You are currently viewing a new version of our website. To view the old version click .
Land
  • Article
  • Open Access

14 April 2025

Distribution of Pyrogenic Carbon in the Soil of a Cold Temperate Coniferous Forest 13 Years After a Severe Wildfire

,
,
and
Key Laboratory of Sustainable Forest Ecosystem Management-Ministry of Education, College of Ecology, Northeast Forestry University, 26 Hexing Road, Harbin 150040, China
*
Author to whom correspondence should be addressed.
This article belongs to the Section Land, Soil and Water

Abstract

Biomass combustion produces between 50 and 270 Tg of pyrogenic carbon (PyC) annually. PyC is extremely highly stable, making it a significant component of the global carbon sink. We established four plots at different slope positions within a cold temperate coniferous forest that experienced a severe fire in 2010. We mechanically divided the soil into three depths. The PyC content and density of the collected soil samples and four particle sizes were analyzed. Thirteen years after the fire, the PyC content in the soil on the upper slope was low (13.5–14.2 g·kg−1). In terms of PyC density, the valley and the upper slopes presented lower values. The PyC content in the 0~10 cm layer (14.0–16.7 g·kg−1) is only slightly more than 20% higher than that in the two deeper layers, whereas its density is 1.5~2 times more than that in the other layers. Our findings indicate that PyC is predominantly concentrated in coarse sand and silt particles. The spatial pattern of PyC is significantly influenced by the differentiation in topography, soil layer depth, and particle size. These distribution patterns strongly show that PyC plays a key role in forest ecosystem cycles affected by fire. PyC distribution in particle sizes particularly shows connections with specific soil components. There is a synergistic effect between the topographic redistribution (slope position differences), vertical stratification (soil depth), and particle size sorting of PyC. This determines the retention effect of stable carbon in fire-disturbed forest ecosystem soils, thereby influencing the soil carbon cycle.

1. Introduction

Pyrogenic carbon (PyC) is a general term. It describes the carbon-containing material derived from the incomplete combustion of fossil fuels and biomass [1]. This term is intended to be include many other morphologies, such as partially charred plant material, charcoal, soot, and highly graphitized aromatic carbon continuum [2,3]. As the pyrolysis temperature increases, the degree of polymerization of PyC increases, thereby enhancing its stability [4,5,6]. Wang et al. [7] conducted a meta-analysis utilizing radiocarbon isotope data from 128 studies spanning 24 research projects. Their findings indicate that approximately 97% of PyC has a mean residence time (MRT) exceeding 556 years [8,9].
Annually, global biomass burning produces between 50 and 270 Tg of PyC. This PyC is emitted into the atmosphere as fine aerosols (APyCs) of 10%. The remaining PyC remains on the soil surface near the production site as coarse solid residues (RPyCs) [10]. Physical processes and biological and abiotic degradation lead to RPyCs, generating smaller PyC fragments [11]. These fragments can either migrate over considerable distances due to erosion or through the transport of surface water, or they may enter the soil layer, thereby becoming a unique component of the soil organic carbon (SOC) pool [12]. Research indicates that the turnover time of soil PyC is approximately 2400 ± 2100 years, demonstrating that PyC can persist in the soil for hundreds to thousands of years.
The content of PyC in global soils is 160–200 Pg C. At present, there is a substantial body of research on the storage of PyC in boreal forest soils. For instance, PyC storage in Canadian black spruce forest soils varies from 0.2 to 0.6 kg C m−2 [13,14], whereas in Siberian Scots pine forest soils, it ranges from 0.02 to 3.40 kg C m−2 [2,15]. In the surface mineral soils of black spruce forests in Alaska, USA, the average PyC storage is measured at 0.34 ± 0.09 kg C m−2 [16,17]. PyC accounts for a significant proportion of SOC, particularly in fire-affected ecosystems. Preston and Schmidt reviewed the estimates of PyC in soils [18], noting that due to natural variability and the range of techniques employed for quantification, the values of PyC varied widely, ranging from less than 1–60% of SOC, with an average of 13% [19]. However, in fire-prone ecosystems, this proportion may attain significantly higher magnitudes. Empirical evidence from Jauss et al. demonstrates that PyC content can reach 24% under fire return intervals spanning 21–30 years [20].
Soil PyC storage is influenced by many factors. Specifically, with the increase in pyrolysis temperature, the degree of PyC polymerization increases. PyC has a lower carbon to hydrogen ratio (C/H) and carbon to oxygen ratio (C/O) compared to uncharred biomass [4]. Gibson et al. (2018) demonstrated that PyC formed through pyrolysis at temperatures exceeding 400 °C exhibits an aromatic carbon compound with high degrees of polymerization. There is very little soluble carbon available for microorganisms, so it is extremely resistant to mineralization, which is conducive to its accumulation in the soil [21,22]. From the perspective of soil protection mechanisms, on the one hand, organic–metal (iron–aluminum oxide) combinations and organic–mineral (fine sand, silt, and clay) combinations can provide stronger protection for PyC in soil. PyC in organometallic complexes and mineral-protected soils is more abundant than that in unprotected soil organic particulate matter (POM). On the other hand, PyC in the soil can actively promote the formation and stability of microaggregate (<250 μm), thereby providing additional protection to PyC [6]. From the perspective of environmental influencing factors, the following are considered: (1) The frequency of fire interference introduces uncertainty to the accumulation of PyC [23]. As the frequency of fires increases, PyC storage in the organic layer may decrease. Czimczik et al. suggested that this phenomenon is linked to the reoxidation of PyC due to frequent disturbances, which prevent its accumulation in the forest [2]. (2) PyC in soil is more likely to accumulate in valleys, lower slope positions, and local depressions. Owing to precipitation and the force of gravity, PyC at the top and upper slopes is more likely to be transported to the middle and lower slopes, as well as into the valley, resulting in accumulation. Additionally, depressed terrain facilitates the accumulation of litter and organic matter, which can generate more PyC through biomass combustion, and this subsequently enters the soil [14]. (3) PyC in the south-facing slope soil is more than that in the north-facing slope. The difference can be linked to the impact of light and temperature; the slope facing north tends to be more humid, which results in lower PyC production during fires [16,24,25].
Our research was conducted in the forested region of the Greater Xing’an Mountains. The study area is susceptible to frequent forest fires, with the longest fire return interval ranging from 110 to 120 years. High PyC content in soil was found in both recently burned areas (3–5 years after fires, 16.43 ± 1.49 g·kg−1) and old-growth Larix gmelinii forests (17.51 ± 3.36 g·kg−1). PyC makes up 17–23% of the total organic carbon, proving it is a key part of the soil carbon storage in the cold temperate coniferous forests of the Greater Xing’an Mountains. This study selected a severe fire site from 2010. We observed that after 13 years, the forest had recovered and progressed to the sapling stage of pioneer tree species, specifically Populus davidiana and Betula platyphylla. PyC generated on the surface of dead woody debris had largely detached, thereby completing the transition from the plant residue carbon pool to the surface charcoal pool. This study aims to elucidate the storage of PyC in the soil during this specific stage. To answer this question, we formulated the following three hypotheses: (1) Under the combined mechanisms of slope migration and clay particle stabilization, both the content and storage of PyC in the upper slope position exhibited significant differentiation compared to those in other slope positions; (2) The surface accumulation characteristics of soil PyC are evident; (3) Based on the mineral protection mechanism of PyC, clay particles bind more PyC.

