Assessment of Potentially Toxic Elements Pollution Pattern and Environmental Risk in Soils from Carpathian Areas Using a GIS-Based Approach and Pollution Indices
Abstract
1. Introduction
2. Materials and Methods
2.1. Study Area

2.2. Sampling and Analysis
2.3. Contamination and Environmental Risk Indices
| Index | Value of Index | Class of Soil Contamination | Reference |
|---|---|---|---|
| CF | CF ≤ 1 | Low contamination | [53] |
| 1 < CF ≤ 3 | Moderate contamination | ||
| 3 < CF≤ 5 | High contamination | ||
| CF > 5 | Extremely high contamination | ||
| Igeo | Igeo ≤ 0 | Unpolluted | [55] |
| 0 < Igeo ≤ 1 | Unpolluted to moderately polluted | ||
| 1 < Igeo ≤ 2 | Moderately polluted | ||
| 2 < Igeo ≤ 3 | Moderately to heavily polluted | ||
| 3 < Igeo ≤ 4 | Heavily polluted | ||
| 4 < Igeo ≤ 5 | Heavily to extremely polluted | ||
| Igeo > 5 | Extremely polluted | ||
| CD | CD < 6 | Low contamination degree | [57] |
| 6 ≤ CD < 12 | Moderate contamination | ||
| 12 ≤ CD < 24 | Considerable contamination degree | ||
| CD ≥ 24 | Very high contamination degree | ||
| PLI | PLI < 0.7 | Unpolluted | [60] |
| 0.7 < PLI < 1 | Slightly polluted | ||
| 1 < PLI < 2 | Moderately polluted | ||
| 2 < PLI < 3 | Severely polluted | ||
| PLI > 3 | Heavily polluted | ||
| PERI | PERI < 40 | Low risk | [61] |
| 40 ≤ PERI < 80 | Moderate risk | ||
| 80 ≤ PERI < 160 | Considerable risk | ||
| 160 ≤ PERI < 320 | High risk | ||
| PERI ≥ 320 | Very high risk |
2.4. Data Analysis and Distribution Patterns
3. Results and Discussions
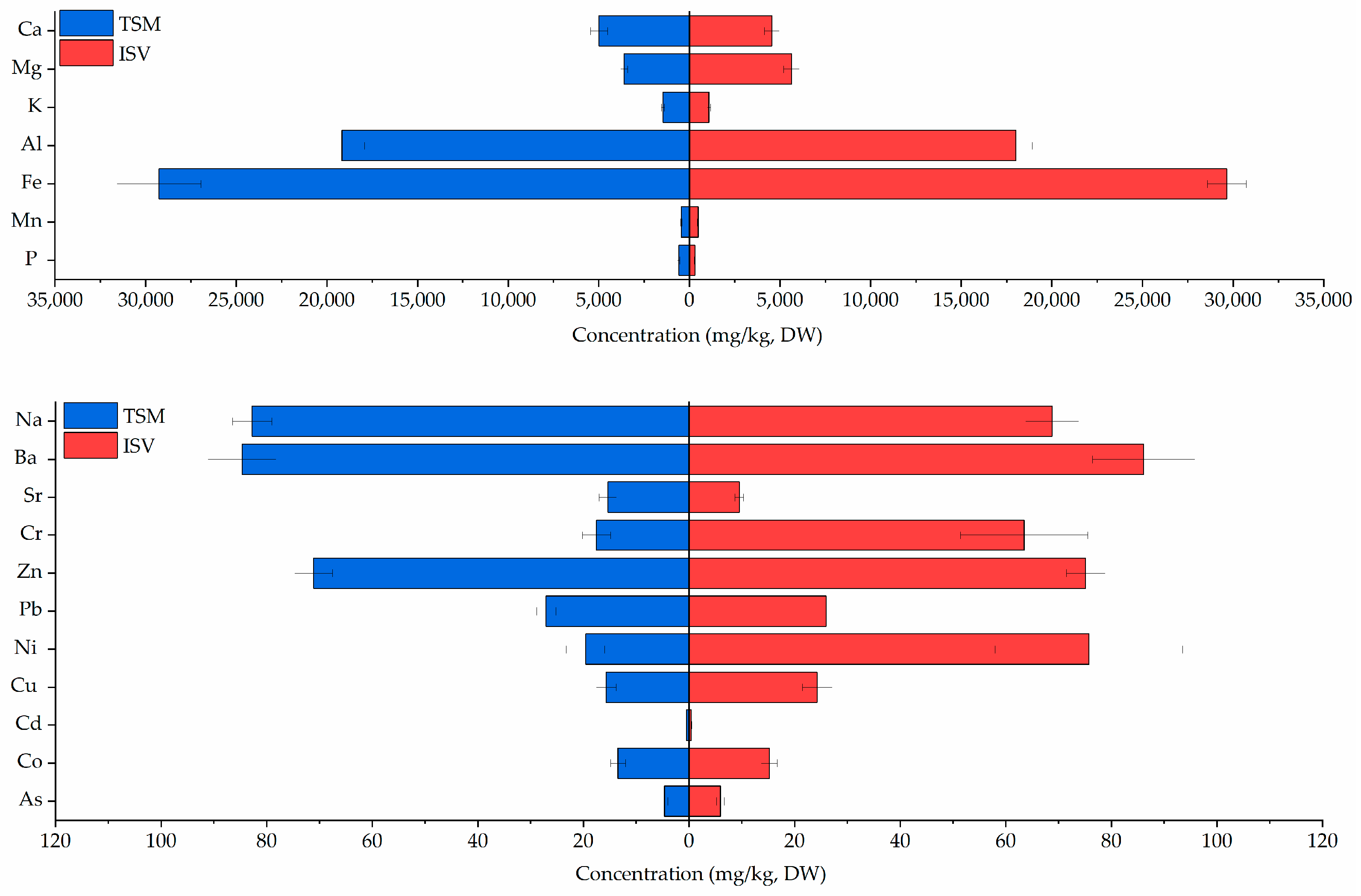
3.1. Content of PTEs and Anions in Soil
3.2. PTE Distribution Pattern
3.3. Soil Pollution
3.3.1. Contamination Factor (CF)
3.3.2. Geo-Accumulation Index (Igeo)
3.3.3. Contamination Degree (CD)
3.3.4. Pollution Load Index (PLI)
3.4. Potential Ecological Risk Index
4. Conclusions
Supplementary Materials
Author Contributions
Funding
Data Availability Statement
Acknowledgments
Conflicts of Interest
References
- Greiner, L.; Keller, A.; Grêt-Regamey, A.; Papritz, A. Soil function assessment: Review of methods for quantifying the contributions of soils to ecosystem services. Land Use Policy 2017, 69, 224–237. [Google Scholar] [CrossRef]
- Lal, R.; Monger, C.; Nave, L.; Smith, P. The role of soil in regulation of climate. Philos. Trans. R. Soc. B 2021, 376, 20210084. [Google Scholar] [CrossRef] [PubMed]
- Tang, Q.; Li, Y.; Xu, Y. Land suitability assessment for post-earthquake reconstruction: A case study of Lushan in Sichuan, China. J. Geogr. Sci. 2015, 25, 865–878. [Google Scholar] [CrossRef]
