Landscape Implications of Contemporary Abandonment of Extensive Sheep Grazing in a Globally Important Agricultural Heritage System
Abstract
1. Introduction
2. Materials and Methods
2.1. Study Sites
2.2. Materials
2.2.1. Satellite Imagery and Orthophotography
2.2.2. Merino Passes and Interviews
2.3. Methods
2.3.1. Land Cover Classifications
2.3.2. Landscape Variables
3. Results
3.1. Use of Merino Passes by Sheep
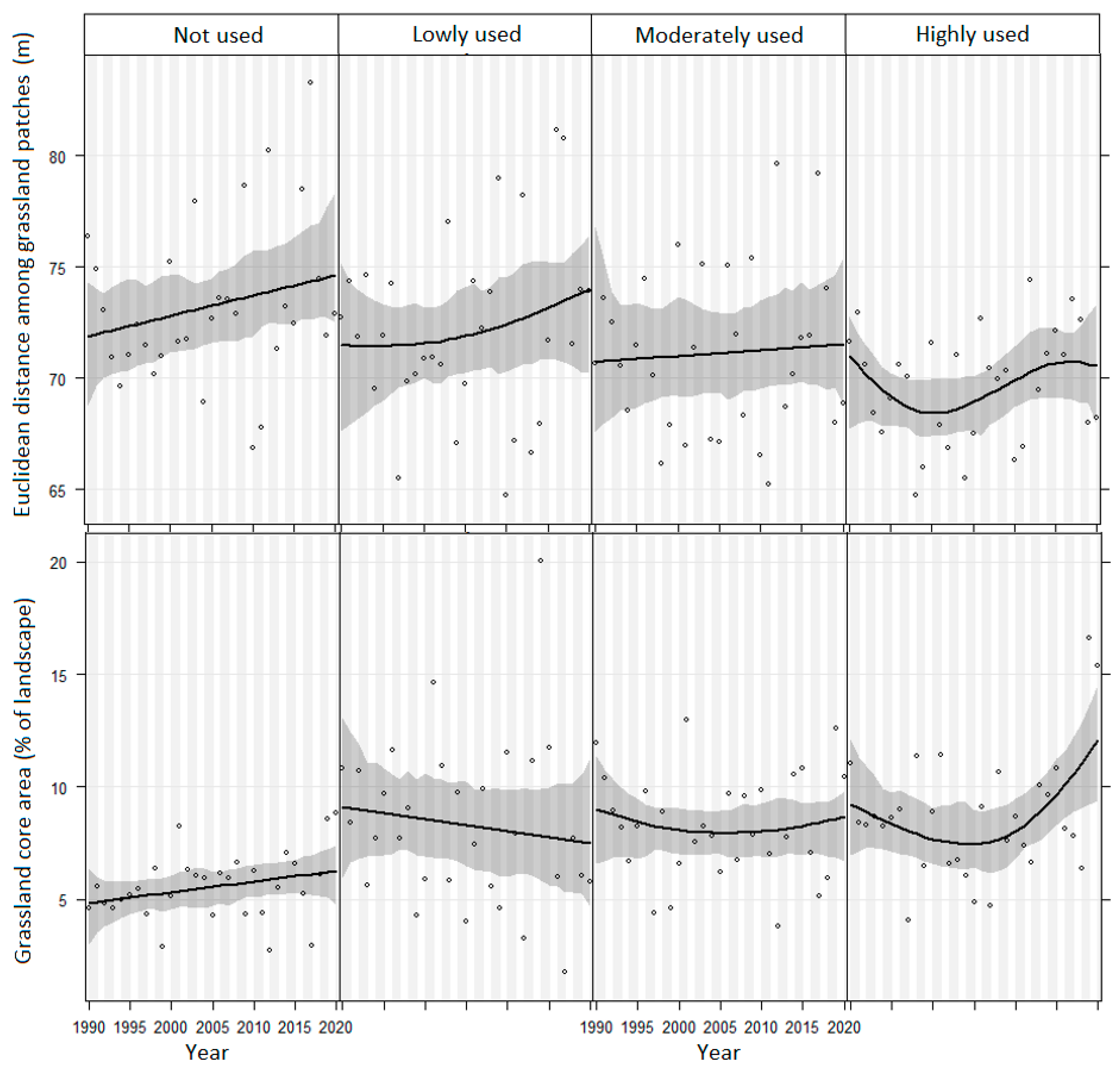
3.2. Landscape Shifts in Relation to the Use by Merino Sheep
4. Discussion
5. Conclusions
Author Contributions
Funding
Data Availability Statement
Acknowledgments
Conflicts of Interest
Appendix A
| Not Used | Lowly Used | Moderately Used | Highly Used | |||||
|---|---|---|---|---|---|---|---|---|
| Trend | p | Trend | p | Trend | p | Trend | p | |
| Forest | −0.02 | 0.89 | 0.01 | 1.00 | −0.10 | 0.41 | −0.04 | 0.78 |
| Shrubland | 0.05 | 0.68 | 0.03 | 0.82 | 0.09 | 0.30 | 0.07 | 0.52 |
| Grassland | 0.12 | 0.28 | −0.01 | 1.00 | 0.08 | 0.65 | 0.01 | 0.89 |
| Unproductive | −0.16 | 0.00 | −0.06 | 0.04 | −0.10 | 0.01 | −0.21 | 0.01 |
| Not Used | Lowly Used | Moderately Used | Highly Used | |||||
|---|---|---|---|---|---|---|---|---|
| Trend | p | Trend | p | Trend | p | Trend | p | |
| Shannon | −0.001 | 0.06 | −0.001 | 0.50 | 0.001 | 0.23 | 0.000 | 0.38 |
| Simpson | −0.001 | 0.08 | 0.000 | 0.89 | 0.000 | 0.63 | 0.000 | 0.29 |
| Not Used | Lowly Used | Moderately Used | Highly Used | |||||
|---|---|---|---|---|---|---|---|---|
| Trend | p | Trend | p | Trend | p | Trend | p | |
| Euclidean distance | 0.07 | 0.21 | 0.07 | 0.54 | 0.01 | 0.92 | 0.03 | 0.50 |
| Core area | 0.06 | 0.07 | −0.08 | 0.32 | −0.02 | 0.79 | 0.03 | 0.63 |
References
- Llorent-Bedmar, V.; Cobano-Delgado Palma, V.C.; Navarro-Granados, M. The rural exodus of young people from empty Spain. Socio-educational aspects. J. Rural Stud. 2021, 82, 303–314. [Google Scholar] [CrossRef]
- Nota, G.; Ravetto Enri, S.; Pittarello, M.; Gorlier, A.; Lombardi, G.; Lonati, M. Sheep Grazing and Wildfire. Disturbance Effects on Dry Grassland Vegetation in the Western Italian Alps. Agronomy 2021, 11, 6. [Google Scholar] [CrossRef]