2. Materials and Methods

2.1. Site Description

The study site is located in Huyuan Forestry Field, Huzhong Forestry Bureau, northern Daxinganling, China (51°17′57″–51°50′09″ N, 123°10′05″–123°48′14″ E) (Figure 1). The study site has an average altitude of 851 m and an annual mean temperature of −4.3 °C and receives approximately 497.7 mm of precipitation each year. This area experiences a cold temperate continental monsoon climate, marked by prolonged, frigid winters, with an ice duration lasting approximately six months. Forest wildfires occur frequently in spring and autumn because Mongolian drought winds cause high temperatures and strong winds [26]. The flora of the area is representative of cold temperate coniferous forests, predominantly featuring Larix gmelinii and Pinus pumila. The soil type is classified as Umbri-Gelic Cambosols in the Chinese Soil Taxonomy. In May 2010, a ‘particularly severe forest fire’ occurred in the Huyuan Forestry Field, with an overburden area of 480 ha, leading to a mortality rate of nearly 100% among the tree species. In September 2023, within the study area, we established three replicated transects, extending from low altitude to high altitude, based on microtopographic features and the spatial distribution of pre-fire vegetation types. Each transect includes four distinct slope positions: upper slope position, middle slope position, lower slope position, and valley. A total of 12 standard plots of 20 m × 30 m were set up. The conditions of these plots are presented in Table 1.
Figure 1. Location map of the study site.
Table 1. Basic information of the sampling sites.

2.2. Soil Collection

Three small 10 × 10 m quadrats were established in each plot, and five sampling points were established via the diagonal method. Before sampling, the dead leaf layer was removed from the surface. Subsequently, the soil was then mechanically layered at depths of 0 to 10 cm, 10 to 20 cm, and 20 to 30 cm, and soil samples were collected, respectively (a total of 9 duplicate samples). The soil samples from the five sampling points were then mixed in equal proportions to determine the PyC and SOC contents. At the same time, soil bulk density was also assessed by collecting the original soil samples. Owing to the high gravel content at the site, we used a custom-made cylindrical container (8 cm in diameter) to collect the soil samples. After collection, the residual soil was poured into the soil pit, and the litter layer was restored.

2.3. Soil Analysis

After the mixed fresh soil samples were brought back indoors, the stones and roots were picked out, and the soil was allowed to air-dry completely in a cool and well-ventilated environment and was subsequently screened through a 2 mm and 0.149 mm sieve. The soil samples with a 2 mm sieve were taken out. Then, according to the methods of Glaser et al. (2003) and Liao et al. (2011), coarse sand particles (2000~250 μm), fine sand particles (250~53 μm), silt particles (53~2 μm), and clay particles (<2 μm) were separated. The samples were dried and weighed at 55 °C and then ground through a 0.149 mm sieve [27,28]. A portion of these samples and the soil samples that passed through the 0.149 mm sieve were taken to determine the SOC content. The remaining soil samples were extracted using the chemical oxidation method via HF/HCl treatment and dichromate oxidation [29,30]. The content of PyC and SOC in the soil samples was measured with the aid of a laser hyperspectral elemental analyzer (J200 Tandam LA-LIBS Instrument, Applied Spectra, West Sacramento, CA, USA). The specific procedure is as follows: All soil samples are dried until absolutely dry at 105 ° C, fully ground, and again passed through a 0.149 mm sieve to ensure uniform sample particles. The 0.500 g soil sample was weighed and pressed into a pellet under a pressure of 20 MPa in a pellet press, holding the pressure for 2 min to ensure compaction. Laser-induced breakdown testing was performed following the built-in soil sample method of the instrument. In addition, the original soil samples underwent drying at a temperature of 105 °C until they reached a stable weight. Then, larger stones were removed, their volume was estimated using the volumetric drainage method, and the soil density was calculated.

