophore Z6. Therefore, the introduction of the alkylaniline cyanoacetate group had little effect on the total first-order hyperpolarizability of the main chromophore. However, the dipole moments of alkylaniline cyanoacetate was 9.06 debye, which was considerable compared to the dipole moment (~26 debye) of the main chromophore. What we need to point out, is that the dipole moment was calculated under the optimized configuration.
3.5. Electro-Optic Performance
To make the EO film, six kinds of 25 wt% chromophore, Z1–Z6, were mixed with polymer PMMA, dissolved into freshly distilled dissdibromomethane and rotated and stirred overnight to make them fully dissolved. The above mixed solution was filtered through a 0.2 μm PTFE filter two times and spin-coated onto (ITO) glass substrates. Those thin polymer doped films were dried in a vacuum drying oven at 60 °C for a few hours. A thin layer of gold was evenly sputtered onto the chromophore by the sputtering method. The electro-optical film adopted a contact-polarized orientation around the glass transition temperature of the polymer using the action of an electric field, as shown in Figure 10. Under the action of electric field, we needed to convert the disordered molecules into a noncentrosymmetric, ordered arrangement so that the chromophore molecules showed nonlinear, electro-optic activity. The electro-optic coefficient (r33) of the poled film was calculated using the Teng–Man simple reflection method at the wavelength of 1310 nm [45].
Figure 10.
Artist’s concept of poling process (converting the disordered molecules into noncentrosymmetric ordered arrangement) of EO chromophores Z1–Z6.
The r33 value of the polymer film containing 25 wt% chromophores Z1–Z6 was tested, as shown in Table 3 and Figure 11. The average poling efficiencies (r33/poling field or r33/Ep) of Z1–Z6 were 1.09 ± 0.06, 0.82 ± 0.05, 1.33 ± 0.07, 1.62 ± 0.07, 1.60 ± 0.07 and 2.04 ± 0.08 nm2/V2, respectively, higher than traditional guest–host polymeric materials [35,36,37,38,39,40,41].
Table 3.
Electric field poling data for EO chromophores in bulk device.
Figure 11.
Poling curves (plots of r33 vs. poling field) for chromophores Z1–Z6.
When the electrostatic interaction between chromophores was small, the influence on the r33 value could be ignored. The r33 value is related to the hyperpolarizability value of the chromophore and the number density of the chromophores. It can be seen from the DFT theoretical calculation and UV absorption that the six chromophores had a similar hyperpolarizability value; however, their polarization efficiency and electro-optic coefficients were very different. Large, electrostatic interactions between chromophore molecules will cause antiparallel stacking of chromophore molecules, which hinders the orderly, noncentrosymmetric arrangement of molecules and will eventually lead to the decrease of the electro-optical coefficient and performance of materials. Therefore, improving the electro-optic coefficient of materials has become a key factor affecting the properties of materials, and introducing large steric hindrance groups has become an effective method to improve the electro-optic coefficient, because large steric hindrance groups are conducive to reducing the dipole–dipole interaction between molecules, which is conducive to improving the electro-optic properties of materials.
The number density of chromophores Z1 and Z2 was greater than that of other chromophores; their polarization efficiency was lower than that of chromophores Z3–Z6 since there was no isolation group on the bridge of chromophores Z1 and Z2, as shown in Figure 12. In the meantime, different functional groups had different steric effects, resulting in different poling efficiencies of chromophores Z1–Z6. The electro-optic coefficient of chromophore Z4 was as high as 169 pm/V, indicating that the bulky TBDPS group modified on the chromophore Z4 better in isolation than other groups, such as tert-butyldimethylsilyl substituents and 1,3-bis(trifluoromethyl)benzene, which effectively reduced the dipole–dipole interactions between molecules. The electro-optic coefficient of the chromophore further increased to 193 pm/V due to the isolation effect and the screening effect of the alkylaniline cyanoacetate group. It is worth mentioning that the electro-optic coefficient of chromophores Z1–Z6/PMMA exceeded that of most host–guest electro-optic polymers doped with 25 wt% chromophores with TCF as a receptor [35,36,37,38,39,40,41].
Figure 12.
Diagram of r33 value with chromophore load density.
