Abstract
Resident combustion of solid fuel has been widely acknowledged as a high potential for pollutant reduction. However, there is a marked asymmetry between more pollutant emission and less burned volatiles of biomass and coal in the combustion process. To study the solid fuel optimum combustion form in a household stove, both the pollution reduction and energy efficient utilization of crop straws and coals were investigated. Taking the molding pressure and clay addition ratio as variable process conditions, the research of bio-coal briquette (made from the mixture of anthracite and biomass) was implemented in the range of 15~35 MP and 5~15%, respectively. Biomass and coal work complementarily for each other’s combustion property development. In particular, the pyrolysis gas produced by biomass low-temperature devolatilization is featured with low ignition point and is distributed in the bio-coal briquette. Its own combustion provides energy for anthracite particle combustion. Consequently, a positive effect was identified when bio-coal briquettes were used as residential fuel, and further improvement manifested in reducing more than 90% of particle matter (PM) and achieving about twice the thermal efficiencies (TEs) compared with the mass-weighted average values of coal briquettes and biomass briquettes. 88.8 ± 11.8%, 136.7 ± 13.7% and 81.4 ± 17.7% more TEs were provided by wheat straw–coal briquettes, rice straw–coal briquettes and maize straw–coal briquettes. 93.3 ± 3.1% (wheat straw–coal), 97.6 ± 0.2% (rice straw–coal) and 90.4 ± 2.2% (maize straw–coal) in terms of PM2.5 emission factors (EFs) was reduced. For bio-coal briquette, a 25 MPa and 10% addition were determined as the optimum molding pressure and clay addition ratio. Bio-coal briquettes with higher TEs and lower PM EFs will bring about substantial benefits for air quality promotion, human health and energy saving.
1. Introduction
Solid fuel is still one of the major household energy sources in developing countries. Taking China for example, although China is moving towards cleaner energy sources, such as natural gas and electricity, raw solid fuels are still often used in daily cooking in rural areas [1]. Utilization of raw biomass and coal chunk is widely adopted because of their easy accessibility and low cost. Energy waste, however, is produced with the extensive domestic use of these low efficiency fuels [2,3,4] and the generated pollutant emissions are orders of magnitude higher than those in power stations or industrial facilities [5]. Due to the large amount of solid fuel burning in household stoves, the indoor organic carbon (OC) and elemental carbon (EC) levels of rural households are significantly higher than those of urban areas [6]. Over 40% of primary PM2.5 (the particulate matter with an aerodynamic diameter ≤2.5 μm) is attributed to residential combustion, and 10% of ambient pollutants are from household cooking fuel in China [7], which thereby seriously affects the climate [8]. In addition, household residents who use biomass fuels for cooking have the highest known risk of polychlorinated dibenzo-p-dioxins and dibenzofurans exposure [9]. It is estimated that global premature deaths caused by PM2.5 exposure to the ambient and indoor environment due to the use of solid fuels is 2.94 million people and 1.61 million people, respectively [10]. The search for an ideal substitute for the traditional solid fuel is an urgent call for energy researchers.
The volatile matter is closely related to the solid fuel combustion properties [11,12]. In accordance with intensive investigation, volatile content has been reported to exert significant influence on pollutant emissions [13,14,15], which is now controlled as one of the criteria for the coal’s market access by the national government. There is a considerable gap in PM2.5 EFs between solid fuel characterized by high volatile content (e.g., bituminous or lignite) and low volatile content (e.g., anthracite) [14,16]. The argument has been sufficiently backed up by further studies: the concentrations of PM2.5, 16 Polycyclic aromatic hydrocarbons (PAHs) and BaP were generally in the order of smokeless coal < smoky coal < wood < crop residue [15,17,18]. This can be explained by the fact that more volatile matter aggravates the instability of fuel’s combustion during ignition and pyrolysis stages [19]. When released within a short period, most of the devolatilized matter comprises of unburned organic compounds acting as precursors for the PM [16]. Their ignition performance arrange in the reverse order, which is positively correlated with volatile matter. Therefore, effective control of volatile matter is a key sector of developing substitute solid fuel.
Solid fuel combustion form has been identified as a significant influence factor on energy utilization and pollutant emissions, which are closely related to volatile matter [15,16]. Furthermore, molding technology, including biomass pellets, biomass briquettes, honeycomb briquettes and coal briquettes, is considered as an effective pathway to develop substitute energies with low pollutant EFs and high TEs by domestic and overseas scholars over the past decades [13,15]. Current studies mainly just focus on the contrast of energy and pollutant emission when raw materials are molded into briquettes or pellets. Compared with raw biomass fuels, biomass pellets produce much lower pollutant emissions [20,21], and the TEs are 1.71~3.12 times of raw biomass in an advanced stove as well [22]. Honeycomb-coal briquettes achieved PM EFs reduction by 40–80% compared with coal chunks [15]. PAHs EFs of coal briquettes also increased compared with that of the raw coal [23], although previous studies record that they are less one order of magnitude [24]. Anthracite, which is considered as an ideal fuel because of its low pollutant emission, has been challenged for its low burnout degree and ignition problem [13]. The finding has great significance for exploring substitute solid fuel; modification of anthracite is a promising method if the problem of low burnout degree can be solved effectively according to the natural properties of anthracite. NOx in pulverized coal combustion is reduced by injecting CO2 into oxidant [25]. Biomass resources are explored as potential alternatives for diesel to develop low emission technology in the industrial field because of their chemical and physical properties [26,27]. Using biodiesel as CNG pilot fuel can reduce NOx emission and smoke [28]. Existing literature [29] has discussed the combustion mechanism of anthracite coal mixed with different biomass contents, but the effects of molding pressure and binder, the key technical parameters affecting briquette’s properties [13,30,31], were not taken into consideration. Clay plays a catalyst role in reducing PM, cracking down the coal char into carbon and hydrogen and decreasing the PM precursors [13]. This is completely opposite to the performance in industrial pulverized coal furnace, in which more PM is produced with the increase in ash content. The distinct combustion style is responsible for the differences, because ash mainly piles up and is difficult to leave the chimney with flue gas in household stoves. In addition, PM emissions are also affected by ash content, which can be adjusted flexibly by molding technology [16]. Red mud mixed in pure coal briquetting with content of 0% to 10% was reported to play a more essential role on the reduction of PM2.5 emissions than the briquetting technology [32]. However, considering the positive effects of the addition of biomass to anthracite briquetting, little record on optimum combination of these factors to reduce pollutant emissions and improve TEs has been founded. Thus, how the pollutant emission produced by these briquettes changes under different molding pressure and clay content from typical cooking activities is still unknown, and the active mechanism of mixed briquetting of biomass and coal needs to be further clarified as well.
