Decoherence Effects in a Three-Level System under Gaussian Process
Abstract
1. Introduction
2. Model and Dynamics
2.1. Impact of Local Gaussian Noises
2.2. Coherence Measures
3. Main Results
3.1. The Noiseless Classical Field
3.2. A Classical Field with Gaussian Noises
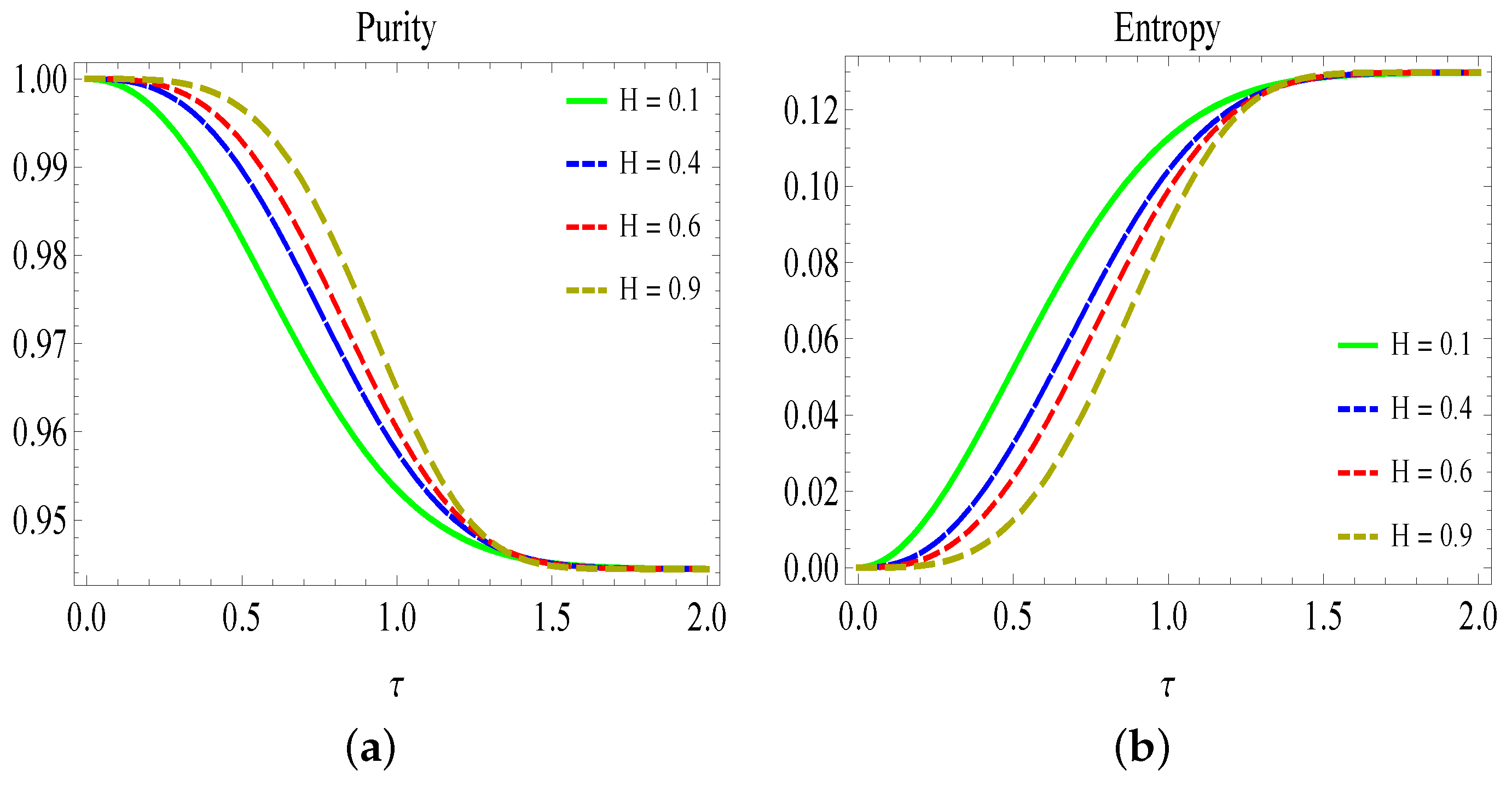
3.2.1. A Classical Field with
3.2.2. A Classical Field with
3.2.3. A Classical Field with
3.2.4. A Classical Field with
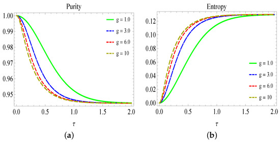
3.3. Relative Dynamics
4. Conclusions
Author Contributions
Funding
Data Availability Statement
Acknowledgments
Conflicts of Interest
References
- Blais, A.; Girvin, S.M.; Oliver, W.D. Quantum information processing and quantum optics with circuit quantum electrodynamics. Nat. Phys. 2020, 16, 247–256. [Google Scholar] [CrossRef]
- Paesani, S.; Borghi, M.; Signorini, S.; Maïnos, A.; Pavesi, L.; Laing, A. Near-ideal spontaneous photon sources in silicon quantum photonics. Nat. Commun. 2020, 11, 2505. [Google Scholar] [CrossRef] [PubMed]
- Bennett, C.H.; DiVincenzo, D.P. Quantum information and computation. Nature 2000, 404, 247–255. [Google Scholar] [CrossRef] [PubMed]
- Sakajo, T.; Yokoyama, T. Discrete representations of orbit structures of flows for topological data analysis. Discret. Math. Algorithms Appl. 2022, 2250143. [Google Scholar] [CrossRef]
- Hirota, O.; Sohma, M.; Fuse, M.; Kato, K. Quantum stream cipher by the Yuen 2000 protocol: Design and experiment by an intensity-modulation scheme. Phys. Rev. A 2005, 72, 022335. [Google Scholar] [CrossRef]
- Gao, X.; Anschuetz, E.R.; Wang, S.T.; Cirac, J.I.; Lukin, M.D. Enhancing generative models via quantum correlations. Phys. Rev. X 2022, 12, 021037. [Google Scholar] [CrossRef]
- Di Vincenzo, D.P.; Loss, D. Quantum computers and quantum coherence. J. Magn. Magn. Mater. 1999, 200, 202–218. [Google Scholar] [CrossRef]
- Napoli, C.; Bromley, T.R.; Cianciaruso, M.; Piani, M.; Johnston, N.; Adesso, G. Robustness of coherence: An operational and observable measure of quantum coherence. Phys. Rev. Lett. 2016, 116, 150502. [Google Scholar] [CrossRef]
- Mansour, M.; Dahbi, Z. Entanglement of bipartite partly non-orthogonal-spin coherent states. Laser Phys. 2020, 30, 085201. [Google Scholar] [CrossRef]
- Mansour, M.; Dahbi, Z.; Essakhi, M.; Salah, A. Quantum correlations through spin coherent states. Int. J. Theor. Phys. 2021, 60, 2156–2174. [Google Scholar] [CrossRef]
- Abd-Rabbou, M.Y.; Metwally, N.; Ahmed, M.M.A.; Obada, A.S. Decoherence and quantum steering of accelerated qubit–qutrit system. Quantum Inf. Process. 2022, 21, 363. [Google Scholar] [CrossRef]
- Hu, M.L.; Hu, X.; Wang, J.; Peng, Y.; Zhang, Y.R.; Fan, H. Quantum coherence and geometric quantum discord. Phys. Rep. 2018, 762, 1–100. [Google Scholar] [CrossRef]
