Abstract
The purpose of the current investigation was to examine the effects of exercise intensity and a participant’s cycling experience on asymmetry in pedal forces during cycling. Participants were classified as cycling experienced (CE) or non-cycling experienced (NCE) based on self-reported training history. Participants completed an incremental cycling test via a cycle ergometer with inspired and expired gases, capillary blood lactate and pedaling forces collected throughout the test. Group X exercise intensity comparisons were analyzed at workloads corresponding to 2 mmol/L and 4 mmol/L for the blood lactate accumulation and peak power output, respectively. No Group X exercise intensity interactions for any variables (p > 0.05) were observed. The main effect on the exercise intensity was observed for absolute (p = 0.000, η2 = 0.836) and relative (p = 0.000, η2 = 0.752) power outputs and pedal force effectiveness (PFE) (p = 0.000, η2 = 0.728). The main effect for the group was observed for absolute (p = 0.007, η2 = 0.326) and relative (p = 0.001, η2 = 0.433) power outputs, the absolute difference between the lower limbs in power production (p = 0.047, η2 = 0.191), the peak crank torque asymmetry index (p = 0.031, η2 = 0.222) and the PFE (p = 0.014, η2 = 0.280). The exercise intensity was observed to have no impact on asymmetry in pedaling forces during cycling.
1. Introduction
Cycling performance is largely dependent upon an individual’s ability to generate a large amount of power (i.e., watts (W)) over an extended period of time while resisting the onset of fatigue [1]. Power production during cycling is dependent upon the magnitude and direction of the application of force (i.e., pedal force) to the pedals in relation to the crank arm cycle (i.e., revolution of the crank arms around the axis or rotation of the bicycle or cycle ergometer) [2]. Pedaling in a manner that maximizes the efficient transfer of force into power production and thus propulsion is a vital component of cycling performance. Previously, it has been assumed that the application of pedal force (i.e., force production), produced through upward pulling and downward pushing, and power production were symmetrical between the limbs. However, research would suggest this is not the case and that an inherit level of asymmetry (i.e., a significant difference between the contralateral limbs) does exist [3].
Significant asymmetries have been reported during cycling for the mean peak force [4,5], peak crank torque [6], work [7] and pedaling kinematics [8] and were found to vary from 5% to 20% in both recreational and competitive cyclists [3]. However, asymmetry values in force production have been reported as high as 60% in uninjured cyclists [9,10]. Researchers have suggested that larger asymmetries in the measures of pedaling force (e.g., torque) should be avoided, as they may predispose individuals to overuse injuries due to exacerbation of muscles and joint overloads on one limb, contributing to the development of fatigue and thus impairing performance [11,12]. In order to enhance cycling performance and minimize injury risk, previous investigations have attempted to identify contributing factors to asymmetries in pedal forces and power production. Exercise intensity has been identified as a factor that influences the manifestation of asymmetries in cyclists, with both direct and inverse associations observed between the exercise intensity and asymmetries in pedal forces and power production [6,11,13]. To that end, a consensus on how exercise intensity may influence the manifestation of asymmetry has still not yet been reached. Previous investigations have primarily been limited to assessing crank torque and using instruments deemed unreliable by some researchers [6]. This limits the application for coaches and athletes, who often use the power output (i.e., watts (W)) at physiological points (i.e., W at 2 and 4 mmol/L of blood lactate) as indices of performance and adaption to training [14]. By assessing asymmetries at metabolically relevant exercise intensities, coaches and athletes can identify exercise intensities where the athletes may be less efficient in power production, thus inhibiting overall cycling performance. Additionally, the question of how cycling experience (i.e., familiarity with and total time spent cycling) affects the manifestation of asymmetry is limited.
Therefore, the purposes of the current study were to examine the effect of exercise intensity and a participant’s cycling experience on the manifestation of asymmetry in the mean and peak crank torque and power production during cycling. We hypothesized (1) that as the exercise intensity increased, asymmetries would be attenuated, and (2) those with cycling experience would exhibit lower levels of asymmetry compared with those with no cycling experience. The current study will provide insight on the influence of exercise intensity and cycling experience on the manifestation of asymmetry in power production during cycling. Such knowledge would allow coaches and athletes to better prescribe cycling training and develop strategies to maximize performance during race situations.
