Detection of Epileptic Seizures Using Wavelet Transform, Peak Extraction and PSR from EEG Signals
Abstract
1. Introduction
2. Overview of Epileptic-Seizure Detection
2.1. Experimental Data
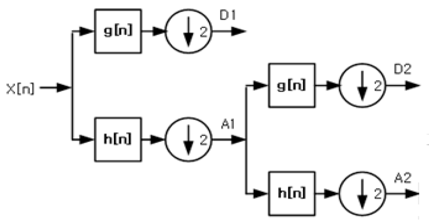
2.2. Wavelet Transforms
2.3. Peak Extraction
2.4. Phase Space Reconstruction
2.5. Feature Extraction Using Euclidean Distances and Statistical Techniques
2.6. Neural Networks with Weighted Fuzzy Membership (NEWFM)
3. Experimental Results
4. Conclusions
Author Contributions
Funding
Acknowledgments
Conflicts of Interest
References
- Ives-Deliperi, V.; Butler, J.T. Quality of life one year after epilepsy surgery. Epilepsy Behav. 2017, 75, 213–217. [Google Scholar] [CrossRef] [PubMed]
- Emily, L.J. Seizures and Epilepsy. Med. Clin. N. Am. 2019, 103, 309–324. [Google Scholar]
- Spindler, P.; Bohlmann, K.; Straub, H.B.; Vajkoczy, P.; Schneider, U.C. Effects of vagus nerve stimulation on symptoms of depression in patients with difficult-to-treat epilepsy. Seizure 2019, 69, 77–79. [Google Scholar] [CrossRef] [PubMed]
- Lather, T.; Behgal, J.; Bhardwaj, H.; Kaushik, J.S. Impact of prescribing intranasal midazolam as rescue medication for domiciliary management of acute seizure among children with epilepsy. Epilepsy Behav. 2019, 96, 41–43. [Google Scholar] [CrossRef]
- Berg, A.T.; Berkovic, S.F.; Brodie, M.J.; Buchhalter, J.; Cross, J.H.; van Emde Boas, W.; Engel, J.; French, J.; Glauser, T.A.; Mathern, G.W.; et al. Revised terminology and concepts for organization of seizures and epilepsies: Report of the ILAE Commission on Classification and Terminology, 2005–2009. Epilepsia 2010, 51, 676–685. [Google Scholar] [CrossRef]
- Deng, Y.H.; Berkovic, S.F.; Scheffer, I.E. GEFS+ where focal seizures evolve from generalized spike wave: Video-EEG study of two children. Epileptic Disord. 2007, 9, 307–314. [Google Scholar]
- Kakisaka, Y.; Alexopoulos, A.V.; Gupta, A.; Wang, Z.I.; Mosher, J.C.; Iwasaki, M.; Burgess, R.C. Burgess Generalized 3-Hz spike-and-wave complexes emanating from focal epileptic activity in pediatric patients. Epilepsy Behav. 2011, 20, 103–106. [Google Scholar] [CrossRef]
- Liu, S.; Wang, Q. Excitation-induced Delayed Onset of Epileptic Poly-spike and Wave Discharges. Procedia IUTAM 2017, 22, 154–159. [Google Scholar] [CrossRef]
- Sharma, R.; Pachori, R.B. Classification of epileptic seizures in EEG signals based on phase space representation of intrinsic mode functions. Expert Syst. Appl. 2015, 42, 1106–1117. [Google Scholar] [CrossRef]
- Jia, J.; Goparaju, B.; Song, J.; Zhang, R.; Westover, M.B. Brandon Westover Automated identification of epileptic seizures in EEG signals based on phase space representation and statistical features in the CEEMD domain. Biomed. Signal Process. Control 2017, 38, 148–157. [Google Scholar] [CrossRef]
- Goenka, A.; Boro, A.; Yozawitz, E. Comparative sensitivity of quantitative EEG (QEEG) spectrograms for detecting seizure subtypes. Seizure 2018, 55, 70–75. [Google Scholar] [CrossRef] [PubMed]
- Hassan, A.R.; Siuly, S.; Zhang, Y. Epileptic seizure detection in EEG signals using tunable-Q factor wavelet transform and bootstrap aggregating. Comput. Methods Progr. Biomed. 2016, 137, 247–259. [Google Scholar] [CrossRef] [PubMed]
- Kutepov, I.E.; Dobriyan, V.V.; Zhigalov, M.V.; Stepanov, M.F.; Krysko, A.V.; Yakovleva, T.V.; Krysko, V.A. EEG analysis in patients with schizophrenia based on Lyapunov exponents. Inform. Med. Unlocked 2020, 18, 100289. [Google Scholar] [CrossRef]
- Barbella, G.; Novy, J.; Marques-Vidal, P.; Oddo, M.; Rossetti, A.O. Rossetti Prognostic role of EEG identical bursts in patients after cardiac arrest: Multimodal correlation. Resuscitation 2020, 1481, 140–144. [Google Scholar] [CrossRef]