2.4. Data Analysis

The calculation method of the SOC density is as follows (Equation (1)):
S O C D = S O C C   × B D × T × 1 G × 10 2
where SOCD is the soil organic carbon density (kg·m−2); SOCC is the soil organic carbon content (g·kg−1); BD is the soil bulk density (g·cm−3); T is the soil depth (cm); and G is the content of gravel > 2 mm (%). The density of PyC in the soil is the same as above.
The data were statistically analyzed using Excel 2010 and SPSS 18.0 software. The two-factor method and Bonferroni methods were used for ANOVA and multiple comparisons (p < 0.05), and correlation analysis and graphing using Origin 2022. In addition, to understand the primary main drivers of PyC and SOC, the relevant environmental factors affecting PyC and SOC content and storage were ranked in order of importance through a random forest model developed by R4.4.2.

3. Results

3.1. Slope Position Distribution of Pyrogenic Carbon in Soil

The PyC content in the soil ranged from 13.5 g·kg−1 to 16.5 g·kg−1, while the SOC content varied between 79.0 g·kg−1 and 84.8 g·kg−1. We observed lower levels of PyC and SOC contents in the upper slope position, and they were significantly different from the middle slope position and the lower slope position (p < 0.05) (Figure 2a). We also found that the PyC/SOC ratio was lower at the upper slope position, ranging from 16.8% to 17.2%, which was significantly different from that at the middle slope position (p < 0.05).
Figure 2. (a) Content distributions of SOC and PyC in soil at different slope positions. (b) Density distributions of SOC and PyC in soil at different slope positions. Different lowercase letters indicate significant differences between different slope positions (p < 0.05).
Additionally, our research reveals that the PyC density of the soil in the study area ranges from 0.9 kg·m−2 to 2.5 kg·m−2, while the SOC density varies from 5.2 kg·m−2 to 14.3 kg·m−2. Both PyC density and SOC density were higher in the lower slope position and significantly greater than those in the upper slope position and valley (p < 0.05) (Figure 2b). In contrast, the contribution rate of PyC to SOC was relatively high in the valley.

3.2. Soil Depth Distribution of Pyrogenic Carbon in Soil

Regardless of the slope position, the contents of PyC and SOC in the soil decreased as soil depth increased. The PyC content (14.0–16.7 g·kg−1) and SOC content (80.2–87.2 g·kg−1) at a depth of 0–10 cm were significantly higher than those in the two deeper layers (p < 0.05), increasing by approximately 20% and 5%, respectively (Figure 3).
Figure 3. Slope position and soil depth distributions of the SOC and PyC contents. Different capital letters indicate significant differences between different soil depths at the same slope level of 0.05 (p < 0.05). Different lowercase letters indicate significant differences at different slope positions at the same soil depth at the 0.05 level (p < 0.05). The same below.
This is the same as the content distribution. The density of PyC and SOC in the soil decreased as the depth increased. The densities of PyC (0.5–1.0 kg·m−2) and SOC (2.7–5.3 kg·m−2) at a depth of 0~10 cm are significantly higher than those in the two deeper layers (p < 0.05). Specifically, they are 1.5–2 times and 1.3~2.0 times the density of the two deeper layers, respectively (Figure 4). In general, both the content ratio and density ratio of PyC to SOC in the soil are relatively high at depths ranging from 0 to 10 cm.
Figure 4. Slope position and soil depth distributions of the SOC and PyC densities. Different capital letters indicate significant differences between different soil depths at the same slope level of 0.05 (p < 0.05). Different lowercase letters indicate significant differences at different slope positions at the same soil depth at the 0.05 level (p < 0.05).

3.3. Size Fraction Distribution of PyC in Soil

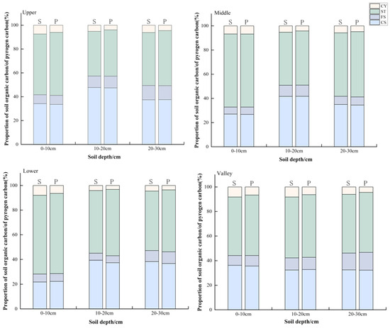
Regardless of the soil depth after 13 years of fire recovery, the analysis of soil particle size shows that the largest proportion of soil PyC in the silt particles is approximately 38.8% to 65.0%; second, the proportion of soil PyC in the coarse sand particles is approximately 22.3–47.4%; and the silt particles and coarse sand particles are the dominant components for soil PyC sequestration, with a dominance degree of 81~91%. On the contrary, PyC in soil accounts for the smallest proportion in clay particles at about 3.2–6.8% (Figure 5). For each particle level itself, the average PyC/SOC average (13.6%) of the clay particles in the soil is significantly lower than that of the other three particles (p < 0.05) (Figure 6), representing a decrease of approximately 20%.
Figure 5. Proportion of SOC and PyC in different particle size fractions. CS: coarse sand; FS: fine sand; ST: silt; CY: clay; S: SOC; P: PyC. The same below.
Figure 6. PyC/SOC inside each particle size fraction of the soil. Different capital letters indicate significant differences between different soil depths for the same particle size (p < 0.05). Different lowercase letters indicate significant differences between different particle sizes at the same soil depth (p < 0.05).