2. Materials and Methods
All participants completed an incremental cycling test (ICT) via a cycle ergometer in one visit to the laboratory. The inspired and expired gases, capillary blood lactate and pedaling forces were collected throughout the test in order to determine the VO2 peak, lactate kinetics and asymmetry in measures of the pedaling force.
2.1. Participants
Twenty-three participants (11 males and 11 females who were 19–45 years of age) were recruited for the current study, with one participant being excluded due to contraindications to exercise. The participants were recruited locally through advertisement and word of mouth. Participants were assigned to one of two groups based on their responses to a physical activity questionnaire. Participants indicated whether they had participated in ≥10 h (cycling experienced (CE)) or <10 h (non-cycling experienced (NCE)) of cycling per week over the last 6 months and were assigned to the corresponding group. Those with previous history of lower limb orthopedic injuries or procedures (e.g., arthritis, hip replacement or knee surgery) were excluded. This study was approved by the University of Oklahoma’s institutional review board, and each participant gave verbal and written informed consent prior to participation. All testing was completed in an air-conditioned laboratory at a temperature of 20–25 °C.
2.2. Measures
2.2.1. Lower Limb Dominance
To determine lower limb dominance, the participants were asked “If you would shoot a ball on a target, which leg would you use to shoot the ball?” Participants’ responses were recorded as their dominant lower limb. This has been shown to be a valid method for the determination of lower limb dominance [15].
2.2.2. Incremental Cycling Test (ICT)
All ICTs were conducted using a magnetically braked cycle ergometer (Sport Excalibur, Lode; B.V Medical Technology, Croningen, Netherlands). Inspired and expired gases were collected throughout each test to determine the VO2 peak via a metabolic cart (True One 2400; Parvo Medics, Sandy, UT, USA). The subjects were instructed to abstain from eating for 3–4 h and exercise and caffeine for 12 h prior to testing. A proper hydration status (urine specific gravity between 1.004 and 1.026) was confirmed via a refractometer (model CLX-1; VEE GEE Scientific Inc., Kirkland, WA, USA) prior to performing the ICT.
The resting whole body blood lactate concentration was estimated via a fingertip capillary blood lactate sample before testing using a commercial lactate meter (Lactate Plus; Nova Biomedical, Waltham, MA, USA) that was calibrated using known lactate standards (Lactate Plus, Lac Control Level 1, 1.0–1.6 mM; Lactate Plus, Lac Control Level 2, 4.0–5.4 mM) before each use. Subjects were permitted to adjust the height and fore or aft position of both the handlebars and seat of the cycle ergometer for their comfort (these settings were written down and used on subsequent test days). Following a 1-min rest period and a 5-min warm-up at 50 W, the ICT was initiated at a workload equal to 1 W per kilogram of body mass and increased every 3 min by 0.5 watts per kilogram of body mass (e.g., body mass of 60 kg = initial stage at 60 W and an increase by 30 W) [16]. A rating of the perceived exertion (RPE) and additional blood lactate samples were obtained in the final 30 s of each stage [17]. Subjects were instructed to cycle at a self-selected cadence, and testing was terminated when a subject’s cadence decreased by >10 revolutions per minute (RPM) for more than 10 s despite verbal encouragement. The VO2 peak was defined as the highest 30-s average obtained during testing.
2.2.3. Pedaling Asymmetry
Independent pedaling force variables for the left and right cranks were measured separately throughout each ICT via built-in modified strain gauges on the Lode cycle ergometer, which has previously been used to assess between limb asymmetries during cycling in trained cyclist and clinical populations [8,18,19,20]. The strain gauges were calibrated prior to testing according to the manufacturer’s recommendations. Briefly, the crank arms were rotated counterclockwise to avoid engaging the internal flywheel until the left crank arm was positioned at 180 degrees (perpendicular to the floor) of the crank arm cycle. The strain gauges were zeroed out so that no forces were detected while unloaded. The pedaling force measurements were assessed with a rotational resolution of 2° and an accuracy of 0.5 Newtons (N) [8,18,20]. The pedal force measurement software (Lode; B.V Medical Technology, Croningen, The Netherlands) collected the normal force (forces in the vertical direction) and anterior-posterior force (perpendicular to the normal force) measurements in order to determine the total force (force applied in the sagittal plane). The peak crank torque was defined as the highest recorded crank toque value during the propulsion phase of the crank cycle from 0° to 180°, while the mean crank torque was defined as the average crank torque recorded throughout the entire crank cycle. Power production was reported as the amount of power generated during the crank cycle that resulted in propulsive (forward moving) power. Measurements were collected and reported independently for each lower limb and assigned to the dominant (D) and non-dominant (ND) lower limbs. The absolute differences between the lower limbs for the peak and average crank torque and power production were determined with the following equation:
where zero indicates no differences between the limbs and higher values indicate greater differences between the limbs.
Additionally, an asymmetry index (AI) was calculated for the peak and average crank toque and power production using the following equation:
Values ranged from −100 to 100, with positive values indicating greater contribution from the D, negative values indicating greater contribution from the ND and zero indicating equal contribution from both limbs. This analysis has previously been used in trained cyclists to quantify crank torque asymmetry during cycling [2,21].
Pedal force effectiveness (PFE) was included to provide an indication of the total percentage of power produced that translated to propulsive power during the complete crank arm cycle. All variables were assessed at a workload corresponding to 2 mmol/L and 4 mmol/L for the blood lactate accumulation and peak power output, respectively. Within the stages where the corresponding workloads occurred, analysis was conducted over a 1-min bin, beginning at the 1 min and 30 s mark and ending at the 2 min and 30 s mark of each stage.
2.3. Statistical Analysis
All analyses were performed using IBM SPSS Statistics (version 26.0; IBM Corp., Armonk, NY, USA). Descriptive statistics were used to summarize the demographic data with t-test analysis of the independent samples used to determine the differences between the groups. Two-way repeated measures analysis of variance (ANOVA) was used to detect Group X Exercise Intensity interactions for the cycling measurements. When significant interactions were found to occur, post hoc analysis was performed with Bonferroni. Statistical significance was set at an alpha level of ≤0.05. Cohen’s d effect sizes were analyzed when appropriate, with values of 0.2, 0.5 and 0.8 indicating small, moderate and large effects, respectively [22]. The effect sizes for the ANOVA were analyzed when appropriate using eta squared (η2). Values of 0.02, 0.13 and 0.26 were indicative of a small, medium and large effect, respectively [22,23].
3. Results
The demographic characteristics of the sample are presented in Table 1. No statistically significant differences were present between the groups for age, height or weight. However, the VO2 peak (p = 0.001; d = 1.75) was significantly greater in the CE group compared with the NCE group, with a large effect size present. Additionally, 87.5% and 69.2% of the CE group and NCE group reported their dominant lower limb as being on their right, respectively.
Table 1.
Participant characteristics (n = 21).
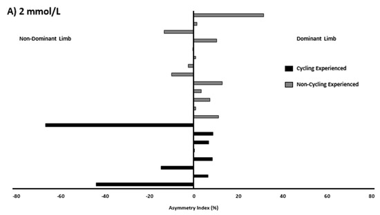
Group data for the pedal force variables are presented in Table 2, with individual asymmetry index data presented in Figure 1, Figure 2 and Figure 3. The two-way repeated measures ANOVA revealed no Group X Exercise Intensity interactions for any variables (p > 0.05). A significant main effect for Exercise Intensity was also observed for the absolute (p = 0.000, η2 = 0.836) and relative (p = 0.000, η2 = 0.752) power output and the PFE (p = 0.000, η2 = 0.728), with large effect sizes observed. A significant main effect for the Group was observed for the absolute (p = 0.007, η2 = 0.326) and relative (p = 0.001, η2 = 0.433) power output, the absolute difference between the lower limbs in power production (p = 0.047, η2= 0.191), the peak crank torque asymmetry index (p = 0.031, η2 = 0.222) and the PFE (p = 0.014, η2 = 0.280), with large effect sizes observed.
Table 2.
Group Pedal Force Variables.

Figure 1.
Power production asymmetry index at (A) 2 mmol/L, (B) 4 mmol/L and (C) PPO.

Figure 2.
Average torque asymmetry index at (A) 2 mmol/L, (B) 4 mmol/L and (C) PPO.

Figure 3.
Peak torque asymmetry index at (A) 2 mmol/L, (B) 4 mmol/L and (C) PPO.
4. Discussion
The purposes of the current study were to examine the effect of the exercise intensity and a participant’s cycling experience on the manifestation of asymmetry in the mean and peak crank torque and power production during cycling. We hypothesized (1) that as the exercise intensity increased, asymmetries would be attenuated, and (2) those with cycling experience would exhibit lower levels of asymmetry compared with those with no cycling experience. Based on the results of the current study, both hypotheses must be rejected.
Previous investigations have observed both a direct and inverse association between exercise intensity and asymmetry in pedal forces and power production during exercise [6,11,13]. Carpes et al. (2007) observed that during a 40-km cycling time trial, asymmetry in the peak crank torque was attenuated as the exercise intensity increased in trained cyclists [6]. Additionally, Carpes et al. (2008) observed that cycling at ≤90% of the VO2 max resulted in significant levels of asymmetry (i.e., ≥10%) in the peak crank torque, which were attenuated at intensities >90% of the VO2 max in trained cyclists [13]. However, Bini et al. (2014) observed an increase in asymmetry in the peak crank torque as the power output increased in trained cyclists [10]. The current investigation did not observe a significant Group X exercise intensity interaction or a main effect for the exercise intensity on the measures of asymmetry. This is an interesting finding, as it suggests that the exercise intensity has no effect on asymmetry during cycling, disagreeing with previous investigations [6,11,13]. However, these results do agree with one previous investigation that observed no influence of the exercise intensity on asymmetry in the pedal forces and power production during cycling [8]. After assessing 47 road cyclists from Union Cycliste Internationale (UCI) ProTour teams, UCI Continental teams, UCI under-23 teams and cycling clubs, it was observed that the dominant vs. non-dominant mean torque contribution was only 1.2% [8]. Additionally, after assessing pedaling asymmetries at three different workloads, it was concluded that any asymmetry observed in the dominant vs. non-dominant mean torque contribution was independent of the workload [8]. It can be speculated that one reason for discrepancies between the results of the current and previous investigations may be due to differences in the assessment tools. The current investigation and Garcia-Lopez et al. (2015) used the same cycle ergometer to assess pedal forces for both lower limbs independently, while previous investigations used commercial instrumented crank systems [8,10,13].
The current investigation observed a significant main effect for Group for the absolute difference in power production and asymmetry index for the peak crank torque, with higher values observed in the CE and NCE groups, respectively. The observed greater difference in absolute power production between the lower limbs in the CE group was surprising, as it would be assumed that the CE group would have better pedaling technique than the NCE group. The competitive level of cycling has been shown to affect pedaling technique in road cyclists, with professional cyclists having better technique, indicated by a higher positive impulse proportion, when compared with elite and club-level cyclists [24]. This is thought to be due to the lower minimum torque values generated during the upstroke of the crank arm cycle [24]. However, the pedaling technique has not been assessed in both lower limbs simultaneously during cycling, and potential differences could explain differences in power production between the lower limbs. Additionally, trained cyclists have been reported to have greater asymmetry in lean tissue mass between the lower limbs when compared with non-cyclists, though asymmetry in the pedaling forces and power production were not investigated [25]. When individual asymmetry index data were examined, no discernable pattern was observed pertaining to overreliance on the dominant or non-dominant limbs for force and power generation. This is an interesting finding, as it has been observed that cyclists present greater lean tissue mass on their dominant sides [25]. It would be expected that the dominant side, the side with the greater lean tissue mass, would be responsible for the greatest amount of force application and power production consistently across the sample. The influence of lean tissue mass asymmetry on force application and power production asymmetry requires future investigation. Additionally, large negative asymmetry indexes were observed in some participants, indicating greater reliance on the non-dominant limb for force or power production, with this often decreasing as the exercise intensity increased. This is an interesting observation, as participants were screened and excluded for lower limb injuries that may have influenced asymmetry. This observed use of the non-dominant limb may be an inherent pedaling strategy to reduce the accumulation of fatigue in the dominant limb. Without data on any potential pedaling strategies, this is just speculation, and future investigations should consider including questionnaires on pedaling strategies.
The main effects for Group and Exercise Intensity observed for both the absolute and relative power outputs were to be expected, with higher power outputs observed in the CE group and with increasing exercise intensity. Additionally, the main effects for Group and Exercise Intensity on the PFE were in agreement with previous investigations. The PFE has previously been shown to increase with the exercise intensity and to be greater in cyclists compared with non-cyclists [26,27]. The increases in the PFE observed in cyclists have been attributed to the generation of greater upward forces through the active upward pulling action during the upstroke phase of the crank arm cycle [24,26,27]. It is unclear why a lower PFE is observed at lower exercise intensities, with speculations pertaining to high variability in muscle recruitment patterns at lower exercise intensities [26,28].
The limitations of the current investigation must be acknowledged. The current investigation is a cross-sectional analysis, and the phases of the annual training programs that cyclists may have been in were not recorded. To the current researchers’ knowledge, a longitudinal study on changes in pedal force and power production asymmetries across a cyclist’s annual training program has not been conducted, and the effects are unknown. Performance variables such as time trial performance were not collected. The effects of asymmetry on cycling performance are still highly debated and require additional investigations [3,6,24]. Additionally, no assessment of lower limb kinematics during cycling was conducted. It is possible that asymmetry in pedal force and power production can be partially explained by asymmetry in kinematics, and this warrants future investigation. Participants within the CE group attached their own personal pedals to the crank arms of the cycle ergometer, while those within the NCE group used standard pedal cages. Although this does directly affect the reading of the dual power meters, differences in pedaling patterns may have existed between the groups. Participants were instructed to pedal at their own preferred cadence, with this varying between participants. This may have potentially influenced pedaling force asymmetries, and future investigations should address this potential influence.
5. Conclusions
The exercise intensity was observed to have no impact on the physical manifestation of asymmetry in pedaling forces and power production during cycling when examined at 2 mmol/L and 4 mmol/L of blood lactate and PPO, respectively. This is in both agreement and disagreement with the previous literature, as no consensus on the impact of the exercise intensity on asymmetry during cycling has been met. Only absolute differences between the limbs in power production and the peak crank torque asymmetry index were different between groups, suggesting that cycling experience may not have a large impact on the asymmetry technique. These results are in disagreement with recent findings and contribute to the overall lack of consensus on factors that influence pedal force and power production asymmetry during cycling [26]. Investigators should aim to develop standardized assessment protocols, equipment selection and outcome measures in order to fully understand pedal force and power production asymmetries with the goal of enhancing cycling performance.
Author Contributions
Conceptualization, J.W.F.III and R.D.L.; methodology, J.W.F.III and R.D.L.; analysis, J.W.F.III; writing—J.W.F.III and B.A.P.; writing—review and editing, J.W.F.III, B.A.P. and R.D.L. All authors have read and agreed to the published version of the manuscript.
Funding
This research received no external funding.
Institutional Review Board Statement
The study was conducted according to the guidelines of the Declaration of Helsinki, and approved by the Institutional Review Board of the University of Oklahoma (protocol code 7264 and 28 November 2016).
Informed Consent Statement
Informed consent was obtained from all subjects involved in the study.
Data Availability Statement
The data presented in this study are available on request from the corresponding author. The data are not publicly available due to privacy concerns.
Conflicts of Interest
The authors declare no conflict of interest.
References
- Støren, Ø.; Ulevåg, K.; Larsen, M.H.; Støa, E.M.; Helgerud, J. Physiological Determinants of the Cycling Time Trial. J. Strength Cond. Res. 2013, 27, 2366–2373. [Google Scholar] [CrossRef] [PubMed]
- Bini, R.R.; Jacques, T.C.; Sperb, C.H.; Lanferdini, F.J.; Vaz, M.A. Pedal force asymmetries and performance during a 20-km cycling time trial. Kinesiology 2016, 48, 193–199. [Google Scholar] [CrossRef]
- Carpes, F.P.; Mota, C.B.; Faria, I.E. On the bilateral asymmetry during running and cycling—A review considering leg preference. Phys. Ther. Sport 2010, 11, 136–142. [Google Scholar] [CrossRef] [PubMed]
- Daly, D.J.; Cavanagh, P.R. Asymmetry in bicycle ergometer pedalling. Med. Sci. Sports Exerc. 1976, 8, 204–208. [Google Scholar] [CrossRef]
- Sargeant, A.J.; Davies, C.T. Forces applied to cranks of a bicycle ergometer during one- and two-leg cycling. J. Appl. Physiol. 1977, 42, 514–518. [Google Scholar] [CrossRef] [PubMed]
- Carpes, F.P.; Rossato, M.; E Faria, I.; Mota, C.B. Bilateral pedaling asymmetry during a simulated 40-km cycling time-trial. J. Sports Med. Phys. Fit. 2007, 47, 51–57. [Google Scholar] [CrossRef]
- Cavanagh, P.R.; Petak, K.L.; Shapiro, R.; Daly, D. Bilateral asymmetry in work output during cycle ergometer pedalling. Med. Sci. Sports Exerc. 1974, 6, 80–81. [Google Scholar]
- Garcia-Lopez, J.; Diez-Leal, S.; Larrazabal, J.; Ogueta-Alday, A. No bilateral asymmetry during pedalling in healthy cyclists of different performance levels. In Proceedings of the 33 International Conference of Biomechanics in Sports, Poitiers, France, 29 June–3 July 2015. [Google Scholar]
- Bertucci, W.M.; Arfaoui, A.; Polidori, G. Analysis of the pedaling biomechanics of master’s cyclists: A preliminary study. J. Sci. Cycl. 2012, 1, 42–46. [Google Scholar]
- Bini, R.R.; Hume, P.A. Assessment of Bilateral Asymmetry in Cycling Using a Commercial Instrumented Crank System and Instrumented Pedals. Int. J. Sports Physiol. Perform. 2014, 9, 876–881. [Google Scholar] [CrossRef]
- Bini, R.R.; Jacques, T.C.; Carpes, F.P.; Vaz, M.A. Effectiveness of pedalling retraining in reducing bilateral pedal force asymmetries. J. Sports Sci. 2016, 35, 1336–1341. [Google Scholar] [CrossRef]
- Maulder, P.S. Dominant limb asymmetry associated with prospective injury occurrence. South. Afr. J. Res. Sport Phys. Educ. Recreat. 2013, 35, 121–131. [Google Scholar]
- Carpes, F.P.; Rossato, M.; Faria, I.E.; Mota, C.B. During an incremental exercise cyclists improve bilateral pedaling symmetry. Bra-zilian J. Biomotricity 2008, 2, 155–159. [Google Scholar]
- Beneke, R.; Leithäuser, R.M.; Ochentel, O. Blood Lactate Diagnostics in Exercise Testing and Training. Int. J. Sports Physiol. Perform. 2011, 6, 8–24. [Google Scholar] [CrossRef] [Green Version]
