Abstract
The Bayesian interval estimation of the scale parameter for two-parameter exponential distribution is proposed based on the right type II censored sample. Under this type of censoring, two methods of Bayesian joint confidence region of the two parameters are also proposed. The simulation results show that the Bayesian method has a higher coverage probability than the existing method, so the Bayesian method is recommended for use. This research is related to the topic of asymmetrical probability distributions and applications across disciplines. The predictive interval of the future observation based on the right type II censored sample is also provided. One biometrical example is given to illustrate the proposed methods for the Bayesian interval estimations and prediction interval.
1. Introduction
Exponential distribution is widely used for modeling lifetime data. Please see Johnson and Kotz [1], Bain [2], Lawless and Singhal [3] and Zelen [4] for many applications of this distribution in the experiments of life test. In the experiments of life test, n units of an item are placed on the life test. In some cases, the experimenter can only observe the censored failure times of products. The right type II censoring scheme is one type of frequently occurring censoring schemes. This censoring scheme terminates the experiment at the time of the m-th () failure time of the unit observed instead of all failure times of n units being observed. Then the remaining s = n − m units of the item are removed and censored. Many authors, such as Mann et al. [5], Lawless [6] and Meeker and Escobar [7], have studied the estimation under type II censoring with different failure time distributions. Wu [8] proposed the interval estimation for the two-parameter exponential distribution based on the doubly type II censored sample. Wu [9] proposed the interval estimation for the Pareto distribution based on the doubly type II censored sample. Al-Moisheer et al. [10] investigated the properties and estimation for the mixture of two one-parameter Lindley distributions. Aslam et al. [11] developed the Bayesian estimation and application in reliability for a two-component mixture of transmuted Frechet distributions. Younis et al. [12] derived the new LD model with minimum posterior risk for the selection of priors for the type II hybrid censoring method. Wang et al. [13] proposed Bayesian infinite mixture models for wind speed distribution estimation. Aslam et al. [14] conducted a study on exponentiated Gompertz distribution under Bayesian discipline with informative priors. Heidari et al. [15] proposed the E-Bayesian and hierarchical Bayesian estimation for the parameter of Rayleigh distribution under type II censoring. Prakash [16] investigated the Bayesian prediction on optimum SS-PALT in a generalized inverted exponential distribution under a two-sample approach. Jana and Bera [17] proposed the interval estimation of multicomponent stress–strength reliability for the inverse Weibull distribution. Tripathi [18] discussed whether the types of lower and upper records affect the maximum likelihood estimates of the parameters for inverse Rayleigh and exponential distributions. Our study in this research is focusing on exponential distribution which is an asymmetric probability distribution. There are some numerical characteristics of the two-parameter exponential distribution related to these two parameters. Using a similar Bayesian approach in Wu and Chang [19], we propose the Bayesian joint confidence region for the two parameters of the two-parameter exponential distribution under right type II censoring. The Bayesian confidence interval of the scale parameter is also proposed in this paper. In addition to the estimation of two parameters, the Bayesian predictive intervals of the future observation based on the right type II censored sample is also derived. In Section 3, we conducted a simulation study to compare the coverage probabilities of the proposed methods and the existing methods in Wu [8]. Our proposed interval estimation is related to the applications accross disciplines for the asymmetric exponentail distribution. One biometrical example is also given to illustrate the proposed methods in Section 4. Finally, the conclusion is made in Section 5.
2. Interval Estimation of Two Parameters
First, we build the interval estimation for the parameters of the two-parameter exponential distribution. Let a random variable X have such distribution with scale parameter and location parameter . The probability density function (p.d.f.) of X is given by
The cumulative distribution function is given by .
Let be a right type II censored sample from a two-parameter exponential distribution. For simplicity, we used the notation to represent . The likelihood function based on the observed data is (See Balakrishnan and Aggarwala [20])
The maximum likelihood estimators (MLEs) of and are and .
After the transformations of is a right type II censored sample from one-parameter exponential distribution Exp().
Consider the generalized spacings of , , …, . Balakrishnan and Aggarwala [20] showed that the generalized spacings are all independent and identically distributed from Exp(). Then the joint p.d.f. of is
The Bayesian approach provides the methodology incorporating previous information with the current data, and is considered to be a random variable having some specified distribution (prior distribution). Similar to the Bayesian approach in Wu and Chang [19], let the random variable and assume that is having a gamma prior distribution denoted as . Then the p.d.f. of is given by .
