A Generalization of Binomial Exponential-2 Distribution: Copula, Properties and Applications
Abstract
1. Introduction
2. The New Model and Its Motivation
3. Copula under the EBE Model
3.1. Bivariate EBE (BivEBE) Type via Renyi’s Entropy
3.2. BivEBE Type Using “Farlie-Gumbel-Morgenstern” (FGM) Copula
3.3. BivEBE Type via “Modified FGM” (MFGM) Copula
3.3.1. BivEBE-FGM (Type-I) Model
3.3.2. BivEBE-FGM (Type-II) Model
3.3.3. BivEBE-FGM (Type-III) Model
3.3.4. BivEBE-FGM (Type-IV) Model
3.4. BivEBE Type via Clayton Copula
4. Properties
4.1. Expansions and Quantile Function (QF)
4.2. Moments
4.3. Incomplete Moments
4.4. Mean Deviation and Bonferroni and Lorenz Curve
4.5. Residual Life and Reversed Residual Life Functions
5. Estimation and Inference
6. Simulation
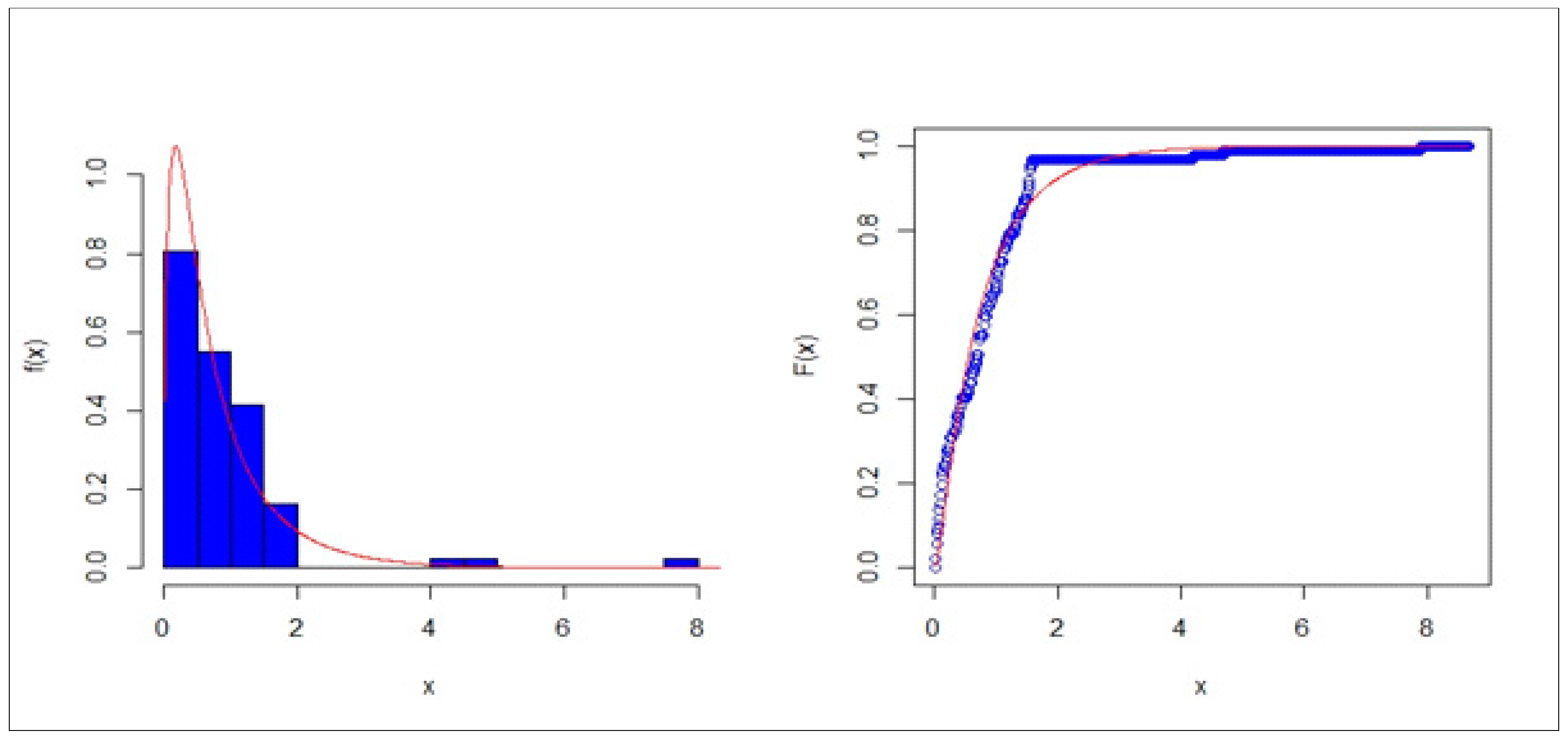
7. Modeling Stress-Rupture Life of Kevlar 49/Epoxy Strands Data
8. Conclusions
Author Contributions
Funding
Acknowledgments
Conflicts of Interest
References
- Shaked, M.; Shanthikumar, J. Stochastic Orders; Springer: NewYork, NY, USA, 2007. [Google Scholar]
- Bakouch, H.S.; Jazi, M.A.; Nadarajah, S.; Dolati, A.; Roozegar, R. A lifetime model with increasing failure rate. Appl. Math. Model. 2014, 38, 5392–5406. [Google Scholar] [CrossRef]
- Asgharzadeh, A.; Bakouch, H.S.; Habibi, M. A generalized binomial exponential 2 distribution: Modeling and applications to hydrologic events. J. Appl. Stat. 2016, 44, 2368–2387. [Google Scholar] [CrossRef]
- Soliman, A.H.; Elgarhy, M.A.E.; Shakil, M. Type II Half Logistic Family of Distributions with Applications. Pak. J. Stat. Oper. Res. 2017, 13, 245. [Google Scholar] [CrossRef]
- Pougaza, D.B.; Mohammad-Djafari, A. Maximum entropies copulas. In AIP Conference Proceedings; American Institute of Physics: College Park, MD, USA, 2011; Volume 1305, pp. 329–336. [Google Scholar]
- Morgenstern, D. Einfache beispiele zweidimensionaler verteilungen. Mitteilingsblatt Math. Stat. 1956, 8, 234–235. [Google Scholar]
- Farlie, D.J.G. The performance of some correlation coefficients for a general bivariate distribution. Biometrika 1960, 47, 307–323. [Google Scholar] [CrossRef]
- Johnson, N.L.; Kotz, S. On some generalized Farlie- Gumbel- Morgenstern distributions. Commun. Stat. Theory 1975, 4, 415–427. [Google Scholar] [CrossRef]
- Johnson, N.L.; Kotz, S. On some generalized Farlie-Gumbel-Morgenstern distributions-II: Regression, correlation and further generalizations. Commun. Stat. Theory 1977, 6, 485–496. [Google Scholar] [CrossRef]
- Gumbel, E.J. Bivariate logistic distributions. J. Am. Stat. Assoc. 1961, 56, 335–349. [Google Scholar] [CrossRef]
