Are Rain Gardens Resistant to Salinization Stresses? The Consequences of De-Icing Chemicals’ Implementation for Soil Health, Plant Condition, and Groundwater Quality
Abstract
1. Introduction
2. Materials and Methods
2.1. Selecting Materials for Soil Construction
2.2. Hydrophysical Properties of Soil Substrates and Mixtures
2.3. Chemical Properties of Soil Substrates, Mixtures, and Filtrate
2.4. Microbial Properties of Soil Substrates and Mixtures
2.5. Set-Up of the Mesocosm Experiment
2.6. Plant Properties and Condition
2.7. Data Analysis and Modeling
3. Results
3.1. Hydrophysical Properties of Soil Substrates and Mixtures Used in Rain Gardens
3.2. The Effects of Salinization on a Raingarden Ecosystem in the Mesocosm Experiment
3.2.1. The Effect of Salinization on Groundwater Quality
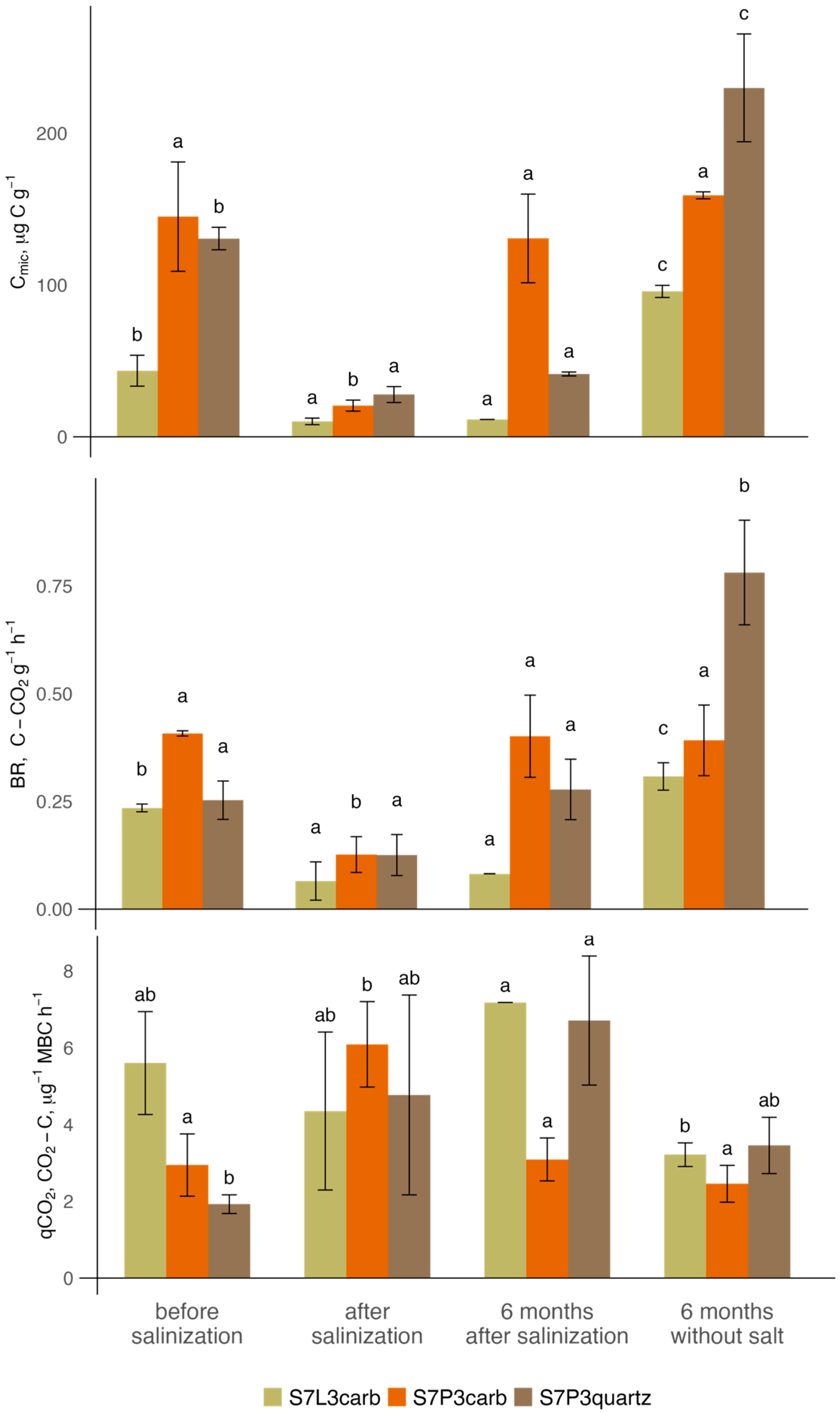
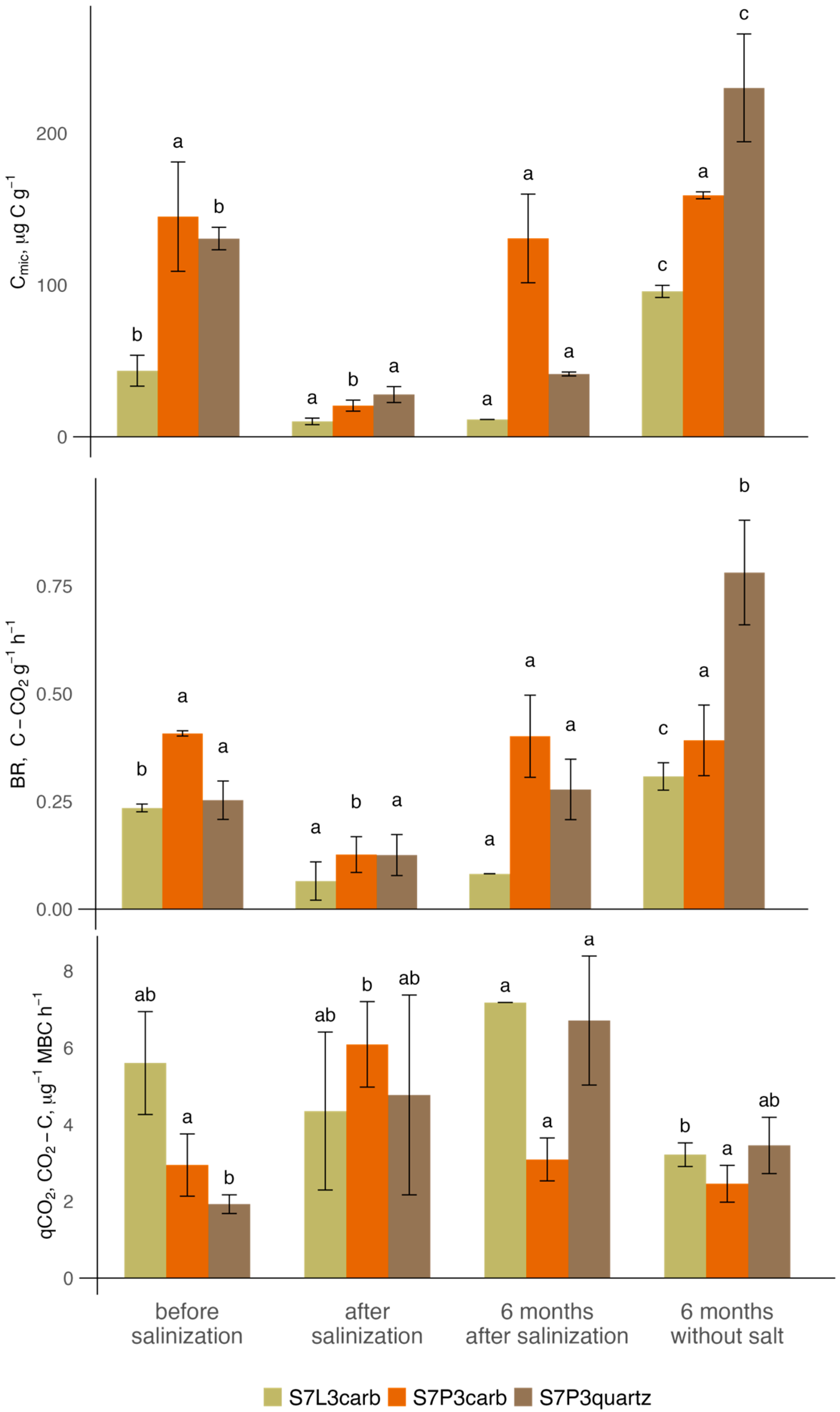
3.2.2. The Effect of Salinization on Soil Health
3.2.3. The Effect of Salinization on Plant Condition
4. Discussion
4.1. The Effect of De-Icing Reagent on Water Quality
4.2. The Effect of De-Icing Salts on Soil Health and Plant Condition
4.3. Recommendations for Raingardens Soil Guidelines
- The design of rain gardens in temperate regions should consider not only hydrophysical recommendations, but also the agrochemical properties of the soil mixtures in the context of the plant substrate to perform bioremediation functions and tolerance. It is fair to say that in some cases, there are agrochemical recommendations, e.g., the LID Guideline regulates not only mechanical composition but also phosphorus and acidity. The guideline compares well with the demonstrably poor condition of the plant in the S7P3 mixture, where the phosphorus content was below 10 mg kg−1. Agrochemical indicators are also used in SuDS to assess the immobilization capacity of soils. According to these criteria, the mixtures presented fall into the medium-risk category for carbon (1–15%) and acidity (pH 5–8). Mixtures with a carbonate sand volume fraction of 70% have a pH above eight and are therefore in the low-risk category. An alkaline environment favors the immobilization of most heavy metals, e.g., Ni, Zn, Pb, Cb, but values above eight are detrimental to plant growth and development and inhibit microbiological activity [123]. Therefore, rain garden substrates cannot be considered solely in terms of their function as a geochemical barrier.
- Consider snow management when siting rain gardens to reduce plant stress. Rain gardens in temperate climates should be located at least 1.5–2 m from the edge of the road, as this area is used for snow storage and is most susceptible to contamination by reagents. In addition, studies of plant conditions under real-life conditions in temperate regions have noted the resistance of daylilies, with uncertain salt tolerance depending on the distance from the road and necrotic leaf lesions observed, which was also illustrated in our experiments [124].
