Abstract
Surface freezing and thawing processes pose significant influences on surface water and energy balances, which, in turn, affect vegetation growth, soil moisture, carbon cycling, and terrestrial ecosystems. At present, the changes in surface freezing and thawing states are hotspots of ecological research, but the variations of surface frozen days (SFDs) are less studied, especially in the permafrost areas covered with boreal forest, and the influence of the environmental factors on the SFDs is not clear. Utilizing the Advanced Microwave Scanning Radiometer for EOS (AMSRE) and Microwave Scanning Radiometer 2 (AMSR2) brightness temperature data, this study applies the Freeze–Thaw Discriminant Function Algorithm (DFA) to explore the spatiotemporal variability features of SFDs in the Northeast China Permafrost Zone (NCPZ) and the relationship between the permafrost distribution and the spatial variability characteristics of SFDs; additionally, the Optimal Parameters-based Geographical Detector is employed to determine the factors that affect SFDs. The results showed that the SFDs in the NCPZ decreased with a rate of −0.43 d/a from 2002 to 2021 and significantly decreased on the eastern and western slopes of the Greater Khingan Mountains. Meanwhile, the degree of spatial fluctuation of SFDs increased gradually with a decreasing continuity of permafrost. Snow cover and air temperature were the two most important factors influencing SFD variability in the NCPZ, accounting for 83.9% and 74.8% of the spatial variation, respectively, and SFDs increased gradually with increasing snow cover and decreasing air temperature. The strongest explanatory power of SFD spatial variability was found to be the combination of air temperature and precipitation, which had a coefficient of 94.2%. Moreover, the combination of any two environmental factors increased this power. The findings of this study can be used to design ecological environmental conservation and engineer construction policies in high-latitude permafrost zones with forest cover.
1. Introduction
Permafrost is rock or soil that exists for two years or more at temperatures below 0 °C. It is mainly distributed in high-elevation and high-latitude areas, accounting for approximately 24% of the land area of the Northern Hemisphere [1,2,3]. Global warming leads to higher temperatures in cold regions, which, in turn, leads to the global degradation of permafrost [4,5]. This degradation has caused a transformation in the freezing and thawing process, which is mainly seen in the postponement of freezing, the progression of thawing, and the shortening of freezing’s duration [6,7,8]. As an indicator of ecological activities on the land surface, changes in the surface freeze–thaw process profoundly affect the energy, water, and gas exchanges between the land and air, which, in turn, alter global and regional hydrological processes, climate change, and ecological activity [9,10,11,12]. Therefore, it is important to clearly understand the state of surface freezing and thawing for research related to the carbon cycle, land surface hydrological processes, and climate change.
At present, the methods to discriminate the surface freeze–thaw state can generally be categorized into station-based monitoring [11], numerical simulations [13], and remote sensing inversion [14]. However, station monitoring and numerical simulation methods are not able to accurately simulate the surface freeze–thaw state in large areas due to limitations in the number of stations and model parameters [15,16]. Widely employed in ground temperature monitoring, the passive microwave remote sensing technique has been noted for its great detection range, fewer restrictions from ground conditions, and fast data acquisition [17,18]. The principle of passive microwave measurements is based on the changes occurring in the soil dielectric constant following freezing and thawing in the near-surface soil. This consequently alters the brightness temperature determined from the passive microwave signal, which allows for the identification of the freezing and thawing state of the near-surface soil [19]. Discrimination of surface freeze–thaw states based on passive microwave remote sensing data is primarily achieved through the use of four algorithms: double index, DFA, decision tree, and seasonal threshold [20,21]. The algorithms [22,23] are rendered inadequate due to the need for recalibration of the double index and decision tree algorithms when thresholds are applied to distinct areas and subsurfaces. The accuracy of the seasonal threshold algorithm is vulnerable to alterations in vegetation and drought conditions [24]. Realizing the DFA to differentiate between surface freezing and thawing states requires only the brightness temperature data, which are sufficient to determine the threshold value without the need for measured data [25], and several research studies in the Chinese region have shown that the DFA has higher accuracy compared with the other three discriminative algorithms [25,26,27].
The Northeastern China permafrost zone (NCPZ) is located at the southern edge of the Eurasian permafrost belt, which is characterized by poor thermal stability of permafrost [3]. The NCPZ has warmed significantly in recent years, leading to changes in near-surface soil freeze–thaw cycling and consequently altering the soil frozen state [28]. It has been shown that in the past 60 years, the first frozen day was delayed, the first thawing day and the last thawing day were advanced, and the surface frozen days (SFDs) were significantly reduced in this region [29]; the spatial distribution of surface freezing-thawing state showed a skipping shape with an opening to the south, and the spatiotemporal changes were characterized by the SFDs increasing from south to north [30,31]. Overall, many studies in the region have focused on exploring freeze–thaw algorithm improvements [32,33,34] and freeze–thaw process simulations [15,35], in addition to exploring spatiotemporal variations in surface freeze–thaw state [22,36]. However, the influence of environmental factors on the surface freeze–thaw state and their relative importance in the NCPZ, with its high vegetation cover and complex changes in the understory soil frozen state, remains to be fully understood [37,38,39,40].
The objectives of this study were (1) to analyze the spatiotemporal characteristics of SFDs in the NCPZ from 2002 to 2021 using the DFA in conjunction with AMSRE and AMSR2 brightness temperature data; (2) to analyze the relationship between the spatial coefficient of variation in the SFDs and the distribution of different types of permafrost; (3) to quantify the influence of the four types of environmental factors and their interactions on the SFDs by using the Optimal Parameters-based Geographical Detector (OPGD), i.e., topography, climate, vegetation cover, and soil characterization. The findings of the study will provide a scientific basis for the ecological environmental protection of the NCPZ with forest cover.
2. Materials and Methods
2.1. Study Area
The study area is located in northern Northeastern China (116.27° E~130.38° E, 46.72° N~53.42° N) (Figure 1), covering an area of about 3.87 × 105 km2. The region has a cold-temperate continental monsoon climate, alternately influenced by the Mongolian-Siberian high pressure and the oceanic monsoon, with four distinct seasons: hot, humid, and rainy summers and long, cold winters [41,42]. From July to August, precipitation is concentrated annually, and snowfall commences in early November and concludes in early April of the subsequent year. In the study area, the yearly mean temperature is −5~2 °C, and the temperature decreases from south to north in a gradual fashion [43]. The permafrost in the region could be roughly classified into high-latitude permafrost, consisting mainly of discontinuous permafrost region (DPR, 50–90% permafrost continuity), sporadic permafrost region (SPR, 10–50% permafrost continuity), and isolated patches of permafrost region (IPR, <10% permafrost continuity) [44]. The geomorphology of the study area is dominated by mountains and plateaus, mainly in the Greater Khingan Mountains (GKM) and Hulunbeier Plateau regions. In addition, the vegetation is dominated by forests and grasslands, and the main vegetation in the eastern part of the GKM is deciduous forests and mixed forests, with a high forest cover, making it one of the important primary forest areas in China [45].
Figure 1.
Topography, permafrost type [44], and distribution of weather stations in the study area.
2.2. Data
2.2.1. AMSRE and AMSR2 Brightness Temperature Data
The daily passive microwave AMSRE and AMSR2 brightness temperature data obtained from the Japan Aerospace Exploration Agency (JAXA) website (https://gportal.jaxa.jp/gpr/, accessed on 2 January 2023) were used to discriminate SFDs in this study. The AMSRE brightness temperature data consisted of six observing frequencies, 6.9 GHz, l0.7 GHz, 18.7 GHz, 23.8 GHz, 36.5 GHz, and 89 GHz, each of which contained two polarization channels, horizontal (H) and vertical (V), with a spatial resolution of 10 km × 10 km, and with two transit times per day (Ascending orbit: 13:30 local time; Descending orbit: 01:30 local time). The AMSR2 brightness temperature data, except for an additional 7.3 GHz observation frequency than the AMSRE brightness temperature data, have the same technical parameters as the AMSRE data, such as the same orbital inclination angle and incidence angle, etc., which inherits the characteristics of the AMSRE brightness temperature data and continues to provide global observation data [46]. In addition, in this study, the period from July 1 of each year to June 30 of the following year (e.g., 1 July 2002~30 June 2003) was set as a surface freezing discrimination year, which was not calculated in this study because the satellite with the sensor for acquiring the brightness temperature data was out of operation from July 2011 to June 2012.