- Gumbel, E.J. Bivariate exponential distributions. J. Am. Stat. Assoc. 1960, 55, 698–707. [Google Scholar] [CrossRef]
- Gupta, R.C.; Gupta, R.D. Proportional reversed hazard rate model and its applications. J. Stat. Plan Inference 2007, 137, 3525–3536. [Google Scholar] [CrossRef]
- Alizadeh, M.; Ghosh, I.; Yousof, H.M.; Rasekhi, M.; Hamedani, G.G. The generalized odd generalized exponential family of distributions: Properties, characterizations and applications. J. Data Sci. 2017, 15, 443–466. [Google Scholar]
- Alizadeh, M.; Rasekhi, M.; Yousof, H.M.; Hamedani, G.G. The transmuted Weibull G family of distributions. Hacet. J. Math. Stat. 2018, 47, 1–20. [Google Scholar] [CrossRef]
- Al-Babtain, A.A.; Elbatal, I.; Yousof, H.M. A new flexible three-parameter model: Properties, Clayton Copula, and modeling real data. Symmetry 2020, 12, 440. [Google Scholar] [CrossRef]
- Al-Babtain, A.A.; Elbatal, I.; Yousof, H.M. A new three parameter Fréchet model with mathematical properties and applications. J. Taibah Univ. Sci. 2020, 14, 265–278. [Google Scholar] [CrossRef]
- Mansour, M.; Yousof, H.M.; Shehata, W.A.; Ibrahim, M. A new two parameter Burr XII distribution: Properties, Copula, different estimation methods and modeling acute bone cancer data. J. Nonlinear Sci. Appl. 2020, 13, 223–238. [Google Scholar] [CrossRef]
- Yadav, A.S.; Goual, H.; Alotaibi, R.M.; Ali, M.M.; Yousof, H.M. Validation of the Topp-Leone-Lomax model via a modified Nikulin-Rao-Robson goodness-of-fit test with different methods of estimation. Symmetry 2020, 12, 57. [Google Scholar] [CrossRef]
- Yousof, H.M.; Butt, N.S.; Alotaibi, R.; Rezk, H.; Alomani, A.G.; Ibrahim, M. A new compound Fréchet distribution for modeling breaking stress and strengths data. Pak. J. Stat. Oper. Res. 2019, 15, 1017–1035. [Google Scholar] [CrossRef]
- Yousof, H.M.; Mansoor, M.M.; Alizadeh, M.; Afify, A.Z.; Ghosh, I.; Afify, A.Z. The Weibull-G Poisson family for analyzing lifetime data. Pak. J. Stat. Oper. Res. 2020, 16, 131–148. [Google Scholar] [CrossRef]
- Ibrahim, M.; Yadaw, A.S.; Yousof, A.S.; Goual, H.; Hamedani, G.G. A new extension of Lindley distribution: Modified validation test, characterizations and different methods of estimation. Commun. Stat. Appl. Methods 2019, 26, 473–495. [Google Scholar] [CrossRef]
- Goual, H.; Yousof, H.M.; Ali, M.M. Validation of the odd Lindley exponentiated exponential by a modified goodness of fit test with applications to censored and complete data. Pak. J. Stat. Oper. Res. 2019, 15, 745–771. [Google Scholar] [CrossRef]
- Bidram, H.; Behboodian, J.; Towhidi, M. The Beta Weibull-Geometric Distribution. J. Stat. Comput. Simul. 2013, 83, 52–67. [Google Scholar] [CrossRef]