Then the posterior probability density function (p.d.f.) of is
Then the posterior p.d.f. of has a gamma distribution denoted as gamma(n − s + a, ).
The posterior mean of is (n − s + a).
Following the change of variables given at pp. 184–185 of Casella and Berger [21], we let and .
Then
That is, .
Hence, the following two pivotal quantities and are independent and have chi-square distributions with 2 and degrees of freedom, respectively. Furthermore, the other two pivotal quantities
and
are independent, and and . The distributions of all pivotal quantities are independent of parameters.
Making use of the pivotal quantity , we can construct the confidence interval for the scale parameter as follows:
Theorem 1.
Let be the right type II ordered sample from a two-parameter exponential distribution with parameters and . Then the ()100% Bayesian confidence intervals of the scale parameter is given by
where is the right-tailed percentile for the chi-squared distribution with degrees of freedom.
Proof 1.
Since the pivotal quantity
then we have
The proof is thus obtained. □
Making use of the first set of pivotal quantities and , we can construct the Bayesian confidence region of two parameters, where , in the following theorem, and it is called Method 1.
Theorem 2.
Let be the right type II ordered sample from a two-parameter exponential distribution with parameters and . Then the ()100% Bayesian joint confidence region of two parameters and is given by
where and are the right-tailed and percentile for the chi-squared distribution with degrees of freedom.
Proof 2.
Since the first set of pivotal quantities and are independent and and , then we have
The proof is thus obtained. □
The area for the confidence region in Method 1 denoted by Area1 is obtained as follows:
Making use of the second set of pivotal quantities and , we can construct the Bayesian confidence region of two parameters in the following theorem, and it is called Method 2.
Theorem 3.
Let be the right type II ordered sample from a two-parameter exponential distribution with parameters and . Then the ()100% Bayesian joint confidence region of two parameters and is given by
where and are the right-tailed and percentile for F distribution with 2 and 2() degrees of freedom; and are the right-tailed and percentile for the chi-squared distribution with degrees of freedom.
Proof 3.
Since the second set of pivotal quantities and are independent and and , then we have
The proof is thus obtained. □
The area for the confidence region in Method 2 denoted by Area2 is obtained as follows:
where ,
Secondly, we are going to build the prediction interval for the future observation based on the right type II censored sample.
Based on the fact that has a chi-square distribution with 2 degrees of freedom and has a chi-square distribution with 2() degrees of freedom. Furthermore, they are independent. Therefore, the statistic
follows an F distribution with 2 and 2() degrees of freedom and this statistic is utilized to build the Bayesian predictions for in the following theorem.
Theorem 4.
Let be an right type II censored sample from a two-parameter exponential distribution with parameters and. Then the ()100% Bayesian prediction interval for the future observation is given by
Proof 4.
Utilizing the statistic , we have
The proof is thus obtained. □
3. Simulation Study
In this section, we use the Monte-Carlo method to simulate the coverage probabilities for the Bayesian confidence interval for proposed in Theorem 1 under a = b = 1 and a = b = 2 and the non-Bayesian confidence interval proposed in Wu [8]. We also simulate the coverage probabilities for the Bayesian confidence region for two parameters proposed in Theorems 2 and 3 under a = b = 1 and a = b = 2 and the non-Bayesian confidence region proposed in Wu [8]. The software we use for the simulation study is R software. The simulation algorithm is described in the following steps:
Step 1: Give the initial values of = 0.90, 0.95, n = 20, 50, s = 3, = 0, = 1, ci1 = 0, ciw1 = 0, cr1 = 0, crw1 = 0, cr2 = 0, crw2 = 0, the number of replication = 100,000.
Step 2: Generate a random sample of size n from exp(0,1) distribution.
Step 3: If the value of is within the confidence interval proposed in Theorem 1, ci1 = ci1 + 1/run. If the value of is within the confidence interval rpoposed in Wu [8], ciw1 = ciw1 + 1/run. If the values of (,) fall into the Bayesian confidence region proposed in Theorems 2 and 3, we have cr1 = cr1 + 1/run and cr2 = cr2 + 1/run, respectively. If the values of (,) fall into the non-Bayesian confidence region proposed in Wu [8], we have crw1 = crw1 + 1/run and crw2 = crw2 + 1/run, respectively.
