Abstract
The sustainable utilization of cultivated land is a crucial prerequisite for ensuring food security and achieving sustainable socioeconomic development. This study employed a dataset to evaluate sustainable land use and utilized a combination of multi-factor comprehensive evaluation models, structural equation modeling, geographically weighted regression, and Pearson correlation analysis to systematically investigate the overall level, spatial differentiation characteristics, and driving mechanisms of sustainable cultivated land utilization in the Tarim River Basin. Additionally, we compared and tested three spatial interpolation methods using high-resolution data to address the modifiable areal unit problem (MAUP) and enhance the quality of spatial predictions for cultivated land utilization, ultimately identifying inverse distance weighting (IDW) as the optimal method. The results indicate the following: (1) The level of sustainable cultivated land utilization is moderately high, with an average index of 0.581, exhibiting a “U-shaped” trend from the upper to lower reaches of the Tarim River Basin. The highest levels are found in the Kashgar River–Yarkant River Basin, followed by the Hotan River Basin and the Kaidu–Peacock River Basin, while the mainstream area has the lowest levels. (2) The relationships among various cultivated land environmental systems and sustainability demonstrate distinct response characteristics and spatial differentiation patterns. Cultivated land use and management exert the most significant influence on sustainability, followed by soil quality and water resource systems, with climatic factors having the least impact. The effects of each system reveal inverted “U”, inverted “N”, “U”, and “W” patterns from the lower reaches to the upper reaches, respectively. (3) As the complexity of interactions and integrative mechanisms within the regional cultivated land system increases, the sensitivity and vulnerability of the system also rise, resulting in lower levels of sustainable utilization. (4) Based on the current challenges facing the cultivated land environmental system and the primary mechanisms influencing its sustainability, we propose regulatory measures focused on “suitable consolidation”, “suitable resting”, and “suitable planting”. These findings provide valuable insights for formulating differentiated land protection strategies, policies, and spatial planning initiatives.
1. Introduction
Cultivated land is a critical natural resource for achieving the United Nations’ Sustainable Development Goal of “zero hunger”, and the level of sustainable utilization of cultivated land is closely linked to the realization of this goal. Given the current scientific and technological conditions and production environments, the protection and sustainable utilization of cultivated land are among the most important and effective strategies for ensuring food supply. As a populous nation, China has implemented the strictest cultivated land protection system [1] and has promoted sustainable utilization through policy frameworks and engineering technologies [2,3,4]. However, the cultivated land system and its associated environmental systems continue to face disturbances due to changes in the natural environment and increasing human activities. This has resulted in reduced resilience and increased vulnerability within the cultivated land system, along with a deterioration in the sustainability of the environmental system, particularly evident in the arid regions of Northwest China [5].
There is currently no clear definition of the sustainable utilization of cultivated land in the academic discourse. Internationally, a substantial body of research focuses on urban areas, agricultural land, agriculture/pasture, and agricultural production, emphasizing the analysis of conceptual connotations, empirical evaluations, and impact mechanisms [6,7,8]. In contrast, domestic research in China places greater emphasis on sustainable intensive utilization, the intensive use of cultivated land, and agricultural sustainable development [9,10,11]. Additionally, studies have explored aspects closely related to the sustainable utilization of cultivated land, including land quality, ecological efficiency, environmental effects, and functions [12,13,14]. The domestic research primarily concentrates on central, eastern, and southern China, characterized by abundant water resources, favorable climates, and relatively superior farming conditions, alongside a rich theoretical and practical foundation for sustainable utilization [15,16]. These studies predominantly employ panel data from provinces, cities, and counties, as well as GIS reanalysis data, to investigate issues related to sustainable utilization.
Existing studies at home and abroad have made abundant achievements in the analysis of the sustainable utilization of cultivated land, but there are still some shortcomings. In terms of research themes, international studies focusing on cultivated land use remain relatively limited, while domestic research in China that centers on the theme of “sustainable utilization of cultivated land” is comparatively scarce. The main objective of related conceptual research at home and abroad is to improve the resilience and sustainable development ability of cultivated land systems in order to cope with global change and environmental pressure. However, there is a lack of conceptual frameworks that articulate the sustainable utilization of cultivated land from an Earth system perspective. In terms of regional and spatial scales, except for small watersheds in arid areas [17], there are few studies and cases on inland river basins in arid areas considering large-scale space; in terms of research data and their accuracy, due to limitations in data collection, the empirical research on the sustainable utilization of cultivated land mainly uses provincial or municipal statistical data [18], which is far from the high-precision survey data and remote sensing interpretation data required for an accurate analysis of the sustainable utilization of cultivated land and its driving mechanism.
High-precision granular data are an effective means to reduce the accuracy gap in evaluating the sustainable utilization of cultivated land. Assessing the sustainable utilization level of cultivated land through high-precision granular data and accurately depicting spatial characteristics necessitates addressing the modifiable areal unit problem (MAUP). In the fields of geography and agricultural science, it is often essential to aggregate social, economic, resource, and environmental data into specific areal units based on actual conditions. When data derived from point measurements are summarized into areal units with varying spatial scales, the MAUP arises; that is, the statistical analysis results of areal data are influenced by spatial partitioning [19,20]. The presence of the MAUP effect indicates that the outcomes of spatial statistical analyses may vary due to differences in granularity or spatial division, thereby affecting the accuracy of the evaluation results. Consequently, further research is needed to develop strategies to mitigate the MAUP effect and create universally applicable tools and methods.
The Tarim River Basin is characterized by irrigated agriculture and serves as a significant base for cotton production, as well as the forestry and fruit industries, in China. The development of the cultivated land system faces multiple challenges, including climate change, conflicting uses of water resources, and land degradation [21]. From a pragmatic perspective, there is an urgent need to transform the modes of cultivated land utilization and management. This study aims to evaluate and analyze the sustainable utilization level of cultivated land in the Tarim River Basin and its spatial differentiation characteristics, revealing the underlying driving mechanisms and proposing regulatory measures to support sustainable utilization and management. To achieve this, a comprehensive evaluation framework that encompasses both natural and human environmental systems has been constructed. Utilizing field survey data and remote sensing data, a multi-factor comprehensive evaluation method was employed to quantitatively assess the environmental systems and the sustainable utilization level of cultivated land in the Tarim River Basin while depicting spatial distribution patterns. To minimize the MAUP effect and enhance evaluation accuracy, various spatial interpolation methods were compared. Employing structural equation modeling, geographically weighted regression (GWR) modeling, and Pearson correlation analysis, this study explored the driving mechanisms and spatial heterogeneity of sustainable cultivated land utilization, revealing spatial variation characteristics and underlying patterns associated with cultivated land sustainability in the Tarim River Basin. This research aims to provide insights for the sustainable utilization, management, and ecological construction of cultivated land in similar arid regions in China and worldwide.
2. Analysis of the Connotation and Operational Mechanism of the Sustainable Utilization of Cultivated Land
Sustainable development is rich in connotation and diverse in its goals. It was initially defined as “development that can not only meet the needs of contemporary people, but also does not harm the ability of future generations to meet their needs” [22]. Realizing the sustainable development of human society and the economy requires the sustainable utilization of resources and a good ecological environment. Land resources serve as the foundational resource that underpins the sustainable development of human society, and their utilization should align with the principles of sustainability. By providing sufficient and sustainable material resources for sustainable development, human society can promote the achievement of the Sustainable Development Goals (SDGS). Cultivated land is an important type of land resource that functions to support production, life, and ecology. It is the foundation of food and agricultural product production and the basic resource to achieve the Sustainable Development Goal of “zero hunger” set by the United Nations. To realize the sustainable development of agriculture, we must first realize the sustainable utilization of cultivated land, which refers to the systematic development, utilization, governance, and protection of cultivated land resources under specific time and space conditions, and coordinate the relationship between cultivated land system, natural environment, and socioeconomic system by a series of scientific management means to meet the growing needs of contemporary and future people [18]. A sustainably utilized cultivated land system is a typical natural environment–cultivated land use–socioeconomic complex system characterized by its relevance, diversity of subjects, and complexity (Figure 1). It mainly includes two types: extension and intensification. Among them, the connotative sustainable utilization of cultivated land has more potential for agricultural production. Therefore, this paper takes the connotative sustainable utilization of cultivated land as the research object.
Figure 1.
Concept diagram of network system and operational mechanism of sustainable utilization of cultivated land in Tarim River Basin.
