Future Land Use and Cover Modeling in South Korea: Linking SSP-RCP with FLUS Model
Abstract
1. Introduction
Study Area: Location and Characterization
2. Methods
2.1. Framework
2.2. Data Collection and Sources
2.2.1. Land Use Data
2.2.2. Socioeconomic Data
2.2.3. Environmental and Climate Data
2.2.4. Data Preprocessing
2.3. SSP-RCP Integrated Scenario Construction
2.4. System Dynamics
2.5. FLUS Model and Spatial Simulation
2.5.1. Model Structure and Suitability Assessment
2.5.2. Self-Adaptive Inertia and Competition Mechanisms
2.5.3. Spatial Allocation and Scenario Integration
2.5.4. Parameter Settings
2.6. Model Validation and Accuracy Assessment
Validation Metrics and Formulations
3. Results
3.1. Land Cover Conversion Matrix Analysis
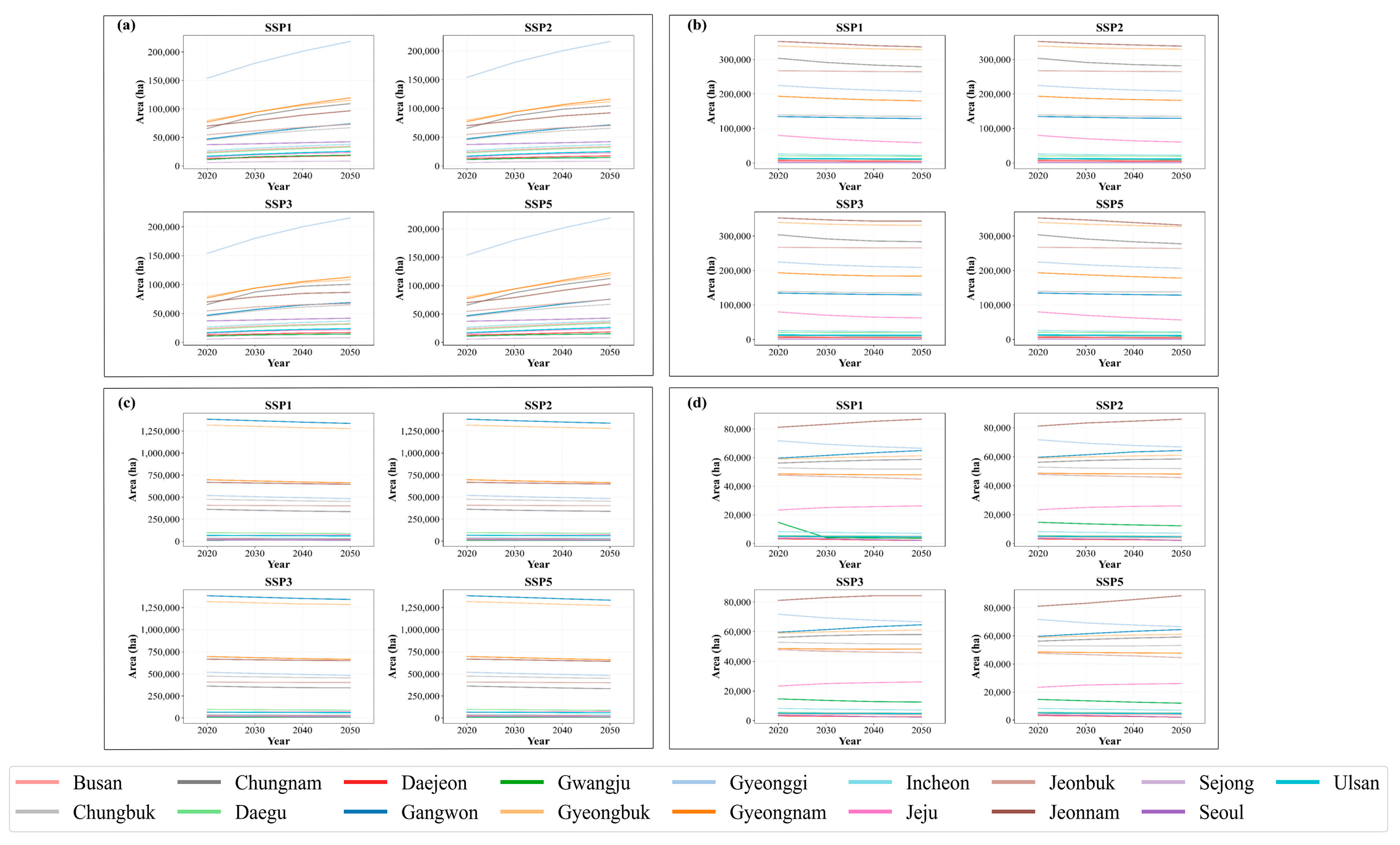
3.2. National Projections and Regional Variations
3.3. Scenario Sensitivity and Comparative Analysis
3.4. Model Reliability Validation Results by Region
3.4.1. Figure of Merit (FoM) and Kappa Analysis Results
3.4.2. Uncertainties and Implications
4. Discussion
4.1. Diverse LULC Change Patterns and Implications
4.2. Policy Applications and Sustainable Development Strategies
4.3. Limitations and Suggestions
5. Conclusions
Supplementary Materials
Author Contributions
Funding
Data Availability Statement
Acknowledgments
Conflicts of Interest
References
- Li, X.; Yu, L.; Chen, X. New Insights into Urbanization Based on Global Mapping and Analysis of Human Settlements in the Rural-Urban Continuum. Land 2023, 12, 1607. [Google Scholar] [CrossRef]
- Zambrano-Monserrate, M.A.; Carvajal-Lara, C.; Urgilés-Sanchez, R.; Ruano, M.A. Deforestation as an Indicator of Environmental Degradation: Analysis of Five European Countries. Ecol. Indic. 2018, 90, 1–8. [Google Scholar] [CrossRef]
- Do, A.N.T.; Tran, H.D.; Ashley, M.; Nguyen, A.T. Monitoring Landscape Fragmentation and Aboveground Biomass Estimation in Can Gio Mangrove Biosphere Reserve over the Past 20 Years. Ecol. Inform. 2022, 70, 101743. [Google Scholar] [CrossRef]
- Liu, H.; Gong, P.; Wang, J.; Wang, X.; Ning, G.; Xu, B. Production of Global Daily Seamless Data Cubes and Quantification of Global Land Cover Change from 1985 to 2020—IMap World 1.0. Remote Sens. Environ. 2021, 258, 112364. [Google Scholar] [CrossRef]
- Liu, Y.; Huang, X.; Yang, H.; Zhong, T. Environmental Effects of Land-Use/Cover Change Caused by Urbanization and Policies in Southwest China Karst Area—A Case Study of Guiyang. Habitat. Int. 2014, 44, 339–348. [Google Scholar] [CrossRef]
- Muriithi, F.K. Land Use and Land Cover (LULC) Changes in Semi-Arid Sub-Watersheds of Laikipia and Athi River Basins, Kenya, as Influenced by Expanding Intensive Commercial Horticulture. Remote Sens. Appl. 2016, 3, 73–88. [Google Scholar] [CrossRef]