4. Conclusions
In conclusion, a series of theory-driven EO chromophores, Z1–Z6, based on a bis(N,N-diethyl)aniline-derived donor and thiolated isophorone bridge, were designed and synthesized. In particular, the bridge parts of chromophores Z2–Z6 were modified with different functional groups, including tert-butyltrimethylsilane and tert-butyl(methyl)diphenylsilane derivative: 1,3-bis(trifluoromethyl)benzene and alkylaniline cyanoacetate, respectively. The donor with stronger electron donor ability created greater first-order hyperpolarizability. In addition to the large, first-order hyperpolarizability, the special structure of double donors and the isolation group on the bridges of the chromophores had large steric effect, which led to higher polarization efficiency. A large r33 value of 193 pm/V at 1310 nm was achieved for PMMA films doped with 25 wt% chromophore Z6, accompanied by an ultrahigh poling efficiency of 2.04 ± 0.08 nm2/V2. It is worth mentioning that the electro-optic coefficient of chromophores Z1–Z6/PMMA exceeded that of most host–guest electro-optic polymers doped with 25 wt% chromophores with TCF as a receptor.
Supplementary Materials
The following supporting information can be downloaded at: https://www.mdpi.com/article/10.3390/sym14030586/s1, Figure S1: 1H NMR spectra of Compound 9a, Figure S2: 13C NMR spectra of chromophore 9a, Figure S3: 1H NMR spectra of chromophore 9b, Figure S4: 13C NMR spectra of chromophore 9b, Figure S5: 1H NMR spectra of Compound 9c Figure S6: 13C NMR spectra of chromophore 9c, Figure S7: 13C NMR spectra of Compound 4a, Figure S8: 13C NMR spectra of chromophore 5a, Figure S9: 1H NMR spectra of Compound 6a, Figure S10: 13C NMR spectra of chromophore 6a. Figure S11: 1H NMR spectra of Compound Z1. Figure S12: 13C NMR spectra of Compound Z1. Figure S13: 1H NMR spectra of Compound Z3. Figure S14: 13C NMR spectra of Compound Z3. Figure S15: 1H NMR spectra of Compound Z4. Figure S16: 13C NMR spectra of Compound Z4. Figure S17: 1H NMR spectra of Compound Z5. Figure S18: 13C NMR spectra of Compound Z5. Figure S19: 1H NMR spectra of Compound Z6. Figure S20: 13C NMR spectra of Compound Z6. Figure S21 HRMS spectra of Chromophore Z1. Figure S22 HRMS spectra of Chromophore Z3. Figure S23 HRMS spectra of Chromophore Z4. Figure S24 HRMS spectra of Chromophore Z5. Figure S25 HRMS spectra of Chromophore Z6. Figure S26. Frontier molecular orbitals HOMO-1 and LUMO+1 of chromophores Z1–Z6.
Author Contributions
Software, Validation, Formal Analysis, Investigation, X.H.; Software, Validation, Formal Analysis, Investigation, Z.L. (Ziheng Li); Software, Validation, Formal Analysis, Investigation, M.P.; Software, Validation, Formal Analysis, Investigation, Z.Z.; Software, Validation, Formal Analysis, Investigation, Z.H.; Conceptualization, Methodology, Validation, Writing—Original Draft, Writing—Review and Editing, Funding Acquisition and Supervision, F.L.; Software, Validation, Formal Analysis, Investigation, X.C.; Software, Validation, Formal Analysis, Investigation, Z.L. (Zhiwei Liang); Methodology, Validation, Funding Acquisition and Supervision, J.W. All authors have read and agreed to the published version of the manuscript.
Funding
National Natural Science Foundation of China (no. 21805049 and 22074025), Guangzhou Municipal Science and Technology Project (no. 202102010426 and 202102010473), Science and Technology Program of Guangdong Province (2019B090905007).
Institutional Review Board Statement
Not applicable.
Informed Consent Statement
Not applicable.
Data Availability Statement
Not applicable.
Acknowledgments
We gratefully acknowledge the National Natural Science Foundation of China (no. 21805049 and 22074025) and Guangzhou Municipal Science and Technology Project (no. 202102010426 and 202102010473), the Science and Technology Program of Guangdong Province (2019B090905007) for the financial support.