2.2.2. Weather Data
The ground surface temperature (0 cm, GST) was obtained from the China Ground Climate Daily Value Dataset (V3.0) of the China Weather Data Center (http://data.cma.cn, accessed on 22 February 2023). There are 16 monitoring stations in the study area, and each station contains information on the maximum, minimum, and average values of daily GST. The daily GST of each station was used as the standard to determine the soil freezing-thawing state in the region where it was located. If the GST was greater than 0 °C, the soil was categorized as thawed; if the GST was less than or equal to 0 °C, the soil was categorized as frozen [25,31].
2.2.3. Environmental Datasets
Elevation, slope, and aspect extracted from remote sensing data were selected as topographic factors; air temperature and precipitation as climatic factors; soil moisture and soil types as soil characterization factors; vegetation cover types, normalized difference vegetation index (NDVI), and snow cover as surface cover factors; and longitude and latitude as zonal factors. In this case, elevation data were obtained from the ASTER DEM dataset with a spatial resolution of 30 m. Slope and aspect data were extracted from the elevation data using ArcGIS 10.2 software (ArcGIS version 10.2, Environmental Systems Research Institute, Inc., Red-lands, CA, USA). The NDVI data and vegetation type data were selected from the MOD13Q1 and MCD12Q1 products in the MODIS dataset with spatial resolutions of 250 m and 500 m, respectively. Among them, the NDVI was composited using the maximum value composite method. The MCD12Q1 product uses the IGBP Global Vegetation Classification Scheme, in which we categorized the vegetation in the study area into six vegetation cover types: evergreen forests, deciduous forests, mixed forests, savannas, grasslands, and agricultural lands. In addition, we extracted the land cover types such as water bodies, building sites, wetlands, etc., based on these data to erase all raster data corresponding locations to avoid the impact of the above land cover types on the study.
Soil type data were obtained using the World Soil Database v1.2 (https://www.fao.org/soils-portal, accessed on 2 March 2023) published by the Food and Agriculture Organization (FAO). Soil types are classified by the United States Department of Agriculture (USDA), and the major soil types in the study area are classified as silty clay loam (SICL), loamy sandy (LS), clay loam (CL), sandy clay loam (SACL), loam (L), and sandy loam (SL). Snow cover, air temperature, soil moisture, and precipitation data were obtained from the ERA5-Land Monthly Climate Reanalysis dataset, which is a monthly averaged subset of the full ERA5-Land dataset post-processed by the ECMWF with a spatial resolution of 10 km × 10 km, using the Google Earth Engine (GEE) platform (https://developers.google.com/earth-engine/, accessed on 23 March 2023) for cropping and downloading.
The study area is mainly characterized by the presence of discontinuous permafrost, sporadic permafrost, and isolated patches of permafrost [44]. Detailed information about the dataset is provided in Table 1, and the above data were resampled uniformly to 10 km using ArcGIS 10.2 and cropped to match AMSRE and AMSR2 brightness temperature data according to the study area boundaries.
Table 1.
Remote sensing data types and sources.
2.3. Methods
2.3.1. Freeze–Thaw Discriminant Function Algorithm
Kou et al. [21] investigated the influence of organic matter on microwave radiation in the permafrost dielectric model [47], amalgamating it with the snowpack radiation model [48] and the surface scattering model [49], and employed and Qe18.7H/36.5V (the ratio of and ) to indicate the changes in the GST and soil emissivity, and based on Fisher’s discriminant analysis, the DFA is finally established, and the expressions are shown in Equations (1) and (2):
where DF and DT represent the values of the discriminant equation function for frozen and thawed soil, respectively; when DF > DT, the surface soil is judged to be frozen; otherwise, the surface soil is judged to be thawed. The and represent 36.5 GHz vertically polarized brightness temperature and 18.7 GHz horizontally polarized brightness temperature, respectively.
The DFA is developed based on the AMSRE brightness temperature data and the observed data. In this study, when using the AMSR2 brightness temperature data, to ensure the consistency of the two kinds of data, we adopted the method of Hu et al. [50] based on the direct comparison of the observed values and establish the linear transformation relationship between the and bands of AMSR2 and AMSRE, respectively, and then apply it to the DFA after the corrections to the AMSR2 data are made. The expressions of the conversion relationship are shown in Equations (3) and (4):
2.3.2. Theil–Sen Median Trend Analysis and Mann–Kendall Significant Test
An analysis of the SFDs’ trend in the NCPZ was conducted using Sen trend analysis and the M–K significant test, with the formulae being elucidated in the pertinent literature [51,52]. The method of determining the significance of the trend is shown in Table 2.
Table 2.
M–K test trend categories.
2.3.3. Coefficient of Variation
The coefficient of variation, a statistical measure of the divergence between observed series’ values, accurately reflects the degree of variation in spatial data changes over time series. Assessing the steadiness of the data time series can be performed [53]. The calculation formula is as follows:
where S represents the standard deviation of SFDs for the last 19 years within the image element; is the mean of SFDs; and xt denotes the SFDs in year t. Higher CV values are associated with greater fluctuations in SFDs, indicating an unstable SFD distribution, and vice versa.
2.3.4. Optimal Parameters-Based Geographical Detector
Traditional GeoDetector requires human settings when discretizing continuous variables, which is subjective and poorly discretized [54]. The OPGD model explores the optimal combination of different spatial data discretization methods and spatial layers, and the parameter optimization process enables further extraction of information contained in geographic features and spatial explanatory variables in the GeoDetector [55]. Consequently, this research chose the OPGD to measure the impact of environmental elements and their interplay on the SFDs in the NCPZ.
- (1)
- Factor detector
The factor detector can explore the influence of a single environmental factor on SFDs. The formula is as follows:
where the q value indicates the explanatory ability of influencing factors on SFDs, the value range is [0, 1]; the higher the q value, the stronger the explanatory ability of environmental factors on SFDs, and vice versa. N and σ2 denote the number of units and variance of SFDs across the study area, respectively. h = 1, … L is the stratification of the influence factors.
- (2)
- Interaction detector
The interaction detector can identify whether the interaction between any two environmental factors enhances or weakens the explanatory power of SFDs compared to a single environmental factor or is independent of each other. The five interaction types have been detailed by wang et al. [54].
- (3)
- Risk detector
The t-statistic can be employed by the risk detector to ascertain if there is a statistically significant disparity in the mean value of an attribute between two subzones [56].
where Yh denotes the average value of attributes in zone (category) h; Nh denotes the same as Formula (6), and Var denotes the variance.
- (4)
- Ecological detector
The F-test enables the ecological detector to determine whether any two elements have a statistically significant effect on the spatial distribution of SFDs.
where Nx1 and Nx2 are the sample numbers for X1 and X2, respectively; L1 and L2 denote the number of hierarchical categories for variables X1 and X2, respectively; SSWx1 and SSWx2 are the sums of the layers generated by two factors X1 and X2, respectively.
2.3.5. Accuracy Evaluation
In this study, overall accuracy (E) and producer accuracy (EF) were used to assess the accuracy of the DFA in discriminating the frozen state of the ground surface. The AMSRE and AMSR2 data ascending orbit time (13:30) is near the maximum GST, and the descending orbit time (01:30) is near the minimum GST. Since each station contains only the maximum, minimum, and average values of the GST, we compare the discrimination results of the ascending orbit data with the maximum value of the GST; and the discrimination results of the descending orbit data with the minimum value of the GST [25]. The formulas are as follows:
where the subscripts F and T denote the frozen and thawed state of surface soil, respectively, with the first subscript relating to the GST and the second to the DFA discrimination results. represents the amount of soil that is actually frozen, and the discrimination is also the amount of frozen soil; represents the amount of soil that is actually frozen, and the discrimination is the amount of thawed soil; represents the amount of soil that is actually thawed, and the discrimination is also the amount of thawed soil; represents the amount of soil that is actually thawed, and the discrimination is also the amount of frozen soil. In this study = 16.
