Convective Effect on Magnetohydrodynamic (MHD) Stagnation Point Flow of Casson Fluid over a Vertical Exponentially Stretching/Shrinking Surface: Triple Solutions
Abstract
1. Introduction
2. Mathematical Description of the Problem
3. Stability Analysis
4. Three-Stage Lobatto IIIA Formula
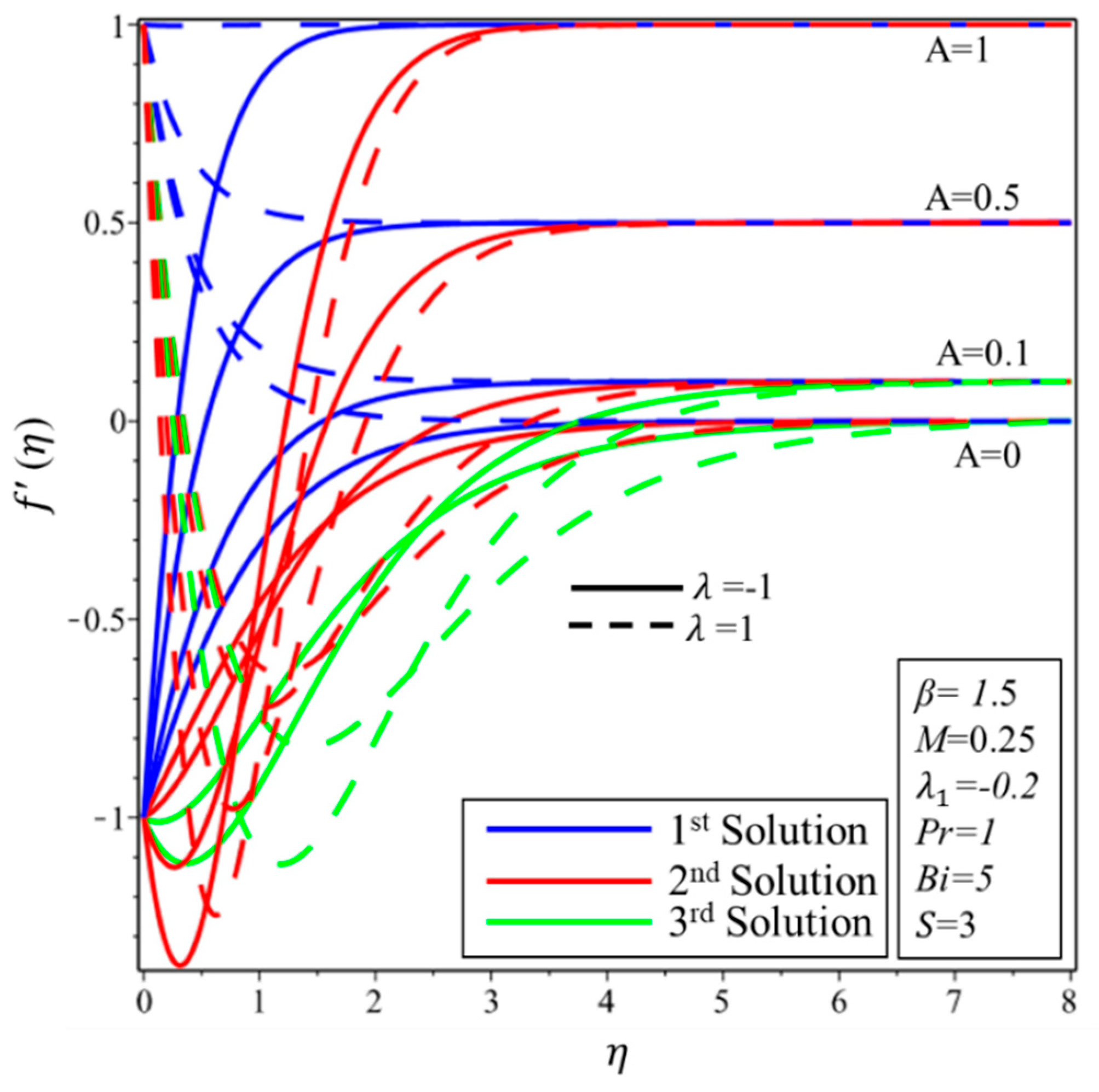
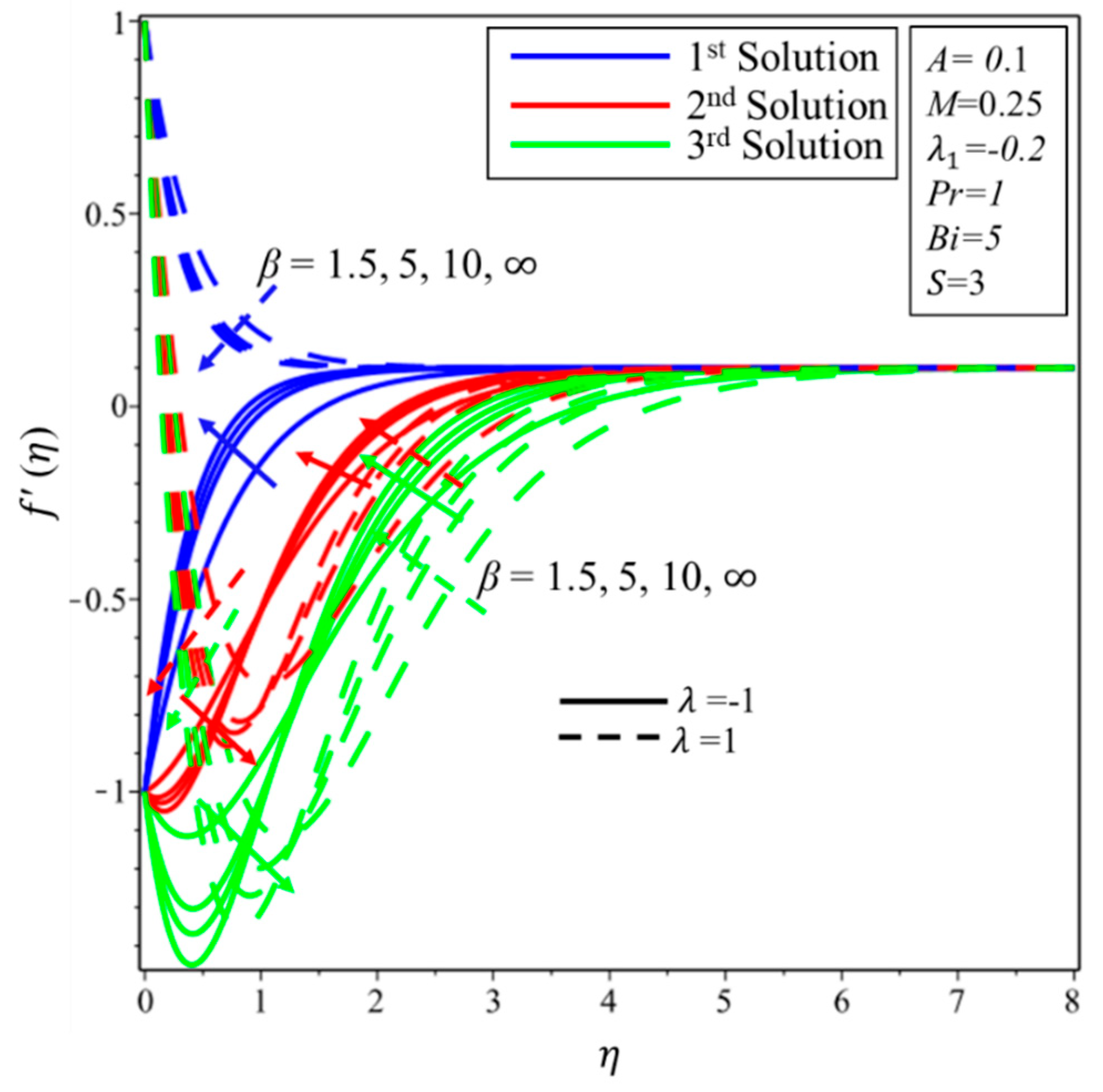
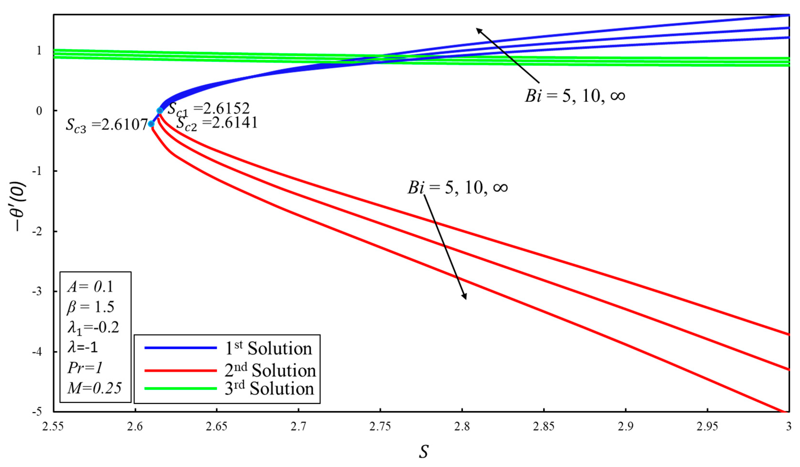
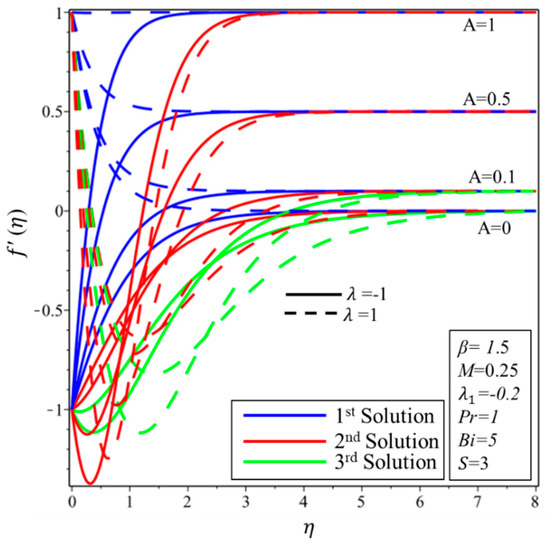
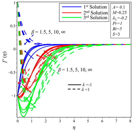
5. Discussion
6. Conclusions
- Triple solutions for the coefficient of skin friction, the gradient of temperature, velocity, and temperature profiles occur for specific values of the applied quantity examined in the current examination.
- The critical value and the range of the first and second solutions for the coefficient of skin friction rise with a higher magnitude of the Casson parameter.
- For the stable solution, the velocity of the Casson fluid reduces (as expected) over both surfaces for the strong field of the Lorentz force.
- For the shrinking surface, additional mass suction is required for the occurrence of single and multiple solutions for non-Newtonian Casson fluid ( corresponding to ) compared to Newtonian fluid ( when ).
- The magnitude of increases (corresponding critical points of for Biot number are and ) for the advanced values of convective parameter.
- Fluid temperature reduces in all solutions and both surfaces when the effect of increases.
- The only first solution is stable from triple solutions.