- Mazurek, R.; Kowalska, J.; Gąsiorek, M.; Zadrożny, P.; Józefowska, A.; Zaleski, T.; Kępka, W.; Tymczuk, M.; Orłowska, K. Assessment of heavy metals contamination in surface layers of Roztocze National Park forest soils (SE Poland) by indices of pollution. Chemosphere 2017, 168, 839–850. [Google Scholar] [CrossRef]
- Lal, R. Restoring soil quality to mitigate soil degradation. Sustainability 2015, 7, 5875–5895. [Google Scholar] [CrossRef]
- Hooda, P.S. Trace Elements in Soils; Wiley Online Library: Hoboken, NJ, USA, 2010; Volume 618. [Google Scholar]
- Kabata-Pendias, A.; Mukherjee, A.B. Trace Elements from Soil to Human; Springer: Berlin/Heidelberg, Germany, 2007. [Google Scholar]
- Shu, Y.; Zhai, S. Study on soil heavy metals contamination of a lead refinery. Chin. J. Geochem. 2014, 33, 393–397. [Google Scholar] [CrossRef]
- Sołek-Podwika, K.; Ciarkowska, K.; Kaleta, D. Assessment of the risk of pollution by sulfur compounds and heavy metals in soils located in the proximity of a disused for 20 years sulfur mine (SE Poland). J. Environ. Manag. 2016, 180, 450–458. [Google Scholar] [CrossRef]
- Shuguang, Z.; Kefa, Z.; Yao, C.; Jinlin, W.; Jianli, D. Identifying geochemical anomalies according to the content and coefficient variance of trace elements. Chin. J. Geol. 2015, 50, 1014–1022. [Google Scholar]
- Kelepertzis, E. Accumulation of heavy metals in agricultural soils of Mediterranean: Insights from Argolida basin, Peloponnese, Greece. Geoderma 2014, 221, 82–90. [Google Scholar] [CrossRef]
- Tomczyk, P.; Wdowczyk, A.; Wiatkowska, B.; Szymańska-Pulikowska, A. Assessment of heavy metal contamination of agricultural soils in Poland using contamination indicators. Ecol. Indic. 2023, 156, 111161. [Google Scholar] [CrossRef]
- Filipiak-Szok, A.; Kurzawa, M.; Szłyk, E. Determination of toxic metals by ICP-MS in Asiatic and European medicinal plants and dietary supplements. J. Trace Elem. Med. Biol. 2015, 30, 54–58. [Google Scholar] [CrossRef]
- Pueyo, M.; López-Sánchez, J.; Rauret, G. Assessment of CaCl2, NaNO3 and NH4NO3 extraction procedures for the study of Cd, Cu, Pb and Zn extractability in contaminated soils. Anal. Chim. Acta 2004, 504, 217–226. [Google Scholar] [CrossRef]
- Kowalska, J.; Mazurek, R.; Gąsiorek, M.; Setlak, M.; Zaleski, T.; Waroszewski, J. Soil pollution indices conditioned by medieval metallurgical activity—A case study from Krakow (Poland). Environ. Pollut. 2016, 218, 1023–1036. [Google Scholar] [CrossRef]
- Mekky, H.S.; Abou El-Anwar, E.; Salman, S.A.; Elnazer, A.A.; Abdel Wahab, W.; Asmoay, A.S. Evaluation of heavy metals pollution by using pollution indices in the soil of Assiut District, Egypt. Egypt. J. Chem. 2019, 62, 1673–1683. [Google Scholar] [CrossRef]