2.3.6. FlowChart
To provide a scientific basis for environmental protection in the NCPZ, this study illustrates the spatiotemporal variation mechanism of SFDs in the NCPZ through four steps (Figure 2). (1) Select the and bands of AMSRE and AMSR2 as the data source to identify the frozen state of the ground surface; the GST of 16 weather stations in the NCPZ is used as the validation dataset; and 12 factors in four categories, namely, topography, climate, vegetation cover, and soil characterization, are used as the validation datasets based on the platforms of GEE, NASA, and FAO. (2) The SFDs in the NCPZ were identified as the discriminant frozen days by DFA, and the SFDs calculated by weather stations were used as the actual frozen days, and the accuracy of the discriminant frozen days was verified, and finally, the SFD data were obtained. The dataset of influencing factors is unified. (3) Perform graded statistics on SFDs derived from the previous step; Sen trend analysis + M–K test; spatial coefficient of variation and permafrost distribution overlay processing; use OPGD to explore driving factors. (4) Gaining the temporal and spatial variations of SFDs, as well as the correlation between the spatial variation in SFDs and the permafrost’s spatial distribution, and the principal driving forces behind the SFDs’ variation, is finally accomplished.
Figure 2.
Methodological framework applied in the present analysis.
3. Results
3.1. Accuracy Evaluation and SFD Distribution
Figure 3 shows the temporal variation in the overall accuracy and producer accuracy of the frozen state in the NCPZ for the two years of 2010 and 2020. There are seasonal variations in both overall accuracy and producer accuracy. The overall accuracy fluctuates more dramatically during the freeze–thaw transition period, with a lower E-value; the overall accuracy stabilizes during the complete frozen period, with an E-value close to one. A comparison of the AMSRE/AMSR2 data for ascending and descending orbits reveals that the overall accuracy of the ascending orbits using AMSRE/AMSR2 was averaged at 0.93 and 0.92, respectively, and the overall accuracy of the descending orbits using AMSRE/AMSR2 was averaged at 0.91 and 0.89, respectively, which suggests that the discrimination accuracy for ascending orbits is higher than that of descending orbits. In addition, the producer accuracy is like the overall accuracy in that it is stable during the complete frozen period, and the EF-value is close to one. However, during the complete thawing period, the EF-value is almost 0. From Equation (11), when the denominator is 0, it is not possible to obtain the EF. The results reveal the good applicability of the DFA in discriminating the surface freezing state in the NCPZ.
Figure 3.
Temporal changes in overall accuracy (E) and producer accuracy (EF) for discriminating the freezing state of the ground surface in the NCPZ based on the AMSRE and AMSR2 data. (A) Overall accuracy of ascending and descending of AMSRE in 2010–2011; (B) Overall accuracy of ascending and descending of AMSR2 in 2020–2021; (C) Producer accuracy of ascending and descending of AMSRE in 2010–2011; (D) Producer accuracy of ascending and descending of AMSR2 in 2020-2021.
Figure 4 shows the spatial distribution of SFDs in the NCPZ for the years 2002–2021 (excluding 2011) estimated using DFA. The SFDs are higher in the northern part of the NCPZ and lower in the southern part of the NCPZ and in the western part of the Hulunbeier Plateau. Overall, the spatial distribution is characterized by more in the north and less in the south, extending southward along the GKM.
Figure 4.
The SFDs distribution of the NCPZ from 2002 to 2021.
3.2. Characteristics of Spatiotemporal Variation in the SFDs in the NCPZ
In general, the SFDs in the NCPZ decreased at a rate of −0.43 d/a (Figure 5B) from 2002 to 2021. The proportion of areas with high SFDs above 180 days gradually decreased from 2002 to 2021; the percentage of SFDs within the 160–180-day and 140–160-day intervals did not change much; the percentage of frozen days within the 120–140-day interval showed an increasing trend, and the percentage of frozen days below 120 days fluctuated, accounting for a larger percentage in 2007 and 2018, at 13% and 18%, respectively, and less than 8% in the rest of the years. In particular, there was an increase in SFDs in 2012, which may have been caused by an extremely slow rise in the ground temperatures due to persistent weather extremes, such as cold spring temperatures and mega-snowstorms [31].
Figure 5.
Characteristics of spatiotemporal variation in SFDs in the NCPZ: (A) Sen trend analysis and M–K test; (B) Temporal changes in the SFDs; (C) Statistics on the area of different significant levels of SFDs.
The statistical analysis showed that the trend of SFD changes in the NCPZ ranged from −2.92 d to 3.83 d (Figure 5A,C). Among them, the area with a decreasing trend in SFDs accounted for 94% of the NCPZ; the significantly decreasing areas were mainly distributed on the east and west slopes of the GKM, accounting for 8% of the NCPZ (p < 0.05). And 6% of the NCPZ was occupied by the SFDs, showing an increasing trend, which was mainly distributed in the northern part of the Songnen Plain, but the increasing tendency was not statistically significant, with the significantly increasing area accounting for only 0.0006% of the NCPZ.
3.3. Differences in the Spatial Distribution of Permafrost and SFDs
The differences between the spatial distributions of SFDs and permafrost were analyzed using spatial coefficients of variation and overlay analysis (Figure 6). The results showed that the spatial distribution of SFDs was similar to the spatial distribution of different types of permafrost; within the DPR, the low-fluctuation SFDs account for 79% of the DPR, and the relatively low-fluctuation SFDs account for 21% of the DPR, with no moderate fluctuation and high fluctuation; the percentage of low fluctuation within the SPR decreases, accounting for 49% of the SPR; and the area of low fluctuation within the IPR has been reduced to account for 13% of the IPR, and moderate fluctuation or even high fluctuation occurs. The average CV value increases with the decrease in the continuous type of permafrost, which indicates that the spatial distribution of different fluctuation degrees of SFDs can represent the general range of the distribution of different types of permafrost to some extent.
Figure 6.
Differences in the spatial distribution of permafrost and SFDs: (A) spatial distribution of permafrost and coefficient of variation in SFDs; (B) Statistics on the percentage of different types of fluctuations in different types of permafrost.
3.4. The SFDs and Potential Driving Factors
3.4.1. Characterization of SFD Distribution
Figure 7 shows the overall spatial distribution of the multi-annual mean of SFDs and the multi-annual standard deviation of SFDs in the NCPZ for the last 19 years from 2002 to 2021 (excluding 2011). The multi-annual mean of SFDs in the NCPZ ranges from 70 d to 192 d, generally showing a distribution pattern of more in the north and less in the south, and more in the east and less in the west, with the increase in latitude, and the hierarchy of the SFDs increasing step by step is obvious (Figure 7A). Meanwhile, the multi-annual standard deviation of SFDs ranged from 0~43 d (Figure 7B), with smaller standard deviations in the region of higher SFDs and larger standard deviations in the region of lower SFDs, further suggesting that the northern part of the NCPZ has more SFDs and is stable, and the southern part of the NCPZ has fewer SFDs and is unstable.
Figure 7.
Spatial distribution of (A) multi-annual mean of SFDs and (B) multi-annual standard deviation of SFDs in the NCPZ in 2002–2021.
3.4.2. Identification of Driving Forces
- (1)
- Factor detector analysis
In this study, the GD package in R was used to perform factor detection of OPGD, which, in turn, identified the optimal combination of discretization methods and classification intervals to enhance the q-value of a single factor on the spatial distribution of SFDs (Figure 8). Among them, all factors except slope direction (p > 0.05) had significant (p < 0.001) effects on SFD variation (Figure 9A). Snow cover and air temperature were the main drivers of SFD variation, with an explanatory power of 83.9% (method: natural breaks; number of intervals: 8) and 74.8% (method: natural breaks; number of intervals: 8), followed by latitude, soil moisture, longitude, NDVI, and precipitation. Elevation, soil type, vegetation cover type, and slope were significant influences on SFD variation, but all had an explanatory power below 21.4%.
Figure 8.
Discretization of SFDs influences in the NCPZ.
Figure 9.
Factor detection (A) and interaction detection (B) results of SFD changes. Note: the numbers in the box are the q-value of the two-factor increase relative to the one-factor increase.