- Separate areas into ‘conditionally clean’ and ‘contaminated’ runoff from winter de-icing salts when planning the location of rain gardens or ‘gray’ stormwater systems. SuDS and LID are recommended for all land uses, including green strips along roads and streets, car parks, and pavements. In terms of modeling concentrations, our study has generally shown that soil mixes have a rather limited capacity to intercept chlorine and sodium when applied for a short period of time. In real-world conditions, NaCl and other highly soluble salts can exceed our study’s calculations by a factor of 10 during the city’s snow management regime [86]. In such cases, the use of rain gardens to intercept runoff in front of water bodies or to treat irrigation water should be partially or fully combined with a gray stormwater system, and full substitution with rain gardens for these functions is possible on sites without inputs of runoff contaminated with highly soluble salts according to FAO recommendations (Table 5, [107]).
- Monitoring rain garden components in an area with ‘contaminated’ runoff from de-icing salts to adjust maintenance regimes. It will be difficult to assess the impact of salts on the condition of broadleaved plants in early spring using simple visual and instrumental methods, but the presence of dangerous salt concentrations can be assessed by direct measurements of soil substrates and leachates, the simplest of which are conductivity values. High concentrations allow maintenance and flushing of rain gardens to be adjusted in the event of insufficient rainfall before active plant growth begins. Some studies show that at NaCl concentrations up to 150 mM, the application of low concentrations of zinc has a positive effect on plant resistance [121]. More comprehensive monitoring systems, including indicators of the soil microbiome and nutrient elements, should be targeted at fertilizer application, especially in the case of substrates designed for high leachate.
5. Conclusions
Author Contributions
Funding
Data Availability Statement
Acknowledgments
Conflicts of Interest
References
- German Advisory Council on Global Change (WBGU). Annual Report; WBGU: Berlin, Germany, 2021. [Google Scholar]
- Sarkar, C.; Webster, C. Healthy Cities of Tomorrow: The Case for Large Scale Built Environment–Health Studies. J. Urban Health 2017, 94, 4–19. [Google Scholar] [CrossRef] [PubMed]
- Baccini, M.; Biggeri, A.; Accetta, G.; Kosatsky, T.; Katsouyanni, K.; Analitis, A.; Anderson, H.R.; Bisanti, L.; D’Ippoliti, D.; Danova, J.; et al. Effects of Summer Heat on Mortality in 15 European Cities: Results of the EU PHEWE Project. Epidemiology 2008, 19, 711–719. [Google Scholar] [CrossRef]
- Revi, A. Urban Areas. In Climate Change 2014: Impacts, Adaptation, and Vulnerability. Part A: Global and Sectoral Aspects. Contribution of Working Group II to the Fifth Assessment Report of the Intergovernmental Panel on Climate Change; Field, C.B., Barros, V.R., Dokken, D.J., Mach, K.J., Mastrandrea, M.D., Bilir, T.E., Chatterjee, M., Ebi, K.L., Estrada, Y.O., Genova, R.C., et al., Eds.; Cambridge University Press: Cambridge, UK, 2014; pp. 535–612. [Google Scholar]
- United Nations Department of Economic and Social Affairs (UN DESA). Sustainable Development Goals. Available online: https://sdgs.un.org/goals (accessed on 18 March 2025).