The objective of this study is to evaluate the environmental benefits of briquette produced under different production process conditions as household cooking fuel in the same combustion condition, in search of an ideal substitute solid fuel by molding. This study contrasts and reassesses the results of TE and PM EFs between biomass and coal with different combustion forms, and intensely investigates the relationship between combustion properties and pollutant emissions. The influence of molding pressure and clay-adding content upon bio-coal briquette were investigated according to the revealed acting mechanism of molding technology.
2. Materials and Methods
2.1. Solid Fuel Samples
China is a large agricultural country. Crop straw are cheap, easily available and renewable resources [29]. Three main crop straws (maize straw, wheat straw and rice straw) from Xuzhou in Jiangsu province and anthracite (diameter of ~3 cm) from Shanxi province were used for this study (the details of raw materials are showed in Table 1). A typical thermogravimetric analysis (TGA) was conducted of the tested anthracite and biomass samples using a heating rate of 5 (K/min) under air atmospheres (see Figure S1).
Table 1.
Fuel quality information obtained by proximate, elemental analysis and net calorific values for tested samples in this study.
These briquettes and bio-coal briquettes were made with the same process technology: 1 mm (particle size), 25 MPa (molding pressure), ellipse shape (3 cm diameter and 2 cm height) and 10% clay (bonding agent).
To investigate the influence of the molding pressure on the TEs and PM EFs, the three bio-coal briquette samples were produced with five different molding pressures: 15, 20, 25, 30 and 35 MPa, and other process conditions were the same with the above.
To investigate the influence of clay-adding content on the TEs and PM EFs, the three bio-coal briquette samples were manufactured with five different clay-adding contents: 5, 7, 10, 12 and 15%, and other process conditions were the same with the above.
Nature drying method was adopted for crop straw to reach the common use level, and all briquettes were dried in an oven at 60 °C for 12 h.
2.2. Household Cooking Stove and the Measurement of TEs
The measurement method for TEs adopted in our research has been reported in a previous publication [29]. A household cooking stove, typical in Chinese families, was chosen for the combustion experiment, the fuel mass for each test was fixed 1.0 kg (biomass briquettes), 2.0 kg (coal and bio-coal briquettes) and 2.5 kg (coal chunks) according to the furnace capacity, and 4 kg water in a kettle was put on the stove to measure TE of each solid fuel on the basis of its increased temperature, which is monitored and recorded by a thermocouple in the pot mouth. It was calculated as Equation (1).
where Mw is water mass in kettle, Cw is the heat capacity of water, ΔT is increased temperature of water, Mc is the fuel mass for each test and Qc is the net received calorific value of solid fuel.
2.3. Pollutant Collection System and Analysis Methods
The simulated residential combustion, as reported in a previous publication [29], was adopted in our research. A well-sealed room, sized 2 × 2 × 2.5 m, was made to place the household cooking stove. There was a flue gas pipeline with 22 cm in diameter connected to the top of the room, and two high efficiency particulate air filters were used to purify the inlet and outlet gas to the system. They were installed, respectively, in the rear of the pipe and one side of the room, and each was equipped with a high-powered fan to inject a large amount of purified air to dilute smoke from the solid fuel combustion and then discharge it into the air over time. A particular sampling device was connected with the dilution tunnel at a location of 3 m away from the cooking stove, including PM2.5 cyclone (16.7 L/min; URG-2000-30 EH; URG Inc.), PM1.0 (16.7 L/min; URG-2000-30EHB; URG Inc.) and TSP sampler (homemade). The particle samples were collected on quartz-fiber filters (Pall; 2500QAO-UP; 47 mm diameter) and were weighted with a microbalance with a resolution of 10 μg. For accurate measurement, the quartz filters were stored in a temperature and humidity chamber (25 °C, 40% relative humidity) for 24 h before and after sampling. The flue gas was monitored continuously with flue gas analyzers (Thermo Scientific; 48i, 43i, and 42i for CO, NOX, and SO2, respectively; Thermo Fisher Scientific Inc., Waltham, MA, USA), and CO2 m (GC-0012; Gas Sensing Solutions Ltd., Cumbernauld, Scotland.) over the entire combustion process. In order to ensure the results of scientific accuracy and reliability, each test was repeated three times in addition to the simultaneous sampling, and one-way ANOVA analysis was employed to confirm the validation of experimental results.
The EFs were calculated according to the mass-based (EFm) and delivered energy-based (EFt). The EFm was estimated as Equation (2).
where Mf is particle mass collected, Mc is the mass of solid fuel and F stands for the ratio of total flow rate in the dilution tunnel to the sampling flow rate.
EFt is derived by EFm following the equation (Equation (3)).
To evaluate the combustion properties of bio-coal briquette, the mass-weighted average EFb–c (Equation (4)) and TEb–c (Equation (5)), which was interpolated between the values for 100% biomass and 100% coal according to the mass inclusion of biomass and coal, were introduced.
where EFb, EFc, TEb and TEc are EFs and TEs of biomass briquettes and coal briquettes, respectively, b% and c% stand for proportion of biomass and coal.
