Synchronizability of Multi-Layer-Coupled Star-Composed Networks
Abstract
:1. Introduction
- We provide definitions of star-composed networks and introduce the relevant theoretical knowledge required for the synchronization of multi-layer networks.
- The supra-Laplacian matrix of multi-layer-coupled star-composed networks is given according to the MSF. With the help of graph theory and graph operation, the important indexes reflecting the synchronizability are obtained for the cases of bounded and unbounded synchronized regions.
- According to the important indexes of synchronizability, we obtain the relationships between synchronizability and the parameters of multi-layer-coupled star-composed networks.
- Through simulation experiments, we obtain the relationships between the synchronizability and various parameters, and provide a theoretical basis for optimizing the synchronizability of multi-layer-coupled star-composed networks.
2. Preliminaries
2.1. The Synchronizability of Multi-Layer Networks
2.2. Graph Theory and Star-Composed Networks
3. The Eigenvalue Spectrum and Synchronizability Indexes of Multi-Layer Coupled Star-Composed Networks
3.1. The Eigenvalue Spectrum and Synchronizability Indexes of
3.2. The Eigenvalue Spectrum and Synchronizability Indexes of
3.3. The Eigenvalue Spectrum and Synchronizability Indexes of
4. Numerical Simulation Experiment and Analysis
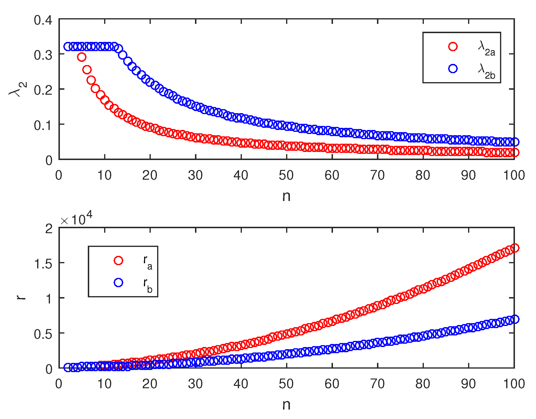
- When the synchronized region is unbounded, we set , with the increase in k as in Figure 6. remains unchanged at 0.2918 and remains unchanged at 0.32. The synchronizability is not affected by k. We set . With the increase in n in Figure 7, remains unchanged at 0.32 and then decreases monotonically to 0.0196, while remains unchanged at 0.32 and then decreases monotonically to 0.0486. The synchronizability of and reached the maximum at and , respectively, and the length of the paths reaches the maximum. We set , with the increase in a as in Figure 8. monotonically increases from 0.0729 to 0.32 and then remains unchanged, while monotonically increases from 0.1629 to 0.32 and then remains unchanged. The synchronizability of and reaches the maximum at and , respectively, and the intralayer coupling strength is the minimum. We set . With the increase in d in Figure 9, monotonically increases from 0.04 to 0.2918 and then remains unchanged, while monotonically increases from 0.04 to 0.6515 and then remains unchanged. The synchronizability of and reaches the maximum at and , respectively, and the interlayer coupling strength is the minimum. We set , with the increase in as Q in Figure 10. monotonically increases from 0.016 to 0.2918 and then remains unchanged, while monotonically increases from 0.016 to 0.6515 and then remains unchanged. The synchronizability of and reaches the maximum at and , respectively, and the number of layers is the minimum.
- When the synchronized region is bounded, we set , with the increase in k as in Figure 6. monotonically increases from 91.2508 to 1094.7 and monotonically increases from 83.2082 to 998.1725. When k is the minimum, the synchronizability is the maximum. We set . With the increase in n in Figure 7, rapidly increases from 127.0276 to 17141 and rapidly increases from 127.0276 to 6922.5. When n is the minimum, the synchronizability is the maximum. We set . With the increase in a in Figure 8, decreases slowly from 174.5482 to 171.1677 and then increases rapidly to 233.7460, while decreases slowly from 78.1736 to 77.2113 and then increases rapidly to 233.7460. The synchronizability of and reaches the maximum at and , respectively. We set . With the increase in d in Figure 9, decreases rapidly from 1242.3 to 171.2582 and then increases monotonically to 581.4077, while decreases slowly from 1242.3 to 77.2526 and then increases rapidly to 260.3906. The synchronizability of and reaches the maximum at and , respectively. We set . With the increase in Q in Figure 10, rapidly decreases from 3104.3 to 171.1760 and then slowly increases to 172.9032, while decreases rapidly from 3104.3 to 77.2158 and then increases slowly to 77.4368. The synchronizability of and reaches the maximum at and , respectively.
