A Prediction–Interaction–Driving Framework for Ecosystem Services Under Climate Change and Human Activities: A Case Study of Zoigê Plateau
Abstract
1. Introduction
2. Materials and Methods
2.1. Study Area
2.2. Data Sources
2.3. Methods
2.3.1. Land Use Prediction
2.3.2. Quantification of ESs
2.3.3. Interaction Detection of ESs
2.3.4. Driving Mechanisms Study
3. Results
3.1. LUCC Change and Prediction
3.2. ES Dynamic Changes
3.3. ES Interaction Changes
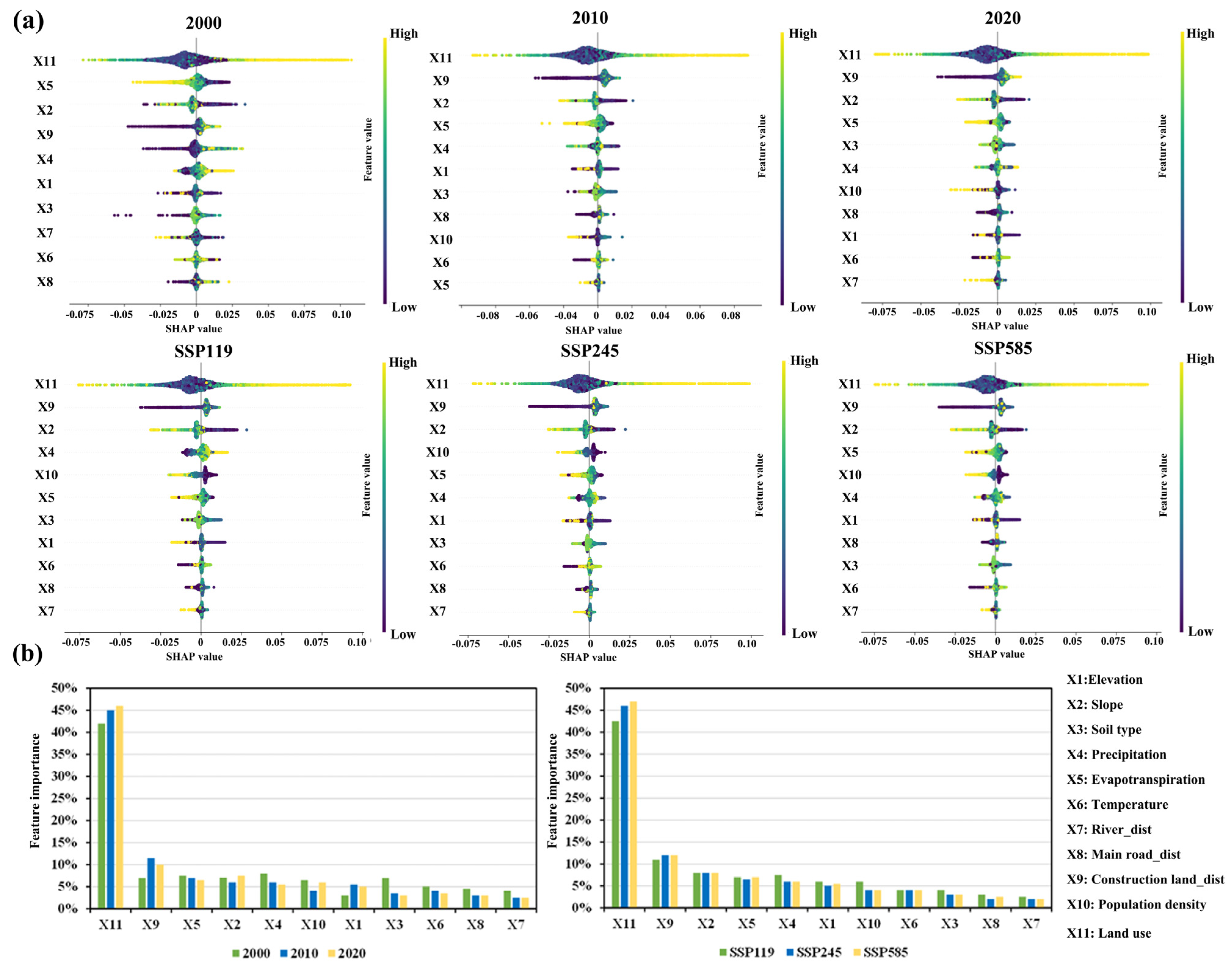
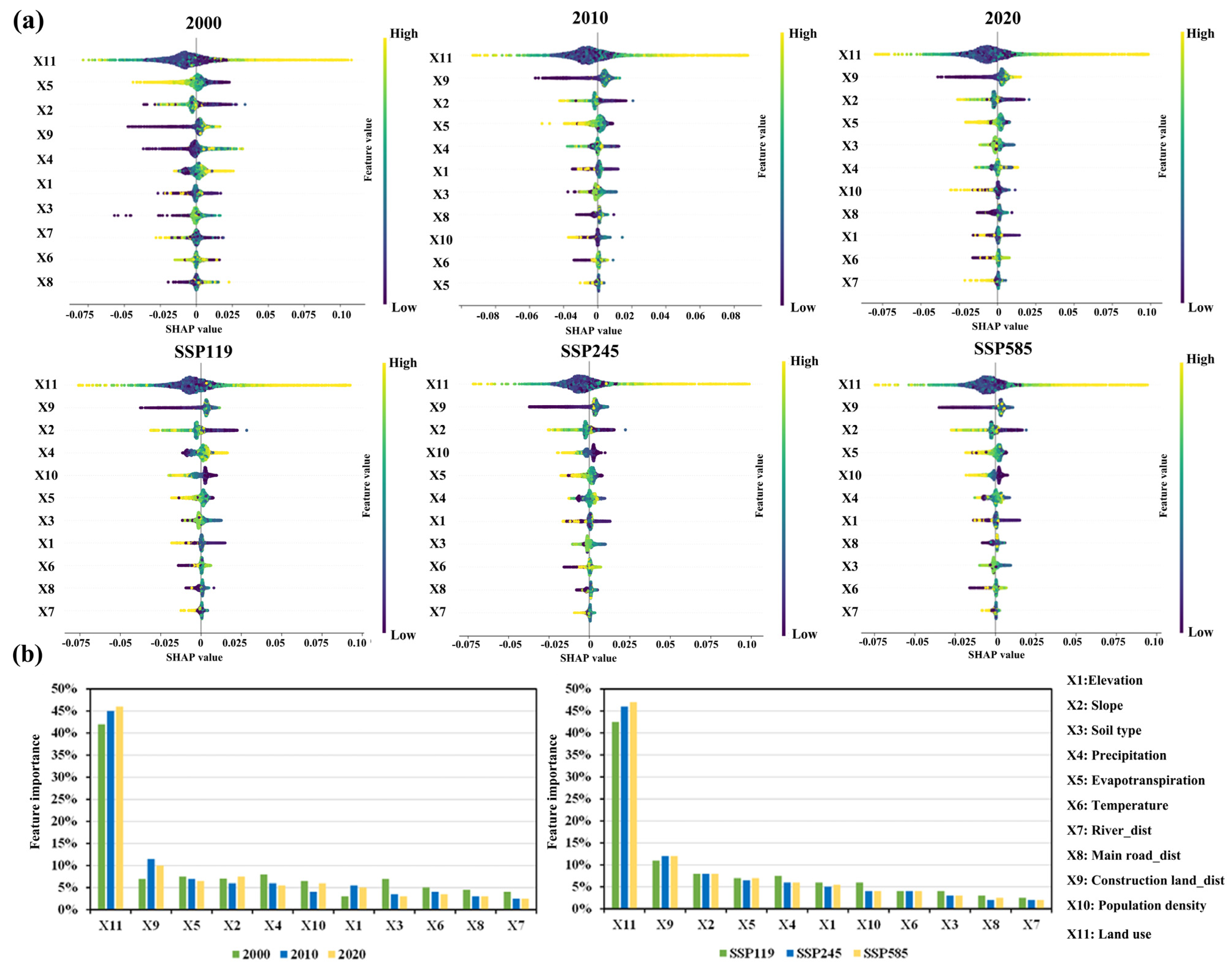
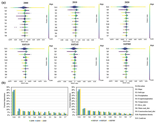
3.4. Driver Importance Identification
3.5. Driver Spatial Effect Identification
4. Discussion
4.1. Changes in and Interactions of Ecosystem Services
4.2. Driving and Spatial Effects of Integrated Ecosystem Services
4.3. Research Implications and Planning Recommendations
4.4. Limitations and Future Developments
5. Conclusions
Author Contributions
Funding
Data Availability Statement
Conflicts of Interest
Appendix A
| Name | Source | Time | Resolution |
|---|---|---|---|
| DEM | https://www.gscloud.cn (accessed on 1 May 2024) | 2000–2020 | 30 m |
| Land use | http://www.resdc.cn (accessed on 1 May 2024) | 2000–2020 | 30 m |
| Soil type | https://gaez.fao.org/pages/hwsd (accessed on 1 May 2024) | 2000–2020 | 1 km |
| NDVI | http://www.resdc.cn/ (accessed on 1 May 2024) | 2000–2020 | 30 m |
| Annual average precipitation | https://www.resdc.cn/ (accessed on 1 June 2024) | 2000–2020 | 1 km |
| https://doi.org/10.11866/db.loess.2021.002 (accessed on 1 June 2024) | 2040 (SSP119, SSP245, SSP585) | 1 km | |
| Annual average evapotranspiration | https://www.resdc.cn/ (accessed on 1 June 2024) | 2000–2020 | 1 km |
| https://doi.org/10.11888/Atmos.tpdc.300558 (accessed on 1 June 2024) | 2040 (SSP119, SSP245, SSP585) | 1 km | |
| Annual average temperature | https://www.resdc.cn/ (accessed on 1 June 2024) | 2000–2020 | 1 km |
| https://doi.org/10.11866/db.loess.2021.003 (accessed on 1 June 2024) | 2040 (SSP119, SSP245, SSP585) | 1 km | |
| Population density | https://www.resdc.cn/ (accessed on 1 June 2024) | 2000–2020 | 1 km |
| https://doi.org/10.6084/m9.figshare.c.4605713 (accessed on 1 June 2024) | 2040 (SSP119, SSP245, SSP585) | 1 km | |
| GDP | http://www.resdc.cn (accessed on 1 May 2024) | 2000–2020 | 1 km |
| Main roads | https://www.openstreetmap.org (accessed on 1 May 2024) | 2000–2020 | 30 m |
| Main rivers | 2000–2020 | 30 m |
| Typology | Formula | Meaning of Index | |
|---|---|---|---|
| Ecosystem services | Water Conservation | In this formula, represents the total water conservation (m³); is precipitation (mm); is surface runoff (mm); is evapotranspiration (mm); is the area of the iii-type ecosystem; i represents each ecosystem type within the study area; and j is the total number of ecosystem types in the study area. Additionally, is surface runoff (mm), represents annual precipitation (mm), and denotes the mean surface runoff coefficient. | |
| Carbon Storage | In this equation, denotes above-ground organic matter, denotes below-ground organic matter, represents dead organic matter, and represents soil organic matter. | ||
| Habitat Quality | Here, represents the habitat quality of a grid within habitat type j, where indicates the disturbance level experienced by grid x in habitat type j. The constant k is the half-saturation value, typically set at half of the maximum value obtained from during a preliminary trial, and denotes the suitability of habitat type j. | ||
| Soil Conservation | In this equation, SC represents soil conservation capacity, while denote potential and actual soil erosion, respectively. R, K, LS, C, and P represent rainfall erosivity, soil erodibility, slope length, vegetation cover management, and soil conservation practices. | ||
| Optimal parameter geographical detector (OPGD) | Here, and represent the total number of observations and the overall variance for the entire study area, respectively, while and denote the number of observations and population variance within the j sub-region (j = 1,...,M). The q-value indicates the degree of importance of the explanatory variable. | ||