- Weissmannová, H.D.; Pavlovský, J. Indices of soil contamination by heavy metals–methodology of calculation for pollution assessment (minireview). Environ. Monit. Assess. 2017, 189, 616. [Google Scholar] [CrossRef]
- Omran, E.-S.E. Environmental modelling of heavy metals using pollution indices and multivariate techniques in the soils of Bahr El Baqar, Egypt. Model. Earth Syst. Environ. 2016, 2, 119. [Google Scholar] [CrossRef]
- Pan, L.-B.; Ma, J.; Wang, X.-L.; Hou, H. Heavy metals in soils from a typical county in Shanxi Province, China: Levels, sources and spatial distribution. Chemosphere 2016, 148, 248–254. [Google Scholar] [CrossRef]
- Raiesi, F.; Tavakoli, M. Developing a soil quality index model for assessing landscape-level soil quality along a toposequence in almond orchards using factor analysis. Model. Earth Syst. Environ. 2022, 8, 4035–4050. [Google Scholar] [CrossRef]
- Tercan, E.; Dereli, M.A. Development of a land suitability model for citrus cultivation using GIS and multi-criteria assessment techniques in Antalya province of Turkey. Ecol. Indic. 2020, 117, 106549. [Google Scholar] [CrossRef]
- Kim Loi, N.; Thong Nhat, T.; Nguyen Dong Phuong, D.; Ngoc Thuy, N.; Ngoc Quynh Tram, V.; Thi Ha, P.; Hoang Tu, L. GIS application in environmental management: A review. VNU J. Sci. Earth Environ. Sci. 2023, 39, 2. [Google Scholar] [CrossRef]
- Bel-Lahbib, S.; Ibno Namr, K.; Rerhou, B.; Mosseddaq, F.; El Bourhrami, B.; Moughli, L. Assessment of soil quality by modeling soil quality index and mapping soil parameters using IDW interpolation in Moroccan semi-arid. Model. Earth Syst. Environ. 2023, 9, 4135–4153. [Google Scholar] [CrossRef]
- Gok, G.; Tulun, S.; Celebi, H. Mapping of heavy metal pollution density and source distribution of campus soil using geographical information system. Sci. Rep. 2024, 14, 29918. [Google Scholar] [CrossRef]
- Keskin, H.; Grunwald, S. Regression kriging as a workhorse in the digital soil mapper’s toolbox. Geoderma 2018, 326, 22–41. [Google Scholar] [CrossRef]
- Ahado, S.K.; Nwaogu, C.; Sarkodie, V.Y.O.; Boruvka, L. Modeling and assessing the spatial and vertical distributions of potentially toxic elements in soil and how the concentrations differ. Toxics 2021, 9, 181. [Google Scholar] [CrossRef]
- Agyeman, P.C.; Kebonye, N.M.; John, K.; Boruvka, L.; Vasat, R.; Fajemisim, O. Prediction of nickel concentration in peri-urban and urban soils using hybridized empirical bayesian kriging and support vector machine regression. Sci. Rep. 2022, 12, 3004. [Google Scholar] [CrossRef]
- Zhang, C.; Luo, L.; Xu, W.; Ledwith, V. Use of local Moran’s I and GIS to identify pollution hotspots of Pb in urban soils of Galway, Ireland. Sci. Total Environ. 2008, 398, 212–221. [Google Scholar] [CrossRef] [PubMed]