Author Contributions
Funding
Acknowledgments
Conflicts of Interest
References
- Crane, L.J. Flow past a stretching plate. J. Appl. Math. Phys. (ZAMP) 1970, 21, 645–647. [Google Scholar] [CrossRef]
- Mabood, F.; Khan, W.A.; Ismail, A.M. MHD boundary layer flow and heat transfer of nanofluids over a nonlinear stretching sheet: A numerical study. J. Magn. Magn. Mater. 2015, 374, 569–576. [Google Scholar] [CrossRef]
- Rana, P.; Bhargava, R. Flow and heat transfer of a nanofluid over a nonlinearly stretching sheet: A numerical study. Commun. Nonlinear Sci. Numer. Simul. 2012, 17, 212–226. [Google Scholar] [CrossRef]
- Hamad, M.A.A. Analytical solution of natural convection flow of a nanofluid over a linearly stretching sheet in the presence of magnetic field. Int. Commun. Heat Mass Transf. 2011, 38, 487–492. [Google Scholar] [CrossRef]
- Hassan, M.; Fetecau, C.; Majeed, A.; Zeeshan, A. Effects of iron nanoparticles’ shape on convective flow of ferrofluid under highly oscillating magnetic field over stretchable rotating disk. J. Magn. Magn. Mater. 2018, 465, 531–539. [Google Scholar] [CrossRef]
- Haq, R.U.; Nadeem, S.; Khan, Z.H.; Akbar, N.S. Thermal radiation and slip effects on MHD stagnation point flow of nanofluid over a stretching sheet. Phys. E Low-Dimens. Syst. Nanostruct. 2015, 65, 17–23. [Google Scholar] [CrossRef]
- Hamad, M.A.A.; Ferdows, M. Similarity solutions to viscous flow and heat transfer of nanofluid over nonlinearly stretching sheet. Appl. Math. Mech. 2012, 33, 923–930. [Google Scholar] [CrossRef]
- Vajravelu, K. Viscous flow over a nonlinearly stretching sheet. Appl. Math. Comput. 2001, 124, 281–288. [Google Scholar] [CrossRef]
- Cortell, R. Viscous flow and heat transfer over a nonlinearly stretching sheet. Appl. Math. Comput. 2007, 184, 864–873. [Google Scholar] [CrossRef]
- Hayat, T.; Shehzad, S.A.; Alsaedi, A.; Alhothuali, M.S. Mixed convection stagnation point flow of Casson fluid with convective boundary conditions. Chin. Phys. Lett. 2012, 29, 114704. [Google Scholar] [CrossRef]
- Abbas, Z.; Sheikh, M.; Motsa, S.S. Numerical solution of binary chemical reaction on stagnation point flow of Casson fluid over a stretching/shrinking sheet with thermal radiation. Energy 2016, 95, 12–20. [Google Scholar] [CrossRef]
- Bhattacharyya, K. Dual solutions in boundary layer stagnation-point flow and mass transfer with chemical reaction past a stretching/shrinking sheet. Int. Commun. Heat Mass Transf. 2011, 38, 917–922. [Google Scholar] [CrossRef]
- Nadeem, S.; Israr-ur-Rehman, M.; Saleem, S.; Bonyah, E. Dual solutions in MHD stagnation point flow of nanofluid induced by porous stretching/shrinking sheet with anisotropic slip. AIP Adv. 2020, 10, 065207. [Google Scholar] [CrossRef]
- Bhattacharyya, K. Boundary layer stagnation-point flow of casson fluid and heat transfer towards a shrinking/stretching sheet. Front. Heat Mass Transf. (FHMT) 2013, 4. [Google Scholar] [CrossRef]
- Hayat, T.; Farooq, M.; Alsaedi, A. Thermally stratified stagnation point flow of Casson fluid with slip conditions. Int. J. Numer. Methods Heat Fluid Flow 2015. [Google Scholar] [CrossRef]