| Gradient-boosting decision trees (GBDT) | Here, denotes the final model after M iterations (i.e., the number of decision trees). represents the leaves generated by the decision tree at the m-th iteration. The indicator function equals 1 if the input is within the region , and 0 otherwise. | ||
| Shapley additive explanations (SHAP) | Here, is the SHAP value for a specific feature , indicating its influence on the model’s prediction. This value is computed by evaluating the contributions of feature across all potential subsets of the other features (excluding ). | ||
| Multiscale geographically weighted regression (MGWR) | In this equation, represents ES, denotes each driving factor, k is the total number of spatial units analyzed, represents the random error term, represents the spatial coordinates of sample points, denotes the intercept at location i, and represents the local regression coefficient of the j-th variable at location i. | ||
| Basis of Judgement | Type of Interaction |
|---|---|
| q(x1∩x2) < Min(q(x1),q(x2)) | Nonlinear attenuation: the effect of a single variable is nonlinearly attenuated by the interaction of two variables. |
| Min(q(x1),q(x2)) < q(x1∩x2) < Max(q(x1),q(x2)) | Univariate attenuation: the effect of a single variable is attenuated in a univariate manner by an interaction. |
| q(x1∩x2) > Max(q(x1),q(x2)) | Bivariate enhancement: the effect of a single variable is enhanced in a bivariate manner by interaction. |
| q(x1∩x2) = q(x1) + q(x2) | Independent: the effects of the variables are independent. |
| q(x1∩x2) > q(x1) + q(x2) | Nonlinearly augmented: the effects of the variables are nonlinearly augmented. |

References
- Costanza, R.; d’Arge, R.; de Groot, R.; Farber, S.; Grasso, M.; Hannon, B.; Limburg, K.; Naeem, S.; O’Neill, R.V.; Paruelo, J.; et al. The value of the world’s ecosystem services and natural capital. Ecol. Econ. 1998, 25, 3–15. [Google Scholar] [CrossRef]
- Mach, M.E.; Martone, R.G.; Chan, K.M.A. Human impacts and ecosystem services: Insufficient research for trade-off evaluation. Ecosyst. Serv. 2015, 16, 112–120. [Google Scholar] [CrossRef]
- Costanza, R.; de Groot, R.; Sutton, P.; van der Ploeg, S.; Anderson, S.J.; Kubiszewski, I.; Farber, S.; Turner, R.K. Changes in the global value of ecosystem services. Global Environ. Change 2014, 26, 152–158. [Google Scholar] [CrossRef]
- Liu, H.; Liu, S.; Wang, F.; Liu, Y.; Han, Z.; Wang, Q.; Yu, L.; Dong, Y.; Sun, J. Multilevel driving factors affecting ecosystem services and biodiversity dynamics on the Qinghai-Tibet Plateau. J. Clean. Prod. 2023, 396, 136448. [Google Scholar] [CrossRef]
- Arias, P.; Bellouin, N.; Coppola, E.; Jones, C.; Krinner, G.; Marotzke, J.; Naik, V.; Plattner, G.-K.; Rojas, M.; Sillmann, J.; et al. Climate Change 2021: The Physical Science Basis. Contribution of Working Group I to the Sixth Assessment Report of the Intergovernmental Panel on Climate Change; Technical Summary; Cambridge University Press: Cambridge, UK, 2021. [Google Scholar]
- Newbold, T.; Hudson, L.N.; Hill, S.L.L.; Contu, S.; Lysenko, I.; Senior, R.A.; Börger, L.; Bennett, D.J.; Choimes, A.; Collen, B.; et al. Global effects of land use on local terrestrial biodiversity. Nature 2015, 520, 45–50. [Google Scholar] [CrossRef]
- Li, Q.; Li, D.; Wang, J.; Wang, S.; Wang, R.; Fu, G.; Yuan, Y.; Zheng, Z. Spatial heterogeneity of ecosystem service bundles and the driving factors in the Beijing-Tianjin-Hebei region. J. Clean. Prod. 2024, 479, 144006. [Google Scholar] [CrossRef]
- Chaplin-Kramer, R.; Sharp, R.P.; Weil, C.; Bennett, E.M.; Pascual, U.; Arkema, K.K.; Brauman, K.A.; Bryant, B.P.; Guerry, A.D.; Haddad, N.M.; et al. Global modeling of nature’s contributions to people. Science 2019, 366, 255–258. [Google Scholar] [CrossRef]
- Xia, H.; Yuan, S.; Prishchepov, A.V. Spatial-temporal heterogeneity of ecosystem service interactions and their social-ecological drivers: Implications for spatial planning and management. Resour. Conserv. Recycl. 2023, 189, 106767. [Google Scholar] [CrossRef]
- Yang, R.; Mu, Z.; Gao, R.; Huang, M.; Zhao, S. Interactions between ecosystem services and their causal relationships with driving factors: A case study of the Tarim River Basin, China. Ecol. Indic. 2024, 169, 112810. [Google Scholar] [CrossRef]