- Wang, X.L.; Yue, Q.L.; Yu, C.H.; Gao, F.; Qin, S.J. Relating quantum coherence and correlations with entropy-based measures. Sci. Rep. 2017, 7, 12122. [Google Scholar] [CrossRef] [PubMed]
- Bloch, I. Quantum coherence and entanglement with ultracold atoms in optical lattices. Nature 2008, 453, 1016–1022. [Google Scholar] [CrossRef] [PubMed]
- Zurek, W.H. Preferred states, predictability, classicality and the environment-induced decoherence. Prog. Theor. Phys. 1993, 89, 281–312. [Google Scholar] [CrossRef]
- Rahman, A.U.; Javed, M.; Ji, Z.; Ullah, A. Probing multipartite entanglement, coherence and quantum information preservation under classical Ornstein-Uhlenbeck noise. J. Phys. A Math. Theor. 2021, 55, 025305. [Google Scholar] [CrossRef]
- Rahman, A.U.; Noman, M.; Javed, M.; Ullah, A.; Luo, M.X. Effects of classical fluctuating environments on decoherence and bipartite quantum correlations dynamics. Laser Phys. 2021, 31, 115202. [Google Scholar] [CrossRef]
- Rahman, A.U.; Ji, Z.X.; Zhang, H.G. Demonstration of entanglement and coherence in GHZ-like state when exposed to classical environments with power-law noise. Eur. Phys. J. Plus 2022, 137, 440. [Google Scholar] [CrossRef]
- Rahman, A.U.; Zidan, N. Quantum memory assisted entropic uncertainty and entanglement dynamics in classical dephasing channels. arXiv 2021, arXiv:2111.11312. [Google Scholar]
- Rahman, A.U.; Javed, M.; Kenfack, L.T.; Safi, S.K. Multipartite quantum correlations and coherence dynamics subjected to classical environments and fractional Gaussian noise. arXiv 2021, arXiv:2111.02220. [Google Scholar]
- Abd-Rabbou, M.Y.; Khan, S.; Shamirzaie, M. Quantum fisher information and quantum coherence of an entangled bipartite state interacting with a common classical environment in accelerating frames. Quantum Inf. Process. 2022, 21, 218. [Google Scholar] [CrossRef]
- Omri, M.; Abd-Rabbou, M.Y.; Khalil, E.M.; Abdel-Khalek, S. Thermal information and teleportation in two-qutrit Heisenberg XX chain model. Alex. Eng. J. 2022, 61, 8335–8342. [Google Scholar] [CrossRef]
- Abd-Rabbou, M.Y.; Ali, S.I.; Ahmed, M.M.A. Enhancing the information of nonlinear SU (1, 1) quantum systems interacting with a two-level atom. Opt. Quantum Electron. 2022, 548, 548. [Google Scholar] [CrossRef]
- Haddadi, S.; Ghominejad, M.; Akhound, A.; Pourkarimi, M.R. Entropic uncertainty relation and quantum coherence under Ising model with Dzyaloshinskii–Moriya interaction. Laser Phys. Lett. 2021, 18, 085204. [Google Scholar] [CrossRef]