- Song, B.; Park, K. Temperature Trend Analysis Associated with Land-Cover Changes Using Time-Series Data (1980–2019) from 38 Weather Stations in South Korea. Sustain. Cities Soc. 2021, 65, 102615. [Google Scholar] [CrossRef]
- Baidoo, R.; Arko-Adjei, A.; Poku-Boansi, M.; Quaye-Ballard, J.A.; Somuah, D.P. Land Use and Land Cover Changes Implications on Biodiversity in the Owabi Catchment of Atwima Nwabiagya North District, Ghana. Heliyon 2023, 9, e15238. [Google Scholar] [CrossRef] [PubMed]
- Wang, Y.; Liu, X.; Wang, T.; Zhang, X.; Feng, Y.; Yang, G.; Zhen, W. Relating Land-Use/Land-Cover Patterns to Water Quality in Watersheds Based on the Structural Equation Modeling. Catena 2021, 206, 105566. [Google Scholar] [CrossRef]
- Zarin, T.; Esraz-Ul-Zannat, M. Assessing the Potential Impacts of LULC Change on Urban Air Quality in Dhaka City. Ecol. Indic. 2023, 154, 110746. [Google Scholar] [CrossRef]
- Knoke, T.; Elsasser, P.; Kindu, M. Considering the Land-Cover Elasticity of Ecosystem Service Value Coefficients Improves Assessments of Large Land-Use Changes. Ecosyst. Serv. 2024, 68, 101645. [Google Scholar] [CrossRef]
- Clerici, N.; Cote-Navarro, F.; Escobedo, F.J.; Rubiano, K.; Villegas, J.C. Spatio-Temporal and Cumulative Effects of Land Use-Land Cover and Climate Change on Two Ecosystem Services in the Colombian Andes. Sci. Total Environ. 2019, 685, 1181–1192. [Google Scholar] [CrossRef] [PubMed]
- Chanapathi, T.; Thatikonda, S. Investigating the Impact of Climate and Land-Use Land Cover Changes on Hydrological Predictions over the Krishna River Basin under Present and Future Scenarios. Sci. Total Environ. 2020, 721, 137736. [Google Scholar] [CrossRef]
- Lin, Z.; Peng, S.; Ma, D.; Shi, S.; Zhu, Z.; Zhu, J.; Gong, L.; Huang, B. Patterns of Change, Driving Forces and Future Simulation of LULC in the Fuxian Lake Basin Based on the IM-RF-Markov-PLUS Framework. Sustain. Futures 2024, 8, 100289. [Google Scholar] [CrossRef]
- Tolentino, F.M.; de Lourdes Bueno Trindade Galo, M. Selecting Features for LULC Simultaneous Classification of Ambiguous Classes by Artificial Neural Network. Remote Sens. Appl. 2021, 24, 100616. [Google Scholar] [CrossRef]
- Lin, C.; Wu, C.C.; Tsogt, K.; Ouyang, Y.C.; Chang, C.I. Effects of Atmospheric Correction and Pansharpening on LULC Classification Accuracy Using WorldView-2 Imagery. Inf. Process. Agric. 2015, 2, 25–36. [Google Scholar] [CrossRef]
- Li, X.; Zhang, Y.; Ma, N.; Li, C.; Luan, J. Contrasting Effects of Climate and LULC Change on Blue Water Resources at Varying Temporal and Spatial Scales. Sci. Total Environ. 2021, 786, 147488. [Google Scholar] [CrossRef]
- Feng, Z.; Sun, L. Response of Spatial and Temporal Variations of Ecosystem Service Value to Land Use/Land Cover Transformation in the Upper Basin of Miyun Reservoir. Ecol. Indic. 2024, 160, 111819. [Google Scholar] [CrossRef]