3.4. Random Forest-Based Factor Contribution Ranking

Predictors associated with PyC and SOC were identified using random forest analysis. The overall explanatory rates of the random forest model for factors influencing PyC content, PyC density, SOC content, and SOC density were 72.7%, 61.5%, 35.8%, and 55.5%, respectively. Analysis of the random forest model results reveals that soil depth is a significant environmental factor influencing PyC content, PyC density, SOC content, and SOC density (Figure 7). However, in this study, the valley was impacted by artificial forest-cutting activities, which may somewhat limit the importance of slope position.
Figure 7. Importance ranking of variables in a random forest regression model of environmental factors affecting PyC and SOC content and density. *, p < 0.05; **, p < 0.01.

4. Discussion

We hope this study elucidates the retention effects of PyC under the synergistic influence of topographic distribution (slope position differences), vertical stratification (soil depth), and particle size sorting. These considerations enhance our understanding of the soil carbon cycle in fire-disturbed forest ecosystems.

4.1. Slope Position Distribution of Pyrogenic Carbon in Soil

Topographic regulation leads to small-scale habitat differences because it alters the regional-scale hydrothermal conditions. This affects the material cycling and energy flow in forest soils [31,32]. Our study reconfirms slope position plays a crucial role in retaining PyC. Although the valley has undergone large-scale artificial clearing activities, the PyC content and storage in the upper slope are significantly lower than those in other slope positions. Wang et al. [33] research findings regarding the primeval Larix gmelinii forest align with ours. However, compared to them, the vegetation distributed in our upper slope position is dominated by Pinus pumila, a result of altitudinal variation. This species exhibits greater biomass and higher lipid content, enabling increased production of PyC. However, this is not sufficient to offset the impact of different slope positions on PyC [32,34].
Considering the impact of artificial forest clearing activities in the valley, this study supports that the lower slopes and valleys are conducive to the accumulation of SOC [35,36]. This result is the combined effect of topographic factors, the accumulation of biogenic carbon in the soil prior to the fire, the slope deposition of woody debris resulting from combustion, and the natural recovery of burned areas [37,38,39,40,41].
The ratio of PyC to SOC highlights the significance of PyC in the composition of SOC. Our research indicates that approximately 17.4% of the carbon in the soil of cold temperate coniferous forests was stored as PyC after 13 years post-fire. The pattern of its topographic distribution aligns with the variation in PyC content, with the exception of the valley. Contrary to our expectations, the PyC/SOC ratio in the soil of the original Larix gmelinii forest in this area is approximately 23%. Our ratio is significantly lower than this, which may be related to the spatial heterogeneity of the sample plots. However, the lower PyC proportion we obtained may also imply that, at the time point of this study, the PyC shed from the aboveground parts had not entered the soil layer or, at least, had not reached a relatively high leaching concentration. Our sampling of the surface charcoal layer also confirms this, with its thickness ranging from 1.7 to 8.1 cm.

4.2. Soil Depth Distribution of Pyrogenic Carbon in Soil

After 13 years of fire, the vertical distribution of PyC and SOC contents in the soil supports the consensus conclusion that their contents gradually decrease with increasing soil depth (Figure 2) [17,42,43,44,45]. The surface soil is located at the interface between the aboveground part and the soil layer. PyC from the aboveground part (including aboveground vegetation, the litter layer, and atmospheric aerosols) is first deposited on the surface, thus exhibiting surface accumulation. Thereafter, with mechanical and biological fragmentation, precipitation leaching, and animal activities and feeding, PyC is gradually deposited in the lower part of the soil layer.
PyC/SOC in soil also gradually decreases with increasing depth, which is inconsistent with the research results of Xu et al. and Silva et al., who reported that PyC/SOC in soil increases with the increasing depth of the soil layer [46,47]. This is related to the restoration succession stage of the burned area. In the soil ecosystem, SOC results from the interaction between continuous inputs and outputs. Compared with SOC, PyC primarily originates from biomass burning, and its formation and accumulation in the soil layer must be driven by wildfire events. When the frequency of wildfires decreases, the accumulation of PyC in the surface soil layer weakens, while the PyC content in the deeper soil layers gradually increases. In addition, in cold-temperate coniferous forest areas, the vertical migration of PyC in soil may be influenced by multiple factors. On the one hand, the freeze–thaw cycle may play a crucial role in the migration of soil PyC. This cycle breaks the PyC particles in the soil, thereby increasing their surface area, which provides favorable conditions for oxidation reactions and promotes the leaching of smaller PyC particles, consequently accelerating the vertical migration of soil PyC. On the other hand, trees falling down and bioturbation by soil animals may also be important factors in the vertical migration of PyC in the soil [48,49]. Xu et al. [50] investigated a stable ecosystem of cold temperate coniferous forests that have not experienced any recorded forest fires in the past century. Our study was conducted 13 years after a fire, during which vegetation succession progressed to a developmental stage characterized by the presence of Populus davidiana and Betula platyphylla. The analysis of the time scale reveals that PyC surface aggregation was stronger at the sample sites in this study. Leifeld et al. demonstrated that in soils characterized by high porosity, the vertical migration rate of soil PyC can reach between 0.63 and 1.16 cm per year [51]. If calculated at this speed, PyC in the soil of this study site will migrate to the interface of approximately 10 cm at the fastest speed.
The PyC storage in the studied surface soil ranges from 0.5 to 1.0 kg·m−2. This is similar to the PyC storage in the surface soil layer of the forest frozen transition zone located in northern Siberia (0.02~3.40 kg·m−2) [15]. The PyC storage in the soil decreases as the soil depth increases. The PyC storage in the soil at the 10~20 cm and 20~30 cm soil depths are between 0.3 and 0.7 kg·m−2 and 0.2 and 0.7 kg·m−2, respectively. The higher gravel content observed in the deeper soil layers of the study area may elucidate this phenomenon. At depths of 10~20 cm from the surface, the content of large gravel in this area can reach 30~80%. Above an altitude of 948 m, the content of large gravel below 30 cm can reach even more than 95%.

