Nuclear Structure Evolution Reflected from Local Relations
Abstract
:1. Introduction
2. Local Relations
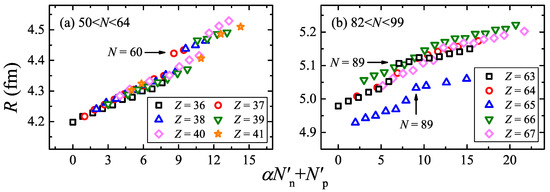
2.1. The Scheme of the Quadrupole Deformation Parameter or the Excitation Energy , and
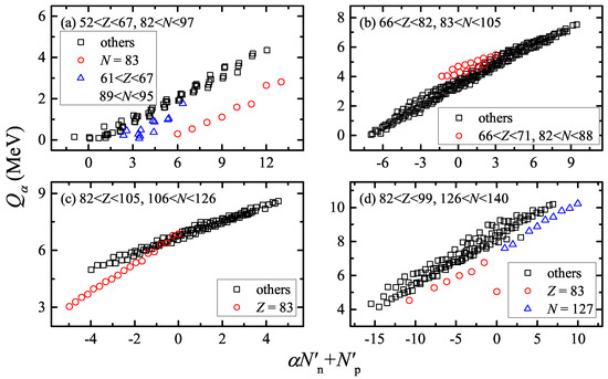
2.2. Relation for Nuclear Charge Radii R and Decay Energies
2.3. The So-Called “Nonpairing” Relation of Binding Energies B and Nuclear Charge Radii R
3. Conclusions
Author Contributions
Funding
Data Availability Statement
Conflicts of Interest
References
- Bartlett, J.H. Nuclear Structure. Nature 1932, 130, 165. [Google Scholar] [CrossRef]
- Bartlett, J.H. Structure of Atomic Nuclei. Phys. Rev. 1932, 41, 370–371. [Google Scholar] [CrossRef]
- Bartlett, J.H. Structure of Atomic Nuclei. II. Phys. Rev. 1932, 42, 145–146. [Google Scholar] [CrossRef]
- Elsasser, W.M. Sur le principe de Pauli dans les noyaux. J. Phys. Radium 1933, 4, 549–556. [Google Scholar] [CrossRef]
- Elsasser, W.M. Sur le principe de Pauli dans les noyaux—II. J. Phys. Radium 1934, 5, 389–397. [Google Scholar] [CrossRef]
- Elsasser, W.M. Sur le principe de Pauli dans les noyaux—III. J. Phys. Radium 1934, 5, 635–639. [Google Scholar] [CrossRef]
- Mayer, M.G. On Closed Shells in Nuclei. Phys. Rev. 1948, 74, 235–239. [Google Scholar] [CrossRef]
- Mayer, M.G. On Closed Shells in Nuclei. II. Phys. Rev. 1949, 75, 1969–1970. [Google Scholar] [CrossRef]
- Mayer, M.G. Nuclear Configurations in the Spin-Orbit Coupling Model. I. Empirical Evidence. Phys. Rev. 1950, 78, 16–21. [Google Scholar] [CrossRef]
- Haxel, O.; Jensen, J.H.D.; Sueß, H.E. Zur Interpretation der ausgezeichneten Nucleonenzahlen im Bau der Atomkerne. Naturwissenschaften 1948, 35, 376. [Google Scholar] [CrossRef]
- Sueß, H.E.; Haxel, O.; Jensen, J.H.D. Zur Interpretation der ausgezeichneten Nucleonenzahlen im Bau der Atomkerne. Naturwissenschaften 1949, 36, 153–155. [Google Scholar] [CrossRef]
- Jensen, J.H.D.; Sueß, H.E.; Haxel, O. Modellmäßige Deutung der ausgezeichneten Nucleonenzahlen im Kernbau. Naturwissenschaften 1949, 36, 155–156. [Google Scholar] [CrossRef]
- Haxel, O.; Jensen, J.H.D.; Sueß, H.E. On the “Magic Numbers" in Nuclear Structure. Phys. Rev. 1949, 75, 1766. [Google Scholar] [CrossRef]
- Haxel, O.; Jensen, J.H.D.; Sueß, H.E. Modellmäßige Deutung der ausgezeichneten Nukleonenzahlen im Kernbau. Z. Phys. 1950, 128, 295–311. [Google Scholar] [CrossRef]
- Mayer, M.G.; Jensen, J.H.D. Elementary Theory of Nuclear Shell Structure; John Wiley & Sons Inc.: New York, NY, USA, 1955. [Google Scholar]
- de-Shalit, A.; Talmi, I. Nuclear Shell Theory; Academic Press Inc.: New York, NY, USA, 1963. [Google Scholar]
- Lawson, R.D. Theory of the Nuclear Shell Model; Oxford University Press: New York, NY, USA, 1980. [Google Scholar]
- Talmi, I. Simple Models of Complex Nuclei: The Shell Model and Interacting Boson Model; Harwood Academic Publishers: Chur, Switzerland, 1993. [Google Scholar]
- Editing group for future strategies study of nuclear and plasma physics. Forefronts and Future Strategies of Nuclear Physics and Plasma Physics; Science Press: Beijing, China, 2017; pp. 121–206. (In Chinese) [Google Scholar]
- Kondev, F.G.; Wang, M.; Huang, W.J.; Naimi, S.; Audi, G. The NUBASE2020 evaluation of nuclear physics properties. Chin. Phys. C 2021, 45, 030001. [Google Scholar] [CrossRef]