3. Results
3.1. Combustion Properties of Bio-Coal Briquettes: High TEs and Low PM EFs
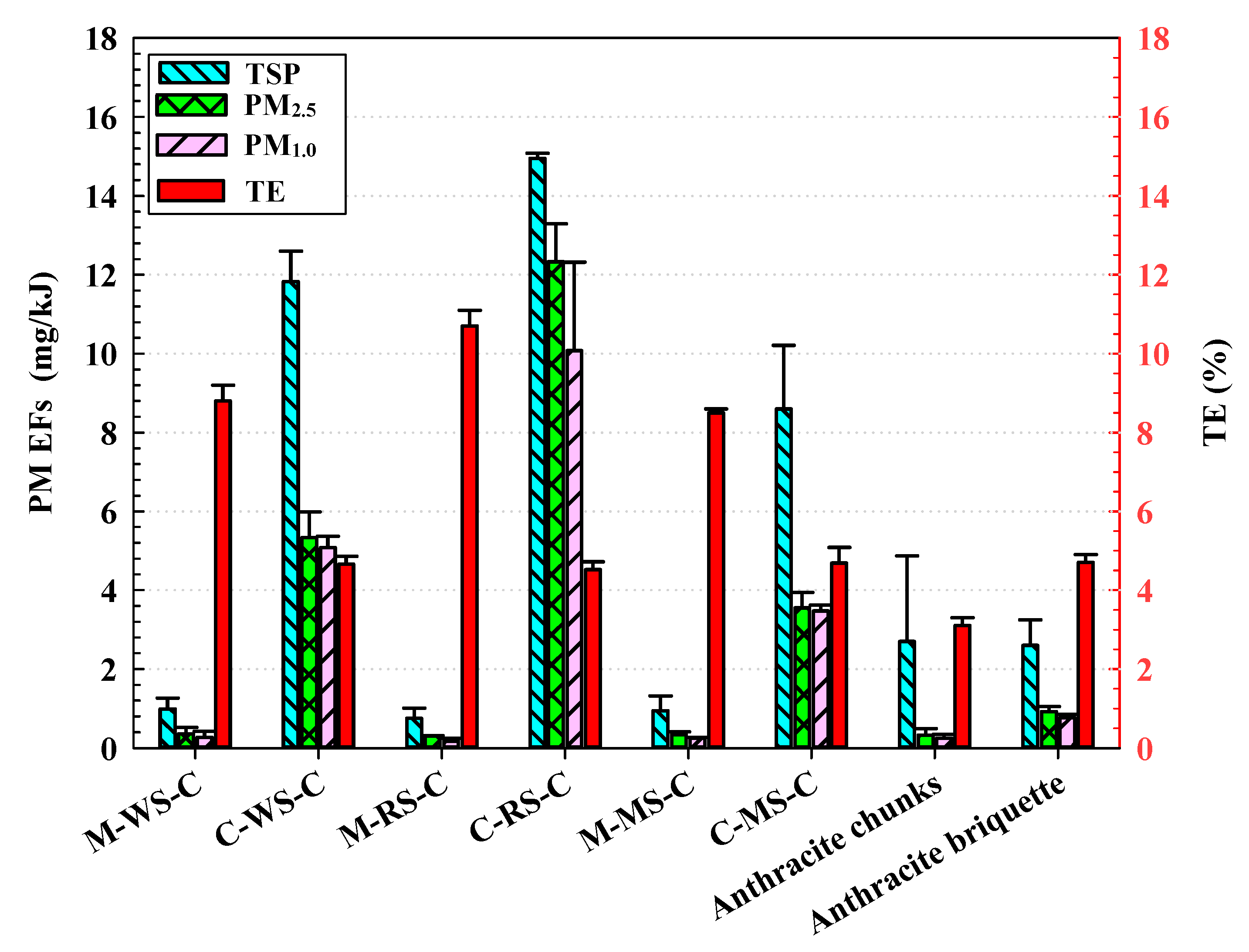
As is presented in Figure 1 (details in Table S1), the TEs of bio-coal briquettes were 8.5~10.7%, and the PM EFs were 0.3~0.36 mg/kJ. A total of 88.8 ± 11.8%, 136.7 ± 13.7% and 81.4 ± 17.7% more TEs were provided by wheat straw–coal briquettes, rice straw–coal briquettes and maize straw–coal briquettes, compared with the mass-weighted average ones. Meanwhile, ~90% PM was reduced, namely 93.3 ± 3.1% (wheat straw–coal), 97.6 ± 0.2% (rice straw–coal) and 90.4 ± 2.2% (maize straw–coal) in terms of PM2.5 EFs reduction. The PM2.5 EFs of wheat straw–coal briquettes, rice straw–coal briquettes and maize straw–coal briquettes were very close to that of anthracite chunks. At the same time, the TEs were much higher than that of anthracite briquettes. The EFs of CO, SO2, NO2 and CO2 of bio-coal briquette displayed a similar tendency with those of PM (see Figure S2; details in Table S2). The energy-based EFs for CO, SO2, NO2 and CO2 were significantly lower in comparison to the calculated mass-weighted averages (p ≤ 0.001), and performed advantages over anthracite chunks and briquette as well (p ≤ 0.001). Further improvements were discovered with respect to TEs increase and PM EFs reduction for bio-coal briquettes, based on the data of biomass briquettes and coal briquettes, according to their proportion.
Figure 1.
PM EFs and TEs of anthracite chunks, anthracite briquette, bio-coal briquettes and the corresponding mass-weighted average ones. M-WS-C, M-RS-C and M-MS-C are the measured values for wheat straw–coal briquettes, rice straw–coal briquettes and maize straw–coal briquettes, respectively. C-WS-C, C-RS-C and C-MS-C are their corresponding mass-weighted average ones on the data of biomass briquettes and coal briquettes.