- Subasi, A. EEG signal classification using wavelet feature extraction and a mixture of expert model. Expert Syst. Appl. 2007, 32, 1084–1093. [Google Scholar] [CrossRef]
- Parey, A.; Singh, A. Gearbox fault diagnosis using acoustic signals, continuous wavelet transform and adaptive neuro-fuzzy inference system. Appl. Acoust. 2019, 147, 133–140. [Google Scholar] [CrossRef]
- Song, Y.; Crowcroft, J.; Zhang, J. Automatic epileptic seizure detection in EEGs based on optimized sample entropy and extreme learning machine. J. Neurosci. Methods 2012, 210, 132–146. [Google Scholar] [CrossRef]
- Lim, J.S. Finding Features for Real-Time Premature Ventricular Contraction Detection Using a Fuzzy Neural Network System. IEEE Trans. Neural Netw. 2009, 20, 522–527. [Google Scholar] [CrossRef]
- Lee, S.-H. Feature selection based on the center of gravity of BSWFMs using NEWFM. Eng. Appl. Artif. Intell. 2015, 45, 482–487. [Google Scholar] [CrossRef]
- Lee, S.H.; Lim, J.S.; Kim, J.K.; Yang, J.; Lee, Y. Classification of normal and epileptic seizure EEG signals using wavelet transform, phase-space reconstruction, and Euclidean distance. Comput. Methods Progr. Biomed. 2014, 116, 10–15. [Google Scholar] [CrossRef]
- Wang, D.; Tsui, K.L.; Qin, Y. Optimization of segmentation fragments in empirical wavelet transform and its applications to extracting industrial bearing fault features. Measurement 2019, 133, 328–340. [Google Scholar] [CrossRef]
- Wu, M.T. Wavelet transform based on Meyer algorithm for image edge and blocking artifact reduction. Inf. Sci. 2019, 474, 125–135. [Google Scholar] [CrossRef]
- Janbakhshi, P.; Shamsollahi, M.B. ECG-derived respiration estimation from single-lead ECG using gaussian process and phase space reconstruction methods. Biomed. Signal Process. Control 2018, 45, 80–90. [Google Scholar] [CrossRef]









| Class | Training Set | Test Set | Total Set |
|---|---|---|---|
| Epileptic seizure | 500 | 300 | 800 |
| Normal | 500 | 300 | 800 |
| Total | 1000 | 600 | 1600 |
| No | Description of the Features |
|---|---|
| 1 | Mean of the Euclidean distances of the peaks in D1, D2, A1 and A2 |
| 2 | Median of the Euclidean distances of the peaks in D1, D2, A1 and A2 |
| 3 | Average power of the Euclidean distances of the peaks in D1, D2, A1 and A2 |
| 4 | Standard deviation of the Euclidean distances of the peaks in D1, D2, A1 and A2 |
| Class | Results | |
|---|---|---|
| Epileptic seizure (300) | TP | FN |
| 285 | 15 | |
| Normal (300) | FP | TN |
| 0 | 300 | |
| Accuracy | Sensitivity | Specificity | |
|---|---|---|---|
| Subasi [15] | 94.5% | 95% | 94% |
| NEWFM | 97.5% | 95% | 100% |
© 2020 by the authors. Licensee MDPI, Basel, Switzerland. This article is an open access article distributed under the terms and conditions of the Creative Commons Attribution (CC BY) license (http://creativecommons.org/licenses/by/4.0/).
Share and Cite
Jang, S.-W.; Lee, S.-H. Detection of Epileptic Seizures Using Wavelet Transform, Peak Extraction and PSR from EEG Signals. Symmetry 2020, 12, 1239. https://doi.org/10.3390/sym12081239
Jang S-W, Lee S-H. Detection of Epileptic Seizures Using Wavelet Transform, Peak Extraction and PSR from EEG Signals. Symmetry. 2020; 12(8):1239. https://doi.org/10.3390/sym12081239
Chicago/Turabian StyleJang, Seok-Woo, and Sang-Hong Lee. 2020. "Detection of Epileptic Seizures Using Wavelet Transform, Peak Extraction and PSR from EEG Signals" Symmetry 12, no. 8: 1239. https://doi.org/10.3390/sym12081239
APA StyleJang, S.-W., & Lee, S.-H. (2020). Detection of Epileptic Seizures Using Wavelet Transform, Peak Extraction and PSR from EEG Signals. Symmetry, 12(8), 1239. https://doi.org/10.3390/sym12081239