- The European Green Deal. Available online: https://ec.europa.eu/info/publications/communication-european-green-deal_en (accessed on 18 March 2025).
- Proposal for a Regulation on Nature Restoration. Available online: https://environment.ec.europa.eu/publications/nature-restoration-law_en (accessed on 18 March 2025).
- EU Nature Restoration Law. Available online: https://eur-lex.europa.eu/legal-content/EN/TXT/?uri=CELEX%3A32024R1991&qid=1722240349976 (accessed on 18 March 2025).
- Castellar, J.A.C.; Russo, A.; Giezen, M. Nature-Based Solutions in the Climate Adaptation Policy Arena: Worldwide Expert Survey on Mainstreaming Challenges. Environ. Sci. Policy 2021, 120, 36–45. [Google Scholar] [CrossRef]
- Stuhlmacher, M.; Woods, J.; Yang, L.; Sarigai, S. How does the composition and configuration of green space influence urban noise?: A systematic literature review. Curr. Landsc. Ecol. Rep. 2024, 9, 73–87. [Google Scholar] [CrossRef]
- Jiang, B.; Fan, S.; Sun, C.; Mu, S.; Gao, T.; Qiu, L. The regulation effect of urban green space on air particulate matter concentration under different matrices in Xi’an city. Air Qual. Atmos. Health 2024, 17, 1951–1968. [Google Scholar] [CrossRef]
- Shen, J.; Cui, P.; Huang, Y.; Wu, Y.; Luo, Y.; Sin, C.H.; Guan, J. New insights on precise regulation of pollutant distribution inside a street canyon by different vegetation planting patterns. Environ. Sci. Pollut. Res. 2023, 30, 63148–63174. [Google Scholar] [CrossRef]
- Vashist, M.; Kumar, T.V.; Singh, S.K. A comprehensive review of urban vegetation as a Nature-based Solution for sustainable management of particulate matter in ambient air. Environ. Sci. Pollut. Res. 2024, 31, 26480–26496. [Google Scholar] [CrossRef] [PubMed]
- Zhang, X.; Huang, H.; Tu, K.; Li, R.; Zhang, X.; Wang, P.; Li, Y.; Yang, Q.; Acerman, A.C.; Guo, N.; et al. Effects of plant community structural characteristics on carbon sequestration in urban green spaces. Sci. Rep. 2024, 14, 7382. [Google Scholar] [CrossRef]
- Ren, Z.; Zhao, H.; Fu, Y.; Xiao, L.; Dong, Y. Effects of urban street trees on human thermal comfort and physiological indices: A case study in Changchun city, China. J. For. Res. 2021, 33, 911–922. [Google Scholar] [CrossRef]
- Ahmed, N.M.; Altamura, P.; Giampaoletti, M.; Hemeida, F.A.; Mohamed, A.F.A. Optimizing human thermal comfort and mitigating the urban heat island effect on public open spaces in Rome, Italy through sustainable design strategies. Sci. Rep. 2024, 14, 19931. [Google Scholar] [CrossRef]
- Bowler, D.E.; Callaghan, C.T.; Felappi, J.F.; Mason, B.M.; Hutchinson, R.; Kumar, P.; Jones, L. Evidence-base for urban green-blue infrastructure to support insect diversity. Urban Ecosyst. 2024, 28, 54. [Google Scholar] [CrossRef] [PubMed]
- Wang, J.; Zhao, M.; Xu, M.; Li, Y.; Gou, A. Effect of land cover types evolution in megacities on flood regulation capacity: The case of Zhengzhou since 1990. Nat. Hazards 2024, 121, 3001–3021. [Google Scholar] [CrossRef]
- Fontanarrosa, M.S.; Gómez, L.; Avigliano, L.; Lavarello, A.; Zunino, G.; Sinistro, R.; Vera, M.S.; Allende, L. Land uses in cities and their impacts on the water quality of urban freshwater blue spaces in the Pampean region (Argentina). Environ. Monit. Assess. 2023, 195, 648. [Google Scholar] [CrossRef] [PubMed]
- Koner, K.; Samanta, G. Urban environment and sustainable water supply: A comprehensive analysis of Darjeeling city, India. Environ. Dev. Sustain. 2021, 23, 17459–17482. [Google Scholar] [CrossRef]
- Garber, M.D.; Benmarhnia, T.; Zhou, W.; Mudu, P.; Rojas-Rueda, D. Greening urban areas in line with population density and ecological zone can reduce premature mortality. Commun. Earth Environ. 2024, 5, 650. [Google Scholar] [CrossRef]
- Niazi, Z.; Khan, M.A. Greening South Asian cities for health: A study of urban green space usage and physical well-being. Environ. Dev. Sustain. 2024, 1–24. Available online: https://link.springer.com/article/10.1007/s10668-024-05527-z#citeas (accessed on 21 April 2025).
- Xu, J.; Liu, N.; Polemiti, E.; Garcia-Mondragon, L.; Tang, J.; Liu, X.; Lett, T.; Yu, L.; Nöthen, M.M.; Feng, J.; et al. Effects of urban living environments on mental health in adults. Nat. Med. 2023, 29, 1456–1467. [Google Scholar] [CrossRef] [PubMed]
- Sharma, R.; Malaviya, P. Management of stormwater pollution using green infrastructure: The role of rain gardens. Wiley Interdiscip. Rev. Water 2021, 8, e1507. [Google Scholar] [CrossRef]
- Burszta-Adamiak, E.; Biniak-Pieróg, M.; Dąbek, P.B.; Sternik, A. Rain garden hydrological performance—Responses to real rainfall events. Sci. Total Environ. 2023, 887, 164153. [Google Scholar] [CrossRef] [PubMed]
- Shi, C.-H.; He, B.-B.; Zhao, J.-L.; Liu, Y.-H.; Liu, A. Characterising polycyclic aromatic hydrocarbons in road dusts and stormwater in urban environments. Environ. Monit. Assess. 2024, 196, 791. [Google Scholar] [CrossRef]
- Spence, K.; Gilbert, I.; Robson, M. Stormwater suspended solids and pollutant concentrations in an urban stream. Water Air Soil Pollut. 2023, 234, 599. [Google Scholar] [CrossRef]
- Popick, H.; Brinkmann, M.; McPhedran, K. Assessment of stormwater discharge contamination and toxicity for a cold-climate urban landscape. Environ. Sci. Eur. 2022, 34, 43. [Google Scholar] [CrossRef] [PubMed]
- Howard, K.W.F.; Maier, H. Road de-icing salt as a potential constraint on urban growth in the Greater Toronto Area, Canada. J. Contam. Hydrol. 2006, 91, 146–170. [Google Scholar] [CrossRef] [PubMed]
- Venkatesan, A.K.; Ahmad, S.; Johnson, W.; Batista, J.R. Systems dynamic model to forecast salinity load to the Colorado River due to urbanization within the Las Vegas Valley. Sci. Total Environ. 2011, 409, 2616–2625. [Google Scholar] [CrossRef]
- Li, Z.; Liang, Y.; Zhou, J.; Sun, X. Impacts of de-icing salt pollution on urban road greenspace: A case study of Beijing. Front. Environ. Sci. Eng. 2014, 8, 747–756. [Google Scholar] [CrossRef]
- Smagin, A.V.; Azovtseva, N.A.; Smagina, M.V.; Stepanov, A.L.; Myagkova, A.D.; Kurbatova, A.S. Some criteria and methods for assessing the ecological state of soils in connection with the greening of urban areas. Soil Sci. 2006, 5, 603–615. (In Russian) [Google Scholar]
- Cain, N.P.; Hale, B.; Berkalaar, E.; Morin, D. Review of Effects of NaCl and Other Road Salts on Terrestrial Vegetation in Canada; Report for Commercial Chemicals Evaluation Branch; Environment Canada: Ottawa, ON, Canada, 2001.