- Geijzendorffer, I.R.; Cohen-Shacham, E.; Cord, A.F.; Cramer, W.; Guerra, C.; Martín-López, B. Ecosystem services in global sustainability policies. Environ. Sci. Policy 2017, 74, 40–48. [Google Scholar] [CrossRef]
- Mandle, L.; Shields-Estrada, A.; Chaplin-Kramer, R.; Mitchell, M.G.E.; Bremer, L.L.; Gourevitch, J.D.; Hawthorne, P.; Johnson, J.A.; Robinson, B.E.; Smith, J.R.; et al. Increasing decision relevance of ecosystem service science. Nat. Sustain. 2021, 4, 161–169. [Google Scholar] [CrossRef]
- Xiao, Y.; Huang, M.; Xie, G.; Zhen, L. Evaluating the impacts of land use change on ecosystem service values under multiple scenarios in the Hunshandake region of China. Sci. Total Environ. 2022, 850, 158067. [Google Scholar] [CrossRef] [PubMed]
- Cord, A.F.; Bartkowski, B.; Beckmann, M.; Dittrich, A.; Hermans-Neumann, K.; Kaim, A.; Lienhoop, N.; Locher-Krause, K.; Priess, J.; Schröter-Schlaack, C.; et al. Towards systematic analyses of ecosystem service trade-offs and synergies: Main concepts, methods and the road ahead. Ecosyst. Serv. 2017, 28, 264–272. [Google Scholar] [CrossRef]
- Qiao, X.; Gu, Y.; Zou, C.; Xu, D.; Wang, L.; Ye, X.; Yang, Y.; Huang, X. Temporal variation and spatial scale dependency of the trade-offs and synergies among multiple ecosystem services in the Taihu Lake Basin of China. Sci. Total Environ. 2019, 651, 218–229. [Google Scholar] [CrossRef]
- Deng, C.; Zhu, D.; Nie, X.; Liu, C.; Li, Z.; Liu, J.; Zhang, G.; Xiao, L.; Zhang, Y. Progress of research regarding the trade-offs of ecosystem services. Chin. J. Eco-Agric. 2020, 28, 1509–1522. [Google Scholar] [CrossRef]
- Zhang, M.; Chen, E.; Zhang, C.; Liu, C.; Li, J. Multi-Scenario Simulation of Land Use Change and Ecosystem Service Value Based on the Markov–FLUS Model in Ezhou City, China. Sustainability 2024, 16, 6237. [Google Scholar] [CrossRef]
- Alexander, L.; Allen, S.; Bindoff, N.; Breon, F.-M.; Church, J.; Cubasch, U.; Emori, S.; Forster, P.; Friedlingstein, P.; Gillett, N.; et al. Climate Change 2013: The Physical Science Basis, in Contribution of Working Group I (WGI) to the Fifth Assessment Report (AR5) of the Intergovernmental Panel on Climate Change (IPCC); IPCC: Geneva, Switzerland, 2013. [Google Scholar]
- Wu, X.; Wang, S.; Fu, B.; Liu, Y.; Zhu, Y. Land use optimization based on ecosystem service assessment: A case study in the Yanhe watershed. Land Use Policy 2018, 72, 303–312. [Google Scholar] [CrossRef]
- Liu, Y.; Zhao, W.; Zhang, Z.; Hua, T.; Ferreira, C.S.S. The role of nature reserves in conservation effectiveness of ecosystem services in China. J. Environ. Manag. 2023, 342, 118228. [Google Scholar] [CrossRef]
- Zhang, Z.; Tong, Z.; Zhang, L.; Liu, Y. What are the dominant factors and optimal driving threshold for the synergy and tradeoff between ecosystem services, from a nonlinear coupling perspective? J. Clean. Prod. 2023, 422, 138609. [Google Scholar] [CrossRef]
- Cook, B.I.; Mankin, J.S.; Marvel, K.; Williams, A.P.; Smerdon, J.E.; Anchukaitis, K.J. Twenty-First Century Drought Projections in the CMIP6 Forcing Scenarios. Earth’s Future 2020, 8, e2019EF001461. [Google Scholar] [CrossRef]
- Chen, Q.; Ning, Y. Projecting LUCC dynamics and ecosystem services in an emerging urban agglomeration under SSP-RCP scenarios and their management implications. Sci. Total Environ. 2024, 949, 175100. [Google Scholar] [CrossRef] [PubMed]
- Lin, Z.; Peng, S. Comparison of multimodel simulations of land use and land cover change considering integrated constraints—A case study of the Fuxian Lake basin. Ecol. Indic. 2022, 142, 109254. [Google Scholar] [CrossRef]
- Yao, Z.; Jiang, C.; Shan-shan, F. Effects of urban growth boundaries on urban spatial structural and ecological functional optimization in the Jining Metropolitan Area, China. Land Use Policy 2022, 117, 106113. [Google Scholar] [CrossRef]
- Xie, L.; Wang, H.; Liu, S. The ecosystem service values simulation and driving force analysis based on land use/land cover: A case study in inland rivers in arid areas of the Aksu River Basin, China. Ecol. Indic. 2022, 138, 108828. [Google Scholar] [CrossRef]