- Yang, K.; Hou, H.; Li, Y.; Chen, Y.; Wang, L.; Wang, P.; Hu, T. Future Urban Waterlogging Simulation Based on LULC Forecast Model: A Case Study in Haining City, China. Sustain. Cities Soc. 2022, 87, 104167. [Google Scholar] [CrossRef]
- Wang, Q.; Guan, Q.; Lin, J.; Luo, H.; Tan, Z.; Ma, Y. Simulating Land Use/Land Cover Change in an Arid Region with the Coupling Models. Ecol. Indic. 2021, 122, 107231. [Google Scholar] [CrossRef]
- Tan, Z.; Guan, Q.; Lin, J.; Yang, L.; Luo, H.; Ma, Y.; Tian, J.; Wang, Q.; Wang, N. The Response and Simulation of Ecosystem Services Value to Land Use/Land Cover in an Oasis, Northwest China. Ecol. Indic. 2020, 118, 106711. [Google Scholar] [CrossRef]
- Veisi Nabikandi, B.; Shahbazi, F.; Hami, A.; Malone, B. Exploring Carbon Storage and Sequestration as Affected by Land Use/Land Cover Changes toward Achieving Sustainable Development Goals. Soil Adv. 2024, 2, 100017. [Google Scholar] [CrossRef]
- Maximus, J.K. Assessing Watershed Vulnerability to Erosion and Sedimentation: Integrating DEM and LULC Data in Guyana’s Diverse Landscapes. HydroResearch 2025, 8, 178–193. [Google Scholar] [CrossRef]
- Ghalehteimouri, K.J.; Ros, F.C.; Rambat, S. Flood Risk Assessment through Rapid Urbanization LULC Change with Destruction of Urban Green Infrastructures Based on NASA Landsat Time Series Data: A Case of Study Kuala Lumpur between 1990–2021. Ecol. Front. 2024, 44, 289–306. [Google Scholar] [CrossRef]
- Foteck Fonji, S.; Taff, G.N. Using Satellite Data to Monitor Land-Use Land-Cover Change in North-Eastern Latvia. SpringerPlus 2014, 3, 61. [Google Scholar] [CrossRef] [PubMed]
- Varga, K.; Szabó, S.; Szabó, G.; Dévai, G.; Tóthmérész, B. Improved Land Cover Mapping Using Aerial Photographs and Satellite Images. Open Geosci. 2015, 7, 15–26. [Google Scholar] [CrossRef]
- Tang, J.; Song, P.; Hu, X.; Chen, C.; Wei, B.; Zhao, S. Coupled Effects of Land Use and Climate Change on Water Supply in SSP-RCP Scenarios: A Case Study of the Ganjiang River Basin, China. Ecol. Indic. 2023, 154, 110745. [Google Scholar] [CrossRef]
- Ma, B.; Wang, X. What Is the Future of Ecological Space in Wuhan Metropolitan Area? A Multi-Scenario Simulation Based on Markov-FLUS. Ecol. Indic. 2022, 141, 109124. [Google Scholar] [CrossRef]
- Ma, S.; Huang, J.; Wang, X.; Fu, Y. Multi-Scenario Simulation of Low-Carbon Land Use Based on the SD-FLUS Model in Changsha, China. Land Use Policy 2025, 148, 107418. [Google Scholar] [CrossRef]
- Santé, I.; García, A.M.; Miranda, D.; Crecente, R. Cellular Automata Models for the Simulation of Real-World Urban Processes: A Review and Analysis. Landsc. Urban Plan. 2010, 96, 108–122. [Google Scholar] [CrossRef]
