An Angle-Compensating, Complex-Coefficient PI Controller Used for Decoupling Control of a Permanent-Magnet Synchronous Motor
Abstract
:1. Introduction
2. Current-Loop Modeling
2.1. Modeling of a PMSM
2.2. Modeling of Digital Delays
2.3. Complex-Coefficient Transfer Functions of the Current Loop
3. Proposed Angle-Compensating, Complex-Coefficient PI Controller
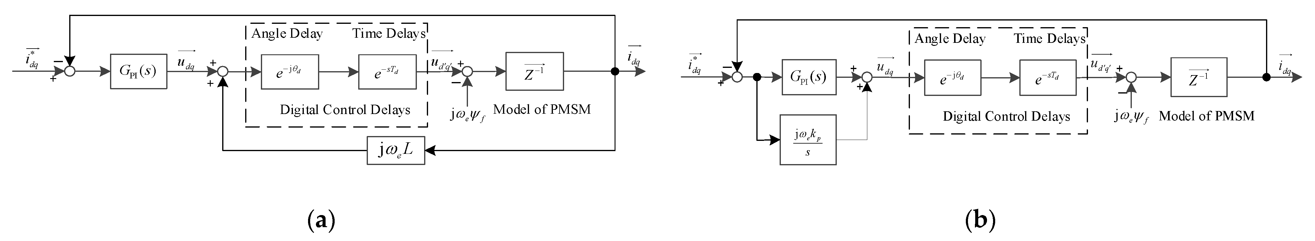
3.1. Traditional Decoupling Method
3.2. Proposed ACCC-PI Controller
4. Simulations and Experiments
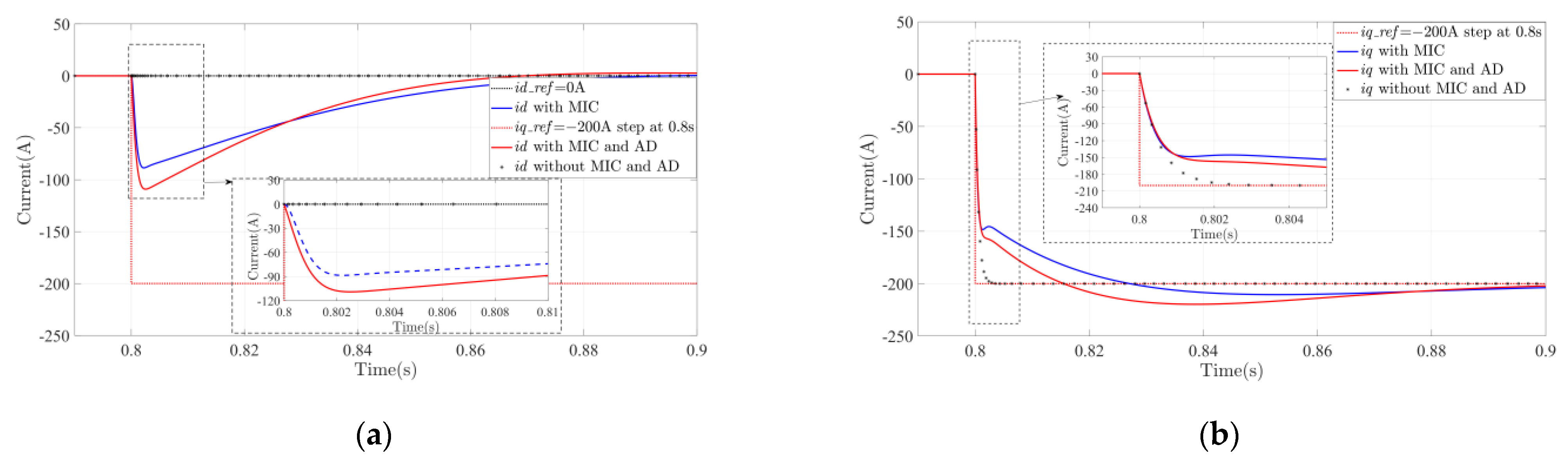
4.1. Simulations of Different Decoupling Algorithms
4.2. Experiments of Different Decoupling Algorithms
5. Discussion
6. Conclusions
Author Contributions
Funding
Data Availability Statement
Conflicts of Interest
References
- Wang, X.; Loh, P.C.; Blaabjerg, F. Stability Analysis and Controller Synthesis for Single-Loop Voltage-Controlled VSIs. IEEE Trans. Power Electron. 2017, 32, 7394–7404. [Google Scholar] [CrossRef] [Green Version]
- Bibian, S.; Jin, H. Time delay compensation of digital control for DC switch mode power supplies using prediction techniques. IEEE Trans. Power Electron. 2000, 15, 835–842. [Google Scholar] [CrossRef]
- Rahman, M.A.; Milasi, R.M.; Lucas, C. Implementation of emotional controller for interior permanent-magnet synchronous motor drive. IEEE Trans. Ind. Appl. 2008, 44, 1466–1476. [Google Scholar] [CrossRef]
- Yim, J.-S.; Sul, S.-K.; Bae, B.-H.; Patel, N.; Hiti, S. Modified Current control schemes for high performance permanent magnet AC drives with low sampling to operation frequency ratio. IEEE Trans. Ind. Appl. 2009, 45, 763–771. [Google Scholar] [CrossRef]
- Shen, J.; Schroder, S.; Stagge, H.; de Doncker, R.W. Precise modeling and analysis of dq-frame current controller for high power conveters with low pulse ratio. In Proceedings of the IEEE Energy Conversion Congress and Exposition ECCE 2012, Raleigh, NC, USA, 15–20 September 2012; pp. 61–68. [Google Scholar]
- Qiu, T.; Wen, X.; Zhao, F. Adaptive-Linear-Neuron-Based Dead-Time Effects Compensation Scheme for PMSM Drives. IEEE Trans. Power Electron. 2016, 31, 2530–2538. [Google Scholar] [CrossRef]
- Xia, C.; Liu, N.; Zhou, Z.; Yan, Y.; Shi, T. Steady-State Performance Improvement for LQR-Based PMSM Drives. IEEE Trans. Power Electron. 2018, 33, 10622–10632. [Google Scholar] [CrossRef]
- Mohamed, Y.A.I. Design and Implementation of a Robust Current-Control Scheme for a PMSM Vector Drive with a Simple Adaptive Disturbance Observer. IEEE Trans. Ind. Electron. 2007, 54, 1981–1988. [Google Scholar] [CrossRef]