3.2. Influence of Molding Pressure on PM EFs and TEs of Bio-Coal Briquettes
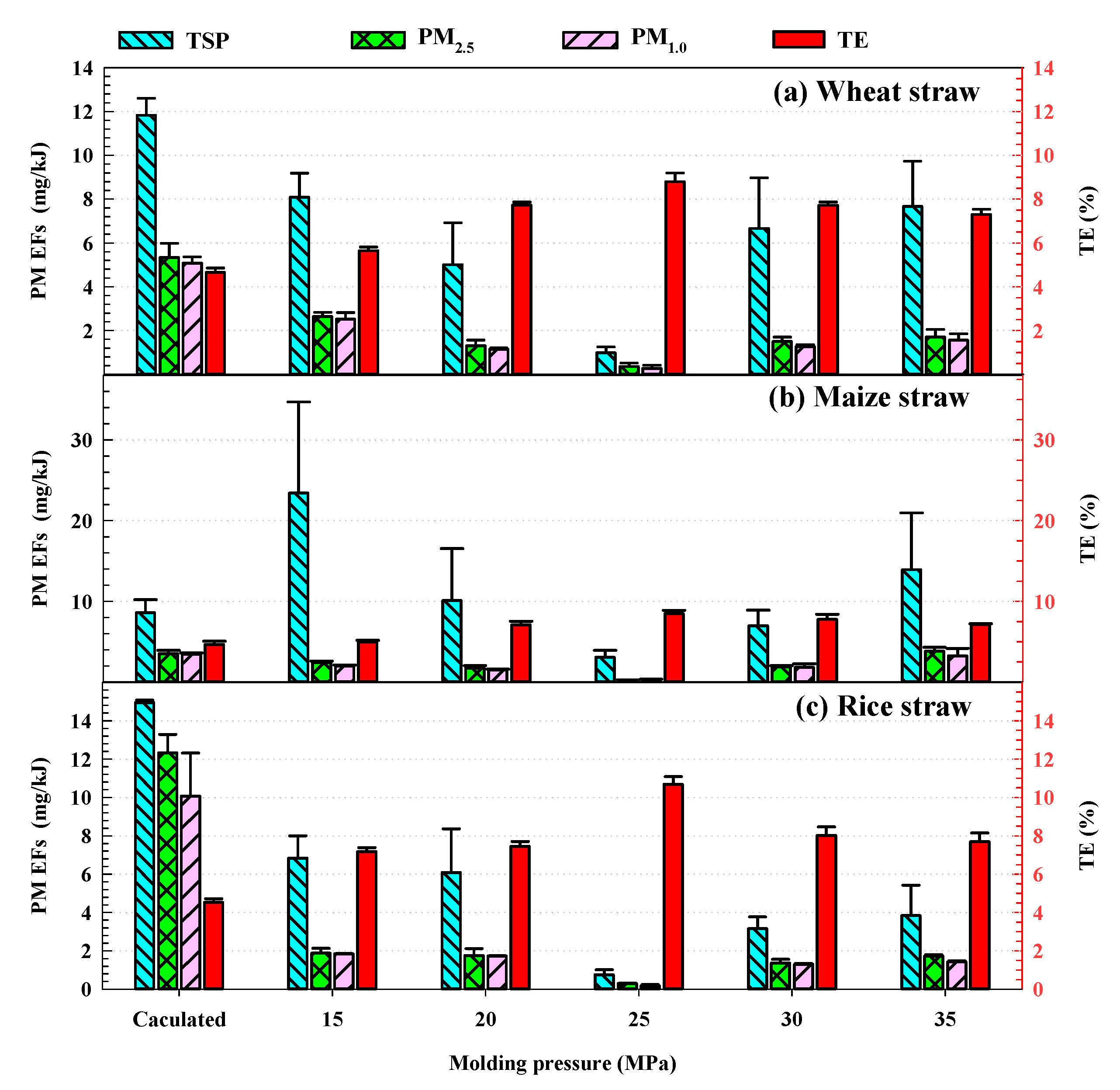
The EFs of TSP, PM2.5 and PM1.0 and TEs of bio-coal briquettes are manufactured with five different molding pressures (10, 15, 25, 30 and 35 MPa) compared with the mass-weighted ones, and are listed in Figure 2 (details in Table S3).
Figure 2.
PM EFs and TEs of bio-coal briquettes various with different molding pressures, in contrast with the corresponding mass-weighted average ones: (a) wheat straw, (b) maize straw and (c) rice straw.
The TEs were 5~8.5%, 5.7~8.8% and 7.2~10.7% for bio-coal briquettes with maize straw, wheat straw and rice straw, respectively. The PM2.5 EFs were 0.34~3.83 mg/kJ, 0.36~2.64 mg/kJ and 0.3~1.87 mg/kJ. Compared to mass-weighted ones, the bio-coal briquettes’ TEs raised by 6.7~81.4%, 21.2~88.8% and 58.6~136.7% (p ≤ 0.001), and the PM2.5 EFs diminished by −8~90.4%, 50.5~93.3% and 84.8~97.6% (p ≤ 0.001). The PM EFs presented a trend that decreased at first then rose up as the molding pressure kept amplifying while the TEs followed a complete similar but opposite development curve with the same turning point of 25 MPa regarding all the three bio-coal briquettes.
3.3. Influence of Clay Addition Ratio on PM EFs and TEs of Bio-Coal Briquettes
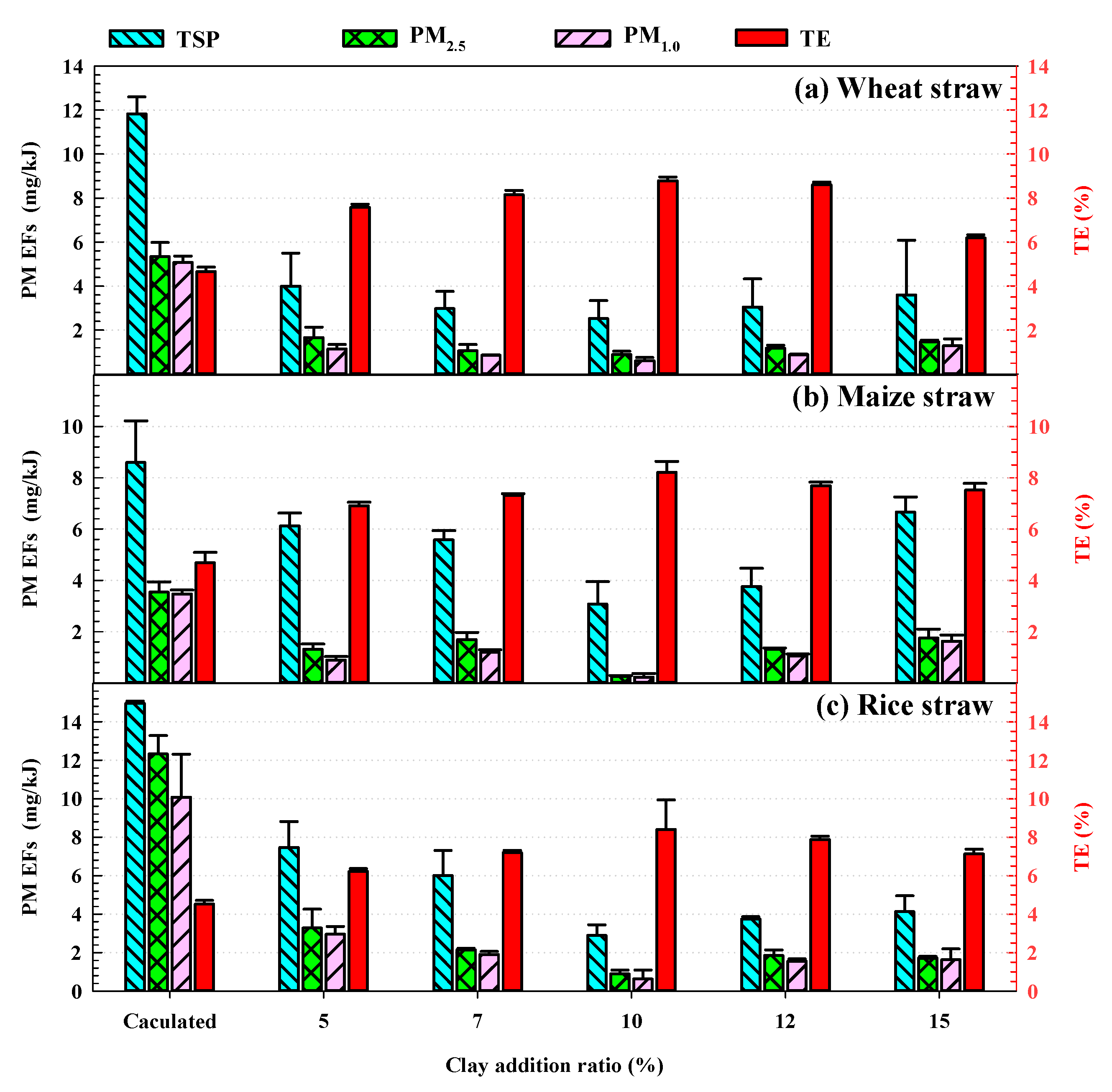
Figure 3 (details in Table S4) shows EFs of TSP, PM2.5 and PM1.0 and TEs from three bio-coal briquettes with five different clay addition ratios, e.g., 5%, 7%, 10%, 12% and 15%, compared with the mass-weighted average ones with an optimum clay addition ratio. The TEs were 6.9~8.2%, 6.2~8.8% and 6.2~8.4% for bio-coal briquettes with maize straw, wheat straw and rice straw, respectively. The PM2.5 EFs were 0.26~1.75 mg/kJ, 0.89~1.65 mg/kJ and 0.89~3.29 mg/kJ. In comparison with the mass-weighted ones, bio-coal briquettes showed considerable increases of 47.5~75.2%, 32.8~88.6% and 37.4~85.8% in terms of TEs (p ≤ 0.001), and a reduction of 50.7~92.7%, 69.1~83.3% and 73.3~92.8% in terms of PM2.5 EFs (p ≤ 0.001). The three briquettes presented a similar trend in both TE and PM EFs with the mounting of clay proportion. There was a positive correlation between TEs and clay proportion when it was less than 10%, and a negative correlation when it exceeded the defined percentage. The opposite trend was discovered when PM EFs were under investigation.
Figure 3.
PM EFs and TEs of bio-coal briquettes varied with different clay addition ratios, in contrast with corresponding mass-weighted average ones at an optimum clay addition ratio: (a) wheat straw, (b) maize straw and (c) rice straw.
4. Discussion
The significantly lower pyrolysis temperature of biomass compared with anthracite is an important reason for the TE development of bio-coal briquettes. The combustion process of biomass includes three stages: volatile removal, volatile combustion and biomass coke combustion. Among them, the first two stages account for most of the process. The combustion of biomass in bio-coal briquette occurs in anoxic combustion state, and the pyrolysis phenomenon is more obvious [33]. The pyrolysis gas produced by biomass low-temperature pyrolysis is characterized by low ignition point. It is believed that the burning of the pyrolysis gas in the bio-coal briquette provides energy for anthracite particle combustion. In order to support this hypothesis, the pyrolysis of biomass and anthracite were