- Liu, X.; Liang, X.; Li, X.; Xu, X.; Ou, J.; Chen, Y.; Li, S.; Wang, S.; Pei, F. A Future Land Use Simulation Model (FLUS) for Simulating Multiple Land Use Scenarios by Coupling Human and Natural Effects. Landsc. Urban Plan. 2017, 168, 94–116. [Google Scholar] [CrossRef]
- Xu, X.; Li, X.; Liu, X.; Shen, H.; Shi, Q. Multimodal Registration of Remotely Sensed Images Based on Jeffrey’s Divergence. ISPRS J. Photogramm. Remote Sens. 2016, 122, 97–115. [Google Scholar] [CrossRef]
- Luan, C.; Liu, R.; Li, Y.; Zhang, Q. Comparison of Various Models for Multi-Scenario Simulation of Land Use/Land Cover to Predict Ecosystem Service Value: A Case Study of Harbin-Changchun Urban Agglomeration, China. J. Clean. Prod. 2024, 478, 144012. [Google Scholar] [CrossRef]
- Zhang, X.; Zhang, D.; Ren, Y.; Li, K. Construction of the Green Infrastructure Network for Adaption to the Sustainable Future Urban Sprawl: A Case Study of Lanzhou City, Gansu Province, China. Ecol. Indic. 2022, 145, 109715. [Google Scholar] [CrossRef]
- Kriegler, E.; O’Neill, B.C.; Hallegatte, S.; Kram, T.; Lempert, R.J.; Moss, R.H.; Wilbanks, T. The Need for and Use of Socio-Economic Scenarios for Climate Change Analysis: A New Approach Based on Shared Socio-Economic Pathways. Glob. Environ. Change 2012, 22, 807–822. [Google Scholar] [CrossRef]
- O’Neill, B.C.; Kriegler, E.; Riahi, K.; Ebi, K.L.; Hallegatte, S.; Carter, T.R.; Mathur, R.; van Vuuren, D.P. A New Scenario Framework for Climate Change Research: The Concept of Shared Socioeconomic Pathways. Clim. Change 2014, 122, 387–400. [Google Scholar] [CrossRef]
- Guo, W.; Teng, Y.; Li, J.; Yan, Y.; Zhao, C.; Li, Y.; Li, X. A New Assessment Framework to Forecast Land Use and Carbon Storage under Different SSP-RCP Scenarios in China. Sci. Total Environ. 2024, 912, 169088. [Google Scholar] [CrossRef] [PubMed]
- Otsuka, T.; Nakajo, Y. Composite Composition Comprising Inorganic Oxide Particles and Silicone Resin and Method of Producing Same, and Transparent Composite and Method of Producing Same. WO202500100841A1, 12 July 2011. [Google Scholar]
- Jones, B.; O’Neill, B.C. Spatially Explicit Global Population Scenarios Consistent with the Shared Socioeconomic Pathways. Environ. Res. Lett. 2016, 11, 084003. [Google Scholar] [CrossRef]
- Zoraghein, H.; O’Neill, B.C. U.S. State-Level Projections of the Spatial Distribution of Population Consistent with Shared Socioeconomic Pathways. Sustainability 2020, 12, 3374. [Google Scholar] [CrossRef]
- Roy, S.K.; Alam, M.T.; Mojumder, P.; Mondal, I.; Kafy, A.-A.; Dutta, M.; Ferdous, M.N.; Al Mamun, M.A.; Mahtab, S.B. Dynamic Assessment and Prediction of Land Use Alterations Influence on Ecosystem Service Value: A Pathway to Environmental Sustainability. Environ. Sustain. Indic. 2024, 21, 100319. [Google Scholar] [CrossRef]