- Cooray, K.; Ananda, M. A Generalization of the Half-Normal Distribution with Application to Lifetime Data. Commun. Stat. Theory Methods 2008, 37, 1323–1337. [Google Scholar] [CrossRef]
- Korkmaz, M.Ç.; Yousof, H.M.; Ali, M.M. Some theoretical and computational aspects of the odd Lindley Fréchet distribution. İstatistikçiler Dergisi: İstatistik ve Aktüerya 2017, 10, 129–140. [Google Scholar]
- Korkmaz, M.Ç.; Yousof, H.M. The one-parameter odd Lindley exponential model: Mathematical properties and applications. Stoch. Qual. Control 2017, 32, 25–35. [Google Scholar] [CrossRef]
- Korkmaz, M.Ç.; Alizadeh, M.; Yousof, H.M.; Butt, N.S. The generalized odd Weibull generated family of distributions: Statistical properties and applications. Pak. J. Stat. Oper. Res. 2018, 14, 541–556. [Google Scholar] [CrossRef]
- Korkmaz, M.Ç.; Yousof, H.M.; Rasekhi, M.; Hamedani, G.G. The Odd Lindley Burr XII Model: Bayesian Analysis, Classical Inference and Characterizations. J. Data Sci. 2018, 16, 327–353. [Google Scholar]
- Korkmaz, M.Ç.; Yousof, H.M.; Hamedani, G.G. The exponential Lindley odd log-logistic-G family: Properties, characterizations and applications. J. Stat. Theory Appl. 2018, 17, 554–571. [Google Scholar] [CrossRef]
- Hamedani, G.G.; Yousof, M.H.; Rasekhi, M.; Alizadeh, M.; Najibi, S.M. Type I general exponential class of distributions. Pak. J. Stat. Oper. Res. 2018, 14, 39–55. [Google Scholar] [CrossRef][Green Version]
- Hamedani, G.G.; Altun, E.; Korkmaz, M.Ç.; Yousof, H.M.; Butt, N.S. A new extended G family of continuous distributions with mathematical properties, characterizations and regression modeling. Pak. J. Stat. Oper. Res. 2018, 14, 737–758. [Google Scholar] [CrossRef]
- Yousof, H.M.; Korkmaz, Ç.M.; Hamedani, G.G. The odd Lindley Nadarajah-Haghighi distribution. J. Math. Comput. Sci. 2017, 7, 864–882. [Google Scholar]
- Hamedani, G.G.; Rasekhi, M.; Najibi, S.M.; Yousof, H.M.; Alizadeh, M. Type II general exponential class of distributions. Pak. J. Stat. Oper. Res. 2019, 15, 503–523. [Google Scholar] [CrossRef]
- Sen, S.; Korkmaz, M.C.; Yousof, H.M. The quasi xgamma-Poisson distribution. Theory Appl. Stat. Inf. 2018, 18, 65–76. [Google Scholar]
- Mansour, M.; Rasekhi, M.; Ibrahim, M.; Aidi, K.; Yousof, H.M.; Elrazik, E.A. A New Parametric Life Distribution with Modified Bagdonavičius–Nikulin Goodness-of-Fit Test for Censored Validation, Properties, Applications, and Different Estimation Methods. Entropy 2020, 22, 592. [Google Scholar] [CrossRef]