- Cunningham, M.A.; Snyder, E.; Yonkin, D.; Ross, M.; Elsen, T. Accumulation of deicing salts in soils in an urban environment. Urban Ecosyst. 2007, 11, 17–31. [Google Scholar] [CrossRef]
- Litalien, A.; Zeeb, B. Curing the earth: A review of anthropogenic soil salinization and plant-based strategies for sustainable mitigation. Sci. Total Environ. 2019, 698, 134235. [Google Scholar] [CrossRef]
- Ke, C.; Li, Z.; Liang, Y.; Tao, W.; Du, M. Impacts of chloride de-icing salt on bulk soils, fungi, and bacterial populations surrounding the plant rhizosphere. Appl. Soil Ecol. 2013, 72, 69–78. [Google Scholar] [CrossRef]
- Setia, R.; Marschner, P.; Baldock, J.; Chittleborough, D.; Smith, P.; Smith, J. Salinity effects on carbon mineralization in soils of varying texture. Soil Biol. Biochem. 2011, 43, 1908–1916. [Google Scholar] [CrossRef]
- Gerasimov, A.; Chugunova, M.; Polyak, Y. Changes in Salinity and Toxicity of Soil Contaminated with De-Icing Agents during Growing Season. Environ. Res. Eng. Manag. 2021, 77, 53–62. [Google Scholar] [CrossRef]
- Fay, L.; Shi, X. Environmental impacts of chemicals for snow and ice control: State of the knowledge. Water Air Soil Pollut. 2012, 223, 2751–2770. [Google Scholar] [CrossRef]
- Kobayashi, H.; Sato, S.; Masaoka, Y. Tolerance of grasses to calcium chloride, magnesium chloride and sodium chloride. Plant Prod. Sci. 2004, 7, 30–35. [Google Scholar] [CrossRef]
- Ramakrishna, D.M.; Viraraghavan, T. Environmental impact of chemical deicers—A review. Water Air Soil Pollut. 2005, 166, 49–63. [Google Scholar] [CrossRef]
- Bäckström, M.; Karlsson, S.; Bäckman, L.; Folkeson, L.; Lind, B. Mobilisation of heavy metals by deicing salts in a roadside environment. Water Res. 2003, 38, 720–732. [Google Scholar] [CrossRef]
- Pecher, W.T.; Madadha, M.E.A.; DasSarma, P.; Ekulona, F.; Schott, E.J.; Crowe, K.; Gut, B.S.; DasSarma, S. Effects of road salt on microbial communities: Halophiles as biomarkers of road salt pollution. PLoS ONE 2019, 14, e0221355. [Google Scholar] [CrossRef] [PubMed]
- Rath, K.M.; Rousk, J. Salt effects on the soil microbial decomposer community and their role in organic carbon cycling: A review. Soil Biol. Biochem. 2014, 81, 108–123. [Google Scholar] [CrossRef]
- Zhang, G.; Bai, J.; Zhai, Y.; Jia, J.; Zhao, Q.; Wang, W.; Hu, X. Microbial diversity and functions in saline soils: A review from a biogeochemical perspective. J. Adv. Res. 2023, 59, 129–140. [Google Scholar] [CrossRef] [PubMed]
- Zhang, Q.; Wakelin, S.A.; Liang, Y.; Chu, G. Soil microbial activity and community structure as affected by exposure to chloride and chloride-sulfate salts. J. Arid. Land 2018, 10, 737–749. [Google Scholar] [CrossRef]
- Yan, N.; Marschner, P. Response of Soil Respiration and Microbial Biomass to Changing EC in Saline Soils. Soil Biol. Biochem. 2013, 65, 322–328. [Google Scholar] [CrossRef]
- Sardinha, M.; Müller, T.; Schmeisky, H.; Joergensen, R.G. Microbial Performance in Soils along a Salinity Gradient under Acidic Conditions. Appl. Soil Ecol. 2003, 23, 237–244. [Google Scholar] [CrossRef]
- Wong, V.N.L.; Dalal, R.C.; Greene, R.S.B. Salinity and Sodicity Effects on Respiration and Microbial Biomass of Soil. Biol. Fertil. Soils 2008, 44, 943–953. [Google Scholar] [CrossRef]
- Jandová, V.; Bucková, M.; Hegrová, J.; Dostál, I.; Huzlík, J.; Effenberger, K.; Ličbinský, R. The Relationship among Precipitation, Application of Salt in Winter Road Maintenance and the Quality of Waterways and Soil around Motorway. Water 2020, 12, 2206. [Google Scholar] [CrossRef]
- Shannon, T.P.; Ahler, S.J.; Mathers, A.; Ziter, C.D.; Dugan, H.A. Road salt impact on soil electrical conductivity across an urban landscape. J. Urban Ecol. 2020, 6, juaa006. [Google Scholar] [CrossRef]
- Equiza, M.A.; Calvo-Polanco, M.; Cirelli, D.; Señorans, J.; Wartenbe, M.; Saunders, C.; Zwiazek, J.J. Long-term impact of road salt (NaCl) on soil and urban trees in Edmonton, Canada. Urban For. Urban Green. 2017, 21, 16–28. [Google Scholar] [CrossRef]
- Löfgren, S. The chemical effects of deicing salt on soil and stream water of five catchments in Southeast Sweden. Water Air Soil Pollut. 2001, 130, 863–868. [Google Scholar] [CrossRef]
- Sharma, S.; Bhatt, R. Monitoring Water and Soil Salinity across Mentor Marsh to Investigate Their Temporal and Spatial Variability. Water 2023, 15, 4172. [Google Scholar] [CrossRef]
- Low Impact Development Stormwater Management Planning and Design Guide. Toronto and Region Conservation Authority. Available online: https://trca.ca/conservation/stormwater-management/understand/lid-swm-guide-v1-0_2010_1_no-appendices/download (accessed on 18 March 2025).
