Low-Complexity Progressive MIMO-OFDM Receiver for Underwater Acoustic Communication
Abstract
1. Introduction
2. UWA MIMO-OFDM System Model
3. ICI Unaware Cost Function Based Soft Feedback Iterative Receiver
3.1. OMP Channel Estimation
3.2. Cost Function Controlled Soft Information Feedback
4. ICI Aware Progressive MIMO-OFDM Iterative Receiver
ICI Equalization of MIMO System
5. Results
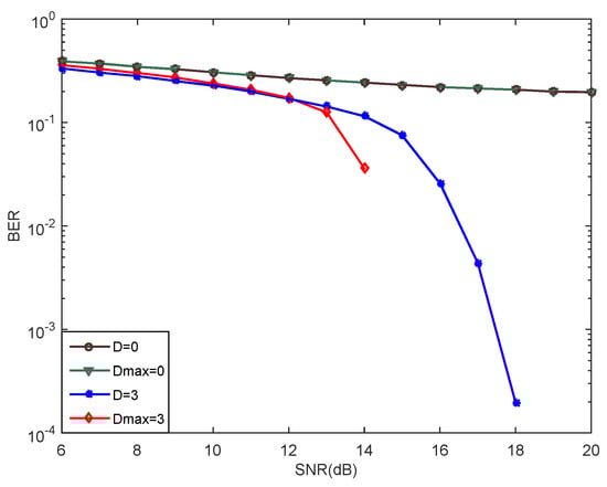
5.1. ICI Unaware Iterative Receiver
5.1.1. Simulation Results
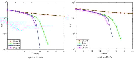
5.1.2. Experimental Results
5.2. ICI Aware Progressive Iterative Receiver
5.2.1. Simulation Results
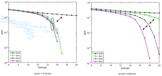
5.2.2. Experimental Results
6. Conclusions
Author Contributions
Funding
Conflicts of Interest
References
- Ullah, U.; Khan, A.; Altowaijri, M.S.; Ali, I.; Rahman, U.A.; Kumar, V.; Ali, M.; Mahmood, H. Cooperative and Delay Minimization Routing Schemes for Dense Underwater Wireless Sensor Networks. Symmetry 2019, 11, 195. [Google Scholar] [CrossRef]
- Palou, G.; Stojanovic, M. Underwater acoustic MIMO OFDM: An experimental analysis. In Proceedings of the OCEANS 2009, Biloxi, MS, USA, 26–29 October 2009. [Google Scholar]
- Xu, Y.; Xue, W.; Li, Y.; Guo, L.; Shang, W. Multiple Signal Classification Algorithm Based Electric Dipole Source Localization Method in an Underwater Environment. Symmetry 2017, 9, 231. [Google Scholar] [CrossRef]
- Mason, S.; Berger, C.; Zhou, S.; Ball, K.; Freitag, L.; Willett, P. An OFDM Design for Underwater Acoustic Channels with Doppler Spread. In Proceedings of the Digital Signal Processing Workshop and 5th IEEE Signal Processing Education Workshop (DSP/SPE 2009), Marco Island, FL, USA, 4–7 January 2009. [Google Scholar]
- Beheshti, M.; Omidi, M.J.; Doost-Hoseini, A.M. Joint ICI and IBI cancelation for underwater acoustic MIMO-OFDM systems. In Proceedings of the 2011 19th Iranian Conference on Electrical Engineering, Tehran, Iran, 17–19 May 2011. [Google Scholar]
- Li, B.; Huang, J.; Zhou, S.; Ball, K.; Stojanovic, M.; Freitag, L.; Willett, P. MIMO-OFDM for High-Rate Underwater Acoustic Communications. IEEE J. Ocean. Eng. 2009, 34, 634–644. [Google Scholar]
- Yu, H.; Yang, G.; Meng, F.; Li, Y. Performance Analysis of MIMO System with Single RF Link Based on Switched Parasitic Antenna. Symmetry 2017, 9, 304. [Google Scholar] [CrossRef]
- Stojanovic, M. Low Complexity OFDM Detector for Underwater Acoustic Channels. In Proceedings of the OCEANS 2006, Boston, MA, USA, 18–21 September 2006. [Google Scholar]
- Ormondroyd, R.F. A Robust Underwater Acoustic Communication System using OFDM-MIMO. In Proceedings of the OCEANS 2007—Europe, Aberdeen, UK, 18–21 June 2007. [Google Scholar]
- Carrascosa, P.C.; Stojanovic, M. Adaptive Channel Estimation and Data Detection for Underwater Acoustic MIMO—OFDM Systems. IEEE J. Ocean. Eng. 2010, 35, 635–646. [Google Scholar] [CrossRef]
- Bouvet, P.J.; Loussert, A. Capacity analysis of underwater acoustic MIMO communications. In Proceedings of the 2010 IEEE OCEANS, Sydney, Australia, 24–27 May 2010. [Google Scholar]
- Yu, H.; Yang, G.; Li, Y.; Meng, F. Design and Analysis of Multiple-Input Multiple-Output Radar System Based on RF Single-Link Technology. Symmetry 2018, 10, 130. [Google Scholar] [CrossRef]
- Yang, G.; Yin, J.; Huang, D.; Jin, L.; Zhou, H. A Kalman Filter-Based Blind Adaptive Multi-User Detection Algorithm for Underwater Acoustic Networks. IEEE Sens. J. 2016, 16, 4023–4033. [Google Scholar] [CrossRef]
- Shahjehan, W.; Shah, W.S.; Lloret, J.; Leon, A. A Low Rank Channel Estimation Scheme in Massive Multiple-Input Multiple-Output. Symmetry 2018, 10, 507. [Google Scholar] [CrossRef]
- Jung, Y.-A.; You, Y.-H. Efficient Joint Estimation of Carrier Frequency and Sampling Frequency Offsets for MIMO-OFDM ATSC Systems. Symmetry 2018, 10, 554. [Google Scholar] [CrossRef]
- Huang, J.; Zhou, S.; Wang, Z. Performance Results of Two Iterative Receivers for Distributed MIMO OFDM With Large Doppler Deviations. IEEE J. Ocean. Eng. 2013, 38, 347–357. [Google Scholar] [CrossRef]