Snow cover (Figure 10A) and air temperature (Figure 10B) are almost identical in spatial distribution, which are characteristics of high values in the DPR and extending southward along the GKM and the Lesser Khingan Mountains ranges, indicating that low air temperatures are favorable for the formation of stable snowpacks. In addition, it has been shown that it is not possible to analyze the effect of snow depth on soil temperature without taking into account the time factor, i.e., different snow depths and the time they exist may have both warming and cooling effects [57,58]. Therefore, snow cover was selected to reflect the effect of snow on the SFDs in the NCPZ. The spatial distribution of soil moisture (Figure 10D) was closely related to that of precipitation (Figure 10G), with less precipitation in the Hulunbeier Plateau and correspondingly lower soil moisture content, and more abundant precipitation in the southern Lesser Khingan Mountains, which also had a higher soil moisture content. In this study, NDVI and different vegetation cover types were used to obtain vegetation information in the NCPZ; grasslands were mainly distributed in the Hulunbeier Plateau, savannas were distributed in the northern NCPZ, deciduous forests were mainly distributed along both sides of the GKM, and mixed forests were mainly distributed in the southern Lesser Khingan Mountains (Figure 10K). In addition, it can be seen from Figure 10F that the NDVI values in the Hulunbeier Plateau, where precipitation is scarce and soil water content is low, are also low, ranging from 0.15 to 0.28; the areas with high NDVI values (0.54~0.71) are mainly located in the southern Lesser Khingan Mountains, where precipitation is plentiful and soil water content is high, and the spatial distributions of different vegetation types and the NDVI are basically the same. The elevation in the NCPZ shows a distribution pattern of high in the west and low in the east (Figure 10H), but overall, the surface undulation condition in the NCPZ is not significant, and the slope is relatively gentle (Figure 10I). Soil types in the NCPZ are dominated by loam, sandy clay loam is concentrated in the junction zone between the GKM and Hulunbeier Plateau, and clay loam exhibits neural-network-like characteristics widely distributed in the NCPZ (Figure 10L).
Figure 10.
Spatial distribution of optimal intervals of SFDs influencing factors. (A) Snow cover; (B) Air temperature; (C) Latitude; (D) Soil moisture; (E) Longitude; (F) NDVI; (G) Precipitation; (H) Elevation; (I) Slope; (J) Aspect; (K) Vegetation cover type; (L) Soil types.
- (2)
- Interaction detector analysis
The interaction detector of the OPGD model is capable of detecting the effect of two environmental factors interacting on SFDs. A total of 55 interaction tests were generated for the 11 influence factors selected for this study, except for aspect. As shown in Figure 9B, the effect of each factor on SFDs in the NCPZ is not independent, and any two-factor interactions increase the q-value of the spatial differentiation of SFDs. The results showed that the interaction produced a total of two enhancement patterns: a bivariate enhancement (88%) with a q-average value of 0.64 and a small amount of non-linear enhancement (12%) with a q-average value of 0.65. The bivariate enhancement of air temperature and precipitation had the strongest explanatory power for SFDs (q = 0.942). Air temperature and snow cover, when interacting with either factor, explained more than 84% and 87% of the spatial differentiation of SFDs in the NCPZ. The above results showed that air temperature and precipitation are the dominant factors leading to the variation in SFDs in the NCPZ from 2002 to 2022. Meanwhile, the spatial variation in SFDs in the NCPZ is the result of the joint action of many factors, and there is a complex relationship among them.
- (3)
- Risk detector analysis
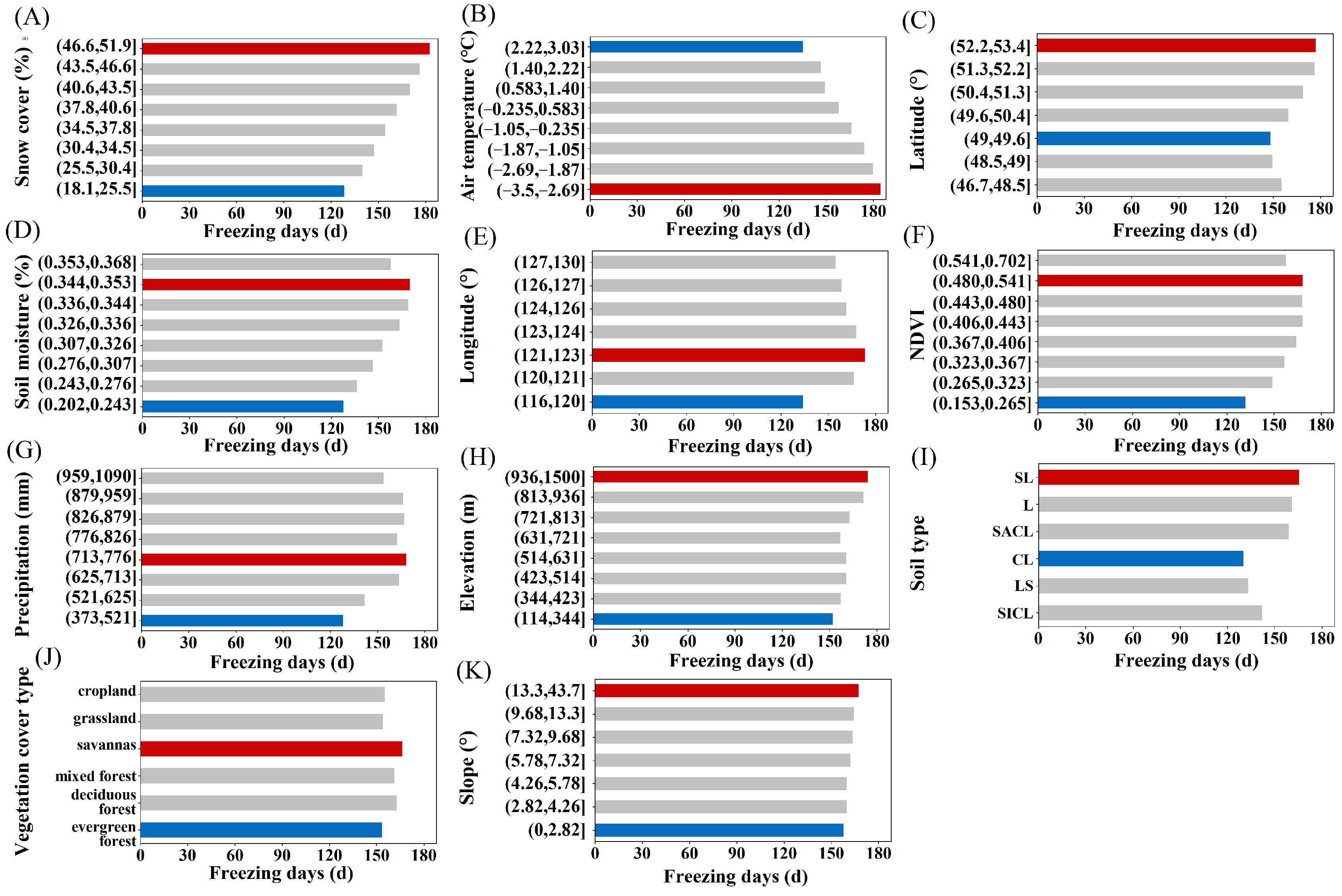
The risk detector can detect SFDs at different levels of the impact factor. There were significant differences in the mean SFDs for different influence factors (Figure 11). The response of SFDs to snow cover showed an increasing trend, and the mean SFDs were above 182 d when the snow cover was between 46.5 and 51.9%. The response of SFDs to air temperature exhibited a decreasing trend, and the mean SFDs were more than 184 d when the air temperature was between −3.5 and 2.69 °C, indicating that increased snow cover and decreased air temperature supported increased SFDs. The response of SFDs to soil moisture and NDVI were similar; both showed an increasing trend, but the mean SFDs decreased in the range of the maximum values of soil moisture and NDVI, which indicated that soil moisture and vegetation density were unfavorable to soil freezing when they were too high. Longitude and latitude had opposite effects on SFDs, and the mean SFDs showed a trend of increasing and then decreasing with increasing longitude, with the maximum value of the mean SFDs between 121 and 123° and the maximum value of the mean SFDs at a latitude between 52.5 and 53.4°. The effects of precipitation and different vegetation cover types on mean SFDs were more fluctuating, with precipitation between 713 and 776 mm and under savannas favoring soil freezing. With the increase in elevation, the mean SFDs increased gradually, but the effect of slope on the mean SFDs was weaker, and the maximum and minimum values of the mean SFDs in the range of different slopes were 158 and 167 d, respectively. With respect to the soil types, sandy loam was suitable for soil freezing, with the maximum value of the mean SFDs.