- Franti, T.G.; Rodie, S.N. Stormwater Management: Installing Rain Gardens in Your Yard; NebGuides on Designing and Installing Rain Gardens to Provide a Functional and Aesthetic Means for Reducing Stormwater Runoff in Urban Areas, G1760; University of Nebraska—Lincoln Extension Publications: Lincoln, NE, USA, 2007. [Google Scholar]
- Hassani, A.; Azapagic, A.; Shokri, N. Predicting long-term dynamics of soil salinity and sodicity on a global scale. Proc. Natl. Acad. Sci. USA 2020, 117, 33017–33027. [Google Scholar] [CrossRef]
- Devkota, K.P.; Devkota, M.; Rezaei, M.; Oosterbaan, R. Managing salinity for sustainable agricultural production in salt-affected soils of irrigated drylands. Agric. Syst. 2022, 198, 103390. [Google Scholar] [CrossRef]
- Jesus, J.M.; Danko, A.S.; Fiúza, A.; Borges, M.-T. Phytoremediation of salt-affected soils: A review of processes, applicability, and the impact of climate change. Environ. Sci. Pollut. Res. 2015, 22, 6511–6525. [Google Scholar] [CrossRef]
- Ju, J.-H. Salt Tolerance of Phragmites australis and Effect of Combing It with Topsoil Filters on Biofiltration of CaCl2 Contaminated Soil. Sustainability 2024, 16, 8522. [Google Scholar] [CrossRef]
- Zhang, W.; Burgis, C.R.; Hayes, G.M.; Henderson, D.A.; Smith, J.A. Mitigation of Deicing Salt Loading to Water Resources by Transpiration from Green Infrastructure Vegetation. Land 2022, 11, 907. [Google Scholar] [CrossRef]
- Three Rivers Rain Garden Alliance. Available online: http://raingardenalliance.org/ (accessed on 26 October 2023).
- Woods Ballard, B.; Udele-Clarke, H.W.; Illman, S.; Scott, T.; Ashley, R.; Kellagher, R. Sustainable Drainage Systems Manual, Publication C753; CIRIA: London, UK, 2015. [Google Scholar]
- Schulte-Herbrüggen, H.; Mácsik, J.; Andersson, J. Raingardens for Stormwater Management—Potential of Raingardens in a Nordic Climate. 2019. Available online: https://www.diva-portal.org/smash/get/diva2:1370826/FULLTEXT01.pdf (accessed on 26 October 2023).
- Sayanov, A.A.; Kondratenko, Y.A.; Shchukin, I.S.; Butserova, O.V. Rain Garden Design: A Methodological Guide, 2nd ed.; LAEN Guild: Moscow, Russia, 2023; pp. 5–7. (In Russian) [Google Scholar]
- Shchukin, I.S.; Melekhin, A.G. Device for Purification of Surface Sewage Waters. RU Patent 2540620, 10 February 2015. Available online: https://rusneb.ru/catalog/000224_000128_0002540620_20150210_C1_RU/ (accessed on 21 April 2025). (In Russian).
- GOST 12536-2014; Soils. Methods of Laboratory Granulometric (Grain-Size) and Microaggregate Distribution. Federal Agency for Technical Regulation and Metrology: Moscow, Russia, 2019. (In Russian)
- Smagin, A. Disjoining pressure model for the entire soil water retention curve. CATENA 2025, 254, 108909. [Google Scholar] [CrossRef]
- van Genuchten, M.T. A closed-form equation for predicting the hydraulic conductivity of unsaturated soils. Soil Sci. Soc. Am. J. 1980, 44, 892–898. [Google Scholar] [CrossRef]
- Smagin, A.V. Synthetic Gel Structures in Soils and Soil Structures; Justitsinform: Moscow, Russia, 2020; p. 556. (In Russian) [Google Scholar]
- Shein, E.V.; Karpachevsky, L.O. Theories and Methods of Soil Physics; Grif and K: Moscow, Russia, 2007; p. 616. (In Russian) [Google Scholar]
- GOST 26423-85; Soils. Methods for Determination of Specific Electric Conductivity, pH and Solid Residue of Water Extract. USSR Gosstandart: Moscow, Russia, 2011. (In Russian)
- GOST 26483-85; Soils. Preparations of Salt Extract and Determination of Its pH by CINAO Method. USSR Gosstandart: Moscow, Russia, 2023. (In Russian)
- GOST 26205-91; Soils. Determination of Mobile Compounds of Phosphorus and Potassium by Machigin Method Modified by CINAO. USSR Gosstandart: Moscow, Russia, 2015. (In Russian)
- GOST 26204-91; Soils. Determination of Mobile Compounds of Phosphorus and Potassium by Chiricov Method Modified by CINAO. USSR Gosstandart: Moscow, Russia, 2015. (In Russian)
- GOST R 54650-2011; Soils. Determination of Mobile Phosphorus and Potassium Compounds by Kirsanov Method Modified by CINAO. Federal Agency for Technical Regulation and Metrology: Moscow, Russia, 2021. (In Russian)
- GOST 26427-85; Soils. Method for Determination of Sodium and Potassium in Water Extract. USSR Gosstandart: Moscow, Russia, 2015. (In Russian)
- GOST R 58596-2019; Soils. Methods for Determination of Total Nitrogen. Federal Agency for Technical Regulation and Metrology: Moscow, Russia, 2021. (In Russian)
- Romzaykina, O.N.; Slukovskaya, M.V.; Paltseva, A.A.; Losev, A.I.; Korneykova, M.V.; Vasenev, V.I. Rapid assessment of soil contamination by potentially toxic metals in the green spaces of Moscow megalopolis using the portable X-ray analyzer. J. Soils Sediments 2024, 25, 539–556. [Google Scholar] [CrossRef]
- GOST 26425-85; Soils. Methods for Determination of Chloride Ion in Water Extract. USSR Gosstandart: Moscow, Russia, 2015. (In Russian)
- GOST R 57165-2016 (ISO 11885:2007); Water. Determination of Elements by Inductively Coupled Plasma Atomic Emission Spectrometry. Federal Agency for Technical Regulation and Metrology: Moscow, Russia, 2021. (In Russian)
- GOST 26487-85; Soils. Determination of Exchangeable Calcium and Exchangeable (Mobile) Magnesium by CINAO methods. USSR Gosstandart: Moscow, Russia, 2015. (In Russian)
- Bhaduri, D.; Sihi, D.; Bhowmik, A.; Verma, B.C.; Munda, S.; Dari, B. A review on effective soil health bio-indicators for ecosystem restoration and sustainability. Front. Microbiol. 2022, 13, 938481. [Google Scholar] [CrossRef] [PubMed]
- Ananyeva, N.D.; Susyan, E.A.; Chernova, O.V.; Wirth, S. Microbial respiration activities of soils from different climatic regions of European Russia. Eur. J. Soil Biol. 2007, 44, 147–157. [Google Scholar] [CrossRef]
- Anderson, T.-H.; Domsch, K.H. Soil Microbial Biomass: The Eco-Physiological Approach. Soil Biol. Biochem. 2010, 42, 2039–2043. [Google Scholar] [CrossRef]
- Regulations on the Performance of Work on Comprehensive Maintenance of Yard Territories in the City of Moscow (No. 01-01-14-226/17). Order of the Department of Fuel and Energy Management of the city of Moscow, Moscow, Russia, 2017. Available online: https://docs.cntd.ru/document/550947972 (accessed on 21 April 2025). (In Russian).