- Rahman, A.U.; Haddadi, S.; Pourkarimi, M.R. Tripartite Quantum Correlations under Power-Law and Random Telegraph Noises: Collective Effects of Markovian and Non-Markovian Classical Fields. Ann. Der Phys. 2022, 534, 2100584. [Google Scholar] [CrossRef]
- Mallick, K.; Marcq, P. On the stochastic pendulum with Ornstein–Uhlenbeck noise. J. Phys. Math. Gen. 2004, 37, 4769. [Google Scholar] [CrossRef]
- Koutsoyiannis, D. The Hurst phenomenon and fractional Gaussian noise made easy. Hydrol. Sci. J. 2002, 47, 573–595. [Google Scholar] [CrossRef]
- Benedetti, C.; Paris, M.G. Characterization of classical Gaussian processes using quantum probes. Phys. Lett. A 2014, 378, 2495–2500. [Google Scholar] [CrossRef]
- Toth, G.; Apellaniz, I. Quantum metrology from a quantum information science perspective. J. Phys. A Math. Theor. 2014, 47, 424006. [Google Scholar] [CrossRef]
- Liu, J.; Yuan, H.; Lu, X.M.; Wang, X. Quantum Fisher information matrix and multiparameter estimation. J. Phys. A Math. Theor. 2019, 53, 023001. [Google Scholar] [CrossRef]
- Javed, M.; Khan, S.; Ullah, S.A. Characterization of classical static noise via qubit as probe. Quantum Inf. Process. 2018, 17, 53. [Google Scholar] [CrossRef]
- Kenfack, L.T.; Tchoffo, M.; Fai, L.C. Estimation of the disorder degree of the classical static noise using three entangled qubits as quantum probes. Phys. Lett. A 2019, 383, 1123–1131. [Google Scholar] [CrossRef]
- Lu, X.M.; Wang, X.; Sun, C.P. Quantum Fisher information flow and non-Markovian processes of open systems. Phys. Rev. A 2010, 82, 042103. [Google Scholar] [CrossRef]
- Li, N.; Luo, S. Entanglement detection via quantum Fisher information. Phys. Rev. A 2013, 88, 014301. [Google Scholar] [CrossRef]
- Streltsov, A.; Singh, U.; Dhar, H.S.; Bera, M.N.; Adesso, G. Measuring quantum coherence with entanglement. Phys. Rev. Lett. 2015, 115, 020403. [Google Scholar] [CrossRef]
- Hu, M.; Zhou, W. Enhancing two-qubit quantum coherence in a correlated dephasing channel. Laser Phys. Lett. 2019, 16, 045201. [Google Scholar] [CrossRef]
- Nirwan, R.S.; Bertschinger, N. Applications of Gaussian process latent variable models in finance. In Proceedings of the SAI Intelligent Systems Conference, London, UK, 5–6 September 2019; Springer: Cham, Switzerland, 2019; pp. 1209–1221. [Google Scholar]
- Lazaro-Gredilla, M.; Titsias, M.K. Variational heteroscedastic Gaussian process regression. In Proceedings of the ICML, Bellevue, WA, USA, 28 June–2 July 2011. [Google Scholar]
- Schwab, D. Efficacy of Gaussian Process Regression for Angles-Only Initial Orbit Determination. Master’s Thesis, Penn State University, State College, PA, USA, 2020. [Google Scholar]