- Ibrahim, M.; Yousof, H.M. A new generalized Lomax model: Statistical properties and applications. J. Data Sci. 2020, 18, 190–217. [Google Scholar]
- Khalil, M.G.; Hamedani, G.G.; Yousof, H.M. The Burr X exponentiated Weibull model: Characterizations, mathematical properties and applications to failure and survival times data. Pak. J. Stat. Oper. Res. 2019, XV, 141–160. [Google Scholar] [CrossRef]
- Korkmaz, M.C.; Altun, E.; Yousof, H.M.; Hamedani, G.G. The odd power Lindley generator of probability distributions: Properties, characterizations and regression modeling. Int. J. Stat. Probab. 2019, 8, 70–89. [Google Scholar] [CrossRef]
- Nascimento, A.D.C.; Silva, K.F.; Cordeiro, G.M.; Alizadeh, M.; Yousof, H.M. The odd Nadarajah-Haghighi family of distributions: Properties and applications. Stud. Scientiarum Math. Hung. 2019, 56, 1–26. [Google Scholar] [CrossRef]
- Yousof, H.M.; Majumder, M.; Jahanshahi, S.M.A.; Ali, M.M.; Hamedani, G.G. A new Weibull class of distributions: Theory, characterizations and applications. J. Stat. Res. Iran 2018, 15, 45–83. [Google Scholar] [CrossRef]
- Korkmaz, M.C.; Yousof, H.M.; Hamedani, G.G.; Ali, M.M. The Marshall–Olkin generalized G Poisson family of distributions. Pak. J. Stat. 2018, 34, 251–267. [Google Scholar]
- Ibrahim, M. The generalized odd Log-logistic Nadarajah Haghighi distribution: Statistical properties and different methods of estimation. J. Appl. Prob. Stat. 2020, 15, 61–84. [Google Scholar]
- Aryal, G.R.; Ortega, E.M.; Hamedani, G.G.; Yousof, H.M. The Topp Leone generated Weibull distribution: Regression model, characterizations and applications. Int. J. Stat. Probab. 2017, 6, 126–141. [Google Scholar] [CrossRef]
- Aryal, G.R.; Yousof, H.M. The exponentiated generalized-G Poisson family of distributions. Econ. Qual. Control 2017, 32, 1–17. [Google Scholar] [CrossRef]
- Goual, H.; Yousof, H.M. Validation of Burr XII inverse Rayleigh model via a modified chi-squared goodness-of-fit test. J. Appl. Stat. 2019, 47, 1–32. [Google Scholar]
Sample Availability: The data used to support the findings in this study are included within the paper. |






| α | θ | λ | μ1′ | μ2′ | μ3′ | μ4′ | Skewness | Kurtosis |
|---|---|---|---|---|---|---|---|---|
| 0.5 | 0.5 | 0.5 | 1.066 | 3.009 | 16.07 | 149.755 | 2.752 | 12.349 |
| 0.5 | 0.7 | 0.7 | 1.660 | 4.313 | 23.29 | 277.509 | 2.189 | 9.1470 |
| 0.6 | 0.7 | 1.5 | 2.414 | 4.008 | 14.47 | 125.278 | 1.669 | 6.8000 |
| 0.7 | 0.3 | 2.7 | 2.273 | 2.749 | 8.148 | 60.4810 | 1.627 | 6.6450 |
| 1.5 | 0.5 | 0.5 | 0.243 | 0.316 | 0.545 | 1.58900 | 2.753 | 12.231 |
| 1.5 | 0.2 | 0.7 | 0.381 | 0.294 | 0.458 | 1.26900 | 2.539 | 11.139 |