- Yoon, S.; Oh, H.; Choi, S. Controller Design and Implementation of Indirect Current Control Based Utility-Interactive Inverter System. IEEE Trans. Power Electron. 2013, 28, 26–30. [Google Scholar] [CrossRef]
- Bolognani, S.; Oboe, R.; Zigliotto, M. Sensorless full-digital PMSM drive with EKF estimation of speed and rotor position. IEEE Trans. Ind. Electron. 1999, 46, 184–191. [Google Scholar] [CrossRef]
- Harnefors, L.; Nee, H.P. Model-based current control of AC machines using the internal model control method. IEEE Trans. Ind. Appl. 1998, 34, 133–141. [Google Scholar] [CrossRef]
- Zhang, J.; Meng, Z.; Chen, R.; Sun, C.; An, Y. Decoupling control of PMSM based on exact linearization. In Proceedings of the 2011 International Conference on Electronic & Mechanical Engineering and Information Technology, Harbin, China, 12–14 August 2011; pp. 1458–1461. [Google Scholar]
- Yepes, A.G.; Vidal, A.; López, O.; Doval-Gandoy, J. Evaluation of Techniques for Cross-Coupling Decoupling Between Orthogonal Axes in Double Synchronous Reference Frame Current Control. IEEE Trans. Ind. Electron. 2014, 61, 3527–3531. [Google Scholar] [CrossRef]
- Jung, J.; Nam, K. A dynamic decoupling control scheme for high-speed operation of induction motors. IEEE Trans. Ind. Electron. 1999, 46, 100–110. [Google Scholar] [CrossRef]
- Xia, X.; Moog, C.H. Disturbance decoupling by measurement feedback for SISO nonlinear systems. IEEE Trans. Autom. Control 1999, 44, 1425–1429. [Google Scholar] [CrossRef]
- Xia, C.; Guo, C.; Shi, T. A Neural-Network-Identifier and Fuzzy-Controller-Based Algorithm for Dynamic Decoupling Control of Permanent-Magnet Spherical Motor. IEEE Trans. Ind. Electron. 2010, 57, 2868–2878. [Google Scholar]
- Zhou, S.; Liu, J.; Zhou, L.; Zhang, Y. DQ Current Control of Voltage Source Converters with a Decoupling Method Based on Preprocessed Reference Current Feed-forward. IEEE Trans. Power Electron. 2017, 32, 8904–8921. [Google Scholar] [CrossRef]
- Vafaie, M.H.; Dehkordi, B.M.; Moallem, P.; Kiyoumarsi, A.; Zhu, Z.Q.; Howe, D. Improving the steady-state and transient-state performances of PMSM through an advanced deadbeat direct torque and flux control system. IEEE Trans. Power Electron. 2017, 9, 2964–2975. [Google Scholar] [CrossRef]