- Song, Y.; Wang, J.; Ge, Y.; Xu, C. An optimal parameters-based geographical detector model enhances geographic characteristics of explanatory variables for spatial heterogeneity analysis: Cases with different types of spatial data. GIScience Remote Sens. 2020, 57, 593–610. [Google Scholar] [CrossRef]
- Liu, Q.; Qiao, J.; Li, M.; Huang, M. Spatiotemporal heterogeneity of ecosystem service interactions and their drivers at different spatial scales in the Yellow River Basin. Sci. Total Environ. 2024, 908, 168486. [Google Scholar] [CrossRef]
- Ribeiro, M.T.; Singh, S.; Guestrin, C. “Why Should I Trust You?”: Explaining the Predictions of Any Classifier. In Proceedings of the 22nd ACM SIGKDD International Conference on Knowledge Discovery and Data Mining, San Francisco, CA, USA, 13–17 August 2016; pp. 1135–1144. [Google Scholar]
- Pan, Q.; Wen, Z.; Wu, T.; Zheng, T.; Yang, Y.; Li, R.; Zheng, H. Trade-offs and synergies of forest ecosystem services from the perspective of plant functional traits: A systematic review. Ecosyst. Serv. 2022, 58, 101484. [Google Scholar] [CrossRef]
- Yu, H.; Fotheringham, A.S.; Li, Z.; Oshan, T.; Kang, W.; Wolf, L.J. Inference in Multiscale Geographically Weighted Regression. Geogr. Anal. 2020, 52, 87–106. [Google Scholar] [CrossRef]
- Fotheringham, A.S.; Yang, W.; Kang, W. Multiscale Geographically Weighted Regression (MGWR). Ann. Am. Assoc. Geogr. 2017, 107, 1247–1265. [Google Scholar] [CrossRef]
- Huang, B.; Wu, B.; Barry, M. Geographically and temporally weighted regression for modeling spatio-temporal variation in house prices. Int. J. Geogr. Inf. Sci. 2010, 24, 383–401. [Google Scholar] [CrossRef]
- Yang, H.; Yu, J.; Xu, W.; Wu, Y.; Lei, X.; Ye, J.; Geng, J.; Ding, Z. Long-time series ecological environment quality monitoring and cause analysis in the Dianchi Lake Basin, China. Ecol. Indic. 2023, 148, 110084. [Google Scholar] [CrossRef]
- Chen, H.; Zhu, Q.; Peng, C.; Wu, N.; Wang, Y.; Fang, X.; Gao, Y.; Zhu, D.; Yang, G.; Tian, J.; et al. The impacts of climate change and human activities on biogeochemical cycles on the Qinghai-Tibetan Plateau. Glob. Change Biol. 2013, 19, 2940–2955. [Google Scholar] [CrossRef] [PubMed]
- Tu, M.; Lu, H.; Shang, M. Monitoring Grassland Desertification in Zoige County Using Landsat and UAV Image. Pol. J. Environ. Stud. 2021, 30, 5789–5799. [Google Scholar] [CrossRef]
- Zhang, B.; Niu, Z.; Zhang, D.; Huo, X. Dynamic Changes and Driving Forces of Alpine Wetlands on the Qinghai–Tibetan Plateau Based on Long-Term Time Series Satellite Data: A Case Study in the Gansu Maqu Wetlands. Remote Sens. 2022, 14, 4147. [Google Scholar] [CrossRef]
- Hu, Z.; Zang, X.; Zang, X.; Wang, J.; Wang, X. Response of spatio-temporal variation of land surface phenology to alpine wetland landscape evolution from 1990 to 2020. Acta Ecol. Sin. 2023, 43, 8998–9009. [Google Scholar] [CrossRef]
- Chaturvedi, R.K.; Joshi, J.; Jayaraman, M.; Bala, G.; Ravindranath, N.H. Multi-model climate change projections for India under representative concentration pathways. Curr. Sci. 2012, 103, 791–802. [Google Scholar]
- Wang, Z.; Li, X.; Mao, Y.; Li, L.; Wang, X.; Lin, Q. Dynamic simulation of land use change and assessment of carbon storage based on climate change scenarios at the city level: A case study of Bortala, China. Ecol. Indic. 2022, 134, 108499. [Google Scholar] [CrossRef]
- O’Neill, B.C.; Kriegler, E.; Ebi, K.L.; Kemp-Benedict, E.; Riahi, K.; Rothman, D.S.; van Ruijven, B.J.; van Vuuren, D.P.; Birkmann, J.; Kok, K.; et al. The roads ahead: Narratives for shared socioeconomic pathways describing world futures in the 21st century. Glob. Environ. Change 2017, 42, 169–180. [Google Scholar] [CrossRef]
- Wu, J.; Luo, J.; Zhang, H.; Qin, S.; Yu, M. Projections of land use change and habitat quality assessment by coupling climate change and development patterns. Sci. Total Environ. 2022, 847, 157491. [Google Scholar] [CrossRef]
- O’Neill, B.C.; Tebaldi, C.; van Vuuren, D.P.; Eyring, V.; Friedlingstein, P.; Hurtt, G.; Knutti, R.; Kriegler, E.; Lamarque, J.F.; Lowe, J.; et al. The Scenario Model Intercomparison Project (ScenarioMIP) for CMIP6. Geosci. Model Dev. 2016, 9, 3461–3482. [Google Scholar] [CrossRef]