Step 4: Output ci1 as the coverage probabilities for Bayesian confidence interval. Output ciw1 as the coverage probabilities for non-Bayesian confidence interval. Output cr1 and cr2 as the coverage probabilities for Bayesian confidence regions based on Method 1 and Method 2. Output crw1 and crw2 as the coverage probabilities for non-Bayesian confidence regions.
The coverage probabilities are listed in Table 1.
Table 1.
Coverage probabilities for confidence interval and confidence region.
Table 1 shows that the Bayesian methods always have higher coverage probabilities than the one for non-Bayesian methods. We suggest users use Bayesian interval estimation instead of the non-Bayesian interval estimation. For the confidence region, the Bayesian method called Method 1 has a higher coverage probability than Method 2. For Method 1, the parameter (a,b) = (2,2) has a higher coverage probability than (a,b) = (1,1). Therefore, we recommend the users use Method 1 under (a,b) = (2,2) to construct the confidence region for two parameters based on the right type II censored sample.
4. A Biometrical Example
An example of the duration of remission of 20 leukemia patients treated by Drug one (see Wu [22]) is used to demonstrate the proposed methods in Theorems 1–4. In Figure 1a,b, we have plotted the histogram and the empirical cumulative distribution function (ECDF) for this data. We use the Kolmogorov–Smirnov test (KS test) to test the fitness of the exponential distribution. The p-value of the KS test is 0.8245 > 0.05 and the result indicates that the data fits exponential distribution very well.
Figure 1.
(a) The histogram for the data. (b) The ecdf for the data.
Considering the case of (n,s) = (20,3) under a = 2 and b = 2, the right type II censored sample is given by = (1.013, 1.034, 1.109, 1.169, 1.266, 1.509, 1.533, 1.563, 1.716, 1.929, 1.965, 2.061, 2.344, 2.546, 2.626, 2.778, 2.951) (in years). By Theorem 1, the 95% confidence interval for θ is obtained as (0.8507403,2.170616) with confidence length 1.319875. By Theorem 2, the 95% joint confidence region for θ and is given by