- Zhang, Z.; Li, X.; Liu, X.; Zhao, K. Dynamic Simulation and Projection of Land Use Change Using System Dynamics Model in the Chinese Tianshan Mountainous Region, Central Asia. Ecol. Model. 2024, 487, 110564. [Google Scholar] [CrossRef]
- Pontius, R.G.; Boersma, W.; Castella, J.C.; Clarke, K.; Nijs, T.; Dietzel, C.; Duan, Z.; Fotsing, E.; Goldstein, N.; Kok, K.; et al. Comparing the Input, Output, and Validation Maps for Several Models of Land Change. Ann. Reg. Sci. 2008, 42, 11–37. [Google Scholar] [CrossRef]
- Landis, J.R.; Koch, G.G. The Measurement of Observer Agreement for Categorical Data. Biometrics 1977, 33, 159–174. [Google Scholar] [CrossRef]
- Chen, G.; Li, X.; Liu, X.; Chen, Y.; Liang, X.; Leng, J.; Xu, X.; Liao, W.; Qiu, Y.; Wu, Q.; et al. Global Projections of Future Urban Land Expansion under Shared Socioeconomic Pathways. Nat. Commun. 2020, 11, 537. [Google Scholar] [CrossRef]
- Xie, Q.; Han, Y.; Zhang, L.; Han, Z. Dynamic Evolution of Land Use/Land Cover and Its Socioeconomic Driving Forces in Wuhan, China. Int. J. Environ. Res. Public Health 2023, 20, 3316. [Google Scholar] [CrossRef]
- Gao, J.; O’Neill, B.C. Mapping Global Urban Land for the 21st Century with Data-Driven Simulations and Shared Socioeconomic Pathways. Nat. Commun. 2020, 11, 2302. [Google Scholar] [CrossRef]
- Zhang, S.; Yang, P.; Xia, J.; Wang, W.; Cai, W.; Chen, N.; Hu, S.; Luo, X.; Li, J.; Zhan, C. Land Use/Land Cover Prediction and Analysis of the Middle Reaches of the Yangtze River under Different Scenarios. Sci. Total Environ. 2022, 833, 155238. [Google Scholar] [CrossRef] [PubMed]
- Osman, T.; Divigalpitiya, P.; Arima, T. Driving Factors of Urban Sprawl in Giza Governorate of Greater Cairo Metropolitan Region Using AHP Method. Land Use Policy 2016, 58, 21–31. [Google Scholar] [CrossRef]
- Wallace, D.; Schalliol, D. Testing the Temporal Nature of Social Disorder through Abandoned Buildings and Interstitial Spaces. Soc. Sci. Res. 2015, 54, 177–194. [Google Scholar] [CrossRef]
- Kriegler, E.; Edmonds, J.; Hallegatte, S.; Ebi, K.L.; Kram, T.; Riahi, K.; Winkler, H.; van Vuuren, D.P. A New Scenario Framework for Climate Change Research: The Concept of Shared Climate Policy Assumptions. Clim. Change 2014, 122, 401–414. [Google Scholar] [CrossRef]
- Ke, X.; van Vliet, J.; Zhou, T.; Verburg, P.H.; Zheng, W.; Liu, X. Direct and Indirect Loss of Natural Habitat Due to Urban Area Expansion: A Model-Based Analysis for the City of Wuhan, China. Land Use Policy 2018, 74, 231–239. [Google Scholar] [CrossRef]
- Marey, A.; Wang, L.; Goubran, S.; Gaur, A.; Lu, H.; Leroyer, S.; Belair, S. Forecasting Urban Land Use Dynamics Through Patch-Generating Land Use Simulation and Markov Chain Integration: A Multi-Scenario Predictive Framework. Sustainability 2024, 16, 10255. [Google Scholar] [CrossRef]