The cultivated land system is a quintessential integrated human–land system. Similar to the human–geosphere concept articulated by Liu Yansui [23], the cultivated land system represents a spatial intersection of the atmosphere, biosphere, lithosphere, and hydrosphere, which are interconnected by cultivated land through interactions among natural and human processes. It serves as a crucial semi-natural system for human agricultural production activities. The intersection of the Earth system’s surface layer and the cultivated land system encompasses the biosphere (A), climate (B), water resources (C), and soil (D), collectively referred to as the dimensions of the cultivated land system or the cultivated land environment system. The most significant role and concrete manifestation of the biosphere within the cultivated land system is crop output. Therefore, the interaction process between the biosphere and human agricultural activities is defined as cultivated land use and management, contributing to a more comprehensive cultivated land network system (Figure 1). The interactions between cultivated land environment systems and external Earth systems create an open-source evolutionary mechanism for the cultivated land network system, generating ecological environmental effects and providing ecosystem services. In the context of an imbalanced terrestrial environment and adverse human impacts on cultivated land use, the functionality of the cultivated land network system is jeopardized, threatening the sustainable utilization of cultivated land, and vice versa. The operational mechanisms of the cultivated land network system exhibit hierarchical and regional differences in spatial scale, primarily reflected in the interactions and coupling between various cultivated land environmental systems. Climate, human activities (including cultivated land utilization and management), soil quality, and water resources are the primary environmental systems influencing the sustainable utilization of cultivated land in arid regions [24,25,26,27]. Their impacts on the cultivated land system can be summarized in the following four aspects:
- Climate change exacerbates the uncertainty of the cultivated land system. If the rate of change exceeds the operational speed of the internal circulation mechanisms of the cultivated land system, fluctuations may occur, potentially resulting in soil erosion and crop drought. Conversely, when the rate of change stabilizes or effectively supplements the elements necessary for the circulation of the cultivated land system (such as water, light, and heat resources), it promotes the healthy and efficient functioning of the system.
- Cultivated land utilization and management involve conscious and purposeful transformations of the cultivated land system, exerting a bidirectional influence on its development and coordination. Reasonable methods of land utilization and management can steer the cultivated land system toward positive outcomes (e.g., increased crop yields), whereas excessive or unreasonable practices may disrupt the system’s coordination, leading to soil degradation and water resource depletion.
- Soil serves as the foundational material of the cultivated land system, and its quality directly impacts the production, livelihood, and ecological functions of the system. The soil quality system acts as a crucial link among various environmental system elements and is highly sensitive to external factors. Mitigating the adverse impacts of other environmental variables and enhancing soil quality are beneficial for optimizing the functions of the cultivated land system.
- The multidirectional water circulation within the cultivated land system is its “lifeblood” and a key factor supporting the sustainable utilization of cultivated land in arid areas. The availability or scarcity of water resources significantly influences the cultivated land system’s capacity to function harmoniously and efficiently.
The network system for the sustainable utilization of cultivated land is not merely an aggregation of individual environmental systems; rather, it is a complex network in which various environmental systems interact with one another (Figure 1). Achieving sustainable utilization of cultivated land is an ideal goal for the development of arid regions. This objective requires not only the enhancement and protection of the natural environment but also advancements in social, economic, and technological domains. More importantly, it necessitates the coordinated development of the natural environment, cultivated land utilization, and the socioeconomic system.
3. Research Methods and Data
3.1. Study Area
The Tarim River Basin encompasses most of the Tarim Basin, which is primarily composed of the Kaidu–Peacock River Basin, Aksu River Basin, Yarkant River Basin, Hotan River Basin, and the main stem of the Tarim River [28] (Figure 2). This basin is located deep inland, far from the sea, and is a closed basin characterized by a typical temperate continental climate with dryness, low precipitation, strong continental characteristics, and abundant light and heat resources. Cultivated land in the basin is predominantly located in oases, where crops such as wheat, corn, and cotton are primarily grown. The main soil types include fluvo-aquic soil, meadow soil, and brown desert soil, while irrigation sources mainly depend on surface or groundwater derived from snow and ice melt. In the upper reaches of the basin, cultivated land is largely intensive and fragmented, whereas the middle and lower reaches have largely achieved large-scale intensive management.
Figure 2.
Map of Tarim River Basin.
The Tarim River Basin is highly sensitive to climate change due to its fragile ecological environment and extreme scarcity of water resources. As human activities have intensified, the cultivated land in this region has expanded rapidly, leading to increased economic benefits. However, this expansion has also caused significant damage to the ecological environment, including land degradation, over-exploitation and imbalanced allocation of water resources, reduced vegetation coverage in desert and Gobi areas, and frequent extreme weather events. Additionally, cultivated land resources in the Tarim River Basin are generally poor, with low soil quality and clear constraints posed by water resources and the ecological environment. In some areas, inadequate protection of cultivated land due to human factors has been observed. This has resulted in a negative feedback cycle among human activities, land use, and the ecological environment, which presents a substantial challenge to achieving sustainable land use and agricultural production.
3.2. Research Methods
3.2.1. Evaluation Index System of Sustainable Utilization of Cultivated Land Utilization
Based on the natural environment and human land use activities in the Tarim River Basin, this paper establishes an evaluation index system for the sustainable utilization of cultivated land, adhering to the principles of comprehensiveness, representativeness, and feasibility. This system fully incorporates existing research findings and includes selected factors related to climate, land use and management, soil quality, and water resources (Table 1).
Table 1.
Evaluation index system of sustainable utilization of cultivated land.
An arid climate and a shortage of water resources coexist in the Tarim River Basin, which restricts agricultural development and the sustainable utilization of cultivated land. The dry and windy climate, with strong evaporation and scarce precipitation, together with the planting of crops with high water consumption and the continuous expansion of their area, aggravates the degree of agricultural drought, and the consumption of agricultural water and the suitability of cultivated land decline [30,31]. In addition, abundant light and heat resources provide good conditions for the development of the planting industry. Therefore, the Palmer Drought Severity Index (PDSI), precipitation, and accumulated temperature ≥10 °C, which reflect agricultural drought, are used to characterize the climate system. This area contains irrigated agriculture, which is characterized by “non-irrigation and no colonization”. Agricultural irrigation has a significant impact on crop yield and soil physical and chemical properties [32,33]. Surface water is unevenly distributed over time and space, while groundwater is over-exploited. This makes the sustainable provision of irrigation water and the efficient use of irrigation systems critical facets of agricultural development. [21]. As a result, this paper uses four indexes for the water resource system: irrigation guarantee rate, irrigation mode, water source type, and drainage capacity.
LUI is a standard index for characterizing human activities related to cultivated land use and management, and it has been widely utilized in previous studies to measure grain yield [34]. However, the effects of different tillage practices on cultivated land productivity are variable, leading to inconsistent changes in grain yield [35,36]. For instance, fertilizer application can exert both positive and negative influences on productivity, while inputs such as machinery, labor, and irrigation are essential for enhancing cultivated land productivity. Variations in phenological conditions and cultivated land systems within the Tarim River Basin may result in differing food production potentials and levels of cultivated land input. Consequently, regions with similar food production should not be considered as having the same LUI. LUI encompasses multiple dimensions and represents an integrated process that connects human activities with cultivated land systems, which cannot be accurately assessed using a single dimension. Based on this analysis, this paper categorizes the measurement of LUI into three dimensions: input, output, and system. The input dimension refers to LUI associated with various input factors, such as fertilizers and irrigation; the output dimension pertains to the ratio of agricultural production output to cultivated land area, exemplified by grain yield per unit area; and the system dimension addresses the interactions between production inputs and outputs within the cultivated land system as a whole, including yield gaps.
Soil quality is essential for the functionality of cultivated land, directly affecting its productivity and ecological security [37,38]. This paper presents a multi-dimensional index system for evaluating soil quality, taking into account both natural environmental factors and soil management practices, drawing on insights from previous research [39]. The evaluation considers the substantial presence of agricultural film residues in the cultivated land of the Tarim River Basin, which, according to investigations, averages approximately 240 kg/ha and is exhibiting a downward trend. It also addresses challenges such as loose soil, poor water retention, low nutrient levels, and soil barriers, including desertification and salinization. Furthermore, low land productivity, coupled with the difficulties arising from arid climates and windy, sandy conditions, underscores the need for soil management interventions, such as mulching for moisture retention and the establishment of windbreaks. Based on the “Agricultural Land Quality Grading Regulations” and “Cultivated Land Quality Grades”, the evaluation index system for soil quality is structured across five dimensions: site conditions, physical and chemical properties of the soil, soil nutrients, soil management, and soil obstacles. Consequently, soil quality is conceptualized as a composite of these five dimensions.
3.2.2. Multi-Factor Comprehensive Evaluation Model
A multi-factor comprehensive evaluation model is utilized to assess the level of the cultivated land environmental system and the sustainable utilization of cultivated land [40], with the indices reflecting the overall condition, which is spatially represented using a GIS. The specific procedure is as follows: First, the indices and values of the cultivated land environmental system are normalized using the extreme value standardization method. The upper safety limit for chemical fertilizer application is established at 225 kg/hm2 [41], while the upper safety limit for agricultural film residue is set at 16 kg per mu. Values exceeding these upper safety limits are deemed negative indices, and vice versa. Second, the entropy weight method is employed to calculate the weights of the cultivated land environmental system and its sub-indices. Finally, the system index is derived through the weighted summation of each sub-index of the cultivated land environmental system, and the sustainable utilization index of cultivated land is obtained by the weighted summation of the cultivated land environmental system index. The equation is as follows:
where S denotes the index of the cultivated land environmental system, with values ranging within [0, 1]; Xij and wij represent the dimensionless values and weights of the j-th index within the i-th system unit, respectively; and n indicates the total number of indices. The equation for calculating the sustainable utilization index of cultivated land (Y) is as follows:
where Y denotes the index of the sustainable utilization of cultivated land, with values ranging within [0, 1]; Sm and wm represent the dimensionless values and weights of the m-th cultivated land environmental system, respectively; and n indicates the total number of environmental systems.