analyzed by TGA-MS at a heating rate of 5 (K/min) in argon atmosphere. They were tested using a thermogravimetric analyzer (Setsys evolution16/18, Setaram, France) and a mass spectrometer (Omnistar GSD 301, Pfeiffer, Germany). As shown in Figure 4, the pyrolysis temperatures of biomass and anthracite were different (200–350 °C for biomass, but over 500 °C for anthracite). Biomass released a large amount of CH4 gas at a lower pyrolysis temperature. The generation of such low ignition point gases by biomass pyrolysis at lower temperatures can strongly confirm that biomass exerts a combustion-supporting effect on anthracite.
Figure 4.
TGA-MS analysis of the tested anthracite and wheat straw biomass samples using a heating rate of 5 (K/min) in an argon atmosphere. The rate of residual mass and the release of CH4 (m/z = 16) were monitored when the heating temperature increased from 25 to 700 °C.
This result further identified that the PM2.5 EF reduction of bio-coal briquette is mainly attributed to the combustion-supporting effect of low-temperature pyrolysis gas produced from biomass at the temperature range of 200–350 °C. Due to the insufficient combustion of biomass and coal briquette, less volatiles are burned and more pollutants are discharged, leading to an asymmetry between burned volatile matter and pollutant emission. In accordance with the above analysis, the TE improvement means that combustion completeness increased with the addition of biomass, which reduces the unburned volatile matter of PM precursor [16]. The regression analysis results show that the PM2.5 EFs of bio-coal briquette (y, mg/kJ) and the pyrolysis mass loss rate of biomass at 200–350 °C (x, %) highly accorded with the following quadratic function:
Figure 5 indicates that the measured values were in good agreement with the measured values. The pyrolysis mass loss rate of biomass at 200–350 °C can accurately predict the PM2.5 EFs of bio-coal briquette. The PM2.5 EF of different bio-coal briquettes was well -correlated with the pyrolysis mass loss rate of biomass at 200–350 °C. Previous studies have also shown that the characteristics of rich alkali (earth) metals and a high H/C ratio in biomass contribute to the formation of volatile matter from powdered coal particles, promoting the combustion of anthracite [34,35].
Figure 5.
Measured and predicted PM2.5 EFs for the bio-coal briquettes mixed with different biomass: (a) wheat straw, (b) rice straw and (c) maize straw. The predicted values were obtained by the mass loss rate of the biomass in bio-coal briquettes pyrolysis at 200–350 °C. The illustration in the lower right corner shows the mass loss of the biomass pyrolysis curve.
In addition, the different ignition points between crop straws and coals are responsible for bio-coal briquette’s high TEs and low PM EFs. The porous structure of bio-coal briquette provides sufficient oxygen via pore penetration. The biomass volume shrinks after burnout [36], which will further enrich the gas passage to promote coal combustion with more sufficient oxygen and lead to complete combustion of the anthracite component [29]. The above reasons are not only promising keys to the problem of insufficient combustion when biomass and briquette are burned separately, but are also highly effective in reducing the emission of volatile matter and pollutants, and achieving the symmetry of burned volatile matter and pollutant emission.