- MacDonald, D.; Crabtree, J.R.; Wiesinger, G.; Dax, T.; Stamou, N.; Fleury, P.; Gutierrez Lazpita, J.; Gibon, A. Agricultural abandonment in mountain areas of Europe: Environmental consequences and policy response. J. Environ. Manag. 2000, 59, 47–69. [Google Scholar] [CrossRef]
- Elias, D.; Tischew, S. Goat pasturing—A biological solution to counteract shrub encroachment on abandoned dry grasslands in Central Europe? Agric. Ecosyst. Environ. 2016, 234, 98–106. [Google Scholar] [CrossRef]
- Alkemade, R.; Reid, R.S.; van den Berg, M.; de Leeuw, J.; Jeuken, M. Assessing the impacts of livestock production on biodiversity in rangeland ecosystems. PNAS 2013, 110, 20900–20905. [Google Scholar] [CrossRef] [PubMed]
- Bengtsson, J.; Bullock, J.M.; Egoh, B.; Everson, C.; Everson, T.; O’Connor, T.; O’Farrell, P.J.; Smith, H.G.; Lindborg, R. Grasslands-more important for ecosystem services than you might think. Ecosphere 2019, 10, e02582. [Google Scholar] [CrossRef]
- Ezquerra, F.J. Influencias antrópicas en la evolución de la vegetación en la Montaña Cantábrica: Del Postglaciar al Neolítico. In Proceedings of the Actas del IV Congreso Forestal Español, Zaragoza, Spain, 26 September 2005. [Google Scholar]
- San Miguel, A.; Perea, R. Los pastos de puertos cantábricos y su conservación. In Situación y Conservación De La Liebre De Piornal En La Cordillera Cantábrica; Ballesteros, F., Palacios, B., Eds.; Ministerio de Medio Ambiente y Medio Rural y Marino: Madrid, Spain, 2009; pp. 103–128. [Google Scholar]
- Rodríguez Pascual, M. La Trashumancia. Cultura, Cañadas y Viajes, 4th ed.; Edilesa: León, Spain, 2004. [Google Scholar]
- Moran-Ordoñez, A.; Bugter, R.; Suárez-Seoane, S.; de Luis, E.; Calvo, L. Temporal changes in socio-ecological systems and their impact on ecosystem services at different governance scales: A case study of heathlands. Ecosystems 2013, 16, 765–782. [Google Scholar] [CrossRef]