- Huang, J.; Tang, Z.; Liu, D.; He, J. Ecological response to urban development in a changing socio-economic and climate context: Policy implications for balancing regional development and habitat conservation. Land Use Policy 2020, 97, 104772. [Google Scholar] [CrossRef]
- Liang, X.; Guan, Q.; Clarke, K.C.; Liu, S.; Wang, B.; Yao, Y. Understanding the drivers of sustainable land expansion using a patch-generating land use simulation (PLUS) model: A case study in Wuhan, China. Comput. Environ. Urban Syst. 2021, 85, 101569. [Google Scholar] [CrossRef]
- Liu, J.; Liu, B.; Wu, L.; Miao, H.; Liu, J.; Jiang, K.; Ding, H.; Gao, W.; Liu, T. Prediction of land use for the next 30 years using the PLUS model’s multi-scenario simulation in Guizhou Province, China. Sci. Rep. 2024, 14, 13143. [Google Scholar] [CrossRef]
- Yu, B.; Zang, Y.; Wu, C.; Zhao, Z. Spatiotemporal dynamics of wetlands and their future multi-scenario simulation in the Yellow River Delta, China. J. Environ. Manag. 2024, 353, 120193. [Google Scholar] [CrossRef] [PubMed]
- Wang, Q.; Guan, Q.; Sun, Y.; Du, Q.; Xiao, X.; Luo, H.; Zhang, J.; Mi, J. Simulation of future land use/cover change (LUCC) in typical watersheds of arid regions under multiple scenarios. J. Environ. Manag. 2023, 335, 117543. [Google Scholar] [CrossRef] [PubMed]
- Zheng, L.; Wang, Y.; Li, J. Quantifying the spatial impact of landscape fragmentation on habitat quality: A multi-temporal dimensional comparison between the Yangtze River Economic Belt and Yellow River Basin of China. Land Use Policy 2023, 125, 106463. [Google Scholar] [CrossRef]
- Guangyin, H.; Zhibao, D.; Zhenhai, W.; Junfeng, L. Land use and land cover change monitoring in the Zoige Wetland by remote sensing. In Proceedings of the Sixth International Symposium on Digital Earth, Beijing, China, 9–12 September 2009; p. 78410V. [Google Scholar]
- Reid, W.; Mooney, H.; Cropper, A.; Capistrano, D.; Carpenter, S.; Chopra, K. Millennium Ecosystem Assessment. Ecosystems and Human Well-Being: Synthesis; Island Press: Washington, DC, USA, 2005. [Google Scholar]
- Fan, X.; Gu, X.; Yu, H.; Long, A.; Tiando, D.S.; Ou, S.; Li, J.; Rong, Y.; Tang, G.; Zheng, Y.; et al. The Spatial and Temporal Evolution and Drivers of Habitat Quality in the Hung River Valley. Land 2021, 10, 1369. [Google Scholar] [CrossRef]
- Gong, S.; Xiao, Y.; Zheng, H.; Xiao, Y.; Ouyang, Z. Spatial patterns of ecosystem water conservation in China and its impact factors analysis. Acta Ecol. Sin. 2017, 37, 2455–2462. [Google Scholar] [CrossRef]
- Canadell, J.G.; Raupach, M.R. Managing Forests for Climate Change Mitigation. Science 2008, 320, 1456–1457. [Google Scholar] [CrossRef]
- Lal, R. Soil Carbon Sequestration Impacts on Global Climate Change and Food Security. Science 2004, 304, 1623–1627. [Google Scholar] [CrossRef]
- Qu, R.; He, L.; He, Z.; Wang, B.; Lyu, P.; Wang, J.; Kang, G.; Bai, W. A Study of Carbon Stock Changes in the Alpine Grassland Ecosystem of Zoigê, China, 2000–2020. Land 2022, 11, 1232. [Google Scholar] [CrossRef]
- Regolin, A.L.; Oliveira-Santos, L.G.; Ribeiro, M.C.; Bailey, L.L. Habitat quality, not habitat amount, drives mammalian habitat use in the Brazilian Pantanal. Landsc. Ecol. 2021, 36, 2519–2533. [Google Scholar] [CrossRef]
- Xu, C.; Yu, Q.; Wang, F.; Qiu, S.; Ai, M.; Zhao, J. Identifying and optimizing ecological spatial patterns based on the bird distribution in the Yellow River Basin, China. J. Environ. Manag. 2023, 348, 119293. [Google Scholar] [CrossRef] [PubMed]
- Zhang, X.; Lyu, C.; Fan, X.; Bi, R.; Xia, L.; Xu, C.; Sun, B.; Li, T.; Jiang, C. Spatiotemporal Variation and Influence Factors of Habitat Quality in Loess Hilly and Gully Area of Yellow River Basin: A Case Study of Liulin County, China. Land 2022, 11, 127. [Google Scholar] [CrossRef]
- Natural Capital Project. VEST 0.0 User’s Guide; Stanford University: Stanford, CA, USA; University of Minnesota: Minneapolis, MN, USA; Chinese Academy of Sciences: Beijing, China; The Nature Conservancy: Arlington County, VA, USA; World Wildlife Fund: Gland, Switzerland; Stockholm Resilience Centre: Stockholm, Sweden, 2022. [Google Scholar]