Figure 11.
Difference between different intervals of the influencing factor. (A) Snow cover; (B) Air temperature; (C) Latitude; (D) Soil moisture; (E) Longitude; (F) NDVI; (G) Precipitation; (H) Elevation; (I) Soil type; (J) Vegetation cover type; (K) Slope.
- (4)
- Ecological detector analysis
Significant differences were found between the natural factors except between elevation–soil moisture and longitude–soil type, which were not significant (Table 3).
Table 3.
The result of ecological detection.
4. Discussion
4.1. SFDs and Permafrost
In this study, the use of DFA to discriminate SFDs in the NCPZ found that the SFDs decreased with a rate of −0.43 d/a from 2002 to 2021. Yue et al. [31] found that the SFDs decreased at a rate of about −0.5 d/a in the permafrost zone from 1981 to 2019, which is essentially consistent with the study’s conclusions. However, Li et al. [22] applied passive microwave remote sensing data and estimated that SFDs decreased with a rate of −1.68 d/a from 1988 to 2007 on the Tibetan Plateau, and the reason for this discrepancy may be related to the surface conditions and soil types. Compared to the NCPZ, the Tibetan Plateau is characterized by sparse surface vegetation, dry soils, and low soil water content resulting in higher surface temperatures [59]. The snowpack in the NCPZ is thicker than on the Tibetan Plateau [60], and the snowpack is effective in insulating the soil during the thawing period, leading to an increase in SFDs [31]. Yang et al. [61] showed that sandstone is superior to sandy soils, and sandy soils are superior to clay soils in terms of their ability to retard the decline in soil temperature. In the NCPZ, the predominant soil types are loam and clay loam, which contain a high concentration of clay particles; however, on the Tibetan Plateau, meadow soil is the primary type, containing a greater quantity of sand and gravel [62].
Meanwhile, in this study, when calculating the coefficient variation in SFDs for three different permafrost types, it was found that the coefficient variation in the SFDs increased with the decrease in permafrost continuity, which is basically consistent with the findings of Xu et al. [30]. Permafrost degradation could be the cause of this alteration in soil moisture content, which we contemplate. Permafrost’s presence aids in sustaining the steadiness of soil water content, and any alteration in soil water content will result in a shift in the thermal conductivity of the soil [63]. In addition, the M–K test results show that the SFDs in a small area in the northern part of the Songnen Plain show a trend of insignificant increase, and Yang et al. [64] showed that there exists a small area in the northern part of the Songnen Plain with an insignificant increase in permafrost, which we consider that this is related to the extreme climate of the particular year, and at the same time, this is a further proof that the spatial distribution of the SFDs can be indicative of the range of the distribution of the permafrost to a certain extent.
4.2. SFDs and Influencing Factors
This study showed that air temperature (q = 0.748) and snow cover (q = 0.839) are strongly correlated to SFDs. Yue et al. [31] showed that the duration of SFDs varied in different permafrost types in Northeast China and was mainly influenced by air temperature and snow cover. A significant rise in the lowest temperatures caused a postponement of the full frozen period in most regions, and the snow cover had a considerable insulation and cooling effect on GSTs. This study’s discoveries are in accord with this. The Tibetan Plateau’s surface freeze–thaw state and its influencing factors were determined by Yan et al. [65] to be largely determined by latitude and elevation. This is inconsistent with our conclusion that elevation (q = 0.214) has low explanatory power for SFDs in the NCPZ compared to latitude (q = 0.522), and we consider that it may be due to the fact that GSTs in winter are a result of a combination of air temperatures, snowpack, and vegetation cover, which has been shown to insulate the top layer of the soil more dramatically in winter [66]. At the same time, winter snow and high winds significantly attenuate the effect of elevation on GST [67]. Wang [68] showed that changes in SFDs in western China increased with elevation rise, and the magnitude of changes in SFDs in eastern China was closely related to latitude, which further confirmed the accuracy of the conclusions of this study.
Different types of soils have different thermal conductivity and diffusion coefficients and thus different soil freezing characteristics [61], and thus different types of soils have different freezing states. In this study, we analyzed the effect of soil type on the SFDs in the NCPZ and found that the explanatory power of different soil types on the spatial distribution of SFDs was low (q = 0.208). We consider that this may be because the spatial distribution of soil types is characterized by latitudinal zonation [69], but the NCPZ has a small latitudinal span and a relatively homogeneous type of soil spatial distribution. In addition, Lloyd et al. [70], in studying the relationship between soil freezing and soil moisture in Alaska, USA, found that the relationship was not significant, which was different from the results of our study and that of Ma et al. [71], which may be due to the differences in the study area and climate. The high latitude of Alaska, USA, is cold year-round, while the warmer climate of the NCPZ makes GSTs susceptible to a variety of factors. Considering the disparities between regions and the interplay between distinct environmental elements, when devising pertinent ecological and environmental policies, should be given due consideration.
4.3. Uncertainty Analysis and Prospects
First, although the use of brightness temperature data combined with the DFA can better discriminate the freeze–thaw state of the surface soil, the process of water phase change in the soil is relatively slow during the transition between freeze–thaw in spring and fall when the GST changes slowly. The water or ice in the soil cannot be frozen or thawed quickly and completely, and the GST has been around 0 °C for a long time, so the soil is in the transition from thawing (freezing) to freezing (thawing), which leads to the situation of low accuracy of the soil state discrimination. In addition, we found that the discrimination accuracy of the ascending orbit period is higher than that of the descending orbit period, which may be due to the fact that the descending orbit data inverts the GST worse than that of the ascending orbit data [72], which is an important parameter of the DFA and thus leads to a lower accuracy than that of the ascending orbit data when using the descending orbit data for discrimination. The of the AMSRE/AMSR2 brightness temperature data used in this study has a high correlation with surface temperatures, and many studies have used and identified the thermal condition of the surface as a key index for the DFA [23,49].
Second, due to the limited nature of the observation data, the GST data were selected as the determination criterion in this study. However, in fact, the passive microwave sensor has certain penetration power to the soil, and the penetration depth may be affected by the surface characteristics, such as soil moisture content, surface roughness, and vegetation cover [73], and the bright temperature and the GST may not come from the same depth, which is one of the factors that cause the error in the determination accuracy of this study. The number of weather stations distributed in the NCPZ is also less, which may cause errors in the accuracy of the DFA in determining the freezing and thawing state of the ground surface. The spatial resolution of the brightness temperature data used in this study is 10 km. Within microwave pixels with complex land cover types, the pixel brightness temperature value is the average radiant brightness temperature value of multiple land cover types, and the verification of the soil freeze/thaw state within the entire pixel area with the weather station data leads to an increase in the uncertainty of the discriminative results [74]. In addition, the presence of water bodies within the pixel with a large proportion of water bodies can have a large impact on the brightness temperature values within the pixel [75].
Finally, the selection of drivers affecting SFDs is not comprehensive. Quantifying some of the factors is a challenge due to the lack of necessary data, especially the various anthropogenic factors. Meanwhile, SFD driver analysis methods should be explored in conjunction with other statistical methods [76]. In summary, this study analyzes the changes in SFDs in the permafrost zone under boreal forest cover from a new perspective, the relationship with the distribution of permafrost and its driving factors, and provides a scientific basis for the ecological protection of the NCPZ.
5. Conclusions
In this study, the discriminant function algorithm was used to identify the surface frozen days (SFDs) in the northeast China permafrost zone (NCPZ) from 2002 to 2021, and the spatiotemporal variations of SFDs were explored using the Sen trend analysis and the M–K test. The relationship between SFDs and permafrost distribution was analyzed using superposition analysis and a coefficient of variation. The effects of the driving factors and their interactions on SFD changes were quantified based on Optimal Parameters-based Geographical Detector. The results showed that the area with a decreasing trend of SFDs from 2002 to 2021 accounted for 94% of the area of the NCPZ, which further illustrated the adverse effect of global warming on surface soil freezing. As permafrost continuity decreased, the fluctuation of SFDs became more pronounced, implying that the spatial distribution of SFDs could be indicative of the spatial distribution of permafrost to a certain degree. The variation in SFDs was largely determined by snow cover and air temperature, with 83.9% and 74.8%, respectively, explaining the difference. The SFDs’ modifications within the NCPZ are not independent of each environmental factor, and the combination of any two increases their explanatory potency. The SFDs demonstrate an explanatory power of 94.2% due to the most powerful interaction between air temperature and precipitation. The results enhance our comprehension of the spatial–temporal transformations of SFDs as well as the link between SFDs and permafrost distribution in the NCPZ and reveal the relative importance of the driving factors affecting the changes in SFDs. Theoretically, the protection of surface soils in the NCPZ can be supported by the results.