- Sharifzadeh, M.; Sikinioti-Lock, A.; Shah, N. Machine-learning methods for integrated renewable power generation: A comparative study of artificial neural networks, support vector regression, and Gaussian Process Regression. Renew. Sustain. Energy Rev. 2019, 108, 513–538. [Google Scholar] [CrossRef]
- Ibrahim, S.K.; Ahmed, A.; Zeidan, M.A.E.; Ziedan, I.E. Machine learning methods for spacecraft telemetry mining. IEEE Trans. Aerosp. Electron. Syst. 2018, 55, 1816–1827. [Google Scholar] [CrossRef]
- Rodrigues, F.; Pereira, F.; Ribeiro, B. Gaussian process classification and active learning with multiple annotators. In Proceedings of the International Conference on Machine Learning, PMLR, Bejing, China, 22–24 June 2014; pp. 433–441. [Google Scholar]
- Taqqu, M.S.; Teverovsky, V.; Willinger, W. Estimators for long-range dependence: An empirical study. Fractals 1995, 3, 785–798. [Google Scholar] [CrossRef]
- Prasad, S.K.; Aghajarian, D.; McDermott, M.; Shah, D.; Mokbel, M.; Puri, S.; Wang, S. Parallel processing over spatial-temporal datasets from geo, bio, climate and social science communities: A research roadmap. In Proceedings of the 2017 IEEE International Congress on Big Data (BigData Congress), Honolulu, HI, USA, 25–30 June 2017; pp. 232–250. [Google Scholar]
- Pelletier, J.D.; Turcotte, D.L. Long-range persistence in climatological and hydrological time series: Analysis, modelling and application to drought hazard assessment. J. Hydrol. 1997, 203, 198–208. [Google Scholar] [CrossRef]
- Maxim, V.; Şendur, L.; Fadili, J.; Suckling, J.; Gould, R.; Howard, R.; Bullmore, E. Fractional Gaussian noise, functional MRI and Alzheimer’s disease. Neuroimage 2005, 25, 141–158. [Google Scholar] [CrossRef] [PubMed]
- Paxson, V. Fast, approximate synthesis of fractional Gaussian noise for generating self-similar network traffic. ACM SIGCOMM Comput. Commun. Rev. 1997, 27, 5–18. [Google Scholar] [CrossRef]
- De Moura, C.E.; Pizzinga, A.; Zubelli, J. A pairs trading strategy based on linear state space models and the Kalman filter. Quant. Financ. 2016, 16, 1559–1573. [Google Scholar] [CrossRef]
- Blekos, K.; Stefanatos, D.; Paspalakis, E. Performance of superadiabatic stimulated Raman adiabatic passage in the presence of dissipation and Ornstein-Uhlenbeck dephasing. Phys. Rev. A 2020, 102, 023715. [Google Scholar] [CrossRef]
- Koch, C.P.; Boscain, U.; Calarco, T.; Dirr, G.; Filipp, S.; Glaser, S.J.; Wilhelm, F.K. Quantum optimal control in quantum technologies. Strategic report on current status, visions and goals for research in Europe. EPJ Quantum Tech. 2022, 9, 19. [Google Scholar]
- Stefanatos, D.; Paspalakis, E. A shortcut tour of quantum control methods for modern quantum technologies. Europhys. Lett. 2021, 132, 60001. [Google Scholar] [CrossRef]