| 2.6 | 0.2 | 1.5 | 0.404 | 0.149 | 0.121 | 0.23300 | 1.929 | 8.0020 |
| 2.7 | 0.4 | 2.7 | 0.626 | 0.195 | 0.153 | 0.32500 | 1.571 | 6.3250 |
| n | λ | α | θ | MSEs | |
|---|---|---|---|---|---|
| 50 | 0.5 | 0.5 | 0.5 | 0.11892, 0.23647, 0.06169 | |
| 100 | 0.08304, 0.17158, 0.04192 | ||||
| 200 | 0.05794, 0.12764, 0.02949 | ||||
| 500 | 0.03636, 0.08476, 0.01866 | ||||
| 1000 | 0.02595, 0.06105, 0.01325 | ||||
| 50 | 0.5 | 0.7 | 0.7 | 0.08813, 0.17030, 0.08578 | |
| 100 | 0.06136, 0.11879, 0.05894 | ||||
| 200 | 0.04320, 0.08131, 0.04139 | ||||
| 500 | 0.02764, 0.04874, 0.02616 | ||||
| 1000 | 0.01964, 0.03346, 0.01856 | ||||
| 50 | 0.6 | 0.7 | 1.5 | 0.06866, 0.12976, 0.18044 | |
| 100 | 0.04885, 0.08743, 0.12657 | ||||
| 200 | 0.03427, 0.06270, 0.08909 | ||||
| 500 | 0.02180, 0.03709, 0.05538 | ||||
| 1000 | 0.01550, 0.02515, 0.03903 | ||||
| 50 | 0.7 | 0.3 | 2.7 | 0.07211, 0.13178, 0.29484 | |
| 100 | 0.05105, 0.09550, 0.20625 | ||||
| 200 | 0.03537, 0.07094, 0.14854 | ||||
| 500 | 0.02227, 0.04645, 0.09524 | ||||
| 1000 | 0.01545, 0.03457, 0.06935 | ||||
| 50 | 0.5 | 0.5 | 0.5 | 0.11892, 0.23647, 0.06169 | |
| 100 | 0.08304, 0.17158, 0.04192 | ||||
| 200 | 0.05794, 0.12764, 0.02949 | ||||
| 500 | 0.03636, 0.08476, 0.01866 | ||||
| 1000 | 0.02595, 0.06105, 0.01325 |
| n | λ | α | θ | MSEs | |
|---|---|---|---|---|---|
| 50 | 0.5 | 0.5 | 0.5 | 0.18356, 0.31326, 0.06034 | |
| 100 | 0.14037, 0.29166, 0.02491 | ||||
| 200 | 0.10718, 0.27047, 0.00952 | ||||
| 500 | 0.07427, 0.22547, 0.00392 | ||||
| 1000 | 0.05854, 0.18297, 0.00431 | ||||
| 50 | 0.5 | 0.7 | 0.7 | 0.13103, 0.32039, 0.16804 | |
| 100 | 0.09571, 0.29243, 0.12804 | ||||
| 200 | 0.07617, 0.25160, 0.11495 | ||||
| 500 | 0.05278, 0.17909, 0.10177 | ||||
| 1000 | 0.03559, 0.11151, 0.09647 | ||||
| 50 | 0.6 | 0.7 | 1.5 | 0.11728, 0.32816, 1.12796 | |
| 100 | 0.09252, 0.29394, 1.03834 | ||||
| 200 | 0.07715, 0.27919, 0.98811 | ||||
| 500 | 0.05480, 0.21775, 0.91763 | ||||
| 1000 | 0.03922, 0.17326, 0.88793 | ||||
| 50 | 0.7 | 0.3 | 2.7 | 0.16086, 0.36788, 2.90744 | |
| 100 | 0.13715, 0.35482, 2.70484 | ||||
| 200 | 0.10661,0.32348, 2.66995 | ||||
| 500 | 0.08491, 0.27404, 2.64048 | ||||
| 1000 | 0.07009, 0.22686, 2.72810 | ||||
| 50 | 0.5 | 0.5 | 0.5 | 0.18356, 0.31326, 0.06034 | |
| 100 | 0.14037, 0.29166, 0.02491 | ||||
| 200 | 0.10718, 0.27047, 0.00952 | ||||
| 500 | 0.07427, 0.22547, 0.00392 | ||||
| 1000 | 0.05854, 0.18297, 0.00431 |
| n | λ | α | θ | MSEs | |
|---|---|---|---|---|---|
| 50 | 0.5 | 0.5 | 0.5 | 0.55465, 0.50616, 0.52281 | |
| 100 | 0.53818, 0.51109, 0.50207 | ||||
| 200 | 0.52237, 0.48520, 0.49930 | ||||
| 500 | 0.50325, 0.47041, 0.49911 | ||||