4.3. Size Fraction Distribution of PyC in Soil

After 13 years of fire, the content of PyC in the clay fraction is the lowest among all soil particle size fractions, followed by the fine sand fraction. In contrast, the coarse sand and silt fractions dominated the PyC content, accounting for 81–91% (Figure 4). The distribution characteristics of the SOC content across different soil particle sizes were consistent with those of PyC. This finding does not support the conclusion of Xu et al. that the clay PyC content in soil is the highest [50]. Although our research results also show a positive correlation between the organic carbon and clay content, we agree that the organic carbon result includes the effects of the PyC Carbon Mineral Protection Mechanism [13,16]. In addition, Soucémarianadin et al. reported the highest PyC content in coarse sand particles. We believe that it is incomplete to explain this special research result only from the mineral protection mechanism, and the mixing mechanism of mineral-pyrogenic organic carbon complexes in other particle sizes, with the exception of clay particles, is incomplete [14]. By combining scanning electron microscopy and X-ray energy scattering analysis, the soil PyC in the silt particles in the soil surface layer can almost be considered a free state and is not tightly combined with mineral particles [6,52]. PyC enters the soil layer, and the leaching process is accompanied by an extremely slow decomposition process, causing the diameter of the PyC particles to gradually decrease. In this and previous studies, it was found that the highest content of PyC in coarse sand particles was observed after 5 years of burning, while the highest PyC content in silt particles occurred after 13 years of burning. Additionally, the highest PyC content in the clay particles was found to develop over a time scale of at least 100 years. We have reason to believe that the diameter of free PyC particles in a soil layer over different time scales may correspond to a specific particle size, increasing the values measured for that particle size. Furthermore, it is speculated that the recovery stage of the burning trace may be inevitably correlated with the PyC content across various particle sizes.
The PyC/SOC inside the soil clay particles is significantly lower than that inside the other particle sizes (approximately 76.7% of the coarse sand particles, 74.8% of the fine sand particles, and 75.6% of the silt particles), reflecting the lower contribution of PyC to SOC in the clay particles, which aligns with the conclusions of Xu et al. [50] and Brodowski et al. These authors suggest that the surface oxidation of soil PyC particles facilitates the interaction and attachment of smaller PyC particles to mineral particles of coarse silt size. This results in the tight adsorption of tiny PyC particles onto clay minerals and metal oxide particles, leading to their incorporation within the coarse sand fraction. Consequently, this process increases the proportion of soil PyC in the coarse sand fraction while diminishing its correlation with clay [52]. Regardless of the terrain, the PyC/SOC in each particle size soil in the surface layer was significantly higher than that in the other soil layers, which shows that PyC in the surface soil had the highest contribution rate to organic carbon during this period. However, as the burned area gradually recovers, this surface advantage may gradually weaken under the combined effects of erosion by wind, erosion by water, and biological fragmentation.

5. Conclusions

This study investigated the spatial distribution patterns of PyC storage in a severely burned forest 13 years post-fire. Our findings indicate that during this period, the slope position and soil layer distribution characteristics of PyC in the soil exhibited patterns similar to those observed in the unburned primary forest. Specifically, the low storage characteristics in the upper position are regulated by surface erosion, while the surface aggregation characteristics are driven by PyC sources. However, in terms of particle size distribution, it presents a conclusion different from the research hypothesis. More PyC was found in the silt particle size. However, this is inconsistent with the research results showing the highest PyC content in the clay of the original coniferous forest. These findings provide critical insights into organo-mineral sorting mechanisms governing PyC in boreal forest soils across decadal-scale post-fire chronosequences. This allows for a better comprehension of the PyC cycle in forest fire-affected soils. Therefore, whether this difference in particle size distribution represents a delayed effect of the PyC–mineral binding mechanism over a longer time scale or is a direct result of the further fragmentation or decomposition of PyC still requires further research for confirmation.

Author Contributions

L.S. and Y.Z. conceived the ideas and designed the methodology; L.S., Y.P. and X.H. collected the data; L.S. analyzed the data; L.S. and Y.Z. led the writing of the manuscript. All authors have read and agreed to the published version of the manuscript.

Funding

This work was financially supported by the National Natural Science Foundation of China (31570597) and Category D project of Central Colleges and Universities (HFW230600022).

Data Availability Statement

Data are contained within the article.

Conflicts of Interest

The authors declare no conflicts of interest.