- Weather Schedule. Available online: https://rp5.ru (accessed on 20 February 2025).
- GOST R 56881-2016; Biomass. Determination of Ash Content by Standard Method. Federal Agency for Technical Regulation and Metrology: Moscow, Russia, 2021. (In Russian)
- Methodological Guidelines for the Determination of Heavy Metals in Agricultural Soils and Crop Products by NPO (Typhoon)–CINAO. 2021. Available online: https://docs.cntd.ru/document/1200078918 (accessed on 21 April 2025). (In Russian).
- M-MVI 80-2008; Methods for Measuring the Mass Fraction of Elements in Soil Samples, Soils and Bottom Sediments by Atomic Emission and Atomic Absorption Spectrometry. 2008. Available online: https://files.stroyinf.ru (accessed on 21 April 2025). (In Russian)
- Smagin, A.V. Column-centrifugation method for determining water retention curves of soils and disperse sediments. Eurasian Soil Sci. 2012, 45, 416–422. [Google Scholar] [CrossRef]
- Moscow Government Decree N 514-PP from July 27, 2004 as amended as of October 25, 2011. Available online: https://docs.cntd.ru/document/3660473 (accessed on 21 April 2025).
- Demina, S.; Vasenev, V.; Ivashchenko, K.; Ananyeva, N.; Plyushchikov, V.; Hajiaghayeva, R.; Dovletyarova, E. Microbial properties of urban soils with different Land-Use history in New Moscow. Soil Sci. 2018, 183, 132–140. [Google Scholar] [CrossRef]
- Ivashchenko, K.; Sushko, S.; Selezneva, A.; Ananyeva, N.; Zhuravleva, A.; Kudeyarov, V.; Makarov, M.; Blagodatsky, S. Soil microbial activity along an altitudinal gradient: Vegetation as a main driver beyond topographic and edaphic factors. Appl. Soil Ecol. 2021, 168, 104197. [Google Scholar] [CrossRef]
- McDaris, J.R.; Feinberg, J.M.; Runkel, A.C.; Levine, J.; Kasahara, S.; Alexander, E.C. Documentation and prediction of increasing groundwater chloride in the twin Cities, Minnesota. Ground Water 2022, 60, 837–850. [Google Scholar] [CrossRef] [PubMed]
- Jamshidi, A.; Goodarzi, A.R.; Razmara, P. Long-term impacts of road salt application on the groundwater contamination in urban environments. Environ. Sci. Pollut. Res. 2020, 27, 30162–30177. [Google Scholar] [CrossRef]
- Rivett, M.O.; Cuthbert, M.O.; Gamble, R.; Connon, L.E.; Pearson, A.; Shepley, M.G.; Davis, J. Highway deicing salt dynamic runoff to surface water and subsequent infiltration to groundwater during severe UK winters. Sci. Total Environ. 2016, 565, 324–338. [Google Scholar] [CrossRef] [PubMed]
- Szklarek, S.; Górecka, A.; Wojtal-Frankiewicz, A. The effects of road salt on freshwater ecosystems and solutions for mitigating chloride pollution—A review. Sci. Total Environ. 2021, 805, 150289. [Google Scholar] [CrossRef]
- Hintz, W.D.; Relyea, R.A. A review of the species, community, and ecosystem impacts of road salt salinisation in fresh waters. Freshw. Biol. 2019, 64, 1081–1097. [Google Scholar] [CrossRef]
- Xiong, R.; Chu, C.; Qiao, N.; Wang, L.; Yang, F.; Sheng, Y.; Guan, B.; Niu, D.; Geng, J.; Chen, H. Performance evaluation of asphalt mixture exposed to dynamic water and chlorine salt erosion. Constr. Build. Mater. 2019, 201, 121–126. [Google Scholar] [CrossRef]
- Terry, L.G.; Conaway, K.; Rebar, J.; Graettinger, A.J. Alternative Deicers for Winter Road Maintenance—A Review. Water Air Soil Pollut. 2020, 231, 394. [Google Scholar] [CrossRef]
- On Approval of Water Quality Standards for Water Bodies of Fisheries Importance, Including Standards for Maximum Permissible Concentrations of Harmful Substances in the Waters of Water Bodies of Fisheries Importance. Order No. 552 of December 13, 2016, Ministry of Agriculture of Russian Federation. Available online: http://publication.pravo.gov.ru/Document/View/0001201701160006 (accessed on 18 March 2025).
- EPA 44015-88-001; Ambient Aquatic Life Water Quality Criteria for Chloride. United States Environmental Protection Agency: Minnesota, MN, USA, 1988.
- Canadian Water Quality Guidelines for the Protection of Aquatic Life. In Phosphorus: Canadian Guidance Framework for the Management of Freshwater Systems; Canadian Council of Ministers of the Environment: Winnipeg, MB, Canada. Available online: https://www.ccme.ca/en/res/phosphorus-en-canadian-water-quality-guidelines-for-the-protection-of-aquatic-life.pdf (accessed on 18 March 2025).
- GB 8978-1996; China Integrated Wastewater Discharge Standard. Ministry of ecology and environment of the People’s Republic of China: Beijing, China, 1996. (In Chinese)
- RG 644; On Approval of the Rules of Cold Water Supply and Water Disposal and on Amendments to Certain Acts of the Government of the Russian Federation. Government of the Russian Federation: Moscow, Russia, 2013. (In Russian)
- Ayers, R.S.; Westcot, D.W. FAO irrigation and drainage paper. In Water Quality for Agriculture; Food and Agriculture Organization of the United Nations: Rome, Italy, 1994; Available online: https://www.fao.org/4/t0234e/t0234e00.htm (accessed on 21 April 2025).