Conflicts of Interest
The authors declare no conflict of interest.
References
- Burla, M.; Hoessbacher, C.; Heni, W.; Haffner, C.; Fedoryshyn, Y.; Werner, D.; Watanabe, T.; Massler, H.; Elder, D.L.; Dalton, L.R.; et al. 500 GHz plasmonic Mach-Zehnder modulator enabling sub-THz microwave photonics. Apl. Photonics. 2019, 4, 056106. [Google Scholar] [CrossRef] [Green Version]
- Dalton, L.R.; Sullivan, P.A.; Bale, D.H. Electric Field Poled Organic Electro-optic Materials: State of the Art and Future Prospects. Chem. Rev. 2010, 110, 25–55. [Google Scholar] [CrossRef] [PubMed]
- Haffner, C.; Joerg, A.; Doderer, M.; Mayor, F.; Chelladurai, D.; Fedoryshyn, Y.; Roman, C.I.; Mazur, M.; Burla, M.; Lezec, H.J.; et al. Nano-opto-electro-mechanical switches operated at CMOS-level voltages. Science 2019, 366, 860. [Google Scholar] [CrossRef] [PubMed]
- Koch, U.; Uhl, C.; Hettrich, H.; Fedoryshyn, Y.; Hoessbacher, C.; Heni, W.; Baeuerle, B.; Bitachon, B.I.; Josten, A.; Ayata, M.; et al. A monolithic bipolar CMOS electronic-plasmonic high-speed transmitter. Nat. Electron. 2020, 3, 338. [Google Scholar] [CrossRef]
- Salamin, Y.; Benea-Chelmus, I.-C.; Fedoryshyn, Y.; Heni, W.; Elder, D.L.; Dalton, L.R.; Faist, J.; Leuthold, J. Compact and ultra-efficient broadband plasmonic terahertz field detector. Nat. Commun. 2019, 10, 5550. [Google Scholar] [CrossRef]
- Baeuerle, B.; Heni, W.; Hoessbacher, C.; Fedoryshyn, Y.; Koch, U.; Josten, A.; Watanabe, T.; Uhl, C.; Hettrich, H.; Elder, D.L.; et al. 120 GBd plasmonic Mach-Zehnder modulator with a novel differential electrode design operated at a peak-to-peak drive voltage of 178 mV. Opt. Express 2019, 27, 16823–16832. [Google Scholar] [CrossRef]
- Lee, J.-A.; Kim, W.T.; Jazbinsek, M.; Kim, D.; Lee, S.-H.; Yu, I.C.; Yoon, W.; Yun, H.; Rotermund, F.; Kwon, O.P. X-Shaped Alignment of Chromophores: Potential Alternative for Efficient Organic Terahertz Generators. Adv. Opt. Mater. 2020, 8, 1901921. [Google Scholar] [CrossRef]
- Jin, M.; Zhu, Z.-C.; Liao, Q.-Y.; Li, Q.-Q.; Li, Z. Dendronized Polymers with High FTC-chromophore Loading Density: Large Second-order Nonlinear Optical Effects, Good Temporal and Thermal Stability. Chin. J. Polym. Sci. 2020, 38, 118–125. [Google Scholar] [CrossRef]
- Liu, F.; Yang, Y.; Wang, H.; Liu, J.; Hu, C.; Huo, F.; Bo, S.; Zhen, Z.; Liu, X.; Qiu, L. Comparative studies on structure-nonlinearity relationships in a series of novel second-order nonlinear optical chromophores with different aromatic amine donors. Dyes Pigments 2015, 120, 347–356. [Google Scholar] [CrossRef]
- Jin, W.; Johnston, P.V.; Elder, D.L.; Manner, K.T.; Garrett, K.E.; Kaminsky, W.; Xu, R.; Robinson, B.H.; Dalton, L.R. Structure-function relationship exploration for enhanced thermal stability and electro-optic activity in monolithic organic NLO chromophores. J. Mater. Chem. C 2016, 4, 3119–3124. [Google Scholar] [CrossRef]
- Johnson, L.E.; Dalton, L.R.; Robinson, B.H. Optimizing Calculations of Electronic Excitations and Relative Hyperpolarizabilities of Electrooptic Chromophores. Acc. Chem. Res. 2014, 47, 3258–3265. [Google Scholar] [CrossRef] [PubMed]