References

  1. Mukherjee, S.; Kumar, M. Cycling of Black Carbon and Black Nitrogen in the Hydro-geosphere: Insights on the Paradigm, Pathway, and Processes. Sci. Total Environ. 2021, 770, 144711. [Google Scholar] [CrossRef] [PubMed]
  2. Czimczik, C.I.; Schmidt, M.W.I.; Schulze, E.D. Effects of increasing fire frequency on black carbon and organic matter in Podzols of Siberian Scots pine forests. Eur. J. Soil Sci. 2004, 56, 417–428. [Google Scholar] [CrossRef]
  3. Schmidt, M.W.I.; Skjemstad, J.O.; Gehrt, E.; Kögel-Knabner, I. Charred organic carbon in German chernozemic soils. Eur. J. Soil Sci. 2001, 50, 351–365. [Google Scholar] [CrossRef]
  4. Bird, M.I.; Wynn, J.G.; Saiz, G.; Wurster, C.M.; McBeath, A. The Pyrogenic Carbon Cycle. Annu. Rev. Earth Planet. Sci. 2015, 43, 273–298. [Google Scholar] [CrossRef]
  5. Bird, M.I.; Moyo, C.; Veenendaal, E.M.; Lloyd, J.; Frost, P. Stability of elemental carbon in a savanna soil. Glob. Biogeochem. Cycles 1999, 13, 923–932. [Google Scholar] [CrossRef]
  6. Brodowski, S.; John, B.; Flessa, H.; Amelung, W. Aggregate-occluded black carbon in soil. Eur. J. Soil Sci. 2006, 57, 539–546. [Google Scholar] [CrossRef]
  7. Wang, J.; Xiong, Z.; Kuzyakov, Y. Biochar stability in soil: Meta-analysis of decomposition and priming effects. GCB Bioenergy 2015, 8, 512–523. [Google Scholar] [CrossRef]
  8. Singh, N.; Abiven, S.; Torn, M.S.; Schmidt, M.W.I. Fire-derived organic carbon in soil turns over on a centennial scale. Biogeosciences 2012, 9, 2847–2857. [Google Scholar] [CrossRef]
  9. Kuzyakov, Y.; Bogomolova, I.; Glaser, B. Biochar stability in soil: Decomposition during eight years and transformation as assessed by compound-specific 14C analysis. Soil Biol. Biochem. 2014, 70, 229–236. [Google Scholar] [CrossRef]
  10. Kuhlbusch, T.A.J.; Crutzen, P.J. Toward a global estimate of black carbon in residues of vegetation fires representing a sink of atmospheric CO2 and a source of O2. Glob. Biogeochem. Cycles 1995, 9, 491–501. [Google Scholar] [CrossRef]
  11. Schmidt, M.W.I.; Noack, A.G. Black carbon in soils and sediments: Analysis, distribution, implications, and current challenges. Glob. Biogeochem. Cycles 2000, 14, 777–793. [Google Scholar] [CrossRef]
  12. Hyvluoma, J.; Miettinen, A.; Keskinen, R.; Rasa, K.; Lindberg, H. Structural and chemical changes in pyrogenic organic matter aged in a boreal forest soil. Pedosphere 2023, 33, 436–447. [Google Scholar] [CrossRef]
  13. Soucémarianadin, L.N.; Quideau, S.A.; MacKenzie, M.D. Pyrogenic carbon stocks and storage mechanisms in podzolic soils of fire-affected Quebec black spruce forests. Geoderma 2014, 217–218, 118–128. [Google Scholar] [CrossRef]
  14. Soucémarianadin, L.N.; Quideau, S.A.; MacKenzie, M.D.; Munson, A.D.; Boiffin, J.; Bernard, G.M.; Wasylishen, R.E. Total and pyrogenic carbon stocks in black spruce forest floors from eastern Canada. Org. Geochem. 2015, 82, 1–11. [Google Scholar] [CrossRef]
  15. Guggenberger, G.; Rodionov, A.; Shibistova, O.; Grabe, M.; Kasansky, O.A.; Fuchs, H.; Mikheyeva, N.; Zrazhevskaya, G.; Flessa, H. Storage and mobility of black carbon in permafrost soils of the forest tundra ecotone in Northern Siberia. Glob. Chang. Biol. 2008, 14, 1367–1381. [Google Scholar] [CrossRef]
  16. Kane, E.S.; Hockaday, W.C.; Turetsky, M.R.; Masiello, C.A.; Valentine, D.W.; Finney, B.P.; Baldock, J.A. Topographic controls on black carbon accumulation in Alaskan black spruce forest soils: Implications for organic matter dynamics. Biogeochemistry 2010, 100, 39–56. [Google Scholar] [CrossRef]
  17. Huang, W.; Hu, Y.; Chang, Y.; Liu, M.; Li, Y.; Ren, B.; Shi, S. Effects of Fire Severity and Topography on Soil Black Carbon Accumulation in Boreal Forest of Northeast China. Forests 2018, 9, 408. [Google Scholar] [CrossRef]
  18. Preston, C.M.; Schmidt, M.W.I. Black (pyrogenic) carbon: A synthesis of current knowledge and uncertainties with special consideration of boreal regions. Biogeosciences 2006, 3, 397–420. [Google Scholar] [CrossRef]
  19. Li, G.; Sun, L.; Wang, J.; Dou, X.; Ji, S.; Hu, T.; Gao, C. Effects of pyrogenic carbon addition after fire on soil carbon mineralization in the Great Khingan Mountains peatlands (Northeast China). Sci. Total Environ. 2023, 864, 161102. [Google Scholar] [CrossRef]