3.2.3. Verification and Accuracy Evaluation of Spatial Interpolation Method
To improve the accuracy of predicting and simulating the spatial distribution patterns of the cultivated land environmental system index and the sustainable utilization index of cultivated land, three typical spatial interpolation methods are employed: inverse distance weighting (IDW), ordinary Kriging (OK), and Spline Function (Spline). The accuracy of these interpolation methods is evaluated using cross-validation, which allows for the comparison of the performance of different spatial interpolation techniques [24], thereby facilitating the identification of a stable and reliable method for representing spatial distribution patterns. The soil sampling data are divided into an interpolation group and a validation group, with data from the interpolation group used to predict and simulate the data of the validation group. The accuracy of the spatial interpolation results is assessed by comparing the predicted values for the validation group with the measured values.
The mean error (ME) and root mean square error (RMSE) are utilized as accuracy evaluation metrics to compare the interpolation accuracy of the three spatial interpolation methods. The equations are as follows:
where N represents the number of sampling points in the validation group, mi denotes the measured values of the sampling points in the validation group, and signifies the predicted values of the sampling points in the validation group. In the accuracy evaluation process, ME is assessed first, with values closer to 0 reflecting higher interpolation accuracy. When ME values are equivalent, a smaller RMSE indicates greater interpolation accuracy.
IP is an imprecise metric used to evaluate the quality of spatial interpolation predictions. A smaller IP value signifies a more effective spatial interpolation result. The specific equation is as follows:
3.2.4. Determination of Spatial Interpolation Group and Verification Group
A total of 3746 soil sampling points within the study area were categorized into a spatial interpolation group, consisting of 3371 sampling points, and a verification group, comprising 375 sampling points. The spatial distribution of the sampling points for both groups is illustrated in Figure 1.
An independent sample t-test was conducted on the 375 sampling points from the verification group and the 3371 sampling points from the spatial interpolation group to evaluate their relationship. The results indicate that there is no significant correlation between the sampling points of the verification group and those of the spatial interpolation group (p < 0.10), suggesting that the 375 sampling points in the verification group are representative.
3.2.5. Zoning of Sustainable Utilization of Cultivated Land
Building on the evaluation of the overall sustainable utilization level of cultivated land, spatial division effectively reveals the factors influencing its sustainable use within the region. This study employed the natural breakpoint method (Jenks) to classify the sustainable utilization index of cultivated land, thereby establishing distinct grade regions. This classification provides a foundation for identifying the driving factors affecting sustainable utilization in the region and for proposing appropriate regulatory measures.
3.2.6. Method for Analyzing Driving Mechanism of Sustainable Utilization of Cultivated Land
- (1)
- The direct and indirect effects of the cultivated land environmental system on the sustainable utilization of cultivated land are analyzed using a structural equation model [42].
- (2)
- The GWR model accounts for local effects influencing the sustainable utilization of cultivated land and exhibits greater accuracy than other models [37]. Consequently, this study utilized the GWR model to analyze the interactions between the cultivated land environmental system and the sustainable utilization of cultivated land across various spatial regions of the Tarim River Basin. The equation is as follows:
- (3)
- Pearson correlation coefficient analysis is widely used to investigate the relationships between variables [38]. This method evaluates both positive and negative correlations between the sub-indices of the environmental system and the index of sustainable cultivated land utilization across various classification levels. It clarifies the driving mechanisms underlying changes in sustainable cultivated land utilization. The equation is as follows:where r is the Pearson correlation coefficient, r∈[−1, 1]; xi is the i-th evaluation index of sustainable cultivated land utilization; yi is the index of sustainable cultivated land utilization in the i-th region; and n represents the number of variables.
3.3. Data Sources and Preprocessing
The research data primarily consist of climate data, LUI data, soil quality data, and water resource data. The PDSI data within the climate dataset were sourced from the European Climate Evaluation and Data Set of the World Meteorological Organization (https://www.ecad.eu/), while precipitation and temperature data were obtained from routine daily observations collected at 29 meteorological stations in the Tarim Basin, provided by the National Meteorological Science Data Center (https://data.cma.cn/). LUI data were derived from the Xinjiang Statistical Yearbook (2019). Information on soil erosion types, soil physical and chemical properties, soil nutrients, and soil constraints was obtained from the 2018 monitoring project on cultivated land quality in Xinjiang. Elevation data were sourced from the DEM dataset of the Resources and Environment Data Center of the Chinese Academy of Sciences (https://www.resdc.cn/). Data on geomorphology, soil management, water resources, agricultural irrigation, and crop yields were collected through field surveys conducted at each soil sampling site or through interviews with personnel from agricultural and natural resource management departments, as well as local farmers.
The PDSI data comprise monthly measurements with a resolution of 0.5°, which were aggregated into annual averages. The accumulated temperature data of ≥10 °C at each meteorological station were obtained by calculating and summarizing the temperature records. The processed PDSI data, accumulated temperature data ≥10 °C, and county-level LUI data were interpolated using the ordinary Kriging method to simulate the spatial distribution of each index. The “Extract Values to Points” tool in ArcGIS (version 10.2) was utilized to extract the values of each index at the locations of the soil sampling points, resulting in a comprehensive dataset for assessing the sustainable utilization of cultivated land.
4. Results and Analysis
4.1. Accuracy Evaluation and Selection of Spatial Interpolation Methods
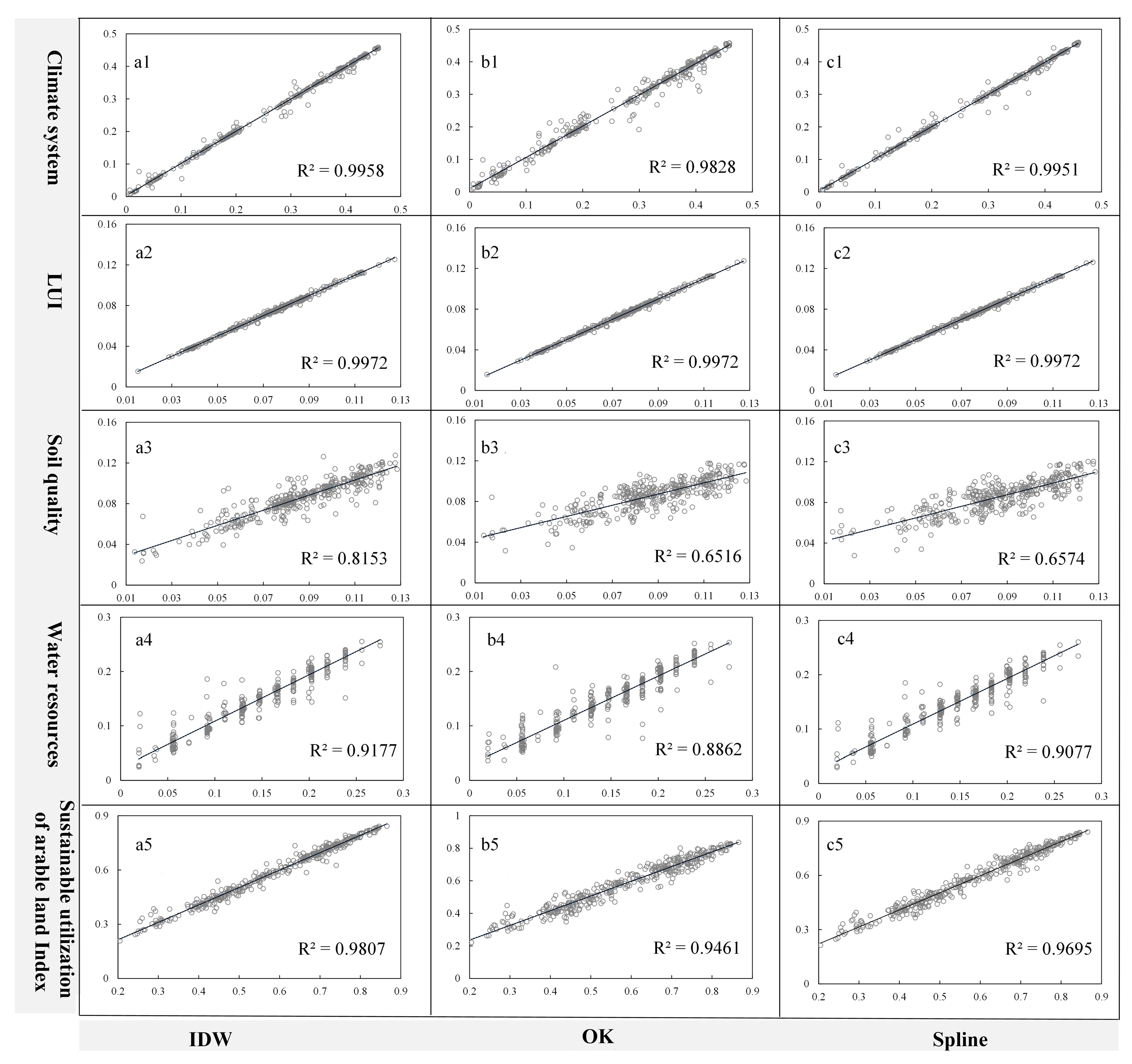
The accuracy comparison of different spatial interpolation methods reveals significant differences in the ME and RMSE values among the three techniques. A comprehensive evaluation of accuracy metrics for the spatial interpolation of the climate system index, LUI, soil quality, water resources, and the index of the sustainable utilization of cultivated land indicates that the values generated by the IDW method are generally lower than those produced by the OK and Spline methods. Furthermore, the IP value of the IDW method is consistently smaller than those of the other two interpolation techniques, suggesting that its spatial prediction and simulation quality is superior (Table 2).