5. Main Results
5.1. The Parameters That Affect the Synchronizability of Star-Composed Networks
5.2. Optimizing Synchronizability of Networks
- When the synchronized region is unbounded, the synchronizability is not affected by k. With the increase in the length of paths n, the synchronizability of the networks remains unchanged and then decreases. The synchronizability of reaches the maximum at and the length of paths reaches the maximum. With the increase in intralayer coupling strength a, the synchronizability of the networks increases first and then remains unchanged. The synchronizability of reaches the maximum at , and the intralayer coupling strength is the minimum. With the increase in interlayer coupling strength d, the synchronizability of the networks increases first and then remains unchanged. The synchronizability of reaches the maximum at and the interlayer coupling strength is the minimum. With the increase in the number of layers Q, the synchronizability of the networks increases first and then remains unchanged. The synchronizability of reaches the maximum at and the number of layers is the minimum. It can be seen that in order to improve the synchronizability of the networks, the length of paths n should be appropriately reduced, and the intralayer coupling strength a, interlayer coupling strength d, and number of layers Q should be appropriately increased.
- When the synchronized region is bounded, with the increase in the branchings k and the length of paths n, the synchronizability of the networks continues to weaken. With the increase in the intralayer coupling strength a, the synchronizability of the networks increases first and then decreases. The synchronizability of reaches the maximum at . With the increase in the interlayer coupling strength d, the synchronizability of the networks increases first and then decreases. The synchronizability of reaches the maximum at . With the increase in the number of layers Q, the synchronizability of the networks increases first and then decreases. The synchronizability of reaches the maximum at . From the above analysis, in order to improve the synchronizability of the networks, we reduce the branchings k and the length of paths n and appropriately increase the intralayer coupling strength a, interlayer coupling strength d, and number of layers Q to the corresponding inflection points.
5.3. Impact of the Number of Central Nodes on the Synchronizability
Author Contributions
Funding
Institutional Review Board Statement
Informed Consent Statement
Data Availability Statement
Acknowledgments
Conflicts of Interest
References
- Granell, C.; Gómez, S.; Arenas, A. Dynamical interplay between awareness and epidemic spreading in multiplex networks. Phys. Rev. Lett. 2013, 111, 128701. [Google Scholar] [CrossRef] [PubMed] [Green Version]
- Min, B.; Yi, S.; Lee, K.; Goh, K. Network robustness of multiplex networks with interlayer degree correlations. Phys. Rev. E 2014, 89, 042811. [Google Scholar] [CrossRef] [PubMed] [Green Version]
- Borgatti, S.; Mehra, A.; Brass, D.; Labianca, G.; Labianca, G. Network analysis in the social sciences. Science 2009, 323, 892–895. [Google Scholar] [CrossRef] [Green Version]
- Huang, S.; Zhang, J.; Wang, L.; Hu, X. Social friend recommendation based on multiple network correlation. IEEE Trans. Multimed. 2016, 18, 287–299. [Google Scholar] [CrossRef]
- Ramos, L.A.A.; Jaquez, R.B.; Schaum, A. Output-Feedback Control for Discrete-Time Spreading Models in Complex Networks. Entropy 2018, 20, 204. [Google Scholar] [CrossRef] [Green Version]