Author Contributions
Conceptualization, D.Y. and Y.X.; methodology, D.Y. and H.M.; software, D.Y. and Y.X.; validation, H.M. and M.L.; formal analysis, D.Y.; investigation, M.L. and S.Z.; resources, Y.X.; data curation, D.Y. and Y.X.; writing—original draft preparation, D.Y.; writing—review and editing, M.L., D.L. and S.Z.; supervision, M.L. and L.W.; funding acquisition, M.L., L.W. and S.Z. All authors have read and agreed to the published version of the manuscript.
Funding
This research was funded by National Natural Science Foundation of China [grant number 42371119], Excellent Young Scholars Program of Natural Science Foundation of Heilongjiang Province [grant number: YQ2022D009], Key Joint Program of National Natural Science Foundation of China and Heilongjiang Province for Regional Development [grant number: U20A2082], Research Team Program of Natural Science Foundation of Heilongjiang Province [grant number: TD2023D005].
Data Availability Statement
The original contributions presented in the study are included in the article, further inquiries can be directed to the corresponding author.
Acknowledgments
We would like to thank the anonymous reviewers for their constructive comments; we also thank the support of the Harbin Normal University Graduate Academic Forum.
Conflicts of Interest
The authors declare no conflicts of interest.
References
- Dobinski, W. Permafrost. Earth-Sci. Rev. 2011, 108, 158–169. [Google Scholar] [CrossRef]
- Hu, G.; Zhao, L.; Wu, X.; Li, R.; Wu, T.; Xie, C.; Pang, Q.; Zou, D. Comparison of the thermal conductivity parameterizations for a freeze-thaw algorithm with a multi-layered soil in permafrost regions. Catena 2017, 156, 244–251. [Google Scholar] [CrossRef]
- Qin, D.; Yao, T.; Ding, Y.; Ren, J. Introduction to Cryospheric Science; Springer: Berlin/Heidelberg, Germany, 2021. [Google Scholar] [CrossRef]
- Peng, X.; Zhang, T.; Frauenfeld, O.W.; Du, R.; Jin, H.; Mu, C. A holistic assessment of 1979–2016 global cryospheric extent. Earth’s Future 2021, 9, e2020EF001969. [Google Scholar] [CrossRef]
- Streletskiy, D.; Anisimov, O.; Vasiliev, A. Permafrost Degradation Snow and Ice-Related Hazards, Risks, and Disasters; Haeberli, W., Whiteman, C., Eds.; Elsevier: Amsterdam, The Netherlands, 2014; pp. 303–344. [Google Scholar] [CrossRef]
- Johnston, J.M.; Houser, P.R.; Maggioni, V.; Kim, R.S.; Vuyovich, C. Informing Improvements in Freeze/Thaw State Classification Using Subpixel Temperature. IEEE Trans. Geosci. Remote Sens. 2021, 60, 4301319. [Google Scholar] [CrossRef]
- Luo, D.; Guo, D.; Jin, H.; Yang, S.; Phillips, M.K.; Frey, B. Ecological impacts of degrading permafrost. Front. Earth Sci. 2022, 10, 967530. [Google Scholar] [CrossRef]
- Man, H.; Xiao, Y.; Zang, S.; Li, M.; Dong, X. Detecting surface freeze/thaw states in Northeast China with passive microwave data using an improved standard deviation method. Adv. Clim. Change Res. 2022, 14, 190–199. [Google Scholar] [CrossRef]
- Davitt, A.; Schumann, G.; Forgotson, C.; McDonald, K.C. The utility of SMAP soil moisture and freeze-thaw datasets as precursors to spring-melt flood conditions: A case study in the Red River of the North Basin. IEEE J. Sel. Top. Appl. Earth Obs. Remote Sens. 2019, 12, 2848–2861. [Google Scholar] [CrossRef]
- Muzalevskiy, K.; Ruzicka, Z. Detection of soil freeze/thaw states in the Arctic region based on combined SMAP and AMSR-2 radio brightness observations. Int. J. Remote Sens. 2020, 41, 5046–5061. [Google Scholar] [CrossRef]
- Peng, X.; Frauenfeld, O.W.; Cao, B.; Wang, K.; Wang, H.; Su, H.; Huang, Z.; Yue, D.; Zhang, T. Response of changes in seasonal soil freeze/thaw state to climate change from 1950 to 2010 across china. J. Geophys. Res. Earth Surf. 2016, 121, 1984–2000. [Google Scholar] [CrossRef]
- Wang, H.; Ma, M.; Wang, X.; Yuan, W.; Song, Y.; Tan, J.; Huang, G. Seasonal variation of vegetation productivity over an alpine meadow in the Qinghai–Tibet Plateau in China: Modeling the interactions of vegetation productivity, phenology, and the soil freeze–thaw process. Ecol. Res. 2013, 28, 271–282. [Google Scholar] [CrossRef]
- Wang, C.; Dong, W.; Wei, Z. The development of study on the soil freezing thaw process in land surface model. Adv. Earth Sci. 2002, 17, 44. [Google Scholar]
- Zhang, T.; Jin, R.; Gao, F. Overview of the Satellite Remote Sensing of Frozen Ground: Visible-thermal Infrared and Radar Sensor. Adv. Earth Sci. 2009, 24, 963. [Google Scholar]
- Luo, S.; Lv, S.; Zhang, Y.; Hu, Z.; Ma, Y.; Li, S.; Shang, L. Simulation analysis on land surface process of BJ site of central Tibetan Plateau Using CoLM. Plateau Meteorol. 2008, 27, 259–271. Available online: http://ir.casnw.net/handle/362004/5288 (accessed on 21 December 2022).
- Peng, J.; Loew, A.; Zhang, S.; Wang, J.; Niesel, J. Spatial downscaling of satellite soil moisture data using a vegetation temperature condition index. IEEE Trans. Geosci. Remote Sens. 2015, 54, 558–566. [Google Scholar] [CrossRef]
- Duan, S.-B.; Han, X.-J.; Huang, C.; Li, Z.-L.; Wu, H.; Qian, Y.; Gao, M.; Leng, P. Land surface temperature retrieval from passive microwave satellite observations: State-of-the-art and future directions. Remote Sens. 2020, 12, 2573. [Google Scholar] [CrossRef]
- Zhang, X.; Zhou, J.; Liang, S.; Chai, L.; Wang, D.; Liu, J. Estimation of 1-km all-weather remotely sensed land surface temperature based on reconstructed spatial-seamless satellite passive microwave brightness temperature and thermal infrared data. ISPRS J. Photogramm. Remote Sens. 2020, 167, 321–344. [Google Scholar] [CrossRef]
- Liou, Y.; England, A.W. Annual temperature and radiobrightness signatures for bare soils. IEEE Trans. Geosci. Remote Sens. 1996, 34, 981–990. [Google Scholar] [CrossRef]
- Kim, Y.; Kimball, J.S.; Zhang, K.; McDonald, K.C. Satellite Detection of Northern Hemisphere Non-Frozen Season Changes and Associated Impacts to Vegetation Growing Seasons. 2011. Available online: https://scholarworks.umt.edu/ntsg_pubs/364 (accessed on 27 December 2022).