- Huang, W.J.; Wang, M.; Kondev, F.G.; Audi, G.; Naimi, S. The AME 2020 atomic mass evaluation (I). Evaluation of input data, and adjustment procedures. Chin. Phys. C 2021, 45, 030002. [Google Scholar] [CrossRef]
- Wang, M.; Huang, W.J.; Kondev, F.G.; Audi, G.; Naimi, S. The AME2020 atomic mass evaluation (II). Tables, graphs and references. Chin. Phys. C 2021, 45, 030003. [Google Scholar] [CrossRef]
- Garvey, G.T.; Kelson, I. New Nuclidic Mass Relationship. Phys. Rev. Lett. 1966, 16, 197–200. [Google Scholar] [CrossRef]
- Garvey, G.T.; Gerace, W.J.; Jaffe, R.L.; Talmi, I.; Kelson, I. Set of Nuclear-Mass Relations and a Resultant Mass Table. Rev. Mod. Phys. 1966, 41, S1–S80. [Google Scholar] [CrossRef]
- Gao, Z.C.; Chen, Y.S. Enhancement of the n − p interaction in odd-odd nuclei. Phys. Rev. C 1999, 59, 735–739. [Google Scholar]
- Gao, Z.C.; Chen, Y.S.; Meng, J. Garvey-Kelson Mass Relations and n-p Interaction. Chin. Phys. Lett. 2001, 18, 1186–1188. [Google Scholar]
- Fu, G.J.; Jiang, H.; Zhao, Y.M.; Pittel, S.; Arima, A. Nuclear binding energies and empirical proton-neutron interactions. Phys. Rev. C 2010, 82, 034304. [Google Scholar] [CrossRef]
- Jiang, H.; Fu, G.J.; Zhao, Y.M.; Arima, A. Nuclear mass relations based on systematics of proton-neutron interactions. Phys. Rev. C 2010, 82, 054317. [Google Scholar] [CrossRef]
- Fu, G.J.; Lei, Y.; Jiang, H.; Zhao, Y.M.; Sun, B.; Arima, A. Description and evaluation of nuclear masses based on residual proton-neutron interactions. Phys. Rev. C 2011, 84, 034311. [Google Scholar] [CrossRef]
- Jiang, H.; Fu, G.J.; Sun, B.; Liu, M.; Wang, N.; Wang, M.; Ma, Y.G.; Lin, C.J.; Zhao, Y.M.; Zhang, Y.H.; et al. Predictions of unknown masses and their applications. Phys. Rev. C 2012, 85, 054303. [Google Scholar] [CrossRef]
- Casten, R.F. NpNn systematics in heavy nuclei. Nucl. Phys. A 1985, 443, 1–28. [Google Scholar] [CrossRef]
- Casten, R.F.; Zamfir, N.V. The evolution of nuclear structure: The NpNn scheme and related correlations. J. Phys. G Nucl. Part. Phys. 1996, 22, 1521–1552. [Google Scholar] [CrossRef]
- Casten, R.F. Nuclear Structure from a Simple Perspective, 2nd ed.; Oxford University Press: New York, NY, USA, 2000. [Google Scholar]
- Zhao, Y.M.; Casten, R.F.; Arima, A. Generalization of the NpNn Scheme and the Structure of the Valence Space. Phys. Rev. Lett. 2000, 85, 720–723. [Google Scholar] [CrossRef] [PubMed] [Green Version]
- Zhao, Y.M.; Arima, A. Generalization of the NpNn scheme to nonyrast levels of even-even nuclei. Phys. Rev. C 2003, 68, 017301. [Google Scholar] [CrossRef] [Green Version]
- Casten, R.F. Possible Unified Interpretation of Heavy Nuclei. Phys. Rev. Lett. 1985, 54, 1991–1994. [Google Scholar] [CrossRef]
- Casten, R.F.; Brenner, D.S.; Haustein, P.E. Valence p-n interactions and the development of collectivity in heavy nuclei. Phys. Rev. Lett. 1987, 58, 658–661. [Google Scholar] [CrossRef]
- Möller, P.; Nix, J.R.; Myers, W.D.; Swiatecki, W.J. Nuclear Ground-State Masses and Deformations. At. Data Nucl. Data Tables 1995, 59, 185–381. [Google Scholar] [CrossRef] [Green Version]
- Sakai, M. Quasi-bands in even-even nuclei. At. Data Nucl. Data Tables 1984, 31, 399–432. [Google Scholar] [CrossRef]
- National Nuclear Data Center. Available online: https://www.nndc.bnl.gov/ (accessed on 27 September 2021).