- Burgess, A.E.; Judy, P.F. Signal detection in power-law noise: Effect of spectrum exponents. J. Opt. Soc. Am. A 2007, 24, B52–B60. [Google Scholar] [CrossRef] [PubMed]
- Burgess, A.E.; Jacobson, F.L.; Judy, P.F. Human observer detection experiments with mammograms and power-law noise. Med. Phys. 2001, 28, 419–437. [Google Scholar] [CrossRef]
- Lam, C.H.; Sander, L.M. Surface growth with power-law noise. Phys. Rev. Lett. 1992, 69, 3338. [Google Scholar] [CrossRef]
- Molina-Garcia, D.; Sandev, T.; Safdari, H.; Pagnini, G.; Chechkin, A.; Metzler, R. Crossover from anomalous to normal diffusion: Truncated power-law noise correlations and applications to dynamics in lipid bilayers. New J. Phys. 2018, 20, 103027. [Google Scholar] [CrossRef]
- Abd-Rabbou, M.Y.; Metwally, N.; Ahmed, M.M.A.; Obada, A.S. Wigner function of noisy accelerated two-qubit system. Quantum Inf. Process. 2019, 18, 367. [Google Scholar] [CrossRef]
- Rossi, M.A.; Benedetti, C.; Paris, M.G. Engineering decoherence for two-qubit systems interacting with a classical environment. Int. J. Quantum Inf. 2014, 12, 1560003. [Google Scholar] [CrossRef]
- Masoomy, H.; Askari, B.; Najafi, M.N.; Movahed, S.M.S. Persistent homology of fractional Gaussian noise. Phys. Rev. E 2021, 104, 034116. [Google Scholar] [CrossRef] [PubMed]
- Ledesma, S.; Liu, D. Synthesis of fractional Gaussian noise using linear approximation for generating self-similar network traffic. ACM SIGCOMM Comput. Commun. Rev. 2000, 30, 4–17. [Google Scholar] [CrossRef]
- Luft, M.; Cioc, R.; Pietruszczak, D. Fractional calculus in modelling of measuring transducers. Elektron. Elektrotech. 2011, 110, 97–100. [Google Scholar] [CrossRef]
- Guo, X.; Liu, F.; Tian, X. Gaussian noise level estimation for color image denoising. JOSA A 2021, 38, 1150–1159. [Google Scholar] [CrossRef]
- Merhav, N.; Guo, D.; Shamai, S. Statistical physics of signal estimation in Gaussian noise: Theory and examples of phase transitions. IEEE Trans. Inf. Theory 2010, 56, 1400–1416. [Google Scholar] [CrossRef]
- Amar, J.G.; Family, F. Scaling of surface fluctuations and dynamics of surface growth models with power-law noise. J. Phys. A Math. Gen. 1991, 24, L79. [Google Scholar] [CrossRef]
- Kasdin, N.J. Discrete simulation of colored noise and stochastic processes and 1/f/sup/spl alpha//power law noise generation. Proc. IEEE 1995, 83, 802–827. [Google Scholar] [CrossRef]
- Zhao, M.J.; Ma, T.; Quan, Q.; Fan, H.; Pereira, R. l1-norm coherence of assistance. Phys. Rev. A 2019, 100, 012315. [Google Scholar] [CrossRef]
- Mazzola, L.; Piilo, J.; Maniscalco, S. Frozen discord in non-Markovian dephasing channels. Int. J. Quantum Inf. 2011, 9, 981–991. [Google Scholar] [CrossRef]