  20. Jauss, V.; Johnson, M.; Krull, E.; Daub, M.; Lehmann, J. Pyrogenic carbon controls across a soil catena in the Pacific Northwest. Catena 2015, 124, 53–59. [Google Scholar] [CrossRef]
  21. Gibson, C.D.; Hatton, P.-J.; Bird, J.A.; Nadelhoffer, K.; Ward, C.P.; Stark, R.E.; Filley, T.R. Interacting Controls of Pyrolysis Temperature and Plant Taxa on the Degradability of PyOM in Fire-Prone Northern Temperate Forest Soil. Soil Syst. 2018, 2, 48. [Google Scholar] [CrossRef]
  22. de Oliveira, E.A.; Feldpausch, T.R.; Marimon, B.S.; Morandi, P.S.; Phillips, O.L.; Bird, M.; Murakami, A.A.; Arroyo, L.; Quesada, C.A.; Marimon-Junior, B.H. Soil pyrogenic carbon in southern Amazonia: Interaction between soil, climate, and above-ground biomass. Front. For. Glob. Chang. 2022, 5, 880963. [Google Scholar] [CrossRef]
  23. Jiménez-González, M.A.; Rosa, J.M.D.L.; Aksoy, E.; Jeffery, S.; Verheijen, F.G.A. Spatial distribution of pyrogenic carbon in Iberian topsoils estimated by chemometric analysis of infrared spectra. Sci. Total Environ. 2021, 790, 148170. [Google Scholar] [CrossRef] [PubMed]
  24. Kane, E.S.; Kasischke, E.S.; Valentine, D.W.; Turetsky, M.R.; McGuire, A.D. Topographic influences on wildfire consumption of soil organic carbon in interior Alaska: Implications for black carbon accumulation. J. Geophys. Res. Biogeosci. 2007, 112, G03017. [Google Scholar] [CrossRef]
  25. Yüksek, T.; Yüksek, F. Effects of altitude, aspect, and soil depth on carbon stocks and properties of soils in a tea plantation in the humid Black Sea region. Land Degrad. Dev. 2021, 32, 4267–4276. [Google Scholar] [CrossRef]
  26. Liu, Z.; Yang, J.; He, H.; Chang, Y. Spatial point analysis of fire occurrence and its influence factor in Huzhong forest area of the Great Xing′an Mountains in Heilongjiang Province, China. Acta Ecol. Sin. 2011, 31, 1669–1677. [Google Scholar] [CrossRef]
  27. Glaser, B.; Amelung, W. Pyrogenic carbon in native grassland soils along a climosequence in North America. Glob. Biogeochem. Cycles 2003, 17, 1064. [Google Scholar] [CrossRef]
  28. Liao, H.-k.; Long, J. Variation of soil organic carbon under different vegetation types in Karst Mountain areas of Guizhou Province, southwest China. Ying Yong Sheng Tai Xue Bao = J. Appl. Ecol. 2011, 22, 2253–2258. [Google Scholar] [CrossRef]
  29. Lim, B.; Cachier, H. Determination of black carbon by chemical oxidation and thermal treatment in recent marine and lake sediments and Cretaceous-Tertiary clays. Default J. 1996, 131, 143–154. [Google Scholar] [CrossRef]
  30. Sun, J.B.; Sang, Y.; Song, J.F.; Cui, X.Y. Content and Distribution of Black Carbon in Typical Forest Soils in Changbaishan Mountains. For. Res. 2016, 29, 34–40. [Google Scholar] [CrossRef]
  31. Zhu, M.; Feng, Q.; Qin, Y.; Cao, J.; Zhang, M.; Liu, W.; Deo, R.C.; Zhang, C.; Li, R.; Li, B. The role of topography in shaping the spatial patterns of soil organic carbon. Catena 2019, 176, 296–305. [Google Scholar] [CrossRef]
  32. Liu, B.; Chen, L.; Pang, D.; Zhu, Z.; Liu, L.; Wu, M.; Li, X. Altitudinal distribution rule of Larix principis-rupprechtii forest’s soil organic carbon and its influencing factors in Liupan Mountain. Acta Ecol. Sin. 2021, 41, 6773–6785. [Google Scholar] [CrossRef]
  33. Wang, M.; Cui, X.; Li, S.; Zhang, W.; Zhao, H. Effects of topographic factors on soil black carbon storage in coniferous forests at the north end of Greater Khingan Mountains. J. Nanjing For. Univ. 2021, 45, 151–158. [Google Scholar]
  34. Shi, L.; Gao, S.; Yao, X.; Zhang, X.; Li, W.; Gao, F. Characteristics of Soil Carbon and Nitrogen Accumulation under Different Vegetation Restoration in the Loess Hilly Region of Northwest Shanxi Province. Ecol. Environ. Sci. 2021, 30, 1787–1796. [Google Scholar] [CrossRef]
  35. Bangroo, S.A.; Najar, G.R.; Rasool, A. Effect of altitude and aspect on soil organic carbon and nitrogen stocks in the Himalayan Mawer Forest Range. Catena 2017, 158, 63–68. [Google Scholar] [CrossRef]
  36. Sheikh, M.A.; Kumar, M.; Bussmann, R.W. Altitudinal variation in soil organic carbon stock in coniferous subtropical and broadleaf temperate forests in Garhwal Himalaya. Carbon Balance Manag. 2009, 4, 6. [Google Scholar] [CrossRef]