- Huo, X.N.; Li, H.; Sun, D.F.; Zhou, L.D.; Li, B.G. Combining geostatistics with Moran’s I analysis for mapping soil heavy metals in Beijing, China. Int. J. Environ. Res. Public Health 2012, 9, 995–1017. [Google Scholar] [CrossRef]
- Abdellatif, M.A.; El Baroudy, A.A.; Arshad, M.; Mahmoud, E.K.; Saleh, A.M.; Moghanm, F.S.; Shaltout, K.H.; Eid, E.M.; Shokr, M.S. A GIS-based approach for the quantitative assessment of soil quality and sustainable agriculture. Sustainability 2021, 13, 13438. [Google Scholar] [CrossRef]
- Zhakypbek, Y.; Rysbekov, K.; Lozynskyi, V.; Mikhalovsky, S.; Salmurzauly, R.; Begimzhanova, Y.; Kezembayeva, G.; Yelikbayev, B.; Sankabayeva, A. Geospatial and correlation analysis of heavy metal distribution on the territory of integrated steel and mining company Qarmet JSC. Sustainability 2025, 17, 7148. [Google Scholar] [CrossRef]
- Gan, W.; Zhang, Y.; Xu, J.; Yang, R.; Xiao, A.; Hu, X. Spatial distribution of soil heavy metal concentrations in road-neighboring areas using UAV-based hyperspectral remote sensing and GIS technology. Sustainability 2023, 15, 10043. [Google Scholar] [CrossRef]
- Bai, Y.; Zhang, Y.; Liu, X.; Wang, Y. The spatial distribution and source apportionment of heavy metals in soil of Shizuishan, China. Environ. Earth Sci. 2023, 82, 494. [Google Scholar] [CrossRef]
- El Behairy, R.; El Baroudy, A.; Ibrahim, M.; Mohamed, E.; Rebouh, N.; Shokr, M. Combination of GIS and multivariate analysis to assess the soil heavy metal contamination in some arid zones. Agronomy 2022, 12, 2871. [Google Scholar] [CrossRef]
- Abuzaid, A.S.; Jahin, H.S.; Shokr, M.S.; El Baroudy, A.A.; Mohamed, E.S.; Rebouh, N.Y.; Bassouny, M.A. A novel regional-scale assessment of soil metal pollution in arid agroecosystems. Agronomy 2023, 13, 161. [Google Scholar] [CrossRef]
- Meza-Figueroa, D.; De la O-Villanueva, M.; De la Parra, M.L. Heavy metal distribution in dust from elementary schools in Hermosillo, Sonora, México. Atmos. Environ. 2007, 41, 276–288. [Google Scholar] [CrossRef]
- Duong, T.T.; Lee, B.-K. Partitioning and mobility behavior of metals in road dusts from national-scale industrial areas in Korea. Atmos. Environ. 2009, 43, 3502–3509. [Google Scholar] [CrossRef]
- Yongming, H.; Peixuan, D.; Junji, C.; Posmentier, E.S. Multivariate analysis of heavy metal contamination in urban dusts of Xi’an, Central China. Sci. Total Environ. 2006, 355, 176–186. [Google Scholar] [CrossRef] [PubMed]
- Ungureanu, T.; Iancu, G.O.; Pintilei, M.; Chicoș, M.M. Spatial distribution and geochemistry of heavy metals in soils: A case study from the NE area of Vaslui county, Romania. J. Geochem. Explor. 2017, 176, 20–32. [Google Scholar] [CrossRef]