Table 2.
Cross-validation table of different spatial interpolation methods.
The results of the linear regression analysis between the measured values of the environmental system index and the sustainable utilization index of cultivated land, along with the predicted values from various spatial interpolation methods, are presented in Figure 3. The predicted values generated by these interpolation techniques demonstrate a significant correlation with the measured values. Estimates of the climate system index, LUI, soil quality, water resources, and the sustainable utilization index of cultivated land derived from the IDW method are more concentrated than those from the OK and Spline methods, indicating that the spatial prediction quality of IDW is superior to that of the OK and Spline methods. Further analysis of the slopes of the linear regression equations reveals that the order of the slopes for the climate system index, soil quality, water resources, and the sustainable utilization index of cultivated land is IDW > Spline > OK, whereas for LUI, the order is IDW = Spline > OK. Overall, the OK and Spline methods exhibit the greatest smoothing effects on the environmental system index and the sustainable utilization index of cultivated land, resulting in the highest degree of underestimation of these indices. In contrast, the IDW method applies the least smoothing, yielding predicted values that are closer to the measured values (Figure 3).
Figure 3.
(a1–c5) Linear regression distribution in cross-validation.
Considering the interpolation accuracy and smoothing effects of the various spatial interpolation methods, the IDW method has been selected as the optimal approach for both the environmental system index of cultivated land and the sustainable utilization index of cultivated land. This method exhibits superior spatial interpolation accuracy and effectiveness.
4.2. Spatial Pattern Characteristics of Cultivated Land Environmental System Index
There is substantial spatial heterogeneity in the climate, Land Use Intensity (LUI), soil quality, and water resource system indices within the Tarim River Basin. The climate system index spans [0, 0.460], exhibiting a spatial distribution pattern characterized by “high values at both ends and low in the middle” (Figure 4(a1)). High-value areas are predominantly located in the Kashgar region and the western part of Hotan in the upper reaches of the Tarim River Basin. In contrast, the Aksu area in the middle reaches exhibits poor climatic conditions, leading to an extremely low climate system index. The LUI index has a range of [0, 0.132], with the entire region largely in a low-level state, presenting a spatial distribution pattern of “slightly higher in the middle and upper reaches, and slightly lower in the lower reaches” (Figure 4(b1)). Areas with low LUI indices are primarily found in the Kaidu–Peacock River Basin and the northern foothills of the Kunlun Mountains, whereas higher LUI indices are observed in the Yarkant River–Kashgar River Basin and the Aksu River Basin. The soil system index similarly has a range of [0, 0.132], demonstrating minimal spatial variation across the region, with a distribution pattern of “high in the middle and upper reaches, and slightly lower in the lower reaches” (Figure 4(c1)). Extremely low values are concentrated in the central and eastern parts of the Hotan area. The water resource system index has a range of [0, 0.275], with most values falling within the middle to lower range, reflecting a spatial distribution pattern of “high downstream and low in the middle and upper reaches” (Figure 4(d1)).
Figure 4.
(a1–d3) Spatial distribution pattern of environmental system index using different spatial interpolation methods.
4.3. Spatial Pattern Characteristics and Zoning of Sustainable Utilization of Cultivated Land
The sustainable utilization index of cultivated land in the Tarim River Basin has a range of [0.190, 0.879], with an average value of 0.581 across the entire basin. The level of sustainable utilization exhibits significant spatial heterogeneity, displaying a “U”-shaped distribution from upstream to downstream, characterized by extremely high values at both ends and lower values in the middle reaches. Notably, the highest levels of sustainable utilization are found in the majority of the Kashgar region, as well as in Atushi and Akto counties within the Kashgar River–Yarkant River Basin. These are followed by the Hotan River Basin and the Kaidu River-Peacock River Basin, while lower levels are observed in the mainstream area of the Tarim River and the southeastern Pamirs Plateau. The Qarqan River Basin, in contrast, exhibits extremely low levels of sustainable utilization (Figure 5a).
Figure 5.
Spatial distribution pattern of sustainable utilization of cultivated land under different spatial interpolation methods.
The Tarim River Basin is classified into five grades (I to V) of cultivated land sustainable utilization, with higher grades reflecting a greater level of sustainability. The spatial distribution of sustainable utilization across different grades generally exhibits a decreasing trend from Grade I to Grade V. Grade I is primarily located in the Yarkant River–Kashgar River Basin. Grade II mainly encompasses the peripheral expansion of Grade I, with additional areas scattered throughout the Hotan River Basin. Grade III is predominantly found in both the Yarkant River-Kashgar River Basin and the Kaidu–Peacock River Basin. Grade V is primarily distributed north of the mainstream of the Tarim River and within the Qarqan River Basin, while the remaining areas are classified as Grade IV (Figure 6a).
Figure 6.
Spatial zoning and verification diagram of sustainable utilization of cultivated land. (a) Represents the spatial zoning for sustainable land use in cultivated areas. (b) Demonstrates the verification of this zoning based on wheat and cotton as benchmarks; Grade I to Grade V correspond to the different classification levels of sustainable land use zones for cultivated land.
To verify the accuracy and rationality of the spatial distribution pattern and zoning of cultivated land sustainable utilization, the highest average yields of winter wheat and cotton from typical counties and cities in each zoning level were used as benchmarks. Higher or more stable yields indicate a greater level of sustainable utilization of cultivated land. To reduce randomness, at least two counties or cities were selected from each zoning level (Figure 6a). The results showed that winter wheat yields decreased from 538 kg in Grade I to 393.5 kg in Grade V, demonstrating an overall downward trend. In contrast, cotton yields exhibited minimal variation across different levels and regions, remaining relatively stable (Figure 6b). These findings confirm that the spatial distribution pattern and zoning of cultivated land sustainable utilization are scientifically sound and reasonable, thereby providing a foundation for the regulation and management of sustainable utilization levels across various regions.
4.4. Driving Factors of Sustainable Utilization of Cultivated Land
The results of the structural equation model reveal substantial variations in the direct driving effects of the cultivated land environment system on the sustainable utilization of cultivated land, as well as differences in the indirect effects of specific components within this system. Notably, Land Use Intensity (LUI) exerts the most significant influence on the sustainable utilization of cultivated land, followed by soil quality and water resources, whereas climate has the least impact (Figure 7).
Figure 7.
Structural equation model paths of the cultivated land environmental system and the sustainable utilization of cultivated land. Note: * p ≤ 0.05 means significant, and ** p ≤ 0.01 means extremely significant. The line width is proportional to the path coefficient strength. (a) The structural equation path of the climate system index’s impact on the sustainable utilization of cultivated land; (b) the structural equation path of the Land Use Intensity’s effect on the sustainable utilization of cultivated land; (c) the structural equation path of soil quality’s influence on the sustainable utilization of cultivated land; (d) the structural equation path of water resources’ effect on the sustainable utilization of cultivated land.
4.4.1. Driving Factors of Sustainable Utilization of Cultivated Land in the Whole Region
To ensure the accuracy and stability of the regression constants, it is essential to perform a multicollinearity test on the driving factors. The results indicate that the variance inflation factor (VIF) is below 10, suggesting a lack of significant multicollinearity.
According to the results of the geographically weighted regression (GWR) model, the relationship between the sustainable utilization level of cultivated land and the explanatory variables of the cultivated land environmental system exhibits significant variation, reflecting specific spatial differentiation patterns. Climate positively influences the sustainable utilization of cultivated land, with the degree of impact (as indicated by the regression coefficient) showing a “W-shaped” trend from the Kaidu–Peacock River Basin in the lower reaches to the Kashgar River–Yarkant River Basin in the upper reaches and then to the Hotan River Basin (Figure 8(a1–a4)). Among these regions, the Kashgar River–Yarkant River Basin has the most pronounced promoting effect, while that of the Tarim River mainstream is the least pronounced (Figure 8). In recent years, increased precipitation in these basins, coupled with the implementation of environmental regulations and ecological protection and restoration projects, has played a regulatory role in mitigating regional climate fluctuations, thereby enhancing the sustainability of cultivated land use.
Figure 8.