- Wichern, J.; Wichern, F.; Joergensen, R.G. Impact of salinity on soil microbial communities and the decomposition of maize in acidic soils. Geoderma 2006, 137, 100–108. [Google Scholar] [CrossRef]
- Akbour, R.A.; Amal, H.; Ait-Addi, A.; Douch, J.; Jada, A.; Hamdani, M. Transport and retention of humic acid through natural quartz sand: Influence of the ionic strength and the nature of divalent cation. Colloids Surf. A Physicochem. Eng. Asp. 2013, 436, 589–598. [Google Scholar] [CrossRef]
- Salinity Management Guide: Choose Salt-Tolerant Plants. Available online: https://watereuse.org/salinity-management/cp/cp_7_table-5.html (accessed on 21 April 2025).
- Kratsch, H. Soil Salinity and Ornamental Plant Selection; DigitalCommons@USU: Logan, UT, USA, 2008; Available online: https://digitalcommons.usu.edu/extension_curall/1079 (accessed on 21 April 2025).
- Han, Z.; Zhang, H.; Zhou, G.L. Change of growth and physiological characteristics of daylily under mixed salt stress. J. Henan Agric. Sci. 2020, 49, 116–122. [Google Scholar] [CrossRef]
- Li, D.; Xia, Y.; Lou, J.; Zhang, D.; Wang, X.; Zhang, J. A Comparative Study between Evergreen and Deciduous Daylily Species Reveals the Potential Contributions of Winter Shoot Growth and Leaf Freezing Tolerance to Foliar Habits. J. Plant Growth Regul. 2019, 39, 1030–1045. [Google Scholar] [CrossRef]
- Tan, Y.-X.; Liang, J.; Zhang, Z.; Dong, S.-Q.; Cao, J.-F.; Qin, Q.-P.; Zhang, Z.-G.; Ni, D.-A. Cloning and molecular characterisation of a putative glyoxalase I Gene (HfGlX I-1) of Daylily (Hemerocallis spp.). J. Plant Biochem. Biotechnol. 2022, 32, 265–273. [Google Scholar] [CrossRef]
- Sedelnikova, L.L.; Tsandekova, O.L. Investigation of the biochemical composition in the leaves of representatives of the genus Hemerocallis l. In the conditions of the cities of the novosibirsk region. Chem. Plant Raw Mater. 2022, 3, 151–158. [Google Scholar] [CrossRef]
- Sedel’nikova, L.L.; Chankina, O.V. The elemental composition of the vegetative organs of sorts Regal air and Speak to me of Hemerocallis hybrida. Chem. Plant Raw Mater. 2020, 1, 245–250. [Google Scholar] [CrossRef]
- Sedel’nikova, L.L.; Chankina, O.V. The content of heavy metals in the vegetative organs of Hemerocallis hybrida in urban environment. Bull. KrasGAU 2016, 2, 34–43. [Google Scholar]
- Mahiwal, S.; Pandey, G.K. Potassium: A vital nutrient mediating stress tolerance in plants. J. Plant Biochem. Biotechnol. 2022, 31, 705–719. [Google Scholar] [CrossRef]
- Houmani, H.; Corpas, F.J. Can nutrients act as signals under abiotic stress? Plant Physiol. Biochem. 2023, 206, 108313. [Google Scholar] [CrossRef]
- Sidhu, G.P.S.; Bali, A.S.; Singh, H.P.; Batish, D.R.; Kohli, R.K. Insights into the tolerance and phytoremediation potential of Coronopus didymus L. (Sm) grown under zinc stress. Chemosphere 2019, 244, 125350. [Google Scholar] [CrossRef]
- Mushtaq, N.U.; Alghamdi, K.M.; Saleem, S.; Tahir, I.; Bahieldin, A.; Henrissat, B.; Alghamdi, M.K.; Rehman, R.U.; Hakeem, K.R. Exogenous zinc mitigates salinity stress by stimulating proline metabolism in proso millet (Panicum miliaceum L.). Front. Plant Scence 2023, 14, 1053869. [Google Scholar] [CrossRef]
- Noulas, C.; Tziouvalekas, M.; Karyotis, T. Zinc in soils, water and food crops. J. Trace Elem. Med. Biol. 2018, 49, 252–260. [Google Scholar] [CrossRef]
- Rousk, J.; Brookes, P.C.; BååTh, E. Contrasting soil pH effects on fungal and bacterial growth suggest functional redundancy in carbon mineralization. Appl. Environ. Microbiol. 2009, 75, 1589–1596. [Google Scholar] [CrossRef] [PubMed]
- Laukli, K.; Vinje, H.; Haraldsen, T.K.; Vike, E. Plant selection for roadside rain gardens in cold climates using real-scale studies of thirty-one herbaceous perennials. Urban For. Urban Green. 2022, 78, 127759. [Google Scholar] [CrossRef]








| Standard | Soil Mixtures | Recommended Infiltration, mm h−1 |
|---|---|---|
| LID [55] | 50%—sand, 30%—organic compost, and 20%—excavated soil | >6 |
| G1760 [56] | 30%—sand, 30–40%—loamy topsoil, and 30%—organic material from waste compost | >6 |
| RGA [62] | 70%—sand, 30%—compost mix | >6 |
| SuDS [63] | A wide range of sand-based mixes with local soil and/or compost to satisfy the requirements of the infiltration rate. | 100–300 |
| Nordic climate [64] | Recommendations for the depth profile of the rain garden. Soil–sand mixes are recommended with low clay content | 50–300 |
| Guild LAEN [65] | 90–40%—sand, 10–60%—sphagnum peat or compost mix | 50–300 |
| Pat. 2540620 [66] | 50–70%—sand, 10%—sphagnum peat, 20–40%—zeolite | <300 |
| Soil Substrates | WP | FC | WHC |
|---|---|---|---|
| Carbonate sand | 1.1 | 2.6 | 22.8 |
| Quartz sand | 0.4 | 2.9 | 22.7 |
| Loam | 11.0 | 27.4 | 42.4 |
| Peat | 151.9 | 167.6 | 455.1 |
| S3L4P3 | 6.9 | 17.2 | 39.9 |
| S5L2P3 | 5.4 | 11.2 | 36.3 |