- Chira, I.; Damian, G.; Chira, R. Spatial distribution of heavy metals in the soils of Băiuţ area, Maramureş county, Romania. Carpathian J. Earth Environ. Sci. 2014, 9, 269–278. [Google Scholar]
- Harmanescu, M.; Alda, L.M.; Bordean, D.M.; Gogoasa, I.; Gergen, I. Heavy metals health risk assessment for population via consumption of vegetables grown in old mining area; a case study: Banat County, Romania. Chem. Cent. J. 2011, 5, 64. [Google Scholar] [CrossRef]
- Secu, C.V.; Iancu, O.G.; Buzgar, N. Lead, zinc and copper in the bioaccumulative horizon of soils from Iasi and the surrounding areas. Carpathian J. Earth Environ. Sci. 2008, 3, 131–144. [Google Scholar]
- White, W.B. Contaminant transport in karst aquifers: Systematics and mechanisms. In Karst Groundwater Contamination and Public Health: Beyond Case Studies; Springer: Berlin/Heidelberg, Germany, 2017; pp. 55–81. [Google Scholar]
- Zhang, C.; Yang, H.; Zhu, T.; Cao, J.; Jiang, Z. Border polje soil in Southwest China originated from non-karst areas: Evidence from geochemical fingerprint data. Catena 2022, 218, 106570. [Google Scholar] [CrossRef]
- Beck, H.E.; McVicar, T.R.; Vergopolan, N.; Berg, A.; Lutsko, N.J.; Dufour, A.; Zeng, Z.; Jiang, X.; van Dijk, A.; Miralles, D.G. High-resolution (1 km) Koppen-Geiger maps for 1901–2099 based on constrained CMIP6 projections. Sci. Data 2023, 10, 724. [Google Scholar] [CrossRef]
- Pop, G.B.T.; Marinescu, F.; Stănoiu, I.; Hîrtopanu, I. Geological Map of Romania 1:50,000, Tismana Sheet; Geological Institute of Romania: Bucharest, Romania, 1975. [Google Scholar]
- Savu, H. Tectonic position and origin of Alpine ophiolites in the Mehedinti Plateau (South Carpathians) with special regard to those in the Podeni-Isverna-Nadanova region. Dări Seamă Ale Sedintelor. Institutul Geol. Geofizică. 5 Tectonică Geol. Reg. 1982, 69, 57–71. [Google Scholar]
- Berza, T.; Kräutner, H.G.; Dimitrescu, R. Nappe structure in the Danubian window of the Central South Carpathians. Anu. Institutului Geol. Geofiz. 1983, 60, 31–39. [Google Scholar]
- Balintoni, I.; Balica, C.; Ducea, M.; Stremţan, C. Peri-Amazonian, Avalonian-type and Ganderian-type terranes in the South Carpathians, Romania: The Danubian domain basement. Gondwana Res. 2011, 19, 945–957. [Google Scholar] [CrossRef]
- Iancu, V.; Berza, T.; Seghedi, A.; Gheuca, I.; Hann, H.-P. Alpine polyphase tectono-metamorphic evolution of the South Carpathians: A new overview. Tectonophysics 2005, 410, 337–365. [Google Scholar] [CrossRef]