Molding pressure to a large extent determines briquette’s compactness, which affects the thermal diffusion of volatile matter and oxygen concentration inside bio-coal briquettes. Figure 6 demonstrates that the compactness between particles raised at first then decreased with a turning pointing of 25 MPa, as the molding pressure kept amplifying. Both the number and size of holes were reduced with the increase of molding pressure, and the compactness of 25 MPa was the largest. Cracks produced by the elastic impact of the interparticle structure began to appear when the molding pressure exceeded 25 MPa. With the continuous increase of pressure, cracks gradually grew with the growth of pressure.
Figure 6.
Cross-section SEM images of typical samples molded with different pressures: (a) 15 MPa, (b) 20 MPa, (c) 25 MPa, (d) 30 MPa and (e) 35 MPa.
They were observed by scanning electron microscopy (SEM; SU1510, Hitachi Ltd., Tokyo, Japan). The compactness of bio-coal briquettes was too low to allow volatile matter of biomass in bio-coal briquette release slowly and steadily when the molding pressure was less than 25 MPa. Therefore, a substantial amount of energy was dissipated with the accumulated incomplete combustion matter resulting from the volatile matter’s rapid release. With the increase of molding pressure, this phenomenon was alleviated and an optimum effect of high TE and low PM EFs was achieved at 25 MPa. When it reached over 25 MPa, as the cracks grow, the volatile matter was released unsteadily and the insufficient oxygen distribution continues unevenly. Combustion instability and low burnout degree, consequently, gave rise to sustained incomplete combustion. As one of the major outcomes of the process, the incomplete combustion organic compound not only is the precursor of PM, but also acts as the energy carrier. It can be concluded that the accumulated PM EFs with the increase of molding pressure extended from 25 MPa to both sides, as well as the energy dissipation. Accordingly, the optimum combination of volatile matter release and oxygen concentration was certified as 25 MPa.
The devolatilization during bio-coal briquette combustion can be adsorbed by clay, and then clay acts as a catalyst to decompose the devolatilization and burn it [13,32], improving the combustion completeness of fuel. In addition, the increase of clay proportions within a certain range makes the bonding effect significantly better and the volatiles can be more thoroughly burned. Therefore, the TE kept improving till the amount of clay reached 10%, and the opposite trend was curved by PM EFs. However, excessive clay impairs the energy density of briquette and affects the heat and mass transfer. When the clay ingredient exceeds 10%, more PM precursors and energy dissipation occur. Based on the above analysis, a 10% addition was determined as the optimum clay-adding proportion, according to experimental results.
5. Conclusions
This study focuses on the TEs and PM EFs. The bio-coal briquettes were compared with pure coal briquette and pure biomass briquette in terms of these two perspectives. The influence of molding pressure (15~35 MPa) and clay content (5~15%) were also investigated on the above two parameters of bio-coal briquettes. Burned in a household-cooking stove, bio-coal briquettes achieved significantly better combustion properties, including higher TEs than coal briquettes and similar PM EFs to that of coal chunks. The TEs of bio-coal briquettes were 8.5~10.7%, and the PM EFs were 0.3~0.36 mg/kJ. A total of 88.8 ± 11.8%, 136.7 ± 13.7% and 81.4 ± 17.7% more TEs were provided by wheat straw–coal briquettes, rice straw–coal briquettes and maize straw–coal briquettes, compared with the mass-weighted average ones. Meanwhile, ~90% PM was reduced, namely 93.3 ± 3.1% (wheat straw–coal), 97.6 ± 0.2% (rice straw–coal) and 90.4 ± 2.2% (maize straw–coal) in terms of PM2.5 EFs reduction. The mixture successfully maintains low PM emissions of anthracite and promotes ignition performance owing to crop straws. The PM2.5 EF reduction of bio-coal briquette can mainly be attributed to the combustion supporting effect of low-temperature pyrolysis gas, which is produced from biomass at the temperature range of 200–350 °C. The pyrolysis gas produced by the biomass low-temperature pyrolysis has low ignition point and is distributed in the bio-coal briquette that provides energy for anthracite particle combustion by burning itself. A regression model for predicting the PM2.5 EFs of bio-coal briquette by the mass loss rate of biomass pyrolysis at the temperature range of 200–350 °C was established as well. The optimum molding pressure and clay-adding content was determined as 25 MPa and 10%, to ensure bio-coal briquettes attain the highest TEs and the lowest PM EFs. The molding pressure successfully achieved the goal of energy conservation and emission reduction by adjusting the compactness of the internal structure of the briquette. After excessive addition of clay, the advantages of the clay catalytic combustion and clay bonding effect turned out to be a harmful factor, due to their obstruction to heat and mass transfer. The findings in this study provide valuable reference information on the utilization of raw solid fuel in household stoves. The replacement of present solid fuel by bio-coal briquettes for residential combustion is a promising pathway to reduce PM emissions and raise energy utilization rate. This will hopefully generate positive improvements in air quality and human health.
Supplementary Materials
The following are available online at www.mdpi.com/article/10.3390/sym13112223/s1, Table S1: PM EFs and TEs of tested briquette samples in this study, Table S2: EFs for CO, SO2, NO2 and CO2 of anthracite chunks, anthracite briquette, bio-coal briquettes and corresponding mass-weighted average ones., Table S3: PM EFs and TEs of tested samples with different molding pressure in this study, Table S4: PM EFs and TEs of tested samples with different clay addition ratio in this study, Figure S1: TGA analysis of tested raw material samples using a heating rate of 5 K/min under air atmospheres, Figure S2: Energy based EFs for CO, SO2, NO2 and CO2 of anthracite chunks, anthracite briquettes, bio-coal briquettes and corresponding mass-weighted average ones.
Author Contributions
Conceptualization, J.W.; data curation, J.Q., J.W. and L.Z.; formal analysis, J.Q. and L.Z.; funding acquisition, J.W.; investigation, J.Q. and J.W.; methodology, J.Q. and J.W.; project administration, J.W.; resources, J.Q. and J.W.; software, J.Q.; supervision, J.W.; validation, J.Q. and J.W.; visualization, J.Q.; writing original draft, J.Q. and L.Z.; writing review and editing, J.Q. All authors have read and agreed to the published version of the manuscript.
Funding
This research received no external funding.
Institutional Review Board Statement
Not applicable.
Informed Consent Statement
Not applicable.
Data Availability Statement
Not applicable.
Acknowledgments
This work was founded by the National Natural Science Foundation of China (No. 51974311).
Conflicts of Interest
The authors declare no conflict of interest.