- Liu, H.; Tang, D. Ecological zoning and ecosystem management based on landscape ecological risk and ecosystem services: A case study in the Wuling Mountain Area. Ecol. Indic. 2024, 166, 112421. [Google Scholar] [CrossRef]
- Wang, J.; Zhou, W.; Xu, K.P.; Yan, J. Spatiotemporal pattern of vegetation cover and its relationship with urbanization in Beijing-Tianjin-Hebei megaregion from 2000 to 2010. Shengtai Xuebao Acta Ecol. Sin. 2017, 37, 7019–7029. [Google Scholar] [CrossRef][Green Version]
- Wang, J.-F.; Zhang, T.-L.; Fu, B.-J. A measure of spatial stratified heterogeneity. Ecol. Indic. 2016, 67, 250–256. [Google Scholar] [CrossRef]
- Dorogush, A.; Ershov, V.; Gulin, A. CatBoost: Gradient Boosting with Categorical Features Support. arXiv 2018, arXiv:1810.11363. [Google Scholar]
- Duan, D.; Wang, P.; Rao, X.; Zhong, J.; Xiao, M.; Huang, F.; Xiao, R. Identifying interactive effects of spatial drivers in soil heavy metal pollutants using interpretable machine learning models. Sci. Total Environ. 2024, 934, 173284. [Google Scholar] [CrossRef]
- Lundberg, S.M.; Lee, S.-I. A unified approach to interpreting model predictions. In Proceedings of the 31st International Conference on Neural Information Processing Systems, Long Beach, CA, USA, 4–9 December 2017; pp. 4768–4777. [Google Scholar]
- Štrumbelj, E.; Kononenko, I. Explaining prediction models and individual predictions with feature contributions. Knowl. Inf. Syst. 2014, 41, 647–665. [Google Scholar] [CrossRef]
- Su, H.; Qi, Z.; Wang, Q. Impacts of land use characteristics on extreme heat events: Insights from explainable machine learning model. Sustain. Cities Soc. 2025, 120, 106139. [Google Scholar] [CrossRef]
- Shao, Y.; Liu, Y.; Li, Y.; Yuan, X. Regional ecosystem services relationships and their potential driving factors in the Yellow River Basin, China. J. Geogr. Sci. 2023, 33, 863–884. [Google Scholar] [CrossRef]
- Yang, M.; Gao, X.; Siddique, K.H.M.; Wu, P.; Zhao, X. Spatiotemporal exploration of ecosystem service, urbanization, and their interactive coercing relationship in the Yellow River Basin over the past 40 years. Sci. Total Environ. 2023, 858, 159757. [Google Scholar] [CrossRef] [PubMed]
- Liu, W.; Mo, X.; Liu, S.; Lu, C. Impacts of climate change on grassland fractional vegetation cover variation on the Tibetan Plateau. Sci. Total Environ. 2024, 939, 173320. [Google Scholar] [CrossRef] [PubMed]
- Mahmood, R.; Jia, S.; Ai, Z. Projected Intensified Hydrological Processes in the Three-River Headwater Region, Qinghai Tibetan Plateau. Water Resour. Res. 2024, 60, e2023WR036072. [Google Scholar] [CrossRef]
- Liang, Y.; Song, W. Integrating potential ecosystem services losses into ecological risk assessment of land use changes: A case study on the Qinghai-Tibet Plateau. J. Environ. Manag. 2022, 318, 115607. [Google Scholar] [CrossRef]
- Zhao, R.; Wang, J.; Li, L.; Zhang, L.; Lu, H.; Jiang, X.; Chen, X.; Han, Z.; Dang-zhi, C.; Wang, H.; et al. Evaluation of alpine wetland ecological degradation based on alpine wetland degradation index: A case study in the first meander of the Yellow River. Ecol. Indic. 2024, 158, 111414. [Google Scholar] [CrossRef]
- Zhang, X.; Hu, Y.; Zhao, L.; Fu, S.; Cui, Y.; Fulati, G.; Wang, X.; Zhou, J. Dynamic monitoring and restorability evaluation of alpine wetland in the eastern edge of Qinghai–Tibet Plateau. Glob. Ecol. Conserv. 2024, 51, e02948. [Google Scholar] [CrossRef]
- Qiu, M.; Liu, Y.; Tian, F.; Wang, S.; Fu, B. Marsh decrease was much faster than the water increase among the Yellow River Source wetlands during 1986–2022. Sci. Total Environ. 2024, 947, 174377. [Google Scholar] [CrossRef]
- Bennett, E.M.; Peterson, G.D.; Gordon, L.J. Understanding relationships among multiple ecosystem services. Ecol. Lett. 2009, 12, 1394–1404. [Google Scholar] [CrossRef]
- Felipe-Lucia, M.R.; Soliveres, S.; Penone, C.; Fischer, M.; Ammer, C.; Boch, S.; Boeddinghaus, R.S.; Bonkowski, M.; Buscot, F.; Fiore-Donno, A.M.; et al. Land-use intensity alters networks between biodiversity, ecosystem functions, and services. Proc. Natl. Acad. Sci. USA 2020, 117, 28140–28149. [Google Scholar] [CrossRef] [PubMed]