- Guadilla-Sáez, S.; Pardo-de-Santayana, M.; Reyes-García, V. The role of traditional management practices in shaping a diverse habitat mosaic in a mountain region of Northern Spain. Land Use Policy 2019, 89, 104235. [Google Scholar] [CrossRef]
- Ezquerra Boticario, F.J. Caracterización y Gestión De Los Puertos Pirenaicos De La Provincia de León; Technical report of the Territorial Section for the Environment of the Junta de Castilla y León LE-176-01; Junta de Castilla y León: León, Spain, 2006. [Google Scholar]
- López-Santiago, C.A.; Oteros-Rozas, E.; Martín-López, B.; Plieninger, T.; González Martín, E.; González, J.A. Using visual stimuli to explore the social perceptions of ecosystem services in cultural landscapes: The case of transhumance in Mediterranean Spain. Ecol. Soc. 2014, 19, 27. [Google Scholar] [CrossRef]
- Fernández-Guisuraga, J.M.; Fernández-García, V.; Tárrega, R.; Marcos, E.; Valbuena, L.; Pinto, R.; Monte, P.; Beltrán, D.; Huerta, S.; Calvo, L. Transhumant Sheep Grazing Enhances Ecosystem Multifunctionality in Productive Mountain Grasslands: A Case Study in the Cantabrian Mountains. Front. Ecol. Evol. 2022, 10, 861611. [Google Scholar] [CrossRef]
- Ruiz, M.; and Ruiz, J.P. Ecological history of transhumance in Spain. Biol. Conserv. 1986, 37, 73–86. [Google Scholar] [CrossRef]
- Olea, P.; Mateos-Tomás, P. The role of traditional farming practices in ecosystem conservation: The case of transhumance and vultures. Biol. Conserv. 2009, 142, 1844–1853. [Google Scholar] [CrossRef]
- Aguilera-Alcalá, N.; Arrondo, E.; Pascual-Rico, R.; Morales-Reyes, Z.; Gil-Sánchez, J.M.; Donázar, J.A.; Moleón, M.; Sánchez-Zapata, J.A. The value of transhumance for biodiversity conservation: Vulture foraging in relation to livestock movements. Ambio 2022, 51, 1330–1342. [Google Scholar] [CrossRef] [PubMed]
- FAO. Globally Important Agricultural Heritage Systems. Food and Agriculture Organization of the United Nations. Available online: https://www.fao.org/giahs/giahsaroundtheworld/en/ (accessed on 31 December 2022).