- Yang, M.; Peng, M.; Li, Z.; Wang, Z.; Liu, F.; Liu, W.; Liao, J.; Luo, T.; Wang, J. Design and synthesis of Phenylaminothiophene donor-based chromophore with enhanced electro-optic activity. Dyes. Pigments. 2021, 192, 109423. [Google Scholar] [CrossRef]
- Liu, F.; Mo, S.; Zhai, Z.; Peng, M.; Wu, S.; Li, C.; Yu, C.; Liu, J. Synthesis of nonlinear optical chromophores with isophorone-derived bridges for enhanced thermal stability and electro-optic activity. J. Mater. Chem. C 2020, 8, 9226–9235. [Google Scholar] [CrossRef]
- Hammond, S.R.; Clot, O.; Firestone, K.A.; Bale, D.H.; Lao, D.; Haller, M.; Phelan, G.D.; Carlson, B.; Jen, A.K.Y.; Reid, P.J.; et al. Site-isolated electro-optic chromophores based on substituted 2,2 ′-bis(3,4-propylenedioxythiophene) pi-conjugated bridges. Chem. Mater. 2008, 20, 3425–3434. [Google Scholar] [CrossRef]
- Luo, J.; Huang, S.; Cheng, Y.-J.; Kim, T.-D.; Shi, Z.; Zhou, X.-H.; Jen, A.K.Y. Phenyltetraene-based nonlinear optical chromophores with enhanced chemical stability and electrooptic activity. Org. Lett. 2007, 9, 4471–4474. [Google Scholar] [CrossRef] [PubMed]
- Sun, H.; Li, Z.a.; Wu, J.; Jiang, Z.; Luo, J.; Jen, A.K.Y. Design, synthesis, and properties of nonlinear optical chromophores based on a verbenone bridge with a novel dendritic acceptor. J. Mater. Chem. C 2018, 6, 2840–2847. [Google Scholar] [CrossRef]
- Jang, S.-H.; Luo, J.; Tucker, N.M.; Leclercq, A.; Zojer, E.; Haller, M.A.; Kim, T.-D.; Kang, J.-W.; Firestone, K.; Bale, D.; et al. Pyrroline chromophores for electro-optics. Chem. Mater. 2006, 18, 2982–2988. [Google Scholar] [CrossRef]
- He, M.Q.; Leslie, T.M.; Sinicropi, J.A. alpha-Hydroxy ketone precursors leading to a novel class of electro-optic acceptors. Chem. Mater. 2002, 14, 2393–2400. [Google Scholar] [CrossRef]
- Wu, J.; Li, Z.a.; Luo, J.; Jen, A.K.Y. High-performance organic second- and third-order nonlinear optical materials for ultrafast information processing. J. Mater. Chem. C 2020, 8, 15009–15026. [Google Scholar] [CrossRef]
- Chen, P.; Zhang, H.; Han, M.; Cheng, Z.; Peng, Q.; Li, Q.; Li, Z. Janus molecules: Large second-order nonlinear optical performance, good temporal stability, excellent thermal stability and spherical structure with optimized dendrimer structure. Mater. Chem. Front. 2018, 2, 1374–1382. [Google Scholar] [CrossRef]
- Tang, R.; Li, Z. Second-Order Nonlinear Optical Dendrimers and Dendronized Hyperbranched Polymers. Chem. Rec. 2017, 17, 71–89. [Google Scholar] [CrossRef] [PubMed]
- Xu, H.; Liu, J.; Liu, J.; Yu, C.; Zhai, Z.; Qina, G.; Liu, F. Self-assembled binary multichromophore dendrimers with enhanced electro-optic coefficients and alignment stability. Mater. Chem. Front. 2020, 4, 168–175. [Google Scholar] [CrossRef]
- Li, Z.-a.; Li, Z. Recent Advances in Second Order Nonlinear Optical Polymers with Dendritic Structure. Acta Polym. Sin. 2017, 2, 155–177. [Google Scholar] [CrossRef]
- Yang, H.; Tang, R.; Wu, W.; Liu, W.; Guo, Q.; Liu, Y.; Xu, S.; Cao, S.; Li, Z. A series of dendronized hyperbranched polymers with dendritic chromophore moieties in the periphery: Convenient synthesis and large nonlinear optical effects. Polym. Chem. 2016, 7, 4016–4024. [Google Scholar] [CrossRef]