References
- Tao, S.; Ru, M.Y.; Du, W.; Zhu, X.; Zhong, Q.R.; Li, B.G.; Shen, G.F.; Pan, X.L.; Meng, W.J.; Chen, Y.L. Quantifying the rural residential energy transition in China from 1992 to 2012 through a representative national survey. Nat. Energ. 2018, 3, 567–573. [Google Scholar] [CrossRef]
- Shen, H.; Chen, Y.; Russell, A.G.; Hu, Y.; Shen, G.; Yu, H.; Henneman, L.R.F.; Ru, M.; Huang, Y.; Zhong, Q. Impacts of rural worker migration on ambient air quality and health in China: From the perspective of upgrading residential energy consumption. Environ. Int. 2018, 113, 290–299. [Google Scholar] [CrossRef] [Green Version]
- Kant, Y.; Shaik, D.S.; Mitra, D.; Chandola, H.C.; Babu, S.S.; Chauhan, P. Black carbon aerosol quantification over north-west Himalayas: Seasonal heterogeneity, source apportionment and radiative forcing. Environ. Pollut. 2020, 257, 113446. [Google Scholar] [CrossRef] [PubMed]
- Chen, Y.; Du, W.; Shen, G.; Zhuo, S.; Zhu, X.; Shen, H.; Huang, Y.; Su, S.; Lin, N.; Pei, L.; et al. Household air pollution and personal exposure to nitrated and oxygenated polycyclic aromatics (PAHs) in rural households: Influence of household cooking energies. Indoor Air 2016, 27, 169–178. [Google Scholar] [CrossRef]
- Wang, S.X.; Zhao, B.; Cai, S.Y.; Klimont, Z.; Nielsen, C.; Mcelroy, M.B.; Morikawa, T.; Woo, J.H.; Kim, Y.; Fu, X. Emission trends and mitigation options for air pollutants in East Asia. Atmos. Chem. Phys. 2014, 14, 2601–2674. [Google Scholar] [CrossRef] [Green Version]
- Du, W.; Yun, X.; Fu, N.; Qi, M.; Wang, W.; Wang, L.Z.; Chen, Y.C.; Shen, G.F. Variation of indoor and outdoor carbonaceous aerosols in rural homes with strong internal solid fuel combustion sources. Atmos. Pollut. Res. 2020, 11, 992–999. [Google Scholar] [CrossRef]
- Chafe, Z.A.; Brauer, M.; Klimont, Z.; Van Dingenen, R.; Mehta, S.; Rao, S.; Riahi, K.; Dentener, F.; Smith Kirk, R. Household Cooking with Solid Fuels Contributes to Ambient PM2.5 Air Pollution and the Burden of Disease. Environ. Health Persp. 2014, 122, 1314–1320. [Google Scholar] [CrossRef] [Green Version]
- Bond, T.C.; Doherty, S.J.; Fahey, D.W.; Forster, P.M.; Berntsen, T.; Deangelo, B.J.; Flanner, M.G.; Ghan, S.; Kärcher, B.; Koch, D. Bounding the role of black carbon in the climate system: A scientific assessment. J. Geophys. Res. Atmos. 2013, 118, 5380–5552. [Google Scholar] [CrossRef]
- Wu, D.; Qi, J.; Li, Q.; Chen, J.; Chen, Y.; Chen, J. Extreme Exposure Levels of PCDD/Fs Inhaled from Biomass Burning Activity for Cooking in Typical Rural Households. Environ. Sci. Technol. 2021, 55, 7299–7306. [Google Scholar] [CrossRef] [PubMed]
- Luo, Z.H.; Zhang, L.; Li, G.; Du, W.; Chen, Y.C.; Cheng, H.F.; Tao, S.; Shen, G.F. Evaluating co-emissions into indoor and outdoor air of EC, OC, and BC from in-home biomass burning. Atmos. Res. 2021, 248, 105247. [Google Scholar] [CrossRef]
- Onifade, M.; Genc, B. Spontaneous combustion of coals and coal-shales. Int. J. Min. Sci. Technol. 2018, 28, 94–101. [Google Scholar] [CrossRef]
- Zhang, C.; Liu, C.; Li, X.; Liu, P.; Zhang, Y.; Du, Q.; Liu, J.; Zhuo, W.; Zhuo, Y.; Yang, J.; et al. A novel clean combustion technology for solid fuels to efficiently reduce gaseous and particulate emissions. J. Clean. Prod. 2021, 320, 128864. [Google Scholar] [CrossRef]
- Bond, T.C.; Covert, D.S.; Kramlich, J.C.; Larson, T.V.; Charlson, R.J. Primary particle emissions from residential coal burning: Optical properties and size distributions. J. Geophys. Res. Atmos. 2002, 107, ICC 9-1–ICC 9-14. [Google Scholar] [CrossRef]
- Duan, X.L.; Jiang, Y.; Wang, B.B.; Zhao, X.G.; Shen, G.F.; Cao, S.Z.; Huang, N.; Qian, Y.; Chen, Y.T.; Wang, L.M. Household fuel use for cooking and heating in China: Results from the first Chinese Environmental Exposure-Related Human Activity Patterns Survey (CEERHAPS). Appl. Energ. 2014, 136, 692–703. [Google Scholar] [CrossRef]
- Chen, Y.J.; Tian, C.G.; Feng, Y.L.; Zhi, G.R.; Li, J.; Zhang, G. Measurements of emission factors of PM2.5, OC, EC, and BC for household stoves of coal combustion in China. Atmos. Environ. 2015, 109, 190–196. [Google Scholar] [CrossRef]
- Li, Q.; Jiang, J.K.; Zhang, Q.; Zhou, W.; Cai, S.Y.; Duan, L.; Ge, S.; Hao, J.M. Influences of coal size, volatile matter content, and additive on primary particulate matter emissions from household stove combustion. Fuel 2016, 182, 780–787. [Google Scholar] [CrossRef]
- Wang, S.X.; Wei, W.; Li, D.; Aunan, K.; Hao, J.M. Air pollutants in rural homes in Guizhou, China—Concentrations, speciation, and size distribution. Atmos. Environ. 2010, 44, 4575–4581. [Google Scholar] [CrossRef]
- Zhang, H.F.; Zhu, T.; Wang, S.X.; Hao, J.M.; Mestl, H.; Alnes, L.; Aunan, K.; Dong, Z.Q.; Ma, L.Y.; Hu, Y. Indoor Emissions of Carbonaceous Aerosol and Other Air Pollutants from Household Fuel Burning in Southwest China. Aerosol. Air Qual. Res. 2015, 14, 1779–1788. [Google Scholar] [CrossRef] [Green Version]