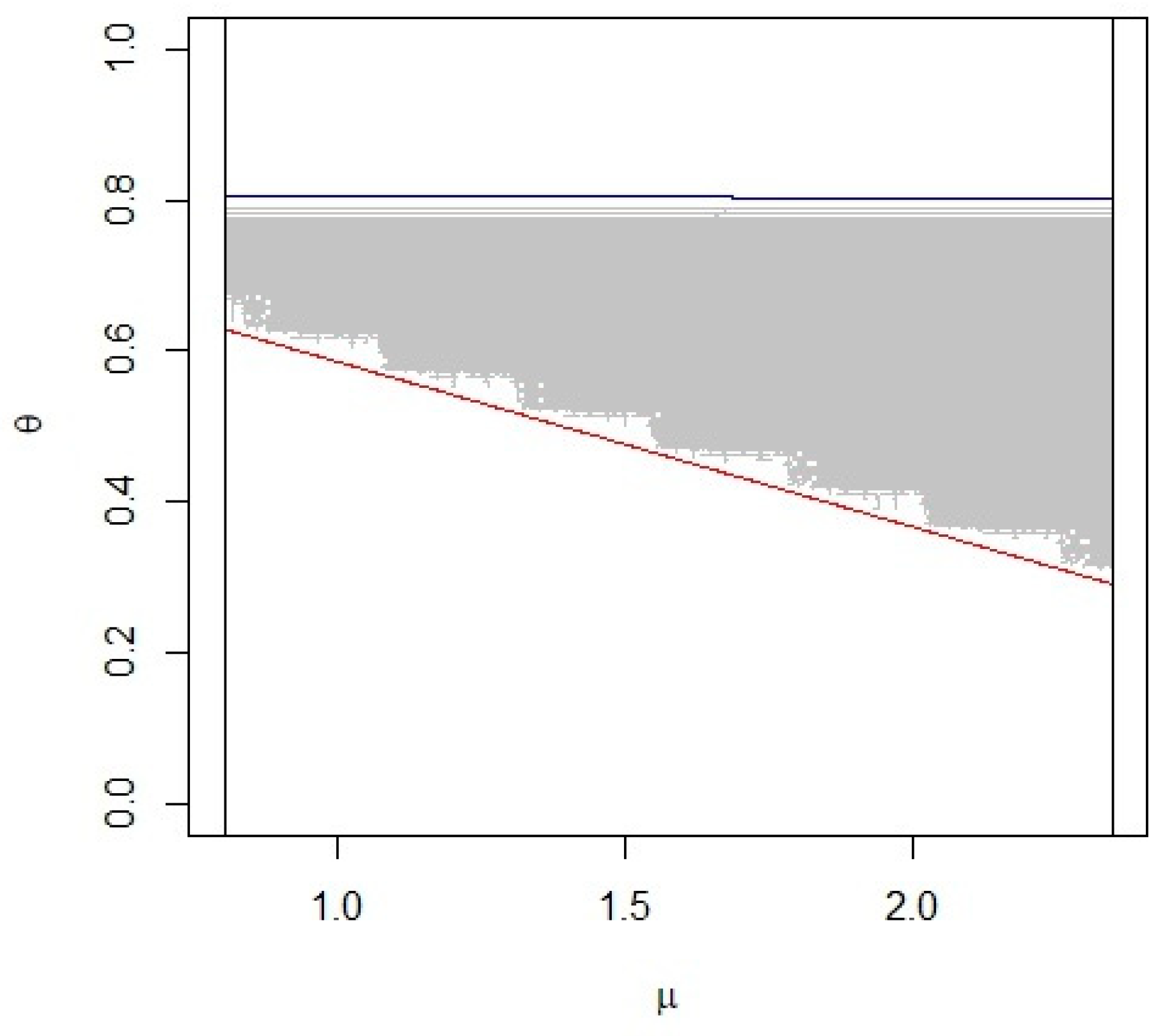
with area 0.5293455 and the graph of the confidence region is given in Figure 2.
Figure 2.
The confidence region using Method 1.
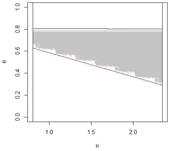
By Theorem 3, the 95% joint confidence region for θ and is given by
with area 0.1018587 and the graph of the confidence region is given in Figure 3.
Figure 3.
The confidence region using Method 2.
Even though Method 2 has a smaller area than Method 1 in this example, we still recommend the users to use Method 1 since it has a higher coverage probability.
By Theorem 4, the predictive interval for is obtained as (2.961864,4.7066).
5. Conclusions
This paper proposed the Bayesian confidence interval for the scale parameter θ and two methods for obtaining the Bayesian confidence region of θ and for the two-parameter exponential distribution under right type II censoring. The Bayesian predictive intervals of the future observation is also proposed in this paper. Based on the simulation results, we recommend users use Bayesian interval estimation rather than the non-Bayesian one. Method 1 under (a,b) = (2,2) is highly recommended to construct the Bayesian confidence region for two parameters based on the right type II censored sample.
Funding
This research was funded by [Ministry of Science and Technology, Taiwan] MOST 108-2118-M-032-001-and MOST 109-2118-M-032-001-MY2, and the APC was funded by MOST 109-2118-M-032-001-MY2.
Institutional Review Board Statement
Not applicable.
Informed Consent Statement
Not applicable.
Data Availability Statement
Data available in a publicly accessible repository. The data presented in this study are openly available in Wu [22].
Conflicts of Interest
The author declares no conflict of interest.