  37. Moody, J.A.; Shakesby, R.A.; Robichaud, P.R.; Cannon, S.H.; Martin, D.A. Current research issues related to post-wildfire runoff and erosion processes. Earth-Sci. Rev. 2013, 122, 10–37. [Google Scholar] [CrossRef]
  38. Chaplot, V.A.M.; Rumpel, C.; Valentin, C. Water erosion impact on soil and carbon redistributions within uplands of Mekong River. Glob. Biogeochem. Cycles 2005, 19, GB4004. [Google Scholar] [CrossRef]
  39. Ming-kui, Z.; Zhao-yun, L.I.U. Soil Erosion-induced Selective Transfer of Various Forms of Organic Carbon in Red Soil Slope Field. J. Soil Water Conserv. 2009, 23, 45–49. [Google Scholar] [CrossRef]
  40. Sun, J.; Xu, J.; Song, J.; Cui, X. Distribution characteristics and influence factors of soil black carbon of typical forest areas in northeast China. Acta Sci. Circumstantiae 2018, 38, 3313–3321. [Google Scholar] [CrossRef]
  41. Xue, L.; Xue, Y.; Lie, G.; Ye, L.; Huang, X. Soil Organic Carbon Storage on Different Slope Positions in Cunninghamia Lanceolata Stands. Bull. Soil Water Conserv. 2012, 32, 43–46. [Google Scholar] [CrossRef]
  42. Wu, L.; Li, L.; Yao, Y.; Qin, F.; Guo, Y.; Gao, Y.; Zhang, M. Spatial distribution of soil organic carbon and its influencing factors at different soil depths in a semiarid region of China. Environ. Earth Sci. 2017, 76, 654. [Google Scholar] [CrossRef]
  43. Grüneberg, E.; Schöning, I.; Kalko, E.K.V.; Weisser, W.W. Regional organic carbon stock variability: A comparison between depth increments and soil horizons. Geoderma 2010, 155, 426–433. [Google Scholar] [CrossRef]
  44. Turcios, M.M.; Jaramillo, M.M.A.; do Vale, J.F.; Fearnside, P.M.; Barbosa, R.I. Soil charcoal as long-term pyrogenic carbon storage in Amazonian seasonal forests. Glob. Chang. Biol. 2015, 22, 190–197. [Google Scholar] [CrossRef]
  45. Koele, N.; Bird, M.; Haig, J.; Marimon-Junior, B.H.; Marimon, B.S.; Phillips, O.L.; de Oliveira, E.A.; Quesada, C.A.; Feldpausch, T.R. Amazon Basin forest pyrogenic carbon stocks: First estimate of deep storage. Geoderma 2017, 306, 237–243. [Google Scholar] [CrossRef]
  46. Xu, J.; Gao, L.; Sun, Y.; Cui, X. Distribution of Mineral-bonded Organic Carbon and Black Carbon in Forest Soils of Great Xing’an Mountains, China and Carbon Sequestration Potential of the Soils. Acta Pedol. Sin. 2018, 55, 236–246. [Google Scholar] [CrossRef]
  47. Silva, L.J.d.; Oliveira, D.; Nóbrega, G.N.; Barbosa, R.; Cordeiro, R.C. Pyrogenic carbon stocks and its spatial variability in soils from savanna-forest ecotone in amazon. J. Environ. Manag. 2023, 340, 117980. [Google Scholar] [CrossRef]
  48. Major, J.; Lehmann, J.; Rondon, M.; Goodale, C. Fate of soil-applied black carbon: Downward migration, leaching and soil respiration. Glob. Chang. Biol. 2010, 16, 1366–1379. [Google Scholar] [CrossRef]
  49. Gavin, D.G. Forest soil disturbance intervals inferred from soil charcoal radiocarbon dates. Can. J. For. Res. 2003, 33, 2514–2518. [Google Scholar] [CrossRef]
  50. Xu, J.H.; Gao, L.; Cui, X.Y. Black carbon content and distribution in different particle size fractions of forest soils in the middle part of Great Xing’an Mountains, China. Ying Yong Sheng Tai Xue Bao = J. Appl. Ecol. 2017, 28, 3111–3118. [Google Scholar] [CrossRef]
  51. Leifeld, J.; Fenner, S.; Müller, M. Mobility of black carbon in drained peatland soils. Biogeosciences 2007, 4, 425–432. [Google Scholar] [CrossRef]
  52. Brodowski, S.; Amelung, W.; Haumaier, L.; Abetz, C.; Zech, W. Morphological and chemical properties of black carbon in physical soil fractions as revealed by scanning electron microscopy and energy-dispersive X-ray spectroscopy. Geoderma 2005, 128, 116–129. [Google Scholar] [CrossRef]
Disclaimer/Publisher’s Note: The statements, opinions and data contained in all publications are solely those of the individual author(s) and contributor(s) and not of MDPI and/or the editor(s). MDPI and/or the editor(s) disclaim responsibility for any injury to people or property resulting from any ideas, methods, instructions or products referred to in the content.

Article Metrics

Citations

Article Access Statistics

Multiple requests from the same IP address are counted as one view.