- Liu, Y.; Yuan, X.; Li, J.; Qian, K.; Yan, W.; Yang, X.; Ma, X. Trade-offs and synergistic relationships of ecosystem services under land use change in Xinjiang from 1990 to 2020: A Bayesian network analysis. Sci. Total Environ. 2023, 858, 160015. [Google Scholar] [CrossRef] [PubMed]
- Fu, B.; Zhang, L.; Xu, Z.; Zhao, Y.; Wei, Y.; Skinner, D. Ecosystem services in changing land use. J. Soils Sediments 2015, 15, 833–843. [Google Scholar] [CrossRef]
- Wu, H.; Wu, F.; Cai, Y.; Li, Z. Assessing the spatiotemporal impacts of land use change on ecological environmental quality using a regionalized territorial impact assessment framework. Sustain. Cities Soc. 2024, 112, 105623. [Google Scholar] [CrossRef]
- Xu, G.; Kang, X.; Wang, F.; Zhuang, W.; Yan, W.; Zhang, K. Alpine wetlands degradation leads to soil nutrient imbalances that affect plant growth and microbial diversity. Commun. Earth Environ. 2024, 5, 397. [Google Scholar] [CrossRef]
- Lin, C.-Y.; Li, X.-L.; Zhang, J.; Sun, H.-F.; Zhang, J.; Han, H.-B.; Wang, Q.-H.; Ma, C.-B.; Li, C.-Y.; Zhang, Y.-X.; et al. Effects of degradation succession of alpine wetland on soil organic carbon and total nitrogen in the Yellow River source zone, west China. J. Mt. Sci. 2021, 18, 694–705. [Google Scholar] [CrossRef]
- Yang, C.; Sun, J. Impact of soil degradation on plant communities in an overgrazed Tibetan alpine meadow. J. Arid. Environ. 2021, 193, 104586. [Google Scholar] [CrossRef]
- Zhao, Z.; Fu, B.; Lü, Y.; Li, T.; Deng, L.; Wang, Y.; Lü, D.; Wang, Y.; Wu, X. Variable climatic conditions dominate decreased wetland vulnerability on the Qinghai–Tibet Plateau: Insights from the ecosystem pattern-process-function framework. J. Clean. Prod. 2024, 458, 142496. [Google Scholar] [CrossRef]
- Zhu, M.; He, W.; Zhang, Q.; Xiong, Y.; Tan, S.; He, H. Spatial and temporal characteristics of soil conservation service in the area of the upper and middle of the Yellow River, China. Heliyon 2019, 5, e02985. [Google Scholar] [CrossRef]
- Chen, X.; Yuan, L.; Ma, Y.; Chen, D.; Su, Z.; Cao, D. A doubled increasing trend of evapotranspiration on the Tibetan Plateau. Sci. Bull. 2024, 69, 1980–1990. [Google Scholar] [CrossRef]
- Lin, Y.; Zhang, F.; Jin, Y.; Wen, L.; Yu, Y.; Zhang, L.; Weng, A.; Ge, Y. Spatial non-stationarity effects of the driving factors on landscape ecological risk: A case of the Xiamen-Zhangzhou-Quanzhou Urban Agglomeration, China. Ecol. Indic. 2024, 167, 112660. [Google Scholar] [CrossRef]
- Li, Z. Extracting spatial effects from machine learning model using local interpretation method: An example of SHAP and XGBoost. Comput. Environ. Urban Syst. 2022, 96, 101845. [Google Scholar] [CrossRef]
- Fu, B.; Yu, D. Trade-off analyses and synthetic integrated method of multiple ecosystem services. Resour. Sci 2016, 38, 1–9. [Google Scholar] [CrossRef]
- Rau, A.-L.; Burkhardt, V.; Dorninger, C.; Hjort, C.; Ibe, K.; Keßler, L.; Kristensen, J.A.; McRobert, A.; Sidemo-Holm, W.; Zimmermann, H.; et al. Temporal patterns in ecosystem services research: A review and three recommendations. Ambio 2020, 49, 1377–1393. [Google Scholar] [CrossRef]
- Ai, X.; Zheng, X.; Zhang, Y.; Liu, Y.; Ou, X.; Xia, C.; Liu, L. Climate and land use changes impact the trajectories of ecosystem service bundles in an urban agglomeration: Intricate interaction trends and driver identification under SSP-RCP scenarios. Sci. Total Environ. 2024, 944, 173828. [Google Scholar] [CrossRef]
- Xu, K.; Wang, J.; Wang, J.; Wang, X.; Chi, Y.; Zhang, X. Environmental function zoning for spatially differentiated environmental policies in China. J. Environ. Manag. 2020, 255, 109485. [Google Scholar] [CrossRef]
- Spake, R.; Lasseur, R.; Crouzat, E.; Bullock, J.M.; Lavorel, S.; Parks, K.E.; Schaafsma, M.; Bennett, E.M.; Maes, J.; Mulligan, M.; et al. Unpacking ecosystem service bundles: Towards predictive mapping of synergies and trade-offs between ecosystem services. Glob. Environ. Change 2017, 47, 37–50. [Google Scholar] [CrossRef]
- Shakya, B.; Pradhan, N.S.; Yi, S. Nature-based solutions: An innovative pathway to addressing mountain hazards at speed and scale. Innov. Geosci. 2023, 1, 100021. [Google Scholar] [CrossRef]