- Benedetti, C.; Paris, M.G.; Buscemi, F.; Bordone, P. Time-evolution of entanglement and quantum discord of bipartite systems subject to 1/fα noise. In Proceedings of the 2013 22nd International Conference on Noise and Fluctuations (ICNF), Montpellier, France, 24–28 June 2013; pp. 1–4. [Google Scholar]
- Kenfack, L.T.; Tchoffo, M.; Javed, M.; Fai, L.C. Dynamics and protection of quantum correlations in a qubit–qutrit system subjected locally to a classical random field and colored noise. Quantum Inf. Process. 2020, 19, 1–26. [Google Scholar] [CrossRef]
- Essakhi, M.; Khedif, Y.; Mansour, M.; Daoud, M. Intrinsic decoherence effects on quantum correlations dynamics. Opt. Quantum Electron. 2022, 54, 103. [Google Scholar] [CrossRef]
- Benedetti, M.; Garcia-Pintos, D.; Perdomo, O.; Leyton-Ortega, V.; Nam, Y.; Perdomo-Ortiz, A. A generative modeling approach for benchmarking and training shallow quantum circuits. NPJ Quantum Inf. 2019, 5, 45. [Google Scholar] [CrossRef]
- Sweke, R.; Wilde, F.; Meyer, J.J.; Schuld, M.; Fährmann, P.K.; Meynard-Piganeau, B.; Eisert, J. Stochastic gradient descent for hybrid quantum-classical optimization. Quantum 2020, 4, 314. [Google Scholar] [CrossRef]
- Ji, Z.; Zhang, H.; Wang, H.; Wu, F.; Jia, J.; Wu, W. Quantum protocols for secure multi-party summation. Quantum Inf. Process. 2019, 18, 168. [Google Scholar] [CrossRef]
- Khedif, Y.; Haddadi, S.; Pourkarimi, M.R.; Daoud, M. Thermal correlations and entropic uncertainty in a two-spin system under DM and KSEA interactions. Mod. Phys. Lett. A 2021, 36, 2150209. [Google Scholar] [CrossRef]
- Haddadi, S.; Pourkarimi, M.R.; Haseli, S. Relationship between quantum coherence and uncertainty bound in an arbitrary two-qubit X-state. Opt. Quantum Electron. 2021, 53, 529. [Google Scholar] [CrossRef]
- Khedif, Y.; Daoud, M.; Sayouty, E.H. Thermal quantum correlations in a two-qubit Heisenberg XXZ spin-chain under an inhomogeneous magnetic field. Phys. Scr. 2019, 94, 125106. [Google Scholar] [CrossRef]
- Yu, T.; Eberly, J.H. Sudden death of entanglement: Classical noise effects. Opt. Commun. 2006, 264, 393–397. [Google Scholar] [CrossRef]
- Kenfack, L.T.; Tchoffo, M.; Fai, L.C.; Fouokeng, G.C. Decoherence and tripartite entanglement dynamics in the presence of Gaussian and non-Gaussian classical noise. Phys. B Condens. Matter 2017, 511, 123–133. [Google Scholar] [CrossRef]
- Rahman, A.U.; Noman, M.; Javed, M.; Luo, M.X.; Ullah, A. Quantum correlations of tripartite entangled states under Gaussian noise. Quantum Inf. Process. 2021, 20, 290. [Google Scholar] [CrossRef]
- Rahman, A.U.; Javed, M.; Ullah, A.; Ji, Z. Probing tripartite entanglement and coherence dynamics in pure and mixed independent classical environments. Quantum Inf. Process. 2021, 20, 321. [Google Scholar] [CrossRef]