| 1000 | 0.49813, 0.46471, 0.50127 | ||||
| 50 | 0.5 | 0.7 | 0.7 | 0.50550, 0.58874, 0.72531 | |
| 100 | 0.49190, 0.60765, 0.70470 | ||||
| 200 | 0.48878, 0.63157, 0.69991 | ||||
| 500 | 0.49378, 0.66331, 0.69945 | ||||
| 1000 | 0.49624, 0.67996, 0.70161 | ||||
| 50 | 0.6 | 0.7 | 1.5 | 0.57701, 0.58491, 1.52331 | |
| 100 | 0.58530, 0.61671, 1.51090 | ||||
| 200 | 0.57826, 0.61435, 1.50499 | ||||
| 500 | 0.58310, 0.65758, 1.47994 | ||||
| 1000 | 0.58988, 0.68285, 1.47548 | ||||
| 50 | 0.7 | 0.3 | 2.7 | 0.74776, 0.45747, 2.49293 | |
| 100 | 0.74369, 0.44427, 2.46686 | ||||
| 200 | 0.72548, 0.39578, 2.51294 | ||||
| 500 | 0.71662, 0.36901, 2.54710 | ||||
| 1000 | 0.70309, 0.31662, 2.62308 | ||||
| 50 | 0.5 | 0.5 | 0.5 | 0.55465, 0.50616, 0.52281 | |
| 100 | 0.53818, 0.51109, 0.50207 | ||||
| 200 | 0.52237, 0.48520, 0.49930 | ||||
| 500 | 0.50325, 0.47041, 0.49911 | ||||
| 1000 | 0.49813, 0.46471, 0.50127 |
| n | λ | α | θ | MSEs | |
|---|---|---|---|---|---|
| 50 | 0.5 | 0.5 | 0.5 | 0.46616, 0.92696, 0.24180 | |
| 100 | 0.32550, 0.67258, 0.16431 | ||||
| 200 | 0.22713, 0.50034, 0.11560 | ||||
| 500 | 0.14251, 0.33226, 0.07314 | ||||
| 1000 | 0.10172, 0.23930, 0.05195 | ||||
| 50 | 0.5 | 0.7 | 0.7 | 0.34545, 0.66757, 0.33625 | |
| 100 | 0.24054, 0.46565, 0.23104 | ||||
| 200 | 0.16935, 0.31873, 0.16226 | ||||
| 500 | 0.10834, 0.19105, 0.10255 | ||||
| 1000 | 0.07700, 0.13116, 0.07274 | ||||
| 50 | 0.6 | 0.7 | 1.5 | 0.26914, 0.50864, 0.70733 | |
| 100 | 0.19150, 0.34271, 0.49614 | ||||
| 200 | 0.13434, 0.24579, 0.34924 | ||||
| 500 | 0.08545, 0.14539, 0.21710 | ||||
| 1000 | 0.06077, 0.09860, 0.15300 | ||||
| 50 | 0.7 | 0.3 | 2.7 | 0.28268, 0.51657, 1.15574 | |
| 100 | 0.20011, 0.37434, 0.80847 | ||||
| 200 | 0.13865, 0.27809, 0.58226 | ||||
| 500 | 0.08730, 0.18209, 0.37332 | ||||
| 1000 | 0.06055, 0.13552, 0.27184 | ||||
| 50 | 0.5 | 0.5 | 0.5 | 0.46616, 0.92696, 0.24180 | |
| 100 | 0.32550, 0.67258, 0.16431 | ||||
| 200 | 0.22713, 0.50034, 0.11560 | ||||
| 500 | 0.14251, 0.33226, 0.07314 | ||||
| 1000 | 0.10172, 0.23930, 0.05195 |
| n | λ | α | θ | MSEs | |
|---|---|---|---|---|---|
| 50 | 0.5 | 0.5 | 0.5 | 0.82686, 0.71564, 0.79176 | |
| 100 | 0.76642, 0.65414, 0.75986 | ||||
| 200 | 0.69834, 0.57143, 0.79418 | ||||
| 500 | 0.66517, 0.51762, 0.82334 | ||||
| 1000 | 0.57302, 0.51648, 0.81022 | ||||
| 50 | 0.5 | 0.7 | 0.7 | 0.81610, 0.73529, 0.76823 | |
| 100 | 0.78664, 0.58513, 0.72796 | ||||
| 200 | 0.73695, 0.52505, 0.62213 | ||||
| 500 | 0.72222, 0.47172, 0.60909 | ||||
| 1000 | 0.74675, 0.49449, 0.61361 | ||||
| 50 | 0.6 | 0.7 | 1.5 | 0.73690, 0.54738, 0.00000 | |