- Florea, N.; Bălăceanu, V.; Munteanu, I.; Asvadurov, H.; Conea, A.; Oancea, C.; Cernescu, N.; Popovăţ, M. Harta Solurilor României, scara 1:200.000. In Legenda Generală. (Soil Map of Romania, Scale 1:200,000. General Legend), Ed.; IGFCOT: Bucureşti, Romania, 1994; Volume 1. [Google Scholar]
- Hakanson, L. An ecological risk index for aquatic pollution control. A sedimentological approach. Water Res. 1980, 14, 975–1001. [Google Scholar] [CrossRef]
- Varol, M.; Gündüz, K.; Sünbül, M.R. Pollution status, potential sources and health risk assessment of arsenic and trace metals in agricultural soils: A case study in Malatya province, Turkey. Environ. Res. 2021, 202, 111806. [Google Scholar] [CrossRef]
- Barbieri, M. The importance of enrichment factor (EF) and geoaccumulation index (Igeo) to evaluate the soil contamination. J. Geol. Geophys. 2016, 5, 1–4. [Google Scholar] [CrossRef]
- Muller, G. Index of geoaccumulation in sediments of the Rhine River. Geo J. 1969, 2, 108–118. [Google Scholar]
- Loska, K.; Wiechuła, D.; Korus, I. Metal contamination of farming soils affected by industry. Environ. Int. 2004, 30, 159–165. [Google Scholar] [CrossRef] [PubMed]
- Alharbi, T.; El-Sorogy, A.S. Spatial distribution and risk assessment of heavy metals pollution in soils of marine origin in central Saudi Arabia. Mar. Pollut. Bull. 2021, 170, 112605. [Google Scholar] [CrossRef] [PubMed]
- Zhou, J.; Feng, K.; Li, Y.; Zhou, Y. Factorial Kriging analysis and sources of heavy metals in soils of different land-use types in the Yangtze River Delta of Eastern China. Environ. Sci. Pollut. Res. 2016, 23, 14957–14967. [Google Scholar] [CrossRef]
- Brady, J.P.; Ayoko, G.A.; Martens, W.N.; Goonetilleke, A. Development of a hybrid pollution index for heavy metals in marine and estuarine sediments. Environ. Monit. Assess. 2015, 187, 306. [Google Scholar] [CrossRef]
- Sur, I.M.; Micle, V.; Polyak, E.T.; Gabor, T. Assessment of soil quality status and the ecological risk in the Baia Mare, Romania area. Sustainability 2022, 14, 3739. [Google Scholar] [CrossRef]
- Hu, N.W.; Yu, H.W.; Deng, B.L.; Hu, B.; Zhu, G.P.; Yang, X.T.; Wang, T.Y.; Zeng, Y.; Wang, Q.Y. Levels of heavy metal in soil and vegetable and associated health risk in peri-urban areas across China. Ecotoxicol. Environ. Saf. 2023, 259, 115037. [Google Scholar] [CrossRef]
- Chen, H.; Teng, Y.; Lu, S.; Wang, Y.; Wang, J. Contamination features and health risk of soil heavy metals in China. Sci. Total Environ. 2015, 512, 143–153. [Google Scholar] [CrossRef]
- Mirzaei, R.; Teymourzade, S.; Sakizadeh, M.; Ghorbani, H. Comparative study of heavy metals concentration in topsoil of urban green space and agricultural land uses. Environ. Monit. Assess. 2015, 187, 741. [Google Scholar] [CrossRef]