Spatial distribution of regression coefficients of GWR model. (a) Regression coefficient between cultivated land sustainable utilization index and climate index; (b) regression coefficient between sustainable utilization index of cultivated land and LUI index; (c) regression coefficient between cultivated land sustainable use index and soil quality index; (d) regression coefficient between cultivated land sustainable utilization index and water resources index.
The positive influence of LUI on the sustainability level of cultivated land is most significant in the upstream Yarkant River and Hotan River Basins, while the areas with negative effects are largely distributed between the mainstream of the Tarim River and Kaidu–Peacock River Basins (Figure 8b). The degree of the effect (regression coefficient) generally shows an inverted “U-shaped” change from the downstream Kaidu–Peacock River basin to the Hotan River Basin (Figure 8(b1–b4)). Irrational cultivated land utilization and management measures (excessive application of chemical fertilizer and unreasonable irrigation methods) and excessive loss of soil fertility by high-intensity agricultural cultivation in the mainstream area of the Tarim River Basin and the area between Kaidu and Peacock River are important reasons for the reduction in cultivated land utilization sustainability.
The influence of soil quality on the sustainable utilization level of cultivated land (as indicated by the regression coefficient) generally shows an inverted “N-shaped” trend, progressing from the Bosten Lake Basin to the Yarkant River Basin and then to the Hotan River Basin (Figure 8(c1–c4)). Notably, the positive effects are the most significant in the Bosten Lake Basin, the Yarkant River, and the Hotan River, while the negative effects are the most pronounced in the Aksu River Basin and the Kashgar River Basin (Figure 7c). Continuous and excessive human activities, particularly land reclamation, have disrupted the balance of the soil ecosystem in the Aksu River Basin and the Kashgar River Basin, exacerbating soil degradation and reducing soil quality.
The influence of water resources on the sustainable utilization level of cultivated land, as indicated by the regression coefficient, reveals an “N-shaped” trend, progressing from the Kaidu–Peacock River Basin to the Aksu River–Yarkant River Basin and then to the Hotan River Basin (Figure 8(d1–d4)). Notably, the area between the Yarkant River and the Hotan River exhibits a significant positive impact, while the negative effects are most pronounced in the middle and lower reaches of the Tarim River (Figure 8d). Since the implementation of the Comprehensive Treatment Plan for the Tarim River Basin, there has been a marked increase in water discharge, leading to improvements in the ecological environment in the middle and lower reaches. However, the substantial agricultural water demand stemming from extensive cultivated land has resulted in an excessive proportion of water being used for agricultural irrigation, given the constraints on total water resources. This has led to an unreasonable structure of water resource utilization, exacerbating conflicts among agricultural, domestic, and ecological water needs and causing water resource development in the middle and lower reaches of the Tarim River Basin to significantly exceed its carrying capacity. Consequently, the irrigation water supply for cultivated land remains difficult to sustain.
4.4.2. Driving Factors of Sustainable Utilization of Cultivated Land in Different Regions
Additionally, the correlation between the sub-indices of the cultivated land environmental system and the index of sustainable utilization of cultivated land, as well as the relationships among the environmental system sub-indices, was analyzed to elucidate the mechanisms underlying the regional cultivated land environmental system. Notable differences exist in the impacts of the environmental system sub-indices on the sustainable utilization levels of cultivated land across the five sub-regions, with extremely significant correlations being prevalent (Figure 9). As shown by the variations in correlation significance and interaction intensity among the indices in Figure 9a–e, it is evident that in sub-regions of the Tarim River Basin with lower sustainable utilization levels of cultivated land, the number of significant and extremely significant correlations among the environmental system sub-indices increases, leading to stronger interactions among the indices. This complexity enhances the cumulative effects of mutual influences on the cultivated land system, resulting in pronounced negative feedback and a “butterfly effect”. Consequently, this heightens the sensitivity and vulnerability of the cultivated land system, significantly diminishing the sustainable utilization levels of cultivated land.
Figure 9.
Correlations between sustainable utilization index of cultivated land and sub-indexes of cultivated land environmental system. In (a–e), Grade I to Grade V represent the different classifications of sustainable land use zoning for cultivated land.
5. Discussion
5.1. Sustainable Utilization Level of Cultivated Land and Changes in Cultivated Land Environmental System
The overall level of sustainable utilization of cultivated land in the Tarim River Basin is relatively low, characterized by a concentrated distribution in high-level areas and a dispersed distribution in low-level areas. The extreme natural environment significantly contributes to the markedly low sustainable utilization levels in certain regions. In the southeastern Pamirs, the land is barren, with unfavorable conditions for farming and crop growth due to strong winds and cold currents, which complicate irrigation and hinder improvements in sustainable utilization. The Qarqan River Basin, located in the heart of the Taklimakan Desert, experiences an extremely arid climate, a scarcity of available water resources, and desertified land, all of which perpetuate very low sustainable utilization levels of cultivated land. Conversely, the low sustainable utilization levels of cultivated land in the middle and lower reaches of the Tarim River Basin have resulted from the deterioration of environmental sustainability caused by the unreasonable development and use of water and soil resources by humans [43].
The interplay and spatial differentiation among climate, cultivated land use and management, soil quality, and the water resource system shape the current state of sustainable cultivated land utilization in the Tarim River Basin. The climate system index is at a lower–middle level, with noticeable warming and humidification trends in recent years. However, the excessive development and utilization of water and soil resources in the desert oasis transition zone in the middle reaches have led to an increase in cultivated land area, which in turn has diminished the buffering and regulatory capacity of the climate in this zone, resulting in significant warming and humidification effects on the oasis ecosystem [44,45]. In contrast, the relatively low-intensity development and utilization of water and soil resources in the upstream and downstream regions, along with the regulatory effects of the abundant water systems within the basin, contribute to reduced climate fluctuations. This stability enhances the sustainable utilization of cultivated land in the Tarim River Basin and promotes the reliability of agricultural production. Land Use Intensity (LUI) remains at a very low level. In the middle and upper reaches, where the sustainable utilization level of cultivated land is comparatively high, the elevated LUI can be attributed to substantial inputs of labor, chemical fertilizers, machinery, and other production factors per unit area of cultivated land, along with high crop yields and output value. Conversely, in the lower reaches, the lower input of production factors per unit area results in slightly reduced output, leading to relatively low LUI. Soil quality is critically low; with the exception of available potassium, the overall soil nutrient content in the Tarim River Basin is generally deficient [46]. The high-intensity use of cultivated land exacerbates soil nutrient depletion. Environmental changes, such as wind and water erosion, along with agronomic practices, significantly affect soil quality dynamics. Mismatches in the irrigation and drainage infrastructure, irrational irrigation practices, and human-induced imbalances between irrigation and drainage systems, compounded by intense evaporation, have resulted in severe soil salinization throughout the Tarim River Basin. The over-extraction of ecological water for industrial and agricultural purposes, combined with the uncontrolled development of marginal lands, has led to significant desertification, further contributing to low soil quality. The water resource system similarly underperforms. The Tarim River Basin faces persistent challenges in water resource utilization. The aggressive expansion of cultivated land and the irrational development and exploitation of water resources have resulted in a marked increase in water demand over the past two decades, intensifying conflicts related to water resource utilization and exacerbating ecological degradation, ultimately causing chronic shortages of irrigation water for agriculture [47]. In comparison to other regions, the lower Kaidu–Peacock River Basin benefits from a consistent supply of water from Bosten Lake, along with improved cropping practices and the establishment of water-saving facilities, thereby effectively balancing water use conflicts.
5.2. Evaluation of Sustainable Utilization of Cultivated Land
The cultivated land utilization system is a complex compound system defined by its distinct boundaries, structure, and functions (Figure 10). In the conceptual model of this system, the boundaries are framed within a bilateral context. The structure comprises cultivated land use and management activities, cultivated land resources, and production, with these elements exerting mutual influence. The functions of the cultivated land utilization system can be classified into two categories: inputs and outputs. Inputs encompass external contributions and influences, whereas outputs include agricultural products and non-products. Ultimately, the boundaries and structure of the cultivated land utilization system determine its functions.
Figure 10.
The conceptual model of the cultivated land utilization system. Note: The conceptual model of the cultivated land utilization system refers to Land Resources, edited by Liu Liming [24].
The sustainable utilization of cultivated land necessitates a reduction in ecological costs and an enhancement in environmental sustainability, all while maintaining and improving the functionality of the land. Factors influencing sustainable land utilization may originate from both within and outside the boundaries of the cultivated land utilization system [48,49]. Consequently, assessing levels of sustainable utilization requires the establishment of a comprehensive evaluation framework that transcends the boundaries of the cultivated land utilization system and encompasses its structure and functions. This study presents a comprehensive evaluation framework for sustainable cultivated land utilization in the Tarim River Basin, integrating climate, Land Utilization Intensity (LUI), soil quality, and water resources. The evaluation index system includes external inputs, external influences, agricultural product outputs, and internal structural factors of the cultivated land utilization system (Figure 1, Table 1).