- Ramesh, G.K.; Prasannakumara, B.C.; Gireesha, B.J.; Rashidi, M.M. Casson Fluid Flow near the Stagnation Point over a Stretching Sheet with Variable Thickness and Radiation. J. Appl. Fluid Mech. 2016, 9, 1115–1122. [Google Scholar] [CrossRef]
- Haldar, S.; Mukhopadhyay, S.; Layek, G.C. Flow and heat transfer of Casson fluid over an exponentially shrinking permeable sheet in presence of exponentially moving free stream with convective boundary condition. Mech. Adv. Mater. Struct. 2019, 26, 1498–1504. [Google Scholar] [CrossRef]
- Shafiq, A.; Khan, I.; Rasool, G.; Seikh, A.H.; Sherif, E.S.M. Significance of double stratification in stagnation point flow of third-grade fluid towards a radiative stretching cylinder. Mathematics 2019, 7, 1103. [Google Scholar] [CrossRef]
- Jafarimoghaddam, A. Numerical analysis of the nanofluids flow near the stagnation point over a permeable stretching/shrinking wall: A new modeling. Arab. J. Sci. Eng. 2020, 45, 1001–1015. [Google Scholar] [CrossRef]
- Barletta, A.; Magyari, E.; Keller, B. Dual mixed convection flows in a vertical channel. Int. J. Heat Mass Transf. 2005, 48, 4835–4845. [Google Scholar] [CrossRef]
- Makinde, O.D.; Khan, W.A.; Khan, Z.H. Buoyancy effects on MHD stagnation point flow and heat transfer of a nanofluid past a convectively heated stretching/shrinking sheet. Int. J. Heat Mass Transf. 2013, 62, 526–533. [Google Scholar] [CrossRef]
- Cliffe, K.A.; Spence, A.; Tavener, S.J. The numerical analysis of bifurcation problems with application to fluid mechanics. Acta Numer. 2000, 9, 39–131. [Google Scholar] [CrossRef]
- Gelfgat, A.Y.; Bar-Yoseph, P.Z. Multiple solutions and stability of confined convective and swirling flows–a continuing challenge. Int. J. Numer. Methods Heat Fluid Flow 2004, 14, 213–241. [Google Scholar] [CrossRef]
- Raza, J. Similarity Solutions of Boundary Layer Flows in a Channel Filled by Non-Newtonian Fluids. Ph.D. Thesis, Universiti Utara Malaysia, Sintok, Kedah, Malaysia, 2018. Available online: http://etd.uum.edu.my/id/eprint/6928 (accessed on 25 January 2019).
- Ishak, A.; Nazar, R.; Bachok, N.; Pop, I. MHD mixed convection flow adjacent to a vertical plate with prescribed surface temperature. Int. J. Heat Mass Transf. 2010, 53, 4506–4510. [Google Scholar] [CrossRef]
- Subhashini, S.V.; Sumathi, R.; Pop, I. Dual solutions in a double-diffusive MHD mixed convection flow adjacent to a vertical plate with prescribed surface temperature. Int. J. Heat Mass Transf. 2013, 56, 724–731. [Google Scholar] [CrossRef]
- Ridha, A.; Curie, M. Aiding flows non-unique similarity solutions of mixed-convection boundary-layer equations. Z. Angew. Math. Phys. ZAMP 1996, 47, 341–352. [Google Scholar] [CrossRef]
- Ali Lund, L.; Omar, Z.; Raza, J.; Khan, I.; Sherif, E.S.M. Effects of Stefan Blowing and Slip Conditions on Unsteady MHD Casson Nanofluid Flow Over an Unsteady Shrinking Sheet: Dual Solutions. Symmetry 2020, 12, 487. [Google Scholar] [CrossRef]
- Lund, L.A.; Omar, Z.; Khan, I.; Baleanu, D.; Sooppy Nisar, K. Triple Solutions and Stability Analysis of Micropolar Fluid Flow on an Exponentially Shrinking Surface. Crystals 2020, 10, 283. [Google Scholar] [CrossRef]
- Lund, L.A.; Omar, Z.; Raza, J.; Khan, I. Triple solutions of micropolar nanofluid in the presence of radiation over an exponentially preamble shrinking surface: Convective boundary condition. Heat Transf. 2020. [Google Scholar] [CrossRef]