- Zeng, W.; He, Z.; Bai, W.; He, L.; Chen, X.; Chen, J. Identification of ecological security patterns of alpine wetland grasslands based on landscape ecological risks: A study in Zoigê County. Sci. Total Environ. 2024, 928, 172302. [Google Scholar] [CrossRef]
- Zhou, G.; Huan, Y.; Wang, L.; Lan, Y.; Liang, T.; Shi, B.; Zhang, Q. Linking ecosystem services and circuit theory to identify priority conservation and restoration areas from an ecological network perspective. Sci. Total Environ. 2023, 873, 162261. [Google Scholar] [CrossRef]
- Yu, D.; Hao, R. Research progress and prospect of ecosystem services. Adv. Earth Sci. 2020, 35, 804. [Google Scholar] [CrossRef]
- Zhang, Q.-Y.; Gao, J.-Q.; Feng, J.-G.; Li, Q.-W. Analysis of Hydrological Connectivity Dynamic and Important Patches in the Zoige Wetland. J. Ecol. Rural. Environ. 2024, 40, 766–772. [Google Scholar] [CrossRef]









| LUCC Types | 2000 | 2010 | 2020 | 2040_SSP119 | 2040_SSP245 | 2040_SSP585 |
|---|---|---|---|---|---|---|
| Cultivated land | 217.4 | 283.3 | 270.5 | 270.0 | 253.2 | 253.1 |
| Forest land | 6300.6 | 6816.1 | 6821.5 | 6824.8 | 6825.3 | 6824.4 |
| Grassland | 30,546.6 | 29,744.4 | 29,772.0 | 29,771.2 | 29,837.3 | 29,934.3 |
| Waterbody | 248.7 | 388.7 | 393.6 | 381.9 | 381.4 | 381.1 |
| Construction Land | 34.1 | 73.5 | 101.8 | 102.1 | 140.7 | 145.3 |
| Unused land | 1002.6 | 1107.2 | 1101.1 | 1096.3 | 1089.0 | 1089.0 |
| Wetland | 4471.4 | 4408.7 | 4360.6 | 4374.8 | 4294.4 | 4193.9 |
| 2000 | 2010 | 2020 | 2040_SSP119 | 2040_SSP245 | 2040_SSP585 | |
|---|---|---|---|---|---|---|
| R2 | 0.70 | 0.74 | 0.70 | 0.77 | 0.74 | 0.73 |
| MAE | 0.02 | 0.02 | 0.02 | 0.02 | 0.02 | 0.02 |
| RMSE | 0.03 | 0.02 | 0.02 | 0.24 | 0.03 | 0.03 |
| Scenario | Regression Model | AICc | R2 | Adj.R2 |
|---|---|---|---|---|
| 2000 | OLS | 5867.4 | 0.3 | 0.3 |
| GWR | 4649.7 | 0.7 | 0.7 | |
| MGWR | 4524.0 | 0.7 | 0.7 | |
| 2010 | OLS | 6007.6 | 0.2 | 0.2 |
| GWR | 3744.5 | 0.8 | 0.8 | |
| MGWR | 3545.1 | 0.8 | 0.8 | |
| 2020 | OLS | 5940.2 | 0.2 | 0.2 |
| GWR | 3759.0 | 0.8 | 0.8 | |
| MGWR | 3366.3 | 0.8 | 0.8 | |
| 2040_SSP119 | OLS | 6078.3 | 0.2 | 0.2 |
| GWR | 4658.5 | 0.7 | 0.6 | |
| MGWR | 4335.4 | 0.7 | 0.7 | |
| 2040_SSP245 | OLS | 6132.0 | 0.1 | 0.2 |
| GWR | 4776.0 | 0.7 | 0.6 | |
| MGWR | 4424.2 | 0.7 | 0.7 | |
| 2040_SSP585 | OLS | 6121.4 | 0.2 | 0.2 |
| GWR | 4747.2 | 0.7 | 0.6 | |
| MGWR | 4427.8 | 0.7 | 0.7 |
Disclaimer/Publisher’s Note: The statements, opinions and data contained in all publications are solely those of the individual author(s) and contributor(s) and not of MDPI and/or the editor(s). MDPI and/or the editor(s) disclaim responsibility for any injury to people or property resulting from any ideas, methods, instructions or products referred to in the content. |
© 2025 by the authors. Licensee MDPI, Basel, Switzerland. This article is an open access article distributed under the terms and conditions of the Creative Commons Attribution (CC BY) license (https://creativecommons.org/licenses/by/4.0/).
Share and Cite
Zeng, W.; He, L.; He, Z.; Zhao, Y.; Yuan, Y.; Pang, J.; Zhao, J. A Prediction–Interaction–Driving Framework for Ecosystem Services Under Climate Change and Human Activities: A Case Study of Zoigê Plateau. Land 2025, 14, 441. https://doi.org/10.3390/land14030441
Zeng W, He L, He Z, Zhao Y, Yuan Y, Pang J, Zhao J. A Prediction–Interaction–Driving Framework for Ecosystem Services Under Climate Change and Human Activities: A Case Study of Zoigê Plateau. Land. 2025; 14(3):441. https://doi.org/10.3390/land14030441
Chicago/Turabian StyleZeng, Wanting, Li He, Zhengwei He, Yang Zhao, Yan Yuan, Jintai Pang, and Jiahua Zhao. 2025. "A Prediction–Interaction–Driving Framework for Ecosystem Services Under Climate Change and Human Activities: A Case Study of Zoigê Plateau" Land 14, no. 3: 441. https://doi.org/10.3390/land14030441
APA StyleZeng, W., He, L., He, Z., Zhao, Y., Yuan, Y., Pang, J., & Zhao, J. (2025). A Prediction–Interaction–Driving Framework for Ecosystem Services Under Climate Change and Human Activities: A Case Study of Zoigê Plateau. Land, 14(3), 441. https://doi.org/10.3390/land14030441