A strong evaluation system for the sustainable utilization of cultivated land is an important basis for the high-quality evaluation and presentation of the level of the sustainable utilization of cultivated land and its spatial differentiation pattern. For a long time, the sustainable utilization of cultivated land has widely been a concern in academic circles, and the research has a strong objective or its own horizon [50,51]. However, these studies still have some shortcomings from the perspective of the conceptual model of the cultivated land utilization system [52,53,54]. For example, compared with the study on cultivated land quality and cultivated land ecological evaluation [53,54,55,56], the sustainable evaluation framework considers the out-of-bounds functions of the cultivated land utilization system. In contrast to the study of cultivated land function [57,58,59,60,61], the evaluation index system for the sustainable utilization of cultivated land in this study includes external input and external influence indexes outside the cultivated land utilization system, as well as the cultivated land use and management activities and cultivated land resources indexes within the cultivated land utilization system. In recent years, research on the sustainable intensification of cultivated land use has become increasingly active, and its evaluation has focused on external inputs to the cultivated land utilization system and the output of cultivated land products/non-products [13] while ignoring external influences. Cultivated land use and management activities are also important aspects of cultivated land utilization system input. Previous studies have shown that the Tarim River Basin is an arid area that is extremely sensitive to climate change [62,63,64], and both climate and agricultural irrigation systems have a great impact on cultivated land utilization systems, which should be considered in evaluating the sustainability level of cultivated land (Table 1).
5.3. Evaluation Accuracy
The modifiable areal unit problem (MAUP) is a prevalent issue in geospatial analysis. Hellsten et al. evaluated the spatial distribution patterns of ammonia emissions across various spatial aggregation units using agricultural survey data from England, estimating the impact of the MAUP on both the spatial distribution and quantity of ammonia emissions [65]. Chen Jiang-ping et al. investigated the MAUP effect using spatial autocorrelation analysis, employing network simulation data and China’s per capita GDP, and proposed a geostatistical interpolation method to mitigate the MAUP’s influence [66]. Zhao et al. assessed cultivated land quality within the context of the ecological environment, employing multiple spatial interpolation methods to present the spatial quality of cultivated land and evaluating the results to identify the optimal method. These studies suggest that the MAUP effect in geospatial statistical analysis can be effectively addressed by integrating different spatial interpolation methods at specific spatial units or appropriate scales [67]. In this study, various spatial interpolation methods were utilized to predict and simulate the environmental system and sustainable utilization levels of cultivated land in the Tarim River Basin, employing cross-validation to verify and evaluate the results. Consistent with the research approach of Wang Shibo et al. [68], this study also considered the smoothing effects of different spatial interpolation methods (Figure 3) to comprehensively assess interpolation quality. Ultimately, the inverse distance weighting (IDW) method was selected as the spatial prediction and simulation technique for the environmental system and sustainable utilization levels of cultivated land. Furthermore, this study evaluated the accuracy of land sustainability zoning based on spatial prediction and simulation. By comparing grain and cotton yields across different zones, we found that land sustainability levels and crop yields changed in the same direction, further demonstrating the high quality of spatial predictions and simulations based on IDW and validating the appropriateness of spatial zoning for land sustainability.
5.4. Control Measures to Improve the Sustainable Utilization Level of Cultivated Land
Based on the current challenges faced by the environmental system in the Tarim River Basin and the influence of various environmental systems and their sub-indicators on the sustainable utilization levels of cultivated land, it is evident that the first and second levels of sustainable utilization are primarily influenced by the utilization and management of cultivated land and the soil quality system. In contrast, the third and fourth levels are mainly affected by climate, along with the utilization and management of cultivated land and the soil quality system. The fifth level is influenced by climate, cultivated land utilization and management, the soil quality system, and the water resource system. This paper proposes three regulatory modes for managing the sustainable utilization levels of cultivated land: “suitable for consolidation”, “suitable for rest”, and “suitable for planting” (Figure 11). Within this framework, the primary measures aim to enhance the leading mechanisms for sustainable utilization, while the secondary measures serve to complement and refine these efforts. The specific measures are outlined as follows:
Figure 11.
Regulation system of sustainable utilization of cultivated land in Tarim River Basin. Grade I to Grade V represent different levels of sustainable land use zoning for cultivated land.
- (1)
- Appropriate Integration: Continue the construction of high-standard cultivated land and establish a windbreak system that integrates shrub and tree forests to mitigate wind erosion and evaporation. Consolidate fragmented plots to enable large-scale operations and enhance agricultural production efficiency. Conduct soil testing and implement targeted fertilization to improve the fertility of over-exploited cultivated land, as well as to rehabilitate saline–alkali and desertified areas. Promote the recycling of plastic film to prevent environmental pollution. Further advance the development of efficient, water-saving irrigation practices, upgrade irrigation and drainage infrastructure, and strictly regulate groundwater extraction. Establish a scientific management system and mechanisms for water resource utilization in river basins that harmonize production, livelihoods, and ecological sustainability.
- (2)
- Appropriate Rest: Scientifically determine the optimal scale of oasis cultivated land and revert areas in the transitional zone between desert oases and cultivated land, particularly near the main river channels, to forest, grassland, and water. Reserve cultivated land that displays poor soil quality, limited potential for improvement, a detrimental natural environment, significant depletion of soil fertility, and severe imbalances in water resource supply. Implement scientific strategies to reallocate or reduce cultivated land that excessively relies on groundwater irrigation and exhibits low agricultural economic returns and ecological efficiency.
- (3)
- Suitable Planting: Enhance the suitability of agricultural practices by developing specialized agriculture that aligns with the natural environmental context, emphasizing the cultivation of drought-resistant and salt–alkali-tolerant crops. Implement scientific applications of chemical fertilizers, increase the use of organic fertilizers, and reduce excessive reliance on chemical inputs. Regulate total agricultural water consumption, improve the efficiency of water resource utilization, and allocate land based on water availability while promoting agricultural development in accordance with water quantity.
6. Conclusions
This study analyzes the spatial differentiation characteristics and driving mechanisms of sustainable cultivated land use in the Tarim River Basin and proposes control measures to enhance the level of sustainable utilization based on zoning. The main conclusions are as follows:
- (1)
- The sustainable utilization level of cultivated land in the Tarim River Basin is above the mid-level, with an average index of 0.581 (the theoretical maximum is 1). This level exhibits significant spatial heterogeneity and shows “U-shaped” variation from upstream to downstream. The Kashgar River–Yarkant River Basin has the highest utilization level, followed by the Hotan River Basin and the Kaidu–Peacock River Basin, while the mainstream area in the Tarim River Basin has the lowest. Based on the sustainable utilization levels of cultivated land, the entire basin is classified into five grades, ranging from I to V.
- (2)
- The influence of the cultivated land environmental system on the sustainable utilization of cultivated land follows a mechanism of interaction and infiltration characterized by response differences and spatial differentiation. Cultivated land utilization and management exert the most significant impact on the sustainable utilization level of cultivated land, followed by soil quality and water resource systems, while the climate system has the least influence. The degree of influence of each system exhibits inverted “U”, inverted “N”, “U”, and “W” patterns, respectively, from the upper reaches to the lower reaches of the Tarim River Basin.
- (3)
- As the integrated mechanisms of the regional cultivated land environmental system and its sub-indices become increasingly complex, the sensitivity and vulnerability of the cultivated land system increase, potentially leading to a decline in sustainable utilization levels.
- (4)
- The operation of the cultivated land environmental system faces practical challenges at various levels of sustainable utilization, and the dominant mechanisms influencing this sustainability vary in both mode and degree. In response, this study proposes regulatory measures for the sustainable utilization of cultivated land based on models of “appropriate consolidation”, “appropriate rest”, and “appropriate planting”.
The study of the sustainable utilization of cultivated land in arid inland river basins is essential for promoting regional ecosystem stability, optimizing water resource management, enhancing agricultural productivity, ensuring food security, driving socioeconomic development, and addressing climate change. Implementing measures based on zonal regulation can facilitate the rational allocation of cultivated land resources and their long-term sustainable use, thereby supporting sustainable development in both inland river basins and the broader arid region.
This study enhances theories related to the sustainable utilization and transformation of cultivated land, providing both theoretical and practical insights for the formulation and optimization of cultivated land utilization policies, particularly in arid inland river basins. The Tarim River Basin is a critical area for ecological protection and restoration, where agriculture serves as a pillar industry, resulting in inherent conflicts between ecosystems and agricultural systems in the allocation and utilization of natural resources. In the future, focusing on the cultivated land system will clarify the integration of agricultural and ecological systems. Understanding potential mechanisms for the coordinated use of natural resources, particularly water resources, in harmony with ecosystems is crucial for promoting the sustainable development of watersheds.
Supplementary Materials
The following supporting information can be downloaded at https://www.mdpi.com/article/10.3390/land13122122/s1.
Author Contributions
Y.S.: Conceptualization, methodology, software, validation, formal analysis, resources, data curation, writing—original draft preparation, writing—review and editing, visualization, supervision, and project administration; W.L.: conceptualization, validation, formal analysis, resources, data curation, writing—review and editing, supervision, project administration, and funding acquisition; H.X.: methodology, formal analysis, writing—original draft preparation, and writing—review and editing. All authors have read and agreed to the published version of the manuscript.
Funding
This research received no external funding.