- Zang, X.; Liu, G.; Li, Q.; Li, Z.A.; Li, Z. A Correlation Study between Dendritic Structure and Macroscopic Nonlinearity for Second-Order Nonlinear Optical Materials. Macromolecules 2020, 53, 4012–4021. [Google Scholar] [CrossRef]
- Cheng, Y.-J.; Luo, J.; Huang, S.; Zhou, X.; Shi, Z.; Kim, T.-D.; Bale, D.H.; Takahashi, S.; Yick, A.; Polishak, B.M.; et al. Donor-acceptor thiolated polyenic chromophores exhibiting large optical nonlinearity and excellent photostability. Chem. Mater. 2008, 20, 5047–5054. [Google Scholar] [CrossRef]
- Liu, F.; Yu, C.; Qin, G.; Peng, M.; Wang, Z.; Li, Z.; Wu, S.; Li, C.; Zhang, M. Enhanced thermal stability and electro-optic activity from fluorene-based nonlinear optical chromophores. Dyes Pigments 2020, 183, 108751. [Google Scholar] [CrossRef]
- Zhang, D.; Zou, J.; Wang, W.; Yu, Q.; Deng, G.; Wu, J.; Li, Z.-A.; Luo, J. Systematic study of the structure-property relationship of a series of near-infrared absorbing push-pull heptamethine chromophores for electro-optics. Sci. China-Chem. 2021, 64, 263–273. [Google Scholar] [CrossRef]
- Yang, Y.; Wang, H.; Liu, F.; Yang, D.; Bo, S.; Qiu, L.; Zhen, Z.; Liu, X. The synthesis of new double-donor chromophores with excellent electro-optic activity by introducing modified bridges. Phys. Chem. Chem. Phys. 2015, 17, 5776–5784. [Google Scholar] [CrossRef]
- Zhang, H.; Yang, Y.; Xiao, H.; Liu, F.; Huo, F.; Chen, L.; Chen, Z.; Bo, S.; Qiu, L.; Zhen, Z. Enhancement of electro-optic properties of bis(N,N-diethyl)aniline based second order nonlinear chromophores by introducing a stronger electron acceptor and modifying the π-bridge. J. Mater. Chem. C 2017, 5, 6704–6712. [Google Scholar] [CrossRef]
- Yang, Y.; Xiao, H.; Wang, H.; Liu, F.; Bo, S.; Liu, J.; Qiu, L.; Zhen, Z.; Liu, X. Synthesis and optical nonlinear properties of novel Y-shaped chromophores with excellent electro-optic activity. J. Mater. Chem. C 2015, 3, 11423–11431. [Google Scholar] [CrossRef]
- Liu, F.; Zeng, Z.; Rahman, A.; Chen, X.; Liang, Z.; Huang, X.; Zhang, S.; Xu, H.; Wang, J. Design and synthesis of organic optical nonlinear multichromophore dendrimers based on double-donor structures. Mater. Chem. Front. 2021, 5, 8341–8351. [Google Scholar] [CrossRef]
- Wu, J.; Wang, W.; Chen, K.; Luo, J. The synthesis of second-order nonlinear optical chromophores with conjugated steric hindrance for electro-optics at 850 nm. J. Mater. Chem. C 2020, 8, 5494–5500. [Google Scholar] [CrossRef]
- Xu, H.; Yang, D.; Liu, F.; Fu, M.; Bo, S.; Liu, X.; Cao, Y. Nonlinear optical chromophores based on Dewar’s rules: Enhancement of electro-optic activity by introducing heteroatoms into the donor or bridge. Phys. Chem. Chem. Phys. 2015, 17, 29679–29688. [Google Scholar] [CrossRef]
- Zhang, C.; Dalton, L.R.; Oh, M.C.; Zhang, H.; Steier, W.H. Low V-pi electrooptic modulators from CLD-1: Chromophore design and synthesis, material processing, and characterization. Chem. Mater. 2001, 13, 3043–3050. [Google Scholar] [CrossRef]