- Onifade, M.; Genc, B. A review of research on spontaneous combustion of coal. Int. J. Min. Sci. Technol. 2020, 30, 303–311. [Google Scholar] [CrossRef]
- Ravichandran, P.; Corscadden, K. Comparison of gaseous and particle emissions produced from leached and un-leached agricultural biomass briquettes. Fuel Process. Technol. 2014, 128, 359–366. [Google Scholar] [CrossRef]
- Qi, J.; Li, H.; Wang, Q.; Han, K. Combustion Characteristics, Kinetics, SO 2 and NO Release of Low-Grade Biomass Materials and Briquettes. Energies 2021, 14, 2655. [Google Scholar] [CrossRef]
- Shen, G.F.; Xue, M. Comparison of Carbon Monoxide and Particulate Matter Emissions from Residential Burnings of Pelletized Biofuels and Traditional Solid Fuels. Energ. Fuel 2014, 28, 3933–3939. [Google Scholar] [CrossRef]
- Chen, Y.J.; Zhi, G.R.; Feng, Y.L.; Tian, C.G.; Bi, X.H.; Li, J.; Zhang, G. Increase in polycyclic aromatic hydrocarbon (PAH) emissions due to briquetting: A challenge to the coal briquetting policy. Environ. Pollut. 2015, 204, 58–63. [Google Scholar] [CrossRef] [PubMed]
- Shen, H.Z.; Huang, Y.; Wang, R.; Zhu, D.; Li, W.; Shen, G.F.; Wang, B.; Zhang, Y.Y.; Chen, Y.C.; Lu, Y.; et al. Global Atmospheric Emissions of Polycyclic Aromatic Hydrocarbons from 1960 to 2008 and Future Predictions. Environ. Sci. Technol. 2013, 47, 6415–6424. [Google Scholar] [CrossRef] [Green Version]
- Rahmanian, B.; Safaei, M.R.; Kazi, S.N.; Ahmadi, G.; Oztop, H.F.; Vafai, K. Investigation of pollutant reduction by simulation of turbulent non-premixed pulverized coal combustion. Appl. Therm. Eng. 2014, 73, 1222–1235. [Google Scholar] [CrossRef]
- Sadeghinezhad, E.; Kazi, S.N.; Sadeghinejad, F.; Badarudin, A.; Mehrali, M.; Sadri, R.; Reza Safaei, M. A comprehensive literature review of bio-fuel performance in internal combustion engine and relevant costs involvement. Renew. Sustain. Energ. Rev. 2014, 30, 29–44. [Google Scholar] [CrossRef]
- Soudagar, M.E.M.; Khan, H.M.; Khan, T.M.Y.; Razzaq, L.; Asif, T.; Mujtaba, M.A.; Hussain, A.; Farooq, M.; Ahmed, W.; Shahapurkar, K.; et al. Experimental Analysis of Engine Performance and Exhaust Pollutant on a Single-Cylinder Diesel Engine Operated Using Moringa Oleifera Biodiesel. Appl. Sci. 2021, 11, 7071. [Google Scholar] [CrossRef]
- Wategave, S.P.; Banapurmath, N.R.; Sawant, M.S.; Soudagar, M.E.M.; Mujtaba, M.A.; Afzal, A.; Basha, J.S.; Alazwari, M.A.; Safaei, M.R.; Elfasakhany, A.; et al. Clean combustion and emissions strategy using reactivity controlled compression ignition (RCCI) mode engine powered with CNG-Karanja biodiesel. J. Taiwan Inst. Chem. E 2021, 124, 116–131. [Google Scholar] [CrossRef]
- Qi, J.; Li, Q.; Wu, J.J.; Jiang, J.K.; Miao, Z.Y.; Li, D.S. Biocoal Briquettes Combusted in a Household Cooking Stove: Improved Thermal Efficiencies and Reduced Pollutant Emissions. Environ. Sci. Technol. 2017, 51, 1886–1892. [Google Scholar] [CrossRef] [PubMed]
- Yuan, M.; Wang, C.; Zhao, L.; Zhu, Z.; Che, D. Evaluation and optimization of preparation for semi-coke briquette with alkali-heat treated wheat straw binder. Int. J. Coal Prep. Util. 2020, 1–13. [Google Scholar] [CrossRef]
- Wang, Y.J.; Zuo, H.B.; Zhao, J.; Zhang, W.L. Using HyperCoal to prepare metallurgical coal briquettes via hot-pressing. Int. J. Miner. Metall. Mater. 2019, 26, 547–554. [Google Scholar] [CrossRef]
- Sun, J.; Shen, Z.; Niu, X.; Zhang, Y.; Cao, J. Cytotoxicity and Potential Pathway to Vascular Smooth Muscle Cells Induced by PM 2.5 Emitted from Raw Coal Chunks and Clean Coal Combustion. Environ. Sci. Technol. 2020, 54, 14482–14493. [Google Scholar] [CrossRef] [PubMed]
- Chen, Y.; Shen, G.; Liu, W.; Du, W.; Su, S.; Duan, Y.; Lin, N.; Zhuo, S.; Wang, X.; Xing, B. Field measurement and estimate of gaseous and particle pollutant emissions from cooking and space heating processes in rural households, northern China. Atmos. Environ. 2016, 125, 265–271. [Google Scholar] [CrossRef]
- Krerkkaiwan, S.; Fushimi, C.; Tsutsumi, A.; Kuchonthara, P. Synergetic effect during co-pyrolysis/gasification of biomass and sub-bituminous coal. Fuel Process. Technol. 2013, 115, 11–18. [Google Scholar] [CrossRef]
- Dong, K.P.; Sang, D.K.; Lee, S.H.; Lee, J.G. Co-pyrolysis characteristics of sawdust and coal blend in TGA and a fixed bed reactor. Bioresour. Technol. 2010, 101, 6151–6156. [Google Scholar]
- Zhang, L.A.; Ninomiya, Y. Emission of suspended PM10 from laboratory-scale coal combustion and its correlation with coal mineral properties. Fuel 2006, 85, 194–203. [Google Scholar] [CrossRef]
Publisher’s Note: MDPI stays neutral with regard to jurisdictional claims in published maps and institutional affiliations. |
© 2021 by the authors. Licensee MDPI, Basel, Switzerland. This article is an open access article distributed under the terms and conditions of the Creative Commons Attribution (CC BY) license (https://creativecommons.org/licenses/by/4.0/).