- Kou, X.; Jiang, L.; Yan, S.; Wang, J.; Gao, L. Research on the improvement of passive microwave freezing and thawing discriminant algorithms for complicated surface conditions. In Proceedings of the IGARSS 2018—2018 IEEE International Geoscience and Remote Sensing Symposium, Valencia, Spain, 22–27 July 2018; pp. 7161–7164. [Google Scholar] [CrossRef]
- Li, X.; Jin, R.; Pan, X.; Zhang, T.; Guo, J. Changes in the near-surface soil freeze–thaw cycle on the Qinghai-Tibetan Plateau. Int. J. Appl. Earth Obs. Geoinf. 2012, 17, 33–42. [Google Scholar] [CrossRef]
- Zuerndorfer, B.W.; England, A.W.; Dobson, M.C.; Ulaby, F.T. Mapping freeze/thaw boundaries with SMMR data. Agric. For. Meteorol. 1990, 52, 199–225. [Google Scholar] [CrossRef]
- Zhang, Z.; Zhao, T.; Shi, J.; Li, Y.; Ran, Y.; Chen, Y.; Zhao, S.; Wang, J.; Ning, Z.; Yang, H.; et al. Near-surface freeze/thaw state mapping over Tibetan Plateau. Natl. Remote Sens. Bull. 2020, 24, 904–916. [Google Scholar] [CrossRef]
- Chai, L.; Zhang, L.; Zhang, Y.; Hao, Z.; Jiang, L.; Zhao, S. Comparison of the classification accuracy of three soil freeze–thaw discrimination algorithms in China using SSMIS and AMSR-E passive microwave imagery. Int. J. Remote Sens. 2014, 35, 7631–7649. [Google Scholar] [CrossRef]
- Shao, W.; Zhang, T. Assessment of Four Near-Surface Soil Freeze/Thaw Detection Algorithms Based on Calibrated Passive Microwave Remote Sensing Data Over China. Earth Space Sci. 2020, 7, e2019EA000807. [Google Scholar] [CrossRef]
- Wang, J.; Jiang, L.; Cui, H.; Wang, G.; Yang, J.; Liu, X.; Su, X. Evaluation and analysis of SMAP, AMSR2 and MEaSUREs freeze/thaw products in China. Remote Sens. Environ. 2020, 242, 111734. [Google Scholar] [CrossRef]
- Zhang, T.; Wang, K.; Zhong, X. Changes in the timing and duration of the near-surface soil freeze/thaw status from 1956 to 2006 across China. Cryosphere Discuss. 2014, 8, 3785–3809. [Google Scholar] [CrossRef]
- Xu, S.; Fu, Q.; Li, T.; Meng, F.; Liu, D.; Hou, R.; Li, M.; Li, Q. Spatiotemporal characteristics of the soil freeze-thaw state and its variation under different land use types-A case study in Northeast China. Agric. For. Meteorol. 2022, 312, 108737. [Google Scholar] [CrossRef]
- Xu, S.; Liu, D.; Li, T.; Fu, Q.; Liu, D.; Hou, R.; Meng, F.; Li, M.; Li, Q. Spatiotemporal evolution of the maximum freezing depth of seasonally frozen ground and permafrost continuity in historical and future periods in Heilongjiang Province, China. Atmos. Res. 2022, 274, 106195. [Google Scholar] [CrossRef]
- Yue, S.; Yan, Y.; Zhang, S.; Yang, J.; Wang, W. Spatiotemporal variations of soil freeze-thaw state in Northeast China based on the ERA5-LAND dataset. Acat Geogr. Sin. 2021, 76, 2765–2779. [Google Scholar] [CrossRef]
- Gao, H.; Zhang, W.; Chen, H. An improved algorithm for discriminating soil freezing and thawing using AMSR-E and AMSR2 soil moisture products. Remote Sens. 2018, 10, 1697. [Google Scholar] [CrossRef]
- Jin, R.; Li, X.; Che, T. A decision tree algorithm for surface soil freeze/thaw classification over China using SSM/I brightness temperature. Remote Sens. Environ. 2009, 113, 2651–2660. [Google Scholar] [CrossRef]
- Lv, S.; Wen, J.; Simmer, C.; Zeng, Y.; Guo, Y.; Su, Z. A Novel Freeze-Thaw State Detection Algorithm Based on L-Band Passive Microwave Remote Sensing. Remote Sens. 2022, 14, 4747. [Google Scholar] [CrossRef]
- Guo, D.; Wang, H. Simulated change in the near-surface soil freeze/thaw cycle on the Tibetan Plateau from 1981 to 2010. Chin. Sci. Bull. 2014, 59, 2439–2448. [Google Scholar] [CrossRef]
- Yang, S.; Li, R.; Wu, T.; Hu, G.; Xiao, Y.; Du, Y.; Zhu, X.; Ni, J. The variation characteristics of different freeze-thaw status in the near surface and the relationship with temperature over the Qinghai-Tibet Plateau. J. Glaciol. Geocryol. 2019, 41, 1377–1387. [Google Scholar]
- Feng, Y.; Liang, S.; Wu, Q.; Chen, J.; Tian, X.; Wu, P. Vegetation responses to permafrost degradation in the Qinghai-Tibetan Plateau. J. Beijing Norm. Univ. 2016, 52, 311–316. [Google Scholar] [CrossRef]
- Mölders, N.; Romanovsky, V.E. Long-term evaluation of the Hydro-Thermodynamic Soil-Vegetation Scheme’s frozen ground/permafrost component using observations at Barrow, Alaska. J. Geophys. Res. Atmos. 2006, 111, D04105. [Google Scholar] [CrossRef]
- Nicolsky, D.; Romanovsky, V.; Alexeev, V.; Lawrence, D. Improved modeling of permafrost dynamics in a GCM land-surface scheme. Geophys. Res. Lett. 2007, 34, L08501. [Google Scholar] [CrossRef]
- Zhang, W.; Zhou, J.; Wang, G.; Kinzelbach, W.; Cheng, G.; Ye, B.; He, X.; Li, H. Monitoring and modeling the influence of snow cover and organic soil on the active layer of permafrost on the Tibetan Plateau. J. Glaciol. Geocryol. 2013, 35, 528–540. [Google Scholar]
- Jiang, X.; Liu, S.; Ma, M.; Zhang, J. A wavelet analysis of the temperature time series in Northeast China during the last 100 years. Adv. Clim. Change Res. 2008, 4, 122–125. [Google Scholar] [CrossRef]
- Sun, J.; Li, X.; Hu, Y.; Wang, X.; Lü, J.; Li, Z.; Chen, H. Classification, species diversity, and species distribution gradient of permafrost wetland plant communities in Great Xing’an Mountains valleys’ of northeast China. Chin. J. Appl. Ecol. 2009, 20, 2049–2056. [Google Scholar] [CrossRef]
- Guo, J.; Hu, Y.; Xiong, Z.; Yan, X.; Ren, B.; Bu, R. Spatiotemporal variations of growing-season NDVI and response to climate change in permafrost zone of Northeast China. Chin. J. Appl. Ecol. 2017, 28, 2413–2422. [Google Scholar] [CrossRef]
- Zhang, T.; Heginbottom, J.; Barry, R.G.; Brown, J. Further statistics on the distribution of permafrost and ground ice in the Northern Hemisphere. Polar Geogr. 2000, 24, 126–131. [Google Scholar] [CrossRef]
- Jin, H.; Li, S.; Cheng, G.; Shaoling, W.; Li, X. Permafrost and climatic change in China. Glob. Planet. Change 2000, 26, 387–404. [Google Scholar] [CrossRef]
- Tang, X.; Chen, H.; Guan, L.; Li, L. Intercalibration of FY-3B/MWRI and GCOM-W1/AMSR-2 brightness temperature over the Arctic. J. Remote Sens. 2020, 24, 1032–1044. [Google Scholar] [CrossRef]
- Zhang, L.; Shi, J.; Zhang, Z.; Zhao, K. The estimation of dielectric constant of frozen soil-water mixture at microwave bands. In Proceedings of the IGARSS 2003—2003 IEEE International Geoscience and Remote Sensing Symposium, Toulouse, France, 21–25 July 2003; Proceedings (IEEE Cat. No. 03CH37477). pp. 2903–2905. [Google Scholar] [CrossRef]
- Pulliainen, J.T.; Grandell, J.; Hallikainen, M.T. HUT snow emission model and its applicability to snow water equivalent retrieval. IEEE Trans. Geosci. Remote Sens. 1999, 37, 1378–1390. [Google Scholar] [CrossRef]
- Zhao, T.; Zhang, L.; Jiang, L.; Zhao, S. Microwave radiation of frozen and thawed soils under complicated surface condition: Simulation and discrimination analysis. J. Glaciol. Geocryol. 2009, 31, 220–226. [Google Scholar]
- Hu, T.; Zhao, T.; Shi, J.; Gu, I. Inter-calibration of AMSR-E and AMSR2 Brightness Temperature. Remote Sens. Technol. Appl. 2016, 31, 919–924. [Google Scholar]
- Hamed, K.H.; Rao, A.R. A modified Mann-Kendall trend test for autocorrelated data. J. Hydrol. 1998, 204, 182–196. [Google Scholar] [CrossRef]
- Sen, P.K. Estimates of the regression coefficient based on Kendall’s tau. J. Am. Stat. Assoc. 1968, 63, 1379–1389. [Google Scholar] [CrossRef]
- Brown, C.E. Coefficient of variation. In Applied Multivariate Statistics in Geohydrology and Related Sciences; Springer: Berlin/Heidelberg, Germany, 1998; pp. 155–157. [Google Scholar] [CrossRef]
- Wang, J.; Li, X.; Christakos, G.; Liao, Y.L.; Zhang, T.; Gu, X.; Zheng, X. Geographical detectors-based health risk assessment and its application in the neural tube defects study of the Heshun Region, China. Int. J. Geogr. Inf. Sci. 2010, 24, 107–127. [Google Scholar] [CrossRef]
- Song, Y.; Wang, J.; Ge, Y.; Xu, C. An optimal parameters-based geographical detector model enhances geographic characteristics of explanatory variables for spatial heterogeneity analysis: Cases with different types of spatial data. GISci. Remote Sens. 2020, 57, 593–610. [Google Scholar] [CrossRef]
- Zhu, L.; Meng, J.; Zhu, L. Applying Geodetector to disentangle the contributions of natural and anthropogenic factors to NDVI variations in the middle reaches of the Heihe River Basin. Ecol. Indic. 2020, 117, 106545. [Google Scholar] [CrossRef]
- Fattoev, U.; Brushkov, A.; Koshurnikov, A.; Gunar, A.Y. The frost heaving and heave properties of soils on the projected Moscow–Kazan railway. Mosc. Univ. Geol. Bull. 2021, 76, 343–351. [Google Scholar] [CrossRef]
- Tsytovich, N.A. The Mechanics of Frozen Ground. 1975. Available online: https://snia.mop.gob.cl/repositoriodga/handle/20.500.13000/2504 (accessed on 2 December 2022).