- Zhang, X.; Aoki, I.; Piao, X.; Inoue, S.; Tazawa, H.; Yokoyama, S.; Otomo, A. Effect of modified donor units on molecular hyperpolarizability of thienyl-vinylene nonlinear optical chromophores. Tetrahedron Lett. 2010, 51, 5873–5876. [Google Scholar] [CrossRef]
- Liu, F.; Wang, H.; Yang, Y.; Xu, H.; Zhang, M.; Zhang, A.; Bo, S.; Zhen, Z.; Liu, X.; Qiu, L. Nonlinear optical chromophores containing a novel pyrrole-based bridge: Optimization of electro-optic activity and thermal stability by modifying the bridge. J. Mater. Chem. C 2014, 2, 7785–7795. [Google Scholar] [CrossRef]
- Liu, F.; Chen, S.; Mo, S.; Qin, G.; Yu, C.; Zhang, W.; Shi, W.-J.; Chen, P.; Xu, H.; Fu, M. Synthesis of novel nonlinear optical chromophores with enhanced electro-optic activity by introducing suitable isolation groups into the donor and bridge. J. Mater. Chem. C 2019, 7, 8019–8028. [Google Scholar] [CrossRef]
- He, M.Q.; Leslie, T.M.; Sinicropi, J.A.; Garner, S.M.; Reed, L.D. Synthesis of chromophores with extremely high electro-optic activities. 2. Isophorone- and combined isophorone-thiophene-based chromophores. Chem. Mater. 2002, 14, 4669–4675. [Google Scholar] [CrossRef]
- He, M.Q.; Leslie, T.M.; Sinicropi, J.A. Synthesis of chromophores with extremely high electro-optic activity. 1. Thiophene-bridge-based chromophores. Chem. Mater. 2002, 14, 4662–4668. [Google Scholar] [CrossRef]
- Zhang, C.; Wang, C.G.; Yang, J.L.; Dalton, L.R.; Sun, G.L.; Zhang, H.; Steier, W.H. Electric poling and relaxation of thermoset polyurethane second-order nonlinear optical materials: Role of cross-linking and monomer rigidity. Macromolecules 2001, 34, 235–243. [Google Scholar] [CrossRef]
- Liu, F.; Zhang, H.; Xiao, H.; Xu, H.; Bo, S.; Qiu, L.; Zhen, Z.; Lai, L.; Chen, S.; Wang, J. Structure-function relationship exploration for enhanced electro-optic activity in isophorone-based organic NLO chromophores. Dyes and Pigments 2018, 157, 55–63. [Google Scholar] [CrossRef]
- Zych, D.; Slodek, A. Sensitizers for DSSC containing triazole motif with acceptor/donor substituents - Correlation between theoretical and experimental data in prediction of consistent photophysical parameters. J. Mol. Struct. 2020, 1207, 127771. [Google Scholar] [CrossRef]
- Zych, D.; Slodek, A.; Frankowska, A. Is it worthwhile to deal with 1,3-disubstituted pyrene derivatives? - Photophysical, optical and theoretical study of substitution position effect of pyrenes containing tetrazole groups. Comput. Mater. Sci. 2019, 165, 101–113. [Google Scholar] [CrossRef]
- Park, D.H.; Lee, C.H.; Herman, W.N. Analysis of multiple reflection effects in reflective measurements of electro-optic coefficients of poled polymers in multilayer structures. Opt. Express 2006, 14, 8866–8884. [Google Scholar] [CrossRef]
Publisher’s Note: MDPI stays neutral with regard to jurisdictional claims in published maps and institutional affiliations. |
© 2022 by the authors. Licensee MDPI, Basel, Switzerland. This article is an open access article distributed under the terms and conditions of the Creative Commons Attribution (CC BY) license (https://creativecommons.org/licenses/by/4.0/).