- Bunce, R.G.H.; Pérez-Soba, M.; Elbersen, B.S.; Prados, M.J.; Andersen, E.; Bell, M.; Smeets, P.J.A.M. Examples of European Agri-Environmental Schemes and Livestock Systems and Influence on Spanish Cultural and Landscapes; Alterra: Madrid, Spain, 2000. [Google Scholar]
- Álvarez-Martínez, J.; Gómez-Villar, A.; Lasanta, T. The Use of Goats Grazing to Restore Pastures Invaded by Shrubs and Avoid Desertification: A Preliminary Case Study in the Spanish Cantabrian Mountains. Land Degrad. Dev. 2013, 27, 3–13. [Google Scholar] [CrossRef]
- García-Llamas, P.; Geijzendorffer, I.R.; García-Nieto, A.P.; Calvo, L.; Suárez-Seoane, S. Impact of land cover change on ecosystem service supply in mountain systems: A case study in the Cantabrian Mountains (NW of Spain). Reg. Environ. Chang. 2019, 19, 529–542. [Google Scholar] [CrossRef]
- Moran-Ordoñez, A.; Suárez-Seoane, S.; Calvo, L.; de Luis, E. Using predictive models as a spatially explicit support tool for managing cultural landscapes. Appl. Geogr. 2011, 31, 839–848. [Google Scholar] [CrossRef]
- Cocca, G.; Sturaro, E.; Gallo, L.; Ramanzin, M. Is the abandonment of traditional livestock farming systems the main driver of mountain landscape change in Alpine areas? Land Use Policy 2012, 29, 878–886. [Google Scholar] [CrossRef]
- Rivero Ordaz, L.; Calvo Galván, L.; Fernández-García, V. Importance of grazing in the conservation of the traditional landscape of the merino passes in the Cantabrian mountain. Pirineos 2022, 177, e074. [Google Scholar] [CrossRef]
- Fernández-García, V.; Marcos, E.; Fernández-Guisuraga, J.M.; Fernández-Manso, A.; Quintano, C.; Suárez-Seoane, S.; Calvo, L. Multiple Endmember Spectral Mixture Analysis (MESMA) Applied to the Study of Habitat Diversity in the Fine-Grained Landscapes of the Cantabrian Mountains. Remote Sens. 2021, 13, 979. [Google Scholar] [CrossRef]
- Compains Iso, L.; Fernández-Manso, A.; Fernández-García, V. Optimizing Spectral Libraries from Landsat Imagery for the Analysis of Habitat Richness Using MESMA. Forests 2022, 13, 1824. [Google Scholar] [CrossRef]
- McGarigal, K.; Cushman, S.A.; Ene, E. FRAGSTATS v4: Spatial Pattern Analysis Program for Categorical and Continuous Maps; University of Massachusetts: Amherst, MA, USA; Available online: http://www.umass.edu/landeco/research/fragstats/fragstats.html (accessed on 31 December 2022).
- Roy, D.P.; Kovalskyy, V.; Zhang, H.K.; Vermote, E.F.; Yan, L.; Kumar, S.S.; Egorov, A. Characterization of Landsat-7 to Landsat-8 reflective wavelength and normalized difference vegetation index continuity. Remote Sens. Environ. 2016, 185, 57–70. [Google Scholar] [CrossRef] [PubMed]
- Teillet, P.M.; Guindon, B.; Goodenough, D.G. On the Slope-Aspect Correction of Multispectral Scanner Data. Can. J. Remote Sens. 1982, 8, 84–106. [Google Scholar] [CrossRef]
- Schaaf, A.N.; Dennison, P.E.; Fryer, G.K.; Roth, K.L.; Roberts, D.A. Mapping Plant Functional Types at Multiple Spatial Resolutions Using Imaging Spectrometer Data. GIsci. Remote Sens. 2011, 48, 324–344. [Google Scholar] [CrossRef]
- Crabbé, A.H.; Jakimow, B.; Somers, B.; Roberts, D.A.; Halligan, K.; Dennison, P.; Dudley, K. Spectral Library QGIS Plugin (Version 1.0.9). Available online: https://bitbucket.org/kul-reseco/spectral-libraries (accessed on 31 December 2022).