- Zhao, H.; Liu, P.; Qiao, B.; Wu, K. The spatial distribution and prediction of soil heavy metals based on measured samples and multi-spectral images in Tai Lake of China. Land 2021, 10, 1227. [Google Scholar] [CrossRef]
- Adamczyk-Szabela, D.; Markiewicz, J.; Wolf, W.M. Heavy Metal Uptake by Herbs. IV. Influence of soil pH on the content of heavy metals in Valeriana officinalis L. Water Air Soil Pollut. 2015, 226, 106. [Google Scholar] [CrossRef]
- Spurgeon, D.J.; Lofts, S.; Hankard, P.K.; Toal, M.; McLellan, D.; Fishwick, S.; Svendsen, C. Effect of pH on metal speciation and resulting metal uptake and toxicity for earthworms. Environ. Toxicol. Chem. 2006, 25, 788–796. [Google Scholar] [CrossRef]
- Sigg, L.; Behra, R. Speciation and bioavailability of trace metals in freshwater environments. Met. Ions Biol. Syst. 2005, 44, 47–74. [Google Scholar]
- Zaib, M.; Farooq, U.; Adnan, M.; Sajjad, S.; Abbas, Z.; Haider, K.; Khan, N.; Abbas, R.; Nasir, A.S.; Muhay-Ul-Din, M.F. Remediation of saline soils by application of biochar: A review. J. Agric. Environ. Sci. 2022, 24, 29–36. [Google Scholar]
- Richards, L.A. Diagnosis and Improvement of Saline and Alkali Soils; US Government Printing Office: Washington, DC, USA, 1954.
- Othaman, N.N.C.; Isa, M.N.M.; Hussin, R.; Ismail, R.C.; Naziri, S.Z.M.; Murad, S.A.Z.; Harun, A.; Ahmad, M.I. Development of soil electrical conductivity (EC) sensing system in paddy field. J. Phys. Conf. Ser. 2021, 1755, 012005. [Google Scholar] [CrossRef]
- Fu, Z.; Wang, P.; Sun, J.; Lu, Z.; Yang, H.; Liu, J.; Xia, J.; Li, T. Composition, seasonal variation, and salinization characteristics of soil salinity in the Chenier Island of the Yellow River Delta. Glob. Ecol. Conserv. 2020, 24, e01318. [Google Scholar] [CrossRef]
- Zhang, W.-W.; Chong, W.; Rui, X. Effects of salinity on the soil microbial community and soil fertility. J. Integr. Agric. 2019, 18, 1360–1368. [Google Scholar] [CrossRef]
- de Vries, W.; Groenenberg, J.E.; Lofts, S.; Tipping, E.; Posch, M. Critical loads of heavy metals for soils. In Heavy Metals in Soils: Trace Metals and Metalloids in Soils and Their Bioavailability; Springer: Berlin/Heidelberg, Germany, 2012; pp. 211–237. [Google Scholar]
- Abdullahi, A.; Lawal, M.A.; Salisu, A.M. Heavy metals in contaminated soil: Source, accumulation, health risk and remediation process. Bayero J. Pure Appl. Sci. 2021, 14, 1–12. [Google Scholar] [CrossRef]
- Official Gazette. Ministerial Order No. 756/1997 Approving the Regulation Concerning the Assessment of Environmental Pollution; Official Gazette: București, Romania, 1997; Part I, No. 303bis/06.11.1997. (In Romanian) [Google Scholar]
- Fazekašová, D.; