Adaptive Asymptotic Regulation for Uncertain Nonlinear Stochastic Systems with Time-Varying Delays
Abstract
:1. Introduction
2. Problem Statement and Preliminary
3. Adaptive NN Control Scheme Design and Stability Analysis
3.1. Adaptive NN Control Scheme Design
3.2. Stability Analysis
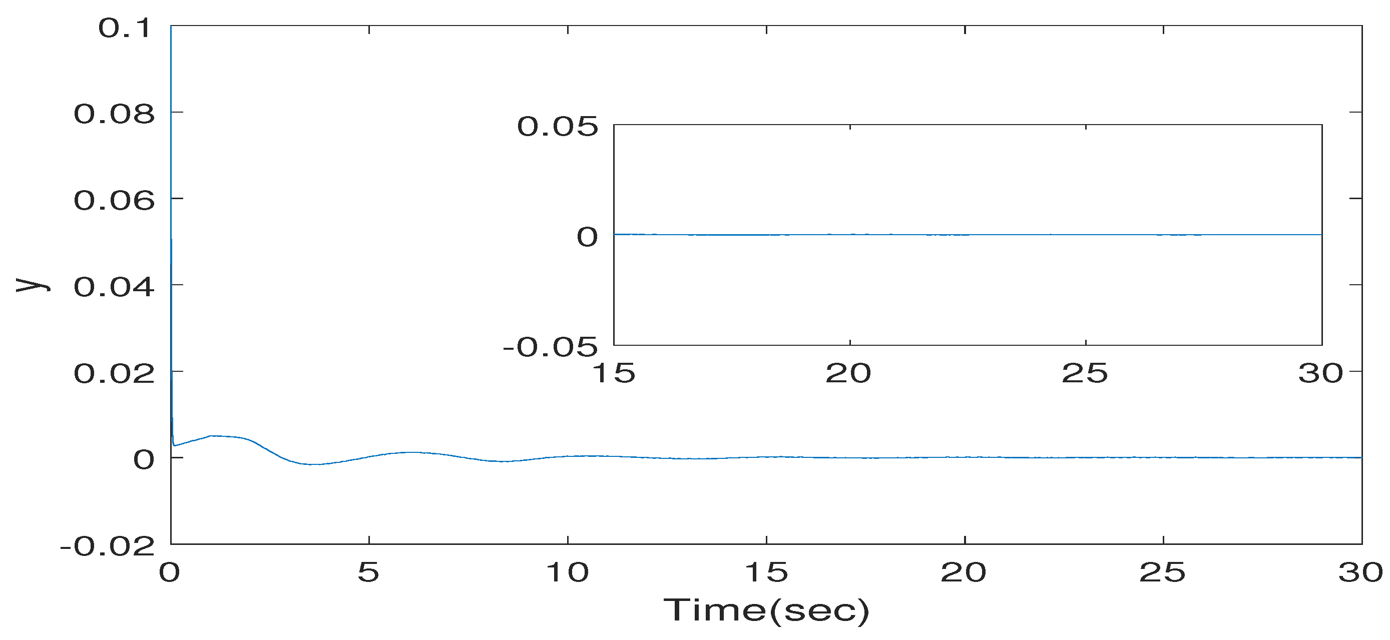
4. Simulation Results
5. Conclusions
Author Contributions
Funding
Informed Consent Statement
Acknowledgments
Conflicts of Interest
References
- Yu, X.; Xie, X. Output Feedback Regulation of Stochastic Nonlinear Systems with Stochastic iISS Inverse Dynamics. IEEE Trans. Autom. Control 2011, 55, 304–320. [Google Scholar]
- Zhou, Q.; Shi, P.; Liu, H.; Xu, S. Neural-Network-Based Decentralized Adaptive Output-Feedback Control for Large-Scale Stochastic Nonlinear Systems. IEEE Trans. Syst. Man Cybern. Part B (Cybern.) 2012, 42, 1608–1619. [Google Scholar] [CrossRef]
- Tong, S.; Wang, T.; Li, Y.; Zhang, H. Adaptive Neural Network Output Feedback Control for Stochastic Nonlinear Systems with Unknown Dead-Zone and Unmodeled Dynamics. IEEE Trans. Cybern. 2014, 44, 910–921. [Google Scholar] [CrossRef] [PubMed]
- Wang, H.; Liu, K.; Liu, X.; Chen, B.; Lin, C. Neural-Based Adaptive Output-Feedback Control for a Class of Nonstrict-Feedback Stochastic Nonlinear Systems. IEEE Trans. Cybern. 2015, 45, 1977–1987. [Google Scholar] [CrossRef]
- Fang, L.; Ma, L.; Ding, S.; Zhao, D. Finite-time Stabilization for a Class of High-Order Stochastic Nonlinear Systems with an Output Constraint. Appl. Math. Comput. 2019, 358, 63–79. [Google Scholar] [CrossRef]
- Zhao, X.; Wang, X.; Zong, G.; Zheng, X. Adaptive Neural Tracking Control for Switched High-Order Stochastic Nonlinear Systems. IEEE Trans. Cybern. 2017, 47, 3088–3099. [Google Scholar] [CrossRef]
- Jiang, M.; Xie, X.; Zhang, K. Finite-Time Stabilization of Stochastic High-Order Nonlinear Systems with FT-SISS Inverse Dynamics. IEEE Trans. Autom. Control 2019, 64, 313–320. [Google Scholar] [CrossRef]
- Zhang, J.; Xia, J.; Sun, W.; Zhuang, G.; Wang, Z. Finite-Time Tracking Control for Stochastic Nonlinear Systems with Full State Constraints. Appl. Math. Comput. 2018, 338, 207–220. [Google Scholar] [CrossRef]
- Yu, X.; Wang, T.; Qiu, J.; Gao, H. Barrier Lyapunov Function-Based Adaptive Fault-Tolerant Control for a Class of Strict-Feedback Stochastic Nonlinear Systems. IEEE Trans. Cybern. 2021, 51, 938–946. [Google Scholar] [CrossRef] [PubMed]
- Sun, K.; Mou, S.; Qiu, J.; Wang, T.; Gao, H. Adaptive Fuzzy Control for Nontriangular Structural Stochastic Switched Nonlinear Systems with Full State Constraints. IEEE Trans. Fuzzy Syst. 2019, 27, 1587–1601. [Google Scholar] [CrossRef]
- Sui, S.; Li, Y.; Tong, S. Observer-Based Adaptive Fuzzy Control for Switched Stochastic Nonlinear Systems with Partial Tracking Errors Constrained. IEEE Trans. Syst. Man Cybern. Syst. 2016, 46, 1605–1617. [Google Scholar] [CrossRef]
- Wang, H.; Liu, K.; Liu, X.; Chen, B.; Lin, C. Adaptive Neural Tracking Control for a Class of Nonstrict-Feedback Stochastic Nonlinear Systems with Unknown Backlash-Like Hysteresis. IEEE Trans. Neural Netw. Learn. Syst. 2014, 25, 947–958. [Google Scholar] [CrossRef] [PubMed]
- Wang, J.; Liu, Z.; Zhang, Y.; Chen, C.L.P. Neural Adaptive Event-Triggered Control for Nonlinear Uncertain Stochastic Systems with Unknown Hysteresis. IEEE Trans. Neural Netw. Learn. Syst. 2019, 30, 3300–3312. [Google Scholar] [CrossRef] [PubMed]
- Min, H.; Xu, S.; Zhang, Z. Adaptive Finite-Time Stabilization of Stochastic Nonlinear Systems Subject to Full-State Constraints and Input Saturation. IEEE Trans. Autom. Control 2021, 66, 1306–1313. [Google Scholar] [CrossRef]
- Niu, B.; Li, H.; Zhang, Z.; Li, J.; Hayat, T.; Alsaadi, F.E. Adaptive Neural-Network-Based Dynamic Surface Control for Stochastic Interconnected Nonlinear Nonstrict-Feedback Systems with Dead Zone. IEEE Trans. Syst. Man Cybern. Syst. 2019, 49, 1386–1398. [Google Scholar] [CrossRef]
- Zhu, Y.; Krstic, M.; Su, H. PDE Boundary Control of Multi-Input LTI Systems with Distinct and Uncertain Input Delays. IEEE Trans. Autom. Control 2018, 63, 4270–4277. [Google Scholar] [CrossRef]
- Lin, X.; Zhang, W.; Huang, S.; Zheng, E. Finite-Time Stabilization of Input-Delay Switched Systems. Appl. Math. Comput. 2020, 375, 125062. [Google Scholar] [CrossRef]
- Ma, J.; Xu, S.; Zhuang, G.; Wei, Y. Adaptive Neural Network Tracking Control for Uncertain Nonlinear Systems with Input Delay and Saturation. Int. J. Robust Nonlinear Control 2020, 30, 2593–2610. [Google Scholar] [CrossRef]
- Wang, T.; Wu, J.; Wang, Y.; Ma, M. Adaptive Fuzzy Tracking Control for A Class of Strict-Feedback Nonlinear Systems with Time-Varying Input Delay and Full State Constraints. IEEE Trans. Fuzzy Syst. 2020, 28, 3432–3441. [Google Scholar] [CrossRef]
- Zhang, Q.; He, D. Disturbance-Observer-Based Adaptive Fuzzy Control for Strict-Feedback Switched Nonlinear Systems with Input Delay. IEEE Trans. Fuzzy Syst. 2021, 29, 1942–1952. [Google Scholar] [CrossRef]
- Gao, H.; Li, X. H∞ Filtering for Discrete-Time State-Delayed Systems with Finite Frequency Specifications. IEEE Trans. Autom. Control 2011, 56, 2935–2941. [Google Scholar] [CrossRef]
- Yuan, C.; Wu, F. Dynamic IQC-Based Control of Uncertain LFT Systems with Time-Varying State Delay. IEEE Trans. Cybern. 2016, 46, 3320–3329. [Google Scholar] [CrossRef] [PubMed]
- Mohajerpoor, R.; Shanmugam, L.; Abdi, H.; Nahavandi, S.; Park, J.H. Delay-Dependent Functional Observer Design for Linear Systems with Unknown Time-Varying State Delays. IEEE Trans. Cybern. 2018, 48, 2036–2048. [Google Scholar] [CrossRef] [PubMed]
- Wu, Y.; Xie, X. Adaptive Fuzzy Control for High-Order Nonlinear Time-Delay Systems with Full-State Constraints and Input Saturation. IEEE Trans. Fuzzy Syst. 2020, 28, 1652–1663. [Google Scholar] [CrossRef]
- Lu, C. A Delay-Range-Dependent Approach to Design State Estimator for Discrete-Time Recurrent Neural Networks with Interval Time-Varying Delay. IEEE Trans. Circuits Syst. II Express Briefs 2008, 55, 1163–1167. [Google Scholar] [CrossRef]
- Liu, M.; Chen, H. H∞ State Estimation for Discrete-Time Delayed Systems of the Neural Network Type with Multiple Missing Measurements. IEEE Trans. Neural Netw. Learn. Syst. 2015, 26, 2987–2998. [Google Scholar] [CrossRef]
- Liu, H.; Wang, Z.; Shen, B.; Dong, H. Delay-Distribution-Dependent H∞ State Estimation for Discrete-Time Memristive Neural Networks with Mixed Time-Delays and Fading Measurements. IEEE Trans. Cybern. 2020, 50, 440–451. [Google Scholar] [CrossRef]
- Zhou, Q.; Shi, P.; Xu, S.; Li, H. Adaptive Output Feedback Control for Nonlinear Time-Delay Systems by Fuzzy Approximation Approach. IEEE Trans. Fuzzy Syst. 2013, 21, 301–313. [Google Scholar] [CrossRef]
- Battilotti, S. Continuous-Time and Sampled-Data Stabilizers for Nonlinear Systems with Input and Measurement Delays. IEEE Trans. Autom. Control 2020, 65, 1568–1583. [Google Scholar] [CrossRef]
- Long, F.; Jiang, L.; He, Y.; Wu, M. Stability Analysis of Systems with Time-Varying Delay via Novel Augmented Lyapunov–Krasovskii Functionals and an Improved Integral Inequality. Appl. Math. Comput. 2019, 357, 325–337. [Google Scholar] [CrossRef]
- Zhang, Y.; Wang, F. Adaptive Neural Control of Non-Strict Feedback System with Actuator Failures and Time-Varying Delays. Appl. Math. Comput. 2019, 362, 124512. [Google Scholar] [CrossRef]
- Long, F.; Zhang, C.; Jiang, L.; He, Y.; Wu, M. Stability Analysis of Systems with Time-Varying Delay via Improved Lyapunov–Krasovskii Functionals. IEEE Trans. Syst. Man Cybern. Syst. 2021, 51, 2457–2466. [Google Scholar] [CrossRef]
- Shen, J.; Lam, J. ℓ∞/L∞-Gain Analysis for Positive Linear Systems with Unbounded Time-Varying Delays. IEEE Trans. Autom. Control 2015, 60, 857–862. [Google Scholar] [CrossRef]
- Li, D.; Liu, L.; Liu, Y.; Tong, S.; Chen, C.L.P. Adaptive NN Control without Feasibility Conditions for Nonlinear State Constrained Stochastic Systems with Unknown Time Delays. IEEE Trans. Cybern. 2019, 49, 4485–4494. [Google Scholar] [CrossRef] [PubMed]
- Li, T.; Li, Z.; Wang, D.; Chen, C.L.P. Output-Feedback Adaptive Neural Control for Stochastic Nonlinear Time-Varying Delay Systems with Unknown Control Directions. IEEE Trans. Neural Netw. Learn. Syst. 2015, 26, 1188–1201. [Google Scholar] [CrossRef] [PubMed]
- Min, H.; Xu, S.; Zhang, B.; Ma, Q. Output-Feedback Control for Stochastic Nonlinear Systems Subject to Input Saturation and Time-Varying Delay. IEEE Trans. Autom. Control 2019, 64, 359–364. [Google Scholar] [CrossRef]
- Chen, W.; Jiao, L.; Li, J.; Li, R. Adaptive NN Backstepping Output-Feedback Control for Stochastic Nonlinear Strict-Feedback Systems with Time-Varying Delays. IEEE Trans. Syst. Man Cybern. Part B (Cybern.) 2010, 40, 939–950. [Google Scholar] [CrossRef] [PubMed]
- Wang, H.; Liu, X.; Liu, K.; Karimi, H.R. Approximation-Based Adaptive Fuzzy Tracking Control for a Class of Nonstrict-Feedback Stochastic Nonlinear Time-Delay Systems. IEEE Trans. Fuzzy Syst. 2015, 23, 1746–1760. [Google Scholar] [CrossRef]
- Wang, Z.; Shen, B.; Shu, H.; Wei, G. Quantized H∞ Control for Nonlinear Stochastic Time-Delay Systems with Missing Measurements. IEEE Trans. Autom. Control 2012, 57, 1431–1444. [Google Scholar] [CrossRef] [Green Version]
- Yu, Z.; Yan, H.; Li, S.; Dong, Y. Approximation-Based Adaptive Tracking Control for Switched Stochastic Strict-Feedback Nonlinear Time-Delay Systems with Sector-Bounded Quantization Input. IEEE Trans. Syst. Man Cybern. Syst. 2018, 48, 2145–2157. [Google Scholar] [CrossRef]
- Liu, L.; Yin, S.; Zhang, L.; Yin, X.; Yan, H. Improved Results on Asymptotic Stabilization for Stochastic Nonlinear Time-Delay Systems with Application to a Chemical Reactor System. IEEE Trans. Syst. Man Cybern. Syst. 2017, 47, 195–204. [Google Scholar] [CrossRef]
- Gao, F.; Yuan, F.; Wu, Y. State-Feedback Stabilisation for Stochastic Non-Holonomic Systems with Time-Varying Delays. IET Control Theory Appl. 2012, 6, 2593–2600. [Google Scholar] [CrossRef]
- Li, Z.; Li, T.; Feng, G.; Zhao, R.; Shan, Q. Neural Network-Based Adaptive Control for Pure-Feedback Stochastic Nonlinear Systems with Time-Varying Delays and Dead-Zone Input. IEEE Trans. Syst. Man Cybern. Syst. 2020, 50, 5317–5329. [Google Scholar] [CrossRef]
- Min, H.; Xu, S.; Zhang, B.; Ma, Q. Globally Adaptive Control for Stochastic Nonlinear Time-Delay Systems with Perturbations and Its Application. Automatica 2019, 102, 105–110. [Google Scholar] [CrossRef]
- Wu, J.; Wu, Z.; Li, J.; Wang, G.; Zhao, H.; Chen, W. Practical Adaptive Fuzzy Control of Nonlinear Pure-Feedback Systems with Quantized Nonlinearity Input. IEEE Trans. Syst. Man Cybern. Syst. 2019, 49, 638–648. [Google Scholar] [CrossRef]
- Zuo, Z.Y.; Wang, C.L. Adaptive Trajectory Tracking Control of Output Constrained Multi-rotors Systems. IET Control Theory Appl. 2014, 8, 1163–1174. [Google Scholar] [CrossRef]
- Zheng, Z.; Xia, Y.; Fu, M. Attitude Stabilization of Rigid Spacecraft with Finite-Time Convergence. Int. J. Robust Nonlinear Control 2011, 21, 686–702. [Google Scholar]
- Zhou, Q.; Shi, P.; Xu, S.; Li, H. Observer-Based Adaptive Neural Network Control for Nonlinear Stochastic Systems with Time Delay. IEEE Trans. Neural Netw. Learn. Syst. 2013, 24, 71–80. [Google Scholar] [CrossRef]
- Wu, J.; Chen, X.; Zhao, Q.; Li, J.; Wu, Z. Adaptive Neural Dynamic Surface Control with Prespecified Tracking Accuracy of Uncertain Stochastic Nonstrict-Feedback Systems. IEEE Trans. Cybern. 2020. [Google Scholar] [CrossRef]






| Room Form | Abbreviations |
|---|---|
| dynamic surface control | DSC |
| Lyapunov–Krasovskii functionals | LKFs |
| neural network | NN |
| radial basis function neural networks | RBF NNs |
| Symbols | Description |
|---|---|
| system state, control input | |
| time-varying delays | |
| unknown functions | |
| unknown functions with time-varying delays | |
| independent standard Wiener process | |
| weight vector, input vector, NN node number | |
| NN inherent bounded approximation error | |
| unknown parameter | |
| smooth vector function, Gaussian function | |
| the center of RBFNN, Gaussian function’s width | |
| compensation system state, known constant | |
| state coordinate transformation error | |
| virtual controller, filtered virtual controller, boundary layer error | |
| equivalent virtual units | |
| filter time constant | |
| unknown parameters | |
| adaptive laws | |
| estimate errors | |
| positive constants |
Publisher’s Note: MDPI stays neutral with regard to jurisdictional claims in published maps and institutional affiliations. |
© 2021 by the authors. Licensee MDPI, Basel, Switzerland. This article is an open access article distributed under the terms and conditions of the Creative Commons Attribution (CC BY) license (https://creativecommons.org/licenses/by/4.0/).
Share and Cite
Chen, X.; Wu, Z.; Li, J.; Zhao, Q. Adaptive Asymptotic Regulation for Uncertain Nonlinear Stochastic Systems with Time-Varying Delays. Symmetry 2021, 13, 2284. https://doi.org/10.3390/sym13122284
Chen X, Wu Z, Li J, Zhao Q. Adaptive Asymptotic Regulation for Uncertain Nonlinear Stochastic Systems with Time-Varying Delays. Symmetry. 2021; 13(12):2284. https://doi.org/10.3390/sym13122284
Chicago/Turabian StyleChen, Xuemiao, Ziwen Wu, Jing Li, and Qianjin Zhao. 2021. "Adaptive Asymptotic Regulation for Uncertain Nonlinear Stochastic Systems with Time-Varying Delays" Symmetry 13, no. 12: 2284. https://doi.org/10.3390/sym13122284
APA StyleChen, X., Wu, Z., Li, J., & Zhao, Q. (2021). Adaptive Asymptotic Regulation for Uncertain Nonlinear Stochastic Systems with Time-Varying Delays. Symmetry, 13(12), 2284. https://doi.org/10.3390/sym13122284