- Hamid, M.; Usman, M.; Khan, Z.H.; Ahmad, R.; Wang, W. Dual solutions and stability analysis of flow and heat transfer of Casson fluid over a stretching sheet. Phys. Lett. A 2019, 383, 2400–2408. [Google Scholar] [CrossRef]
- Mustafa, I.; Abbas, Z.; Arif, A.; Javed, T.; Ghaffari, A. Stability analysis for multiple solutions of boundary layer flow towards a shrinking sheet: Analytical solution by using least square method. Phys. A Stat. Mech. Its Appl. 2020, 540, 123028. [Google Scholar] [CrossRef]
- Rahman, M.M.; Rosca, A.V.; Pop, I. Boundary layer flow of a nanofluid past a permeable exponentially shrinking surface with convective boundary condition using Buongiorno’s model. Int. J. Numer. Methods Heat Fluid Flow 2015, 25, 299–319. [Google Scholar] [CrossRef]
- Hussain, T.; Shehzad, S.A.; Alsaedi, A.; Hayat, T.; Ramzan, M. Flow of Casson nanofluid with viscous dissipation and convective conditions: A mathematical model. J. Cent. South. Univ. 2015, 22, 1132–1140. [Google Scholar] [CrossRef]














| Hussain et al. [34] | Present Results | ||
|---|---|---|---|
| 0.7 | 0.5 | 2.146677 | 2.146676800 |
| 1.2 | 0.5 | 1.865142 | 1.865142292 |
| 1.2 | 0.0 | 1.735577 | 1.735580976 |
| 1.2 | 0.4 | 1.819679 | 1.819679224 |
| 1.2 | 0.7 | 1.980908 | 1.980908405 |
| 1st Solution | 2nd Solution | 3rd Solution | ||
|---|---|---|---|---|
| −0.2 | −1 | 0.28165 | −0.40384 | −1.52864 |
| −0.5 | 0.75239 | −1.042571 | −1.87263 | |
| 0.5 | 1.17384 | −1.92538 | −2.162901 | |
| 1 | 1.57243 | −2.35820 | −2.82736 | |
| 0 | −1 | 0.42962 | −0.5386 | --- |
| 1 | 2.00518 | −0.79284 | --- | |
| 0.2 | −1 | 1.26739 | --- | --- |
| 1 | 3.17427 | --- | --- |
© 2020 by the authors. Licensee MDPI, Basel, Switzerland. This article is an open access article distributed under the terms and conditions of the Creative Commons Attribution (CC BY) license (http://creativecommons.org/licenses/by/4.0/).
Share and Cite
Lund, L.A.; Omar, Z.; Khan, I.; Baleanu, D.; Nisar, K.S. Convective Effect on Magnetohydrodynamic (MHD) Stagnation Point Flow of Casson Fluid over a Vertical Exponentially Stretching/Shrinking Surface: Triple Solutions. Symmetry 2020, 12, 1238. https://doi.org/10.3390/sym12081238
Lund LA, Omar Z, Khan I, Baleanu D, Nisar KS. Convective Effect on Magnetohydrodynamic (MHD) Stagnation Point Flow of Casson Fluid over a Vertical Exponentially Stretching/Shrinking Surface: Triple Solutions. Symmetry. 2020; 12(8):1238. https://doi.org/10.3390/sym12081238
Chicago/Turabian StyleLund, Liaquat Ali, Zurni Omar, Ilyas Khan, Dumitru Baleanu, and Kottakkaran Sooppy Nisar. 2020. "Convective Effect on Magnetohydrodynamic (MHD) Stagnation Point Flow of Casson Fluid over a Vertical Exponentially Stretching/Shrinking Surface: Triple Solutions" Symmetry 12, no. 8: 1238. https://doi.org/10.3390/sym12081238
APA StyleLund, L. A., Omar, Z., Khan, I., Baleanu, D., & Nisar, K. S. (2020). Convective Effect on Magnetohydrodynamic (MHD) Stagnation Point Flow of Casson Fluid over a Vertical Exponentially Stretching/Shrinking Surface: Triple Solutions. Symmetry, 12(8), 1238. https://doi.org/10.3390/sym12081238