- Rahman, A.U.; Noman, M.; Javed, M.; Ullah, A. Dynamics of bipartite quantum correlations and coherence in classical environments described by pure and mixed Gaussian noises. Eur. Phys. J. Plus 2021, 136, 846. [Google Scholar] [CrossRef]
- Rossi, M.A.; Paris, M.G. Non-Markovian dynamics of single-and two-qubit systems interacting with Gaussian and non-Gaussian fluctuating transverse environments. J. Chem. Phys. 2016, 144, 024113. [Google Scholar] [CrossRef] [PubMed]
- Buscemi, F.; Bordone, P. Time evolution of tripartite quantum discord and entanglement under local and nonlocal random telegraph noise. Phys. Rev. A 2013, 87, 042310. [Google Scholar] [CrossRef]
- Weinstein, Y.S. Tri-partite Entanglement Witnesses and Sudden Death. arXiv 2008, arXiv:0812.4612. [Google Scholar]
- Hao, Y.; Lian-Fu, W. Correlation dynamics of two-parameter qubit—Qutrit states under decoherence. Chin. Phys. B 2013, 22, 050303. [Google Scholar]
- Shamirzaie, M.; Khan, S. The Dynamics of Three Different Entropic Measures of Quantum Correlations in Mixed Bipartite State Coupled with Classical Environments. Fluct. Noise Lett. 2018, 17, 1850023. [Google Scholar] [CrossRef]
- Rahman, A.U.; Khedif, Y.; Javed, M.; Ali, H.; Daoud, M. Characterizing Two-Qubit Non-Classical Correlations and Non-Locality in Mixed Local Dephasing Noisy Channels. Ann. Der Phys. 2022, 534, 2200197. [Google Scholar] [CrossRef]








Publisher’s Note: MDPI stays neutral with regard to jurisdictional claims in published maps and institutional affiliations. |
© 2022 by the authors. Licensee MDPI, Basel, Switzerland. This article is an open access article distributed under the terms and conditions of the Creative Commons Attribution (CC BY) license (https://creativecommons.org/licenses/by/4.0/).
Share and Cite
Zangi, S.M.; ur Rahman, A.; Ji, Z.-X.; Ali, H.; Zhang, H.-G. Decoherence Effects in a Three-Level System under Gaussian Process. Symmetry 2022, 14, 2480. https://doi.org/10.3390/sym14122480
Zangi SM, ur Rahman A, Ji Z-X, Ali H, Zhang H-G. Decoherence Effects in a Three-Level System under Gaussian Process. Symmetry. 2022; 14(12):2480. https://doi.org/10.3390/sym14122480
Chicago/Turabian StyleZangi, Sultan M., Atta ur Rahman, Zhao-Xo Ji, Hazrat Ali, and Huan-Guo Zhang. 2022. "Decoherence Effects in a Three-Level System under Gaussian Process" Symmetry 14, no. 12: 2480. https://doi.org/10.3390/sym14122480
APA StyleZangi, S. M., ur Rahman, A., Ji, Z.-X., Ali, H., & Zhang, H.-G. (2022). Decoherence Effects in a Three-Level System under Gaussian Process. Symmetry, 14(12), 2480. https://doi.org/10.3390/sym14122480