- Van Melick, N.; Meddeler, B.M.; Hoogeboom, T.J.; Der Sanden, M.W.G.N.-V.; Van Cingel, R.E.H. How to determine leg dominance: The agreement between self-reported and observed performance in healthy adults. PLoS ONE 2017, 12, e0189876. [Google Scholar] [CrossRef] [Green Version]
- Larson, R.D. Physiologic Responses to Two Distinct Maximal Cardiorespiratory Exercise Protocols. Int. J. Sports Exerc. Med. 2015, 1. [Google Scholar] [CrossRef]
- Borg, G. Borg’s Perceived Exertion and Pain Scales; Human Kinetics: Champaign, IL, USA, 1998. [Google Scholar]
- Dorel, S.; Couturier, A.; Hug, F. Influence of different racing positions on mechanical and electromyographic patterns during pedalling. Scand. J. Med. Sci. Sports 2008, 19, 44–54. [Google Scholar] [CrossRef] [PubMed] [Green Version]
- Farrell, J.W.; Bemben, D.A.; Black, C.D.; Larson, D.J.; Pardo, G.; Fjeldstad-Pardo, C.; Larson, R.D. Evaluation of Power Production Asymmetry during Cycling in Persons with Multiple Sclerosis. Int. J. Environ. Res. Public Health 2019, 16, 3445. [Google Scholar] [CrossRef] [Green Version]
- Hansen, E.A.; Rønnestad, B.R.; Vegge, G.; Raastad, T. Cyclists’ Improvement of Pedaling Efficacy and Performance After Heavy Strength Training. Int. J. Sports Physiol. Perform. 2012, 7, 313–321. [Google Scholar] [CrossRef] [Green Version]
- Robinson, R.; Herzog, W.; Nigg, B.M. Use of force platform variables to quantify the effects of chiropractic manipulation on gait symmetry. J. Manip. Physiol. Ther. 1987, 10, 172–176. [Google Scholar]
- Cohen, J. Statistical Power Analysis for the Behavioural Sciences, 2nd ed.; Erlbaum Associates: Hillsdale, NJ, USA, 1988. [Google Scholar]
- Olejnik, S.; Algina, J. Generalized eta and omega squared statistics: Measures of effect size for some common research designs. Psychol. Methods 2003, 8, 434. [Google Scholar] [CrossRef] [Green Version]
- Garcia-Lopez, J.; Díez-Leal, S.; Ogueta-Alday, A.; Larrazabal, J.; Marroyo, J.A.R. Differences in pedalling technique between road cyclists of different competitive levels. J. Sports Sci. 2015, 34, 1619–1626. [Google Scholar] [CrossRef] [Green Version]
- Pimentel, R.E.; Baker, B.; Soliday, K.; Reiser, R.F. Bone mineral density and lean mass asymmetries are greater in cyclists than non-cyclists. J. Sports Sci. 2019, 37, 2279–2285. [Google Scholar] [CrossRef] [PubMed]
- Bini, R.R.; Hume, P.; Croft, J.; Kilding, A. Pedal force effectiveness in cycling: A review of constraints and training effects. J. Sci. Cycl. 2013, 2, 11–24. [Google Scholar]
- Mornieux, G.; Stapelfeldt, B.; Gollhofer, A.; Belli, A. Effects of Pedal Type and Pull-Up Action during Cycling. Endoscopy 2008, 29, 817–822. [Google Scholar] [CrossRef] [PubMed] [Green Version]
- Hug, F.; Drouet, J.M.; Champoux, Y.; Couturier, A.; Dorel, S. Interindividual variability of electromyographic patterns and pedal force profiles in trained cyclists. Eur. J. Appl. Physiol. 2008, 104, 667–678. [Google Scholar] [CrossRef]
Publisher’s Note: MDPI stays neutral with regard to jurisdictional claims in published maps and institutional affiliations. |
© 2021 by the authors. Licensee MDPI, Basel, Switzerland. This article is an open access article distributed under the terms and conditions of the Creative Commons Attribution (CC BY) license (https://creativecommons.org/licenses/by/4.0/).