- Volk, R.; Rambhia, M.; Naber, E.; Schultmann, F. Urban Resource Assessment, Management, and Planning Tools for Land, Ecosystems, Urban Climate, Water, and Materials—A Review. Sustainability 2022, 14, 7203. [Google Scholar] [CrossRef]
- Umwali, E.D.; Chen, X.; Ma, X.; Guo, Z.; Mbigi, D.; Zhang, Z.; Umugwaneza, A.; Gasirabo, A.; Umuhoza, J. Integrated SSP-RCP Scenarios for Modeling the Impacts of Climate Change and Land Use on Ecosystem Services in East Africa. Ecol. Model. 2025, 504, 111092. [Google Scholar] [CrossRef]
- Luo, M.; Hu, G.; Chen, G.; Liu, X.; Hou, H.; Li, X. 1 km land use/land cover change of China under comprehensive socioeconomic and climate scenarios for 2020–2100. Sci. Data 2022, 9, 110. [Google Scholar] [CrossRef] [PubMed] [PubMed Central]









| Dataset | Data | Year | Sources of Data Processing | Resolution |
|---|---|---|---|---|
| Land Use data | Land use and land cover (Major categories) | 1990~2020 | Environmental Space Information Service (https://egis.me.go.kr/) | 100 m |
| Dem | 2020 | SRTM V3.0 dataset (2015 release, NASA JPL) | 100 m | |
| Aridity index | 2020 | CGIAR-CSI Global | 100 m | |
| City center locations | 2020 | Ministry of Land, Infrastructure and Transport (MOLIT)—Urban planning zoning dataset | 100 m | |
| Location to transportation facilities | 2020 | 100 m | ||
| Port location | 2020 | 100 m | ||
| Protected zones (exclusion zones) | 2020 | Ministry of Land, Infrastructure and Transport (MOLIT)—Urban planning zoning dataset | 100 m | |
| Socioeconomic variables | Population | 2000~2050 | Statistics Korea (KOSIS) | 100 m |
| GDP | 2000~2050 | 100 m | ||
| Environmental and climate data | Average annual rainfall | 2000~2050 | CMIP6 multi-model projections (SSP-RCP scenarios), NanoWeather Inc. | 100 m |
| Average annual temperature | 2000~2050 | 100 m |
| Num | LULC Type | Detailed Description |
|---|---|---|
| 1 | Urban | Residential, Industrial, Commercial, Recreational, Transportation, Public facility |
| 2 | Agricultural Land | Rice paddy, Farm area, Cultivated facility, Orchard area, Other cultivated |
| 3 | Forest | Broadleaf forest, Coniferous forest, Mixed stand forest |
| 4 | Grass | Natural grass, Artificial grass |
| 5 | Wet Land | Inland wetland, Coastal wetland |
| 6 | Barren | Natural bareland, Artificial bareland |
| 7 | Water | Inland water, Ocean water |
| Region | Urban | Agricultural Land | Forest | Grass | Wetland | Barren | Water |
|---|---|---|---|---|---|---|---|
| Gangwon | 0.534 | 0.324 | 0.269 | 0.339 | 0.848 | 0.476 | 1 |
| Gyeonggi | 0.379 | 0.357 | 0.353 | 0.256 | 0.736 | 0.419 | 1 |
| Gyeongnam | 0.593 | 0.399 | 0.389 | 0.433 | 0.953 | 0.492 | 1 |
| Gyeongbuk | 0.47 | 0.307 | 0.273 | 0.256 | 1 | 0.552 | 0.745 |