- Jaquez, R.B.; Ramos, L.A.A.; Schaum, A. Spreading Control in Two-Layer Multiplex Networks. Entropy 2020, 22, 1157. [Google Scholar] [CrossRef]
- Jalan, S.; Kumar, A.; Schaum, I.L. Explosive synchronization in frequency displaced multiplex networks. Chaos 2019, 29, 041102. [Google Scholar] [CrossRef]
- Li, J.; Luan, Y.; Wu, X.; Lu, J. Synchronizability of double-layer dumbbell net-works. Chaos 2021, 31, 073101. [Google Scholar] [CrossRef]
- Zhang, H.; Ye, M.; Ye, R.; Cao, J. Synchronization stability of Riemann-Liouville fractional delay-coupled complex neural networks. Phys. A Stat. Mech. Its Appl. 2018, 508, 155–165. [Google Scholar] [CrossRef]
- Xu, M.; Lu, J.; Zhou, J. Synchronizability and eigenvalues of two-layer star networks. Acta Phys. Sin. 2016, 65, 028902. [Google Scholar]
- Huang, D.; Zhu, J.; Yu, Z.; Jiang, H. Cluster-delay consensus in MASS with layered intermittent communication: A multi-tracking approach. Symmetry 2021, 13, 1248. [Google Scholar] [CrossRef]
- Sun, W.; Li, Y.; Liu, S. Noisy consensus dynamics in windmill-type graphs. Chaos 2020, 30, 123131. [Google Scholar] [CrossRef] [PubMed]
- Zhou, M.; Li, X.; Xiong, W.; Wu, X.; Liao, H. Cooperation of local and collective synchronization in complex networks. Phys. A Stat. Mech. Its Appl. 2019, 526, 120963. [Google Scholar] [CrossRef]
- Vaseghi, B.; Mobayen, S.; Hashemi, S.S.; Fekih, A. Fast reaching fifinite time synchronization approach for chaotic systems with application in medical image encryption. IEEE Access 2021, 9, 25911–25925. [Google Scholar] [CrossRef]
- Hu, C.; He, H.; Jiang, H. Synchronization of complex-valued dynamic networks with intermittently adaptive coupling: A direct error method. Automatica 2019, 112, 108675. [Google Scholar] [CrossRef]
- Kan, J.; Ma, C.; Zhang, H.; Xiang, B. Interplay of epidemic spreading and strategy-mixed awareness diffusion on multiplex networks. Int. J. Mod. Phys. C 2020, 31, 2050085. [Google Scholar] [CrossRef]
- Niu, R.; Wu, X.; Lu, J.; Lü, J. Adaptive Diffusion Processes of Time-Varying Local Information on Networks. IEEE Trans. Circuits Syst. II Express Briefs 2019, 66, 1592–1596. [Google Scholar] [CrossRef] [Green Version]
- Yu, Q.; Yu, Z.; Ma, D. A Multiplex Network Perspective of Innovation Diffusion: An Information-Behavior Framework. IEEE Access 2020, 8, 36427–36440. [Google Scholar] [CrossRef]
- Wang, X.; Tejedor, A.; Wang, Y.; Moreno, Y. Unique superdiffusion induced by directionality in multiplex networks. New J. Phys. 2021, 23, 013016. [Google Scholar] [CrossRef]
- Yan, H.; Zhou, J.; Li, W.; Lu, J.; Fan, R. Superdiffusion criteria on duplex networks. Chaos 2021, 31, 073108. [Google Scholar] [CrossRef]
- Sun, W.; Sun, M.; Guan, J.; Jia, Q. Robustness of Coherence in Noisy Scale-Free Networks and Applications to Identification of Influential Spreaders. IEEE Trans Circuits Syst. II Express Briefs 2020, 67, 1274–1278. [Google Scholar] [CrossRef]
- Mofifid, O.; Momeni, M.; Mobayen, S.; Fekih, A. A disturbance-observer-based sliding mode control for the robust synchronization of uncertain delayed chaotic systems: Application to data security. IEEE Access 2021, 9, 16546–16555. [Google Scholar] [CrossRef]
- Kang, H.; Liu, K.; Fu, X. Dynamics of an epidemic model with quarantine on scale-free networks. Phys. Lett. A 2017, 381, 3945–3951. [Google Scholar] [CrossRef]
- Mei, G.; Wu, X.; Wang, Y.; Hu, M.; Lu, J.A.; Chen, G. Compressive-sensing based structure identifification for multi-layer networks. IEEE Trans. Cybern. 2018, 48, 754–764. [Google Scholar] [CrossRef] [PubMed]