- Luo, D.; Jin, H.; Wu, Q.; Bense, V.F.; He, R.; Ma, Q.; Gao, S.; Jin, X.; Lü, L. Thermal regime of warm-dry permafrost in relation to ground surface temperature in the Source Areas of the Yangtze and Yellow rivers on the Qinghai-Tibet Plateau, SW China. Sci. Total Environ. 2018, 618, 1033–1045. [Google Scholar] [CrossRef]
- Zhang, Z.-Q.; Wu, Q.-B.; Hou, M.-T.; Tai, B.-W.; An, Y.-K. Permafrost change in Northeast China in the 1950s–2010s. Adv. Clim. Change Res. 2021, 12, 18–28. [Google Scholar] [CrossRef]
- Yang, W.; Kong, L.; Chen, Y. Numerical evaluation on the effects of soil freezing on underground temperature variations of soil around ground heat exchangers. Appl. Therm. Eng. 2015, 75, 259–269. [Google Scholar] [CrossRef]
- Zhang, D. Comparisons of vegetation and soil characteristics of Qinghai-Tibet Plateau. Pratacultural Sci. 2015, 32, 269–273. [Google Scholar] [CrossRef]
- Boike, J.; Roth, K.; Overduin, P.P. Thermal and hydrologic dynamics of the active layer at a continuous permafrost site (Taymyr Peninsula, Siberia). Water Resour. Res. 1998, 34, 355–363. [Google Scholar] [CrossRef]
- Yang, D.; Zhan, D.; Li, M.; Zang, S. Factors Influencing the Spatiotemporal Changes of Permafrost in Northeast China from 1982 to 2020. Land 2023, 12, 350. [Google Scholar] [CrossRef]
- Yan, F.; Wang, Y.; Lu, Q.; Qiao, L. Seasonally freeze–thaw changes on the Qinghai–Tibet Plateau and their possible causes. Int. J. Climatol. 2023, 43, 2110–2126. [Google Scholar] [CrossRef]
- Ma, S.; Yang, B.; Zhao, J.; Tan, C.; Chen, J.; Mei, Q.; Hou, X. Hydrothermal Dynamics of Seasonally Frozen Soil With Different Vegetation Coverage in the Tianshan Mountains. Front. Earth Sci. 2022, 9, 1418. [Google Scholar] [CrossRef]
- Zou, D.; Zhao, L.; Sheng, Y.; Chen, J.; Hu, G.; Wu, T.; Wu, J.; Xie, C.; Wu, X.; Pang, Q. A new map of permafrost distribution on the Tibetan Plateau. Cryosphere 2017, 11, 2527–2542. [Google Scholar] [CrossRef]
- Wang, K. Responses of Ground Surface Freeze-Thaw Cycles and Thermal States of Permafrost to Global Climate Change; Lanzhou University: Lanzhou, China, 2015. [Google Scholar]
- Wang, S.; Wang, C.; Li, K.; Zhu, S.; Huang, F. Estimation of soil organic carbon reservoir in China. J. Geogr. Sci. 2001, 11, 3–13. [Google Scholar] [CrossRef]
- Lloyd, A.H.; Yoshikawa, K.; Fastie, C.L.; Hinzman, L.; Fraver, M. Effects of permafrost degradation on woody vegetation at arctic treeline on the Seward Peninsula, Alaska. Permafr. Periglac. Process. 2003, 14, 93–101. [Google Scholar] [CrossRef]
- Ma, S.; Zhao, J.; Chen, J.; Zhang, S.; Dong, T.; Mei, Q.; Hou, X.; Liu, G. Ground Surface Freezing and Thawing Index Distribution in the Qinghai-Tibet Engineering Corridor and Factors Analysis Based on GeoDetector Technique. Remote Sens. 2022, 15, 208. [Google Scholar] [CrossRef]
- Wang, J.; Jiang, L.; Kou, X.; Cui, H.; Hao, S. Verification of Downscaling Method for Near-Surface Freeze/Thaw State Monitoring in Genhe Area of China. In Proceedings of the IGARSS 2018—2018 IEEE International Geoscience and Remote Sensing Symposium, Valencia, Spain, 22–27 July 2018. [Google Scholar] [CrossRef]
- Zheng, D.; Li, X.; Wang, X.; Wang, Z.; Wen, J.; van der Velde, R.; Schwank, M.; Su, Z. Sampling depth of L-band radiometer measurements of soil moisture and freeze-thaw dynamics on the Tibetan Plateau. Remote Sens. Environ. 2019, 226, 16–25. [Google Scholar] [CrossRef]
- Pang, X.; Sun, R. Diurnal variations of landscape thermal effect in city parks from the later autumn to early winter. Acta Ecol. Sin. 2015, 35, 4196–4202. [Google Scholar] [CrossRef]
- Gu, L.; Kai, Z.; Shuwen, Z.; Shuang, Z. Comparative Analysis of Microwave Brightness Temperature Data in Northeast China Using AMSR-E and MWRI Products. Chin. Geogr. Sci. 2011, 21, 84–93. [Google Scholar] [CrossRef]
- Hao, J.; Xu, G.; Luo, L.; Zhang, Z.; Yang, H.; Li, H. Quantifying the relative contribution of natural and human factors to vegetation coverage variation in coastal wetlands in China. Catena 2020, 188, 104429. [Google Scholar] [CrossRef]
Disclaimer/Publisher’s Note: The statements, opinions and data contained in all publications are solely those of the individual author(s) and contributor(s) and not of MDPI and/or the editor(s). MDPI and/or the editor(s) disclaim responsibility for any injury to people or property resulting from any ideas, methods, instructions or products referred to in the content. |
© 2024 by the authors. Licensee MDPI, Basel, Switzerland. This article is an open access article distributed under the terms and conditions of the Creative Commons Attribution (CC BY) license (https://creativecommons.org/licenses/by/4.0/).