References
- Johnson, L.N.; Kotz, S.; Balakrishan, N. Continuous Univariate Distributions, 2nd ed.; Wiley: New York, NY, USA, 1994; Volume 1. [Google Scholar]
- Bain, L.J. Statistical Analysis of Reliability and Life Testing Models; Marcer Dekker: New York, NY, USA, 1978. [Google Scholar]
- Lawless, J.F.; Singhal, K. Analysis of data from life test experiments under an exponential model. Nav. Res. Logist. Q. 1980, 27, 323–334. [Google Scholar] [CrossRef]
- Zelen, M. Application of exponential models to problems in cancer research. J. R. Stat. Soc. Ser. A 1996, 129, 368–398. [Google Scholar] [CrossRef]
- Mann, N.R.; Schafer, R.E.; Singpurwalla, N.D. Methods for Statistical Analysis of Reliability and Life Data; Wiley: New York, NY, USA, 1974. [Google Scholar]
- Lawless, J.F. Statistical Models and Methods for Lifetime Data; Wiley: New York, NY, USA, 1982. [Google Scholar]
- Meeker, W.Q.; Escobar, L.A. Statistical Methods for Reliability Data; Wiley: New York, NY, USA, 1998. [Google Scholar]
- Wu, S.F. Interval estimation for the two-parameter exponential distribution based on the doubly type II censored sample. Qual. Quant. 2007, 41, 489–496. [Google Scholar] [CrossRef]
- Wu, S.F. Interval Estimation for the Pareto distribution based on the Doubly Type II Censored Sample. Comput. Stat. Data Analysis 2008, 52, 3779–3788. [Google Scholar] [CrossRef]
- Al-Moisheer, A.S.; Daghestani, A.F.; Sultan, K.S. Mixture of Two One-Parameter Lindley Distributions: Properties and Estimation. J. Stat. Theory Pract. 2021, 15, 1–21. [Google Scholar] [CrossRef]
- Aslam, M.; Yousaf, R.; Ali, S. Two-Component Mixture of Transmuted Frechet Distribution: Bayesian Estimation and Application in Reliability. Proc. Natl. Acad. Sci. India Sect. A Phys. Sci. 2021, 91, 309–336. [Google Scholar] [CrossRef]
- Younis, F.; Aslam, M.; Bhatti, M.I. Preference of Prior for Two-Component Mixture of Lomax Distribution. J. Stat. Theory Appl. 2021, 20, 407–427. [Google Scholar] [CrossRef]
- Wang, Y.; Li, Y.; Zou, R.; Song, D. Bayesian infinite mixture models for wind speed distribution estimation. Energy Convers. Manag. 2021, 236, 113946. [Google Scholar] [CrossRef]
- Aslam, M.; Afzaal, M.; Bhatti, M.I. A study on exponentiated Gompertz distribution under Bayesian discipline using informative priors. Stat. Transit. New Ser. 2021, 22, 101–119. [Google Scholar] [CrossRef]
- Heidari, K.F.; Deiri, E.; Jamkhaneh, E.B. E-Bayesian and Hierarchical Bayesian Estimation of Rayleigh Distribution Parameter with Type-II Censoring from Imprecise Data. J. Indian Soc. Probab. Stat. 2022, 1–14. [Google Scholar] [CrossRef]
- Prakash, G. Bayes Prediction on Optimum SS-PALT in Generalized Inverted Exponential Distribution: A Two-Sample Approach. Austrian J. Stat. 2022, 51, 1–15. [Google Scholar] [CrossRef]
- Jana, N.; Bera, S. Interval estimation of multicomponent stress–strength reliability based on inverse Weibull distribution. Math. Comput. Simul. 2022, 191, 95–119. [Google Scholar] [CrossRef]
- Tripathi, A.; Singh, U.; Singh, S.K. Does the Type of Records Affect the Estimates of the Parameters? J. Mod. Appl. Stat. Methods 2022, 19, 2863. [Google Scholar] [CrossRef]
- Wu, S.F.; Chang, W.T. Bayesian testing procedure on the lifetime performance index of products following Chen lifetime distribution based on the progressive type-II censored sample. Symmetry 2021, 13, 1322. [Google Scholar] [CrossRef]
- Balakrishnan, N.; Aggarwala, R. Progressive Censoring: Theory, Methods, and Applications; Birkhäuser: Boston, MA, USA, 2000. [Google Scholar]
- Casella, G.; Berger, R.L. Statistical Inference, 2nd ed.; Duxbury Press: Pacific Grove, CA, USA, 2002. [Google Scholar]
- Wu, S.F. One stage multiple comparisons with the control for exponential mean lifetimes based on doubly censored samples under heteroscedasticity. Commun. Stat. Simul. Comput. 2021, 50, 1473–1483. [Google Scholar] [CrossRef]
Publisher’s Note: MDPI stays neutral with regard to jurisdictional claims in published maps and institutional affiliations. |
© 2022 by the author. Licensee MDPI, Basel, Switzerland. This article is an open access article distributed under the terms and conditions of the Creative Commons Attribution (CC BY) license (https://creativecommons.org/licenses/by/4.0/).