| 100 | 0.70523, 0.40712, 0.00000 | ||||
| 200 | 0.65622, 0.34796, 0.00000 | ||||
| 500 | 00.6434, 0.28687, 0.00000 | ||||
| 1000 | 0.65265, 0.25726, 0.00000 | ||||
| 50 | 0.7 | 0.3 | 2.7 | 0.63454, 0.50188, 0.00000 | |
| 100 | 0.51110, 0.28606, 0.00000 | ||||
| 200 | 0.42228, 0.23378, 0.00000 | ||||
| 500 | 0.31797, 0.22104, 0.00000 | ||||
| 1000 | 0.29115, 0.20381, 0.00000 | ||||
| 50 | 0.5 | 0.5 | 0.5 | 0.82686, 0.71564, 0.79176 | |
| 100 | 0.76642, 0.65414, 0.75986 | ||||
| 200 | 0.69834, 0.57143, 0.79418 | ||||
| 500 | 0.66517, 0.51762, 0.82334 | ||||
| 1000 | 0.57302, 0.51648, 0.81022 |
| Model | Estimates | ||||
|---|---|---|---|---|---|
| Burr X | a | ||||
| 0.462891 | |||||
| Burr XII | a | b | |||
| 1.14571 | 1.94994 | ||||
| ELLG | a | b | |||
| 1.211659 | 0.570392 | ||||
| BLLG | a | b | c | ||
| 0.581650 | 1.091929 | 1.295956 | |||
| EBE | α | θ | λ | ||
| 0.803609 | 0.001 | 0.999053 | |||
| BLLGW | a | b | c | α | β |
| 6.468097 | 5.07658 | 0.22372 | 0.24463 | 0.93981 | |
| BWLLG | a | b | c | α | β |
| 0.70773 | 0.15311 | 1.45779 | 5.74192 | 0.72356 | |
| Model | −2 logL | ||||
|---|---|---|---|---|---|
| EBE | 143.3996 | 149.4100 | 152.3784 | 152.3784 | 149.6087 |
| Burr XII | 145.4801 | 149.4801 | 154.4119 | 152.4660 | 149.6229 |
| BLLGW | 204.0771 | 214.0771 | 227.1527 | 219.3705 | 214.7087 |
| BWLLG | 204.8205 | 214.8205 | 227.8961 | 220.1139 | 215.4521 |
| Burr X | 285.8730 | 287.8730 | 290.3389 | 288.8659 | 287.9200 |
| ELLG | 587.6830 | 591.6830 | 596.9133 | 593.8004 | 591.8055 |
| BLLG | 462.1078 | 468.1078 | 175.9531 | 471.2838 | 468.3552 |
© 2020 by the authors. Licensee MDPI, Basel, Switzerland. This article is an open access article distributed under the terms and conditions of the Creative Commons Attribution (CC BY) license (http://creativecommons.org/licenses/by/4.0/).
Share and Cite
Alotaibi, N.; Malyk, I.V. A Generalization of Binomial Exponential-2 Distribution: Copula, Properties and Applications. Symmetry 2020, 12, 1338. https://doi.org/10.3390/sym12081338
Alotaibi N, Malyk IV. A Generalization of Binomial Exponential-2 Distribution: Copula, Properties and Applications. Symmetry. 2020; 12(8):1338. https://doi.org/10.3390/sym12081338
Chicago/Turabian StyleAlotaibi, Naif, and Igor V. Malyk. 2020. "A Generalization of Binomial Exponential-2 Distribution: Copula, Properties and Applications" Symmetry 12, no. 8: 1338. https://doi.org/10.3390/sym12081338
APA StyleAlotaibi, N., & Malyk, I. V. (2020). A Generalization of Binomial Exponential-2 Distribution: Copula, Properties and Applications. Symmetry, 12(8), 1338. https://doi.org/10.3390/sym12081338