Data Availability Statement
All data are presented in the manuscript and its Supplementary Materials.
Conflicts of Interest
The authors declare no conflicts of interest.
References
- Liu, T.; Chen, M. The Status-quo and improvement path for the implementation of cultivated land protection policy in China. Chin. Land Sci. 2020, 34, 32–37+47. (In Chinese) [Google Scholar]
- Han, Y. The policy evolution, vision goal and realization path of China’s cultivated land protection and utilization. Manag. World 2022, 38, 121–131. (In Chinese) [Google Scholar]
- Li, G.; Qiu, D.; Wang, P. Advances in researches on mechanism construction of farmland protection in China. Prog. Phys. Geogr. 2011, 30, 282–289. (In Chinese) [Google Scholar]
- Kumar, S.; Craufurd, P.; Haileslassie, A.; Ramilan, T.; Rathore, A.; Whitbread, A. Farm Typology Analysis and Technology Assessment: An Application in an Arid Region of South Asia. Land Use Policy 2019, 88, 104149. [Google Scholar] [CrossRef]
- Kuang, W.; Liu, J.; Tian, H.; Shi, H.; Dong, J.; Song, C.; Li, X.; Du, G.; Hou, Y.; Lu, D.; et al. Cropland redistribution to marginal lands undermines environmental sustainability. Natl. Sci. Rev. 2022, 9, nwab091. [Google Scholar] [CrossRef] [PubMed]
- Karen, C.; Seto, B.P. Urban land use: Central to building a sustainable future. One Earth 2019, 1, 168–170. [Google Scholar]
- Elizabeth, F.; Pienaar, E.C.; Rubino, M.; Saayman, P.M. Attaining sustainable use on private game ranching lands in South Africa. Land Use Policy 2017, 65, 176–185. [Google Scholar]
- Basso, B.; Antle, J. Digital agriculture to design sustainable agricultural systems. Nat. Sustain. 2020, 3, 254–256. [Google Scholar] [CrossRef]
- Lyu, X.; Sun, X.; Peng, W.; Niu, S. Spatial-temporal differentiation of sustainable intensification of cultivated land use in Shenyang City based on emergy analysis. Chin. Geogr. Sci. 2022, 36, 79–89. (In Chinese) [Google Scholar]
- Zhou, L.; Shi, Y.; Cao, X. Evaluation of Land Intensive Use in Shanghai Pilot Free Trade Zone. Land 2019, 8, 87. [Google Scholar] [CrossRef]
- Guo, Y.; Liu, Y.; Li, R.; Li, Y.; Wang, J. TIC-driven sustainable land use mode in the Loess Plateau: A case study of gully land consolidation project in Yan’an City, China. Land Use Policy 2024, 140, 107107. [Google Scholar] [CrossRef]
- Shi, Y.; Duan, W.; Fleskens, L.; Li, M.; Hao, J. Study on Evaluation of Regional Cultivated Land Quality Based on Resource-Asset-Capital Attributes and Its Spatial Mechanism. Appl. Geogr. 2020, 125, 102284. [Google Scholar] [CrossRef]
- Wen, G.; Liu, M.; Hu, X.; Zhao, J. Spatial correlation and spatial effect of cultivated land use ecological efficiency in the Dongting Lake Plain. Sci. Geol. Sin. 2022, 42, 1102–1112. (In Chinese) [Google Scholar]
- Wang, M.; Huang, X. Inhibit or Promote: Spatial Impacts of Multifunctional Farmland Use Transition on Grain Production from the Perspective of Major Function-Oriented Zoning. Habitat Int. 2024, 152, 103172. [Google Scholar] [CrossRef]
- Peng, H.; Zhang, X.; Ren, W.; He, J. Spatial Pattern and Driving Factors of Cropland Ecosystem Services in a Major Grain-Producing Region: A Production-Living-Ecology Perspective. Ecol. Indic. 2023, 155, 111024. [Google Scholar] [CrossRef]
- Zhong, X.; Li, H.; Guo, D. Study on the accounting path of economic value of cultivated land resource assets based on capacity theory: A case study of Jiangxi Province. Chin. Land Sci. 2022, 36, 88–96. (In Chinese) [Google Scholar]
- Alignier, A.; Carof, M.; Aviron, S. Assessing cropping system multifunctionality: An analysis of trade-offs and synergies in French cereal fields. Agric. Syst. 2024, 221, 104100. [Google Scholar] [CrossRef]
- Liu, M.; Zhang, A.; Wen, G. Regional differences and spatial convergence in the ecological efficiency of cultivated land use in the main grain producing areas in the Yangtze Region. J. Nat. Resour. 2022, 37, 477–493. (In Chinese) [Google Scholar] [CrossRef]
- Briz-Redón, Á. A Bayesian shared-effects modeling framework to quantify the modifiable areal unit problem. Spat. Stat. 2022, 51, 100689. [Google Scholar] [CrossRef]
- Wu, Y.; Wu, Y.; Li, C.; Gao, B.; Zheng, K.; Li, C. Multi-scale spatial differentiation and geographic detection response of ecosystem service value in Sichuan Yunnan ecological barrier based on the modifiable areal unit problem. Int. Soil Water Conserv. Res. 2023, 30, 333–342. (In Chinese) [Google Scholar]
- Chen, Y.; Wumaierjiang, W.; Aikeremu, A.; Cheng, Y. Monitoring and analysis of ecological benefits of water conveyance in the lower reaches of Tarim River in recent 20 years. J. Arid Land 2021, 44, 605–611. (In Chinese) [Google Scholar]
- Kanter, D.R.; Musumba, M.; Wood, S.L.R.; Palm, C.; Antle, J.; Balvanera, P.; Dale, V.H.; Havlik, P.; Kline, K.L.; Scholes, R.J.; et al. Evaluating Agricultural Trade-Offs in the Age of Sustainable Development. Agric. Syst. 2018, 163, 73–88. [Google Scholar] [CrossRef]
- Liu, Y.; Liu, Y.; Ou, C. Scientific Cognition and Detection Methods of Modern Human-Earth System. Chin. Sci. Bull. 2024, 69, 447–463. [Google Scholar] [CrossRef]
- Liu, L. The Discipline of Land Resources, 5th ed.; China Agricultural University Press: Beijing, China, 2010; pp. 188–206. (In Chinese) [Google Scholar]
- Chen, Y.; Hao, X.; Chen, Y.; Zhu, C. Study on water system connectivity and ecological protection countermeasures of Tarim River Basin in Xinjiang. Bull. Chin. Acad. Sci. 2019, 34, 1156–1164. (In Chinese) [Google Scholar]
- Liu, X.; Cai, Z.; Xu, Y.; Zheng, H.; Wang, K. Suitability evaluation of cultivated land reserved resources in arid areas based on regional water balance. Water Resour. Manag. 2022, 36, 1463–1479. [Google Scholar] [CrossRef]
- Leyrer, V.; Patulla, M.; Hartung, J.; Marhan, S.; Poll, C. Long-term manipulation of mean climatic conditions alters drought effects on C-and N-cycling in an arable soil. Glob. Chang. Biol. 2022, 28, 3974–3990. [Google Scholar] [CrossRef]
- Lu, J.; Carbone, G.J.; Gao, P. Mapping the Agricultural Drought Based on the Long-Term AVHRR NDVI and North American Regional Reanalysis (NARR) in the United States, 1981–2013. Appl. Geogr. 2019, 104, 10–20. [Google Scholar] [CrossRef]
- Ustaoglu, E.; Aydınoglu, A.C. Regional Variations of Land-Use Development and Land-Use/Cover Change Dynamics: A Case Study of Turkey. Remote Sens. 2019, 11, 885. [Google Scholar] [CrossRef]
- Chang, C.; Bao, A.; Li, J. Spatiotemporal Evolution of Cultivated Land in the Headwaters of the Tarim River. Arid Zone Res. 2016, 33, 239–245. (In Chinese) [Google Scholar]
- Fang, G.; Chen, Y.; Li, Z. Variation in agricultural water demand and its attributions in the arid Tarim River Basin. J. Agric. Sci. 2018, 156, 301–311. [Google Scholar] [CrossRef]
- Zhao, W.; Li, J.; Yang, R.; Li, Y. Yields and water-saving effects of crops as affected by variable rate irrigation management based on soil water spatial variation. Trans. Chin. Soc. Agric. Eng. 2017, 33, 1–7. (In Chinese) [Google Scholar]
- Bai, J.; Peng, J.; Bai, Z.; Wang, J.; Wu, J. Clarifying spatial-temporal variability of surface soil salinization in arid cotton fields. Chin. Soil Sci. 2021, 52, 527–534. (In Chinese) [Google Scholar]
- Ye, S.; Song, C.; Shen, S.; Gao, P.; Cheng, C.; Cheng, F.; Wan, C.; Zhu, D. Spatial pattern of arable land-use intensity in China. Land Use Policy 2020, 99, 104845. [Google Scholar] [CrossRef]
- Ren, L.; Vanden Nest, T.; Ruysschaert, G.; D’Hose, T.; Cornelis, W.M. Short-term effects of cover crops and tillage methods on soil physical properties and maize growth in a sandy loam soil. Soil Tillage Res. 2019, 192, 76–86. [Google Scholar] [CrossRef]
- Dong, L.; Li, G.; Yan, L.; Liu, Q.; Yan, Z.; Luo, Z. Reponses of spring wheat yield to temperature variations with different tillage measures in dryland. Agric. Res. 2015, 33, 56–61. (In Chinese) [Google Scholar]
- Pan, L.; Li, R.; Zhang, Y.; Li, Q.; Gao, J.; Yuan, J. Effects of straw mulching on soil ecological stoichiometric characteristics and yield of sloping cropland in southwestern karst area. Acta Ecol. Sin. 2022, 42, 4428–4438. (In Chinese) [Google Scholar]
- Qian, F.; Zhang, X.; Zhang, J.; Sun, F. Trinity protection and evaluation of farmland ecosystem in the Central Plain of Liaoning, Northeast China. J. Eco-Friendly Agric. 2022, 30, 126–137. (In Chinese) [Google Scholar]
- Qian, F.; Jiao, S.; Yu, Y.; Wang, X.; Shao, T. Cultivated Land Quality Assessment and Obstacle Factors Diagnosis in Changtu County, Northeast China. Land Degrad. Dev. 2024, 35, 5065–5077. [Google Scholar] [CrossRef]
- Cui, Y.; Yang, S.; Zhang, P.; Yu, D. Study on the Classification Method of Construction Land in the Context of Urban-Rural Integration. Chin. Land Sci. 2021, 35, 35–43. (In Chinese) [Google Scholar]
- He, L.; Min, Q.; Zhang, D. Evaluation models for multifunctionality of agriculture and their applications: A case study on Qingtian County in Zhejiang Province, China. Resour. Sci. 2010, 32, 1057–1064. (In Chinese) [Google Scholar]
- Nuyts, S.; Duarte de Paula Costa, M.; Macreadie, P.I.; Trevathan-Tackett, S.M. A Decision Support Tool to Help Identify Blue Carbon Sites for Restoration. J. Environ. Manag. 2024, 367, 122006. [Google Scholar] [CrossRef] [PubMed]
- Chen, Y.; Li, W.; Chen, Y.; Zhao, R.; Wan, J. Ecological response and ecological regeneration of transfusing stream water along the dried-up watercourse in the lower reaches of the Tarim River Xinjiang. Arid Zone Res. 2006, 23, 521–530. (In Chinese) [Google Scholar]
- Duan, Z.; Zubaidai, M.; Xia, J.; Liu, R. Water consumption characteristics and evolution in aksu oasis under climate variations and land-use changes. J. Basic Sci. Eng. 2018, 26, 1203–1216. (In Chinese) [Google Scholar]
- Kuerban, A.; Shabiti, M.; Zhao, J.; Yisake, A. The characteristics of climate change and its influence on the agricultural production in Aksu river basin. Acta Sci. Nat. Univ. Sunyatseni 2021, 60, 102–109. (In Chinese) [Google Scholar]
- Chakraborty, S.; Das, S. k−Means Clustering with a New Divergence-Based Distance Metric: Convergence and Performance Analysis. Pattern Recognit. Lett. 2017, 100, 67–73. [Google Scholar] [CrossRef]
- Qi, X.; Feng, K.; Sun, L.; Zhao, D.; Huang, X.; Zhang, D.; Liu, Z.; Baiocchi, G. Rising agricultural water scarcity in China is driven by expansion of irrigated cropland in water scarce regions. One Earth 2022, 5, 1139–1152. [Google Scholar] [CrossRef]
- Sui, H.; Song, G.; Gao, J. Spatio-temporal differentiation of cultivated land ecological degradation in typical black soil regions of Northeast China: A case study of Fujin city. Nat. Resour. 2022, 37, 2277–2291. (In Chinese) [Google Scholar] [CrossRef]
- Liu, Z.; Jiao, L.; Lian, X. Effects of climate change and cultivated land use change on climatic potential productivity of cultivated land in China from 1995 to 2020. Chin. Land Sci. 2022, 36, 62–73. (In Chinese) [Google Scholar]
- Dong, X.; Pan, C.; Liu, Q.; Liu, W. Evaluation of Improvement Potential for Cultivated Land Utilization Quality Grade in Shenyang. Chin. Soil Sci. 2022, 53, 787–794. (In Chinese) [Google Scholar]
- Qian, F.; Chi, Y.; Lal, R. Spatiotemporal characteristics analysis of multifunctional cultivated land: A case study in Shenyang, Northeast China. Land Degrad. Dev. 2020, 31, 1812–1822. [Google Scholar] [CrossRef]
- Keesstra, S.; Bouma, J.; Jongejans, N. The Role of Soil in Sustainable Land Management: A Review. J. Soil Water Conserv. 2016, 71, 135A–143A. [Google Scholar]
- Zhang, X.; Wang, Z.; Liu, J. Sustainable Land Use and Management: A Systematic Review of the Literature. Land Use Policy 2017, 66, 134–146. [Google Scholar]
- Pimentel, D.; Pimentel, M. Sustainability of Meat-Based and Plant-Based Diets and the Environment. Nutr. Food Sci. 2018, 48, 173–189. [Google Scholar] [CrossRef]
- Chen, Z.; Gong, A.; Zhang, L.; Wang, J.; Xiang, B.; Ning, D. Construction of the quality regulation system for provincial scale slope farmland based on quality evaluation. Trans. Chin. Soc. Agric. Eng. 2021, 37, 136–145. (In Chinese) [Google Scholar]
- Lv, Y.; Xie, L.; Sun, H.; Gu, W. Criterion selection in assessment of soil heavy metal pollution in farmland on county scale. China Environ. Sci. 2019, 39, 4743–4751. (In Chinese) [Google Scholar]
- Zhu, Q.; Hu, W.; Zhao, Z. Dynamic analysis on spatial-temporal pattern of trade-offs and synergies of multifunctional cultivated land—Evidence from Hubei Province. Econ. Geogr. 2018, 38, 143–153. (In Chinese) [Google Scholar]
- DeFries, R.; Eshleman, K.N. Land-Use Change and Hydrological Processes: A Review of the Evidence. Hydrol. Process. 2017, 31, 2639–2650. [Google Scholar]
- Liu, J.; Yang, H. Sustainable Agricultural Land Use Patterns and Their Influence on Food Security. Environ. Sci. Policy 2019, 92, 97–108. [Google Scholar]
- Pretty, J.; Bharucha, Z.P. Sustainable Intensification in Agricultural Systems. Nat. Sustain. 2018, 1, 283–294. [Google Scholar] [CrossRef]
- Hossain, M.B.; Ahsan, M. Impact of Climate Change on Sustainable Land Management in Agricultural Practices: A Review. Sustainability 2020, 12, 101. [Google Scholar]
- Chen, Y.; Li, Y.; Li, Z.; Liu, Y.; Huang, W.; Liu, X.; Feng, M. Analysis of the impact of global climate change on dryland areas. Adv. Earth Sci. 2022, 37, 111–119. (In Chinese) [Google Scholar]
- Veldkamp, A.; Fresco, L.O. Land Use and Land Cover Change: Lessons Learned from Research and Policy Practices. Glob. Environ. Chang. 2019, 53, 1–3. [Google Scholar]
- Zhang, Y.; Li, H.; Zhang, Y. Effects of Agricultural Practices on Soil Health and Sustainability: A Review. Agric. Ecosyst. Environ. 2020, 290, 106780. [Google Scholar]
- Hellsten, S.; Dragosits, U.; Place, C.J.; Dore, A.J.; Tang, Y.S.; Sutton, M.A. Uncertainties and implications of applying aggregated data for spatial modelling of atmospheric ammonia emissions. Environ. Pollut. 2018, 240, 412–421. [Google Scholar] [CrossRef] [PubMed]
- Chen, J.; Zhang, Y.; Yu, Y. Effect of MAUP in spatial autocorrelation. Acta Geogr. Sin. 2011, 66, 1597–1606. (In Chinese) [Google Scholar]
- Zhao, C.; Zhou, Y.; Jiang, J.; Xiao, P.; Wu, H. Spatial characteristics of cultivated land quality accounting for ecological environmental condition: A case study in hilly area of northern Hubei province, China. Sci. Total Environ. 2021, 774, 145765. [Google Scholar] [CrossRef]
- Wang, S.; Wang, Y. Comparative research on typical spatial interpolation methods for cancer data in small regions. Geogr. Res. 2021, 40, 2102–2118. (In Chinese) [Google Scholar]
Disclaimer/Publisher’s Note: The statements, opinions and data contained in all publications are solely those of the individual author(s) and contributor(s) and not of MDPI and/or the editor(s). MDPI and/or the editor(s) disclaim responsibility for any injury to people or property resulting from any ideas, methods, instructions or products referred to in the content. |
© 2024 by the authors. Licensee MDPI, Basel, Switzerland. This article is an open access article distributed under the terms and conditions of the Creative Commons Attribution (CC BY) license (https://creativecommons.org/licenses/by/4.0/).