| Gwangju | 0.316 | 0.361 | 0.312 | 0.172 | 0.677 | 0.344 | 1 |
| Daegu | 0.385 | 0.448 | 0.344 | 0.413 | 1 | 0.743 | 0.934 |
| Daejeon | 0.342 | 0.499 | 0.287 | 0.299 | 1 | 0.447 | 0.602 |
| Busan | 0.389 | 0.565 | 0.387 | 0.409 | 1 | 0.525 | 0.841 |
| Seoul | 0.31 | 1 | 0.391 | 0.347 | 0.113 | 0.385 | 0.776 |
| Sejong | 0.415 | 0.333 | 0.303 | 0.143 | 0.682 | 0.338 | 1 |
| Ulsan | 0.243 | 0.309 | 0.249 | 0.338 | 1 | 0.328 | 0.741 |
| Incheon | 0.41 | 0.49 | 0.489 | 0.374 | 0.912 | 0.363 | 1 |
| Jeonnam | 0.595 | 0.457 | 0.416 | 0.387 | 1 | 0.564 | 0.967 |
| Jeonbuk | 0.442 | 0.325 | 0.356 | 0.274 | 0.838 | 0.335 | 1 |
| Jeju | 0.214 | 0.121 | 0.166 | 0.107 | 0 | 0.229 | 1 |
| Region | Kappa | FoM | Accuracy |
|---|---|---|---|
| Gangwon | 0.38 | 0.08 | 0.83 |
| Gyeonggi | 0.50 | 0.13 | 0.67 |
| Gyeongnam | 0.48 | 0.12 | 0.62 |
| Gyeongbuk | 0.46 | 0.14 | 0.75 |
| Gwangju | 0.57 | 0.11 | 0.68 |
| Daegu | 0.53 | 0.11 | 0.74 |
| Daejeon | 0.53 | 0.09 | 0.70 |
| Busan | 0.61 | 0.09 | 0.73 |
| Seoul | 0.63 | 0.10 | 0.79 |
| Sejong | 0.38 | 0.11 | 0.57 |
| Ulsan | 0.49 | 0.09 | 0.63 |
| Incheon | 0.52 | 0.09 | 0.72 |
| Jeonnam | 0.51 | 0.07 | 0.70 |
| Jeonbuk | 0.56 | 0.12 | 0.72 |
| Jeju | 0.43 | 0.17 | 0.62 |
| Chungnam | 0.49 | 0.10 | 0.66 |
| Chungbuk | 0.39 | 0.12 | 0.66 |
Disclaimer/Publisher’s Note: The statements, opinions and data contained in all publications are solely those of the individual author(s) and contributor(s) and not of MDPI and/or the editor(s). MDPI and/or the editor(s) disclaim responsibility for any injury to people or property resulting from any ideas, methods, instructions or products referred to in the content. |
© 2025 by the authors. Licensee MDPI, Basel, Switzerland. This article is an open access article distributed under the terms and conditions of the Creative Commons Attribution (CC BY) license (https://creativecommons.org/licenses/by/4.0/).
Share and Cite
Han, S.; Kang, Y.; Jo, H.; Ahn, M.; Kim, T.; Son, S. Future Land Use and Cover Modeling in South Korea: Linking SSP-RCP with FLUS Model. Land 2025, 14, 2380. https://doi.org/10.3390/land14122380
Han S, Kang Y, Jo H, Ahn M, Kim T, Son S. Future Land Use and Cover Modeling in South Korea: Linking SSP-RCP with FLUS Model. Land. 2025; 14(12):2380. https://doi.org/10.3390/land14122380
Chicago/Turabian StyleHan, Seongil, Youngeun Kang, Hyeryeon Jo, Miyeon Ahn, Taelyn Kim, and Seungwoo Son. 2025. "Future Land Use and Cover Modeling in South Korea: Linking SSP-RCP with FLUS Model" Land 14, no. 12: 2380. https://doi.org/10.3390/land14122380
APA StyleHan, S., Kang, Y., Jo, H., Ahn, M., Kim, T., & Son, S. (2025). Future Land Use and Cover Modeling in South Korea: Linking SSP-RCP with FLUS Model. Land, 14(12), 2380. https://doi.org/10.3390/land14122380