- Huang, C.; Zhu, L. Robust evaluation method of communication network based on the combination of complex network and big data. Neural Comput. Appl. 2021, 33, 887–896. [Google Scholar] [CrossRef]
- Chutani, M.; Tadic, B.; Gupte, N. Hysteresis and synchronization processes of Kuramoto oscillators on high-dimensional simplicial complexes with the competing simplex-encoded couplings. Phys. Rev. E 2021, 104, 034206. [Google Scholar] [CrossRef]
- Pecora, M.; Carroll, L. Master Stability Functions for Synchronized Coupled Systems. Phys. Rev. Lett. 1998, 80, 2109–2112. [Google Scholar] [CrossRef]
- Aguirre, J.; Sevilla-Escoboza, R.; Gutíerrez, R.; Papo, D.; Buldú, J. Synchronization of Interconnected Networks: The Role of Connector Nodes. Phys. Rev. Lett. 2014, 112, 248701. [Google Scholar] [CrossRef] [Green Version]
- Zhu, J.; Huang, D.; Jiang, H.; Bian, J.; Yu, Z. Synchronizability of multi-layer variable coupling windmill-type networks. Mathematics 2021, 9, 2721. [Google Scholar] [CrossRef]
- Deng, Y.; Jia, Z.; Deng, G.; Zhang, Q. Eigenvalue spectrum and synchronizability of multiplex chain networks. Phys. A Stat. Mech. Its Appl. 2020, 537, 122631. [Google Scholar] [CrossRef]
- Li, N.; Zheng, W. Bipartite synchronization for inertia memristor-based neural networks on coopetition networks. Neural Netw. 2020, 124, 39–49. [Google Scholar] [CrossRef] [PubMed]
- Tang, L.; Wu, X.; Lü, J.; Lu, J.; D’Souza, R. Master stability functions for complete, intralayer, and interlayer synchronization in multiplex networks of coupled Rössler oscillators. Phys. Rev. E 2019, 99, 012304. [Google Scholar] [CrossRef] [PubMed] [Green Version]
- Jäntschi, L. The Eigenproblem Translated for Alignment of Molecules. Symmetry 2019, 11, 1027. [Google Scholar]
- Barik, S.; Sahoo, G. On the Laplacian spectra of some variants of corona. Linear Algebra Its Appl. 2017, 512, 32–47. [Google Scholar] [CrossRef]
- Cvetkovic, D.; Rowlinson, P.; Simic, S. An Introduction to the Theory of Graph Spectra; Cambridge University Press: Cambridge, UK, 2010. [Google Scholar]
- Li, X.; Li, X.; Hu, C. Some new results on stability and synchronization for delayed inertial neural networks based on non-reduced order method. Neural Netw. 2017, 96, 91–100. [Google Scholar] [CrossRef]










| − | ↓ | ↑ | − | − | ||
| − | − | − | ↑ | ↑ | ||
| ↑ | ↑ | ↓ | ↑ | ↑ | ||
| ↑ | ↑ | ↑ | ↓ | ↓ |
| − | ↓ | ↑ | − | − | ||
| − | − | − | ↑ | ↑ | ||
| ↑ | ↑ | ↓ | ↑ | ↑ | ||
| ↑ | ↑ | ↑ | ↓ | ↓ |
| − | ↓ | ↑ | − | − | ||
| − | − | − | ↑ | ↑ | ||
| ↑ | ↑ | ↓ | ↑ | ↑ | ||
| ↑ | ↑ | ↑ | ↓ | ↓ |
Publisher’s Note: MDPI stays neutral with regard to jurisdictional claims in published maps and institutional affiliations. |
© 2021 by the authors. Licensee MDPI, Basel, Switzerland. This article is an open access article distributed under the terms and conditions of the Creative Commons Attribution (CC BY) license (https://creativecommons.org/licenses/by/4.0/).
Share and Cite
Gao, H.; Zhu, J.; Li, X.; Chen, X. Synchronizability of Multi-Layer-Coupled Star-Composed Networks. Symmetry 2021, 13, 2224. https://doi.org/10.3390/sym13112224
Gao H, Zhu J, Li X, Chen X. Synchronizability of Multi-Layer-Coupled Star-Composed Networks. Symmetry. 2021; 13(11):2224. https://doi.org/10.3390/sym13112224
Chicago/Turabian StyleGao, Haiping, Jian Zhu, Xianyong Li, and Xing Chen. 2021. "Synchronizability of Multi-Layer-Coupled Star-Composed Networks" Symmetry 13, no. 11: 2224. https://doi.org/10.3390/sym13112224
APA StyleGao, H., Zhu, J., Li, X., & Chen, X. (2021). Synchronizability of Multi-Layer-Coupled Star-Composed Networks. Symmetry, 13(11), 2224. https://doi.org/10.3390/sym13112224