- Zhao, Y.M.; Arima, A.; Casten, R.F. Systematics of nuclear deformation in large regions. Phys. Rev. C 2001, 63, 067302. [Google Scholar] [CrossRef]
- Bao, M.; Zong, Y.Y.; Zhao, Y.M.; Arima, A. Local relations of nuclear charge radii. Phys. Rev. C 2020, 102, 014306. [Google Scholar] [CrossRef]
- Angeli, I.; Marinova, K.P. Table of experimental nuclear ground state charge radii: An update. At. Data Nucl. Data Tables 2013, 99, 69–95. [Google Scholar] [CrossRef]
- The Table of Experimental Nuclear Charge Radii. Available online: https://www-nds.iaea.org/radii/ (accessed on 29 September 2021).
- Fu, G.J.; Bao, M.; He, Z.; Jiang, H.; Zhao, Y.M.; Arima, A. Pairing interactions and one-nucleon separation energies. Phys. Rev. C 2012, 86, 054303. [Google Scholar] [CrossRef]
- Rowe, D.J.; Wood, J.L. Fundamentals of Nuclear Models: Foundational Models; World Scientific Publishing Company: Singapore, 2010; pp. 41–44. [Google Scholar]
- Jia, J.; Qian, Y.; Ren, Z. Systematics of α-decay energies in the valence correlation scheme. Phys. Rev. C 2021, 103, 024314. [Google Scholar] [CrossRef]
- Casten, R.F. A simple approach to nuclear transition regions. Phys. Lett. B 1985, 152, 145–150. [Google Scholar] [CrossRef]
- Ogawa, M.; Broda, R.; Zell, K.; Daly, P.J.; Kleinheinz, P. Lowest 2+ State in and the Energy Gap at Z = 64. Phys. Rev. Lett. 1978, 41, 289–292. [Google Scholar] [CrossRef]
- Casten, R.F.; Warner, D.D.; Brenner, D.S.; Gill, R.L. Relation between the Z = 64 Shell Closure and the Onset of Deformation at N = 88–90. Phys. Rev. Lett. 1981, 47, 1433–1436. [Google Scholar] [CrossRef]
- Zamfir, N.V.; Casten, R.F. Nonpairing like-nucleon valence residual interactions. Phys. Rev. C 1991, 43, 2879–2882. [Google Scholar] [CrossRef]
- Casten, R.F.; Zamfir, N.V. Evolution of pre-collective nuclei: Structural signatures near the drip lines. Phys. Scr. 1995, T56, 47–57. [Google Scholar] [CrossRef]
- Ozawa, A.; Kobayashi, T.; Suzuki, T.; Yoshida, K.; Tanihata, I. New Magic Number, N = 16, near the Neutron Drip Line. Phys. Rev. Lett. 2000, 84, 5493–5495. [Google Scholar] [CrossRef]
- Gupta, R.K.; Balasubramaniam, M.; Kumar, S.; Patra, S.K.; Münzenberg, G.; Greiner, W. Magic numbers in exotic light nuclei near drip lines. J. Phys. G Nucl. Part. Phys. 2006, 32, 565–571. [Google Scholar] [CrossRef]
- Federman, P.; Pittel, S. Unified shell-model description of nuclear deformation. Phys. Rev. C 1979, 20, 820–829. [Google Scholar] [CrossRef]
- Tabor, S.L. Collective systematics in the mass 80 region. Phys. Rev. C 1986, 34, 311–316. [Google Scholar] [CrossRef] [PubMed]










Publisher’s Note: MDPI stays neutral with regard to jurisdictional claims in published maps and institutional affiliations. |
© 2021 by the authors. Licensee MDPI, Basel, Switzerland. This article is an open access article distributed under the terms and conditions of the Creative Commons Attribution (CC BY) license (https://creativecommons.org/licenses/by/4.0/).
Share and Cite
Bao, M.; Wei, Q. Nuclear Structure Evolution Reflected from Local Relations. Symmetry 2021, 13, 2253. https://doi.org/10.3390/sym13122253
Bao M, Wei Q. Nuclear Structure Evolution Reflected from Local Relations. Symmetry. 2021; 13(12):2253. https://doi.org/10.3390/sym13122253
Chicago/Turabian StyleBao, Man, and Qian Wei. 2021. "Nuclear Structure Evolution Reflected from Local Relations" Symmetry 13, no. 12: 2253. https://doi.org/10.3390/sym13122253
APA StyleBao, M., & Wei, Q. (2021). Nuclear Structure Evolution Reflected from Local Relations. Symmetry, 13(12), 2253. https://doi.org/10.3390/sym13122253