- QGIS Development Team. QGIS Geographic Information System. Open Source Geospatial Foundation Project. (Version 3.14.16). Available online: http://qgis.osgeo.org (accessed on 31 December 2022).
- Crabbé, A.H.; Somers, B.; Roberts, D.A.; Halligan, K.; Dennison, P.; Dudley, K. MESMA QGIS Plugin (Version 1.0.7). Available online: https://bitbucket.org/kul-reseco/mesma (accessed on 31 December 2022).
- Shannon, C.E.; Weaver, W. The Mathematical Theory of Communication; The University of Illinois Press: Champaign, IL, USA, 1949. [Google Scholar]
- Simpson, E.H. Measurement of diversity. Nature 1949, 163, 688. [Google Scholar] [CrossRef]
- R Core Team. R: A Language and Environment for Statistical Computing; R Foundation for Statistical Computing: Vienna, Austria; Available online: https://www.R-project.org/ (accessed on 31 December 2022).
- Carslaw, D.C.; Ropkins, K. openair—An R package for air quality data analysis. Environ. Model. Softw. 2012, 27–28, 52–61. [Google Scholar] [CrossRef]
- Pohlert, T. Trend: Non-Parametric Trend Tests and Change-Point Detection. R package version 1.1.4. 2020. Available online: https://CRAN.R-project.org/package=trend (accessed on 31 December 2022).
- Rodríguez-Pascual, M. Evolución de la Trashumancia Leonesa Durante el Siglo XX y su Adaptación al Siglo XXI. In Un Camino De Ida y Vuelta. La Trashumancia En España; Pastor, E., Portela, N., Eds.; Lunwerg: Barcelona, Spain, 2003; pp. 215–225. [Google Scholar]
- García-Ruiz, J.M.; Tomás-Faci, G.; Diarte-Blasco, P.; Montes, L.; Domingo, R.; Sebastián, M.; Lasanta, T.; González-Samperiz, P.; López-Moreno, J.I.; Arnáez, J.; et al. Transhumance and long-term deforestation in the subalpine belt of the central Spanish Pyrenees: An interdisciplinary approach. Catena 2020, 185, 104744. [Google Scholar] [CrossRef]








Disclaimer/Publisher’s Note: The statements, opinions and data contained in all publications are solely those of the individual author(s) and contributor(s) and not of MDPI and/or the editor(s). MDPI and/or the editor(s) disclaim responsibility for any injury to people or property resulting from any ideas, methods, instructions or products referred to in the content. |
© 2023 by the authors. Licensee MDPI, Basel, Switzerland. This article is an open access article distributed under the terms and conditions of the Creative Commons Attribution (CC BY) license (https://creativecommons.org/licenses/by/4.0/).
Share and Cite
Fernández-García, V.; Calvo, L. Landscape Implications of Contemporary Abandonment of Extensive Sheep Grazing in a Globally Important Agricultural Heritage System. Land 2023, 12, 780. https://doi.org/10.3390/land12040780
Fernández-García V, Calvo L. Landscape Implications of Contemporary Abandonment of Extensive Sheep Grazing in a Globally Important Agricultural Heritage System. Land. 2023; 12(4):780. https://doi.org/10.3390/land12040780
Chicago/Turabian StyleFernández-García, Víctor, and Leonor Calvo. 2023. "Landscape Implications of Contemporary Abandonment of Extensive Sheep Grazing in a Globally Important Agricultural Heritage System" Land 12, no. 4: 780. https://doi.org/10.3390/land12040780
APA StyleFernández-García, V., & Calvo, L. (2023). Landscape Implications of Contemporary Abandonment of Extensive Sheep Grazing in a Globally Important Agricultural Heritage System. Land, 12(4), 780. https://doi.org/10.3390/land12040780