- Xuandi, S.; Zhe, J.; Xiaohong, S.; Xin, W. A computational-efficient turbo receiver for mobile underwater acoustic channels. In Proceedings of the 2017 IEEE International Conference on Signal Processing, Communications and Computing (ICSPCC), Xiamen, China, 22–25 October 2017. [Google Scholar]
- Banerjee, S.; Agrawal, M.; Fauziya, F. A Generalized Gaussian noise receiver for improved underwater communication in leptokurtic noise. In Proceedings of the OCEANS 2017, Aberdeen, UK, 19–22 June 2017. [Google Scholar]
- Niu, H.; Ritcey, J.A. Iterative channel estimation and decoding of pilot symbol assisted LDPC coded QAM over flat fading channels. In Proceedings of the Thrity-Seventh Asilomar Conference on Signals, Systems & Computers, Pacific Grove, CA, USA, 9–12 November 2003. [Google Scholar]
- Laot, C.; Glavieux, A.; Labat, J. Turbo equalization: Adaptive equalization and channel decoding jointly optimized. IEEE J. Sel. Areas Commun. 2001, 19, 1744–1752. [Google Scholar] [CrossRef]
- Berger, C.R.; Zhou, S.; Preisig, J.C.; Willett, P. Sparse Channel Estimation for Multicarrier Underwater Acoustic Communication: From Subspace Methods to Compressed Sensing. IEEE Trans. Signal Process. 2010, 58, 1708–1721. [Google Scholar] [CrossRef]
- Auer, G.; Bonnet, J. Threshold Controlled Iterative Channel Estimation for Coded OFDM. In Proceedings of the 2007 IEEE 65th Vehicular Technology Conference—VTC2007-Spring, Dublin, Ireland, 22–25 April 2007. [Google Scholar]
- Qiao, G.; Babar, Z.; Ma, L.; Liu, S.; Wu, J. MIMO-OFDM underwater acoustic communication systems—A review. Phys. Commun. 2017, 23, 56–64. [Google Scholar] [CrossRef]
- Tuchler, M.; Singer, A.C.; Koetter, R. Minimum mean squared error equalization using a priori information. IEEE Trans. Signal Process. 2002, 50, 673–683. [Google Scholar] [CrossRef]
- Ma, L.; Qiao, G.; Liu, S. A Combined Doppler Scale Estimation Scheme for Underwater Acoustic OFDM System. J. Comput. Acoust. 2015, 23, 1540004. [Google Scholar] [CrossRef]










| Serial # | Parameter | Value |
|---|---|---|
| 01 | Sampling frequency | 48 kHz |
| 02 | Communication bandwidth | 6 kHz–12 kHz |
| 03 | Total number of subcarriers | 1024 |
| 04 | Number of data carriers per transmitter | 726 |
| 05 | Number of pilots at each transmitter | 250 |
| 06 | Number of Null carriers per transmitter | 48 |
| 07 | OFDM symbol period | 170.67 ms |
| 08 | Cyclic prefix length | 40 ms |
| 09 | Spectrum utilization | 1.15 b/s/Hz |
| 10 | Communication rate | 6.89 kb/s |
| Value of Dmax | 0 | 1 | 2 | ICI-Unaware 3 Iterations | |
|---|---|---|---|---|---|
| Combined Hydrophone Number | |||||
| 02 | 0.2333 | 0.1911 | 0.1911 | 0.1911 | |
| 03 | 0.1757 | 0.0587 | 0.0208 | 0.0156 | |
| 04 | 0.1276 | 0.0018 | 0.0006 | 0.0006 | |
| 05 | 0.0796 | 0.0006 | 0.0006 | 0.0006 | |
© 2019 by the authors. Licensee MDPI, Basel, Switzerland. This article is an open access article distributed under the terms and conditions of the Creative Commons Attribution (CC BY) license (http://creativecommons.org/licenses/by/4.0/).
Share and Cite
Qiao, G.; Babar, Z.; Zhou, F.; Ma, L.; Li, X. Low-Complexity Progressive MIMO-OFDM Receiver for Underwater Acoustic Communication. Symmetry 2019, 11, 362. https://doi.org/10.3390/sym11030362
Qiao G, Babar Z, Zhou F, Ma L, Li X. Low-Complexity Progressive MIMO-OFDM Receiver for Underwater Acoustic Communication. Symmetry. 2019; 11(3):362. https://doi.org/10.3390/sym11030362
Chicago/Turabian StyleQiao, Gang, Zeeshan Babar, Feng Zhou, Lu Ma, and Xue Li. 2019. "Low-Complexity Progressive MIMO-OFDM Receiver for Underwater Acoustic Communication" Symmetry 11, no. 3: 362. https://doi.org/10.3390/sym11030362
APA StyleQiao, G., Babar, Z., Zhou, F., Ma, L., & Li, X. (2019). Low-Complexity Progressive MIMO-OFDM Receiver for Underwater Acoustic Communication. Symmetry, 11(3), 362. https://doi.org/10.3390/sym11030362