- Holtz, J.; Quan, J.; Pontt, J.; Rodriguez, J.; Newman, P.; Miranda, H. Design of fast and robust current regulators for high-power drivers based on complex state variables. IEEE Trans. Ind. Appl. 2004, 40, 1388–1397. [Google Scholar] [CrossRef]
- Bahrani, B.; Kenzelmann, S.; Rufer, A. Multivariable-PI-based dq current control of voltage source converters with superior axis decoupling capability. IEEE Trans. Ind. Electron. 2011, 58, 3016–3026. [Google Scholar] [CrossRef]
- Ichikawa, S.; Tomita, M.; Doki, S.; Okuma, S. Sensorless Control of Synchronous Reluctance Motors Based on Extended EMF Models Considering Magnetic Saturation With Online Parameter Identification. IEEE Trans. Ind. Appl. 2006, 42, 1264–1274. [Google Scholar] [CrossRef]
- Zhao, Y.; Qiao, W.; Wu, L. An Adaptive Quasi-Sliding-Mode Rotor Position Observer-Based Sensorless Control for Interior Permanent Magnet Synchronous Machines. IEEE Trans. Power Electron. 2013, 28, 5618–5629. [Google Scholar] [CrossRef]

















| Parameters | Value | 
|---|---|
| Pole pairs | 6 | 
| Phase resistance | 8 [mΩ] | 
| d-axis inductance | 0.16 [mH] | 
| q-axis inductance | 0.16 [mH] | 
| Permanent-magnet flux linkage | 0.0488 [Wb] | 
| Publisher’s Note: MDPI stays neutral with regard to jurisdictional claims in published maps and institutional affiliations. | 
© 2022 by the authors. Licensee MDPI, Basel, Switzerland. This article is an open access article distributed under the terms and conditions of the Creative Commons Attribution (CC BY) license (https://creativecommons.org/licenses/by/4.0/).
Share and Cite
Guo, J.; Fan, T.; Li, Q.; Wen, X. An Angle-Compensating, Complex-Coefficient PI Controller Used for Decoupling Control of a Permanent-Magnet Synchronous Motor. Symmetry 2022, 14, 101. https://doi.org/10.3390/sym14010101
Guo J, Fan T, Li Q, Wen X. An Angle-Compensating, Complex-Coefficient PI Controller Used for Decoupling Control of a Permanent-Magnet Synchronous Motor. Symmetry. 2022; 14(1):101. https://doi.org/10.3390/sym14010101
Chicago/Turabian StyleGuo, Jing, Tao Fan, Qi Li, and Xuhui Wen. 2022. "An Angle-Compensating, Complex-Coefficient PI Controller Used for Decoupling Control of a Permanent-Magnet Synchronous Motor" Symmetry 14, no. 1: 101. https://doi.org/10.3390/sym14010101
APA StyleGuo, J., Fan, T., Li, Q., & Wen, X. (2022). An Angle-Compensating, Complex-Coefficient PI Controller Used for Decoupling Control of a Permanent-Magnet Synchronous Motor. Symmetry, 14(1), 101. https://doi.org/10.3390/sym14010101
 
         
                                                


 
       