| S7L1P2 | 2.8 | 6.8 | 26.3 |
| S7L2P1 | 2.8 | 5.8 | 26.1 |
| S7L3 | 3.0 | 7.8 | 28.6 |
| S7P3 | 3.3 | 5.4 | 29.5 |
| S9L1 | 2.0 | 4.4 | 23.2 |
| Substrates and Soil Mixtures | TC, % | Ntot, % | pHH2O | EC, mS cm−1 | P, mg kg−1 | K, mg kg−1 |
|---|---|---|---|---|---|---|
| L (Loam) | 1.14 | 0.150 | 6.60 | 0.088 | 134 | 122 |
| Scarb (Carbonate sand) | 1.09 | 0.006 | 9.46 | 0.046 | 1 | 18 |
| S (Quartz sand) | 0.04 | 0.003 | 7.48 | 0.058 | 9 | 7 |
| P (Peat) | 18.08 | 1.055 | 3.98 | 0.046 | 42 | 141 |
| S7P3carb | 3.61 | 0.078 | 8.14 | 0.196 | 26 | 42 |
| S7P3 | 1.51 | 0.040 | 5.67 | 0.037 | 8 | 11 |
| S7L3carb | 1.20 | 0.034 | 8.46 | 0.171 | 48 | 81 |
| S7L3 | 0.43 | 0.098 | 7.02 | 0.058 | 45 | 37 |
| S7L2P1carb | 1.30 | 0.019 | 8.85 | 0.087 | 53 | 80 |
| S7L1P2carb | 2.21 | 0.020 | 8.83 | 0.083 | 28 | 48 |
| S5L2P3carb | 3.15 | 0.089 | 7.79 | 0.090 | 30 | 30 |
| S5L2P3 | 1.54 | 0.084 | 5.49 | 0.028 | 40 | 34 |
| S3L4P3carb | 3.65 | 0.135 | 7.62 | 0.097 | 60 | 79 |
| S3L4P3 | 1.90 | 0.142 | 5.61 | 0.065 | 82 | 79 |
| Standard for Moscow soils [92] | 4–15 | 0.005–0.02 | 5.5–7.0 | <3.000 | 44–88 | 83–166 |
| Column Design | Weight, g | The Bulk Density, g cm−3 | The Density of Solid Soil, g cm−3 | Total Porosity, % | Porosity Coefficient | Pe Value |
|---|---|---|---|---|---|---|
| top: S7L3carb | 6222 | 1.3 ± 0.1 | 2.6 ± 0.1 | 48.5 ± 2.3 | 0.9 ± 0.1 | 4.8 |
| sub: carbonate sand | 9856 | 1.8 ± 0.0 | 2.8 ± 0.0 | 35.7 ± 0.3 | 0.6 ± 0.0 | |
| top: S7P3 | 5993 | 1.3 ± 0.2 | 2.4 ± 0.2 | 46.1 ± 1.2 | 0.9 ± 0.1 | 10.1 |
| sub: quartz sand | 9308 | 1.7 ± 0.1 | 2.8 ± 0.1 | 39.3 ± 1.2 | 0.6 ± 0.1 | |
| top: S7P3carb | 5956 | 1.2 ± 0.1 | 2.5 ± 0.1 | 52.0 ± 6.2 | 1.1 ± 0.3 | 5.7 |
| sub: carbonate sand | 9856 | 1.8 ± 0.0 | 2.8 ± 0.0 | 35.7 ± 0.3 | 0.6 ± 0.0 |
| Type of Top Substrate | Maximum Leaf Length, cm | Mature Living Leaves | Middle Living Leaves | Young Living Leaves | Chl Values by SPAD | Raw Weight of Leaves, g | Visual Evaluation of Leaves | Maximum Length of Roots, cm | Average Length of Roots, cm | Raw Weight of Roots, g | Visual Evaluation of Roots |
|---|---|---|---|---|---|---|---|---|---|---|---|
| S7L3carb | 52 | 4 | 4 | 2 | 39.1 | 6.57 | Edge burn, chlorosis | 50 | 30–45 | 54.66 | There are small roots in the drainage |
| S7P3 | 11 | 0 | 0 | 1 | 15.1 * | 0.27 | Almost all the leaves are dry | 60 | 20–30 | 41.11 | The main root of the drainage |
| S7P3carb | 47 | 4 | 0 | 2 | 36.6 | 6.71 | Edge burn, chlorosis, and many dried leaves | 61 | 45–55 | 78.94 | There are small roots in the drainage |
| Document | Chloride | Sodium | |
|---|---|---|---|
| MARF, 2016 [102] | Discharge into freshwater bodies | 300 | 120 |
| US EPA, 1988 [103] | 230 (860) * | - | |
| CEQG, 2011 [104] | 120 (640) * | - | |
| MEEC,1996 [105] | 300 | - | |
| RG RF, 2013 [106] | Discharge into the wastewater system | 1000 | - |
| FAO, 1994 [107] | Sprinkler irrigation | 106 | 69 |
Disclaimer/Publisher’s Note: The statements, opinions and data contained in all publications are solely those of the individual author(s) and contributor(s) and not of MDPI and/or the editor(s). MDPI and/or the editor(s) disclaim responsibility for any injury to people or property resulting from any ideas, methods, instructions or products referred to in the content. |
© 2025 by the authors. Licensee MDPI, Basel, Switzerland. This article is an open access article distributed under the terms and conditions of the Creative Commons Attribution (CC BY) license (https://creativecommons.org/licenses/by/4.0/).
Share and Cite
Romzaykina, O.; Vasenev, V.; Kozlova, E.; Shchukin, I.; Losev, A.; Smagin, A. Are Rain Gardens Resistant to Salinization Stresses? The Consequences of De-Icing Chemicals’ Implementation for Soil Health, Plant Condition, and Groundwater Quality. Land 2025, 14, 942. https://doi.org/10.3390/land14050942
Romzaykina O, Vasenev V, Kozlova E, Shchukin I, Losev A, Smagin A. Are Rain Gardens Resistant to Salinization Stresses? The Consequences of De-Icing Chemicals’ Implementation for Soil Health, Plant Condition, and Groundwater Quality. Land. 2025; 14(5):942. https://doi.org/10.3390/land14050942
Chicago/Turabian StyleRomzaykina, Olga, Viacheslav Vasenev, Ekaterina Kozlova, Igor Shchukin, Artem Losev, and Andrey Smagin. 2025. "Are Rain Gardens Resistant to Salinization Stresses? The Consequences of De-Icing Chemicals’ Implementation for Soil Health, Plant Condition, and Groundwater Quality" Land 14, no. 5: 942. https://doi.org/10.3390/land14050942
APA StyleRomzaykina, O., Vasenev, V., Kozlova, E., Shchukin, I., Losev, A., & Smagin, A. (2025). Are Rain Gardens Resistant to Salinization Stresses? The Consequences of De-Icing Chemicals’ Implementation for Soil Health, Plant Condition, and Groundwater Quality. Land, 14(5), 942. https://doi.org/10.3390/land14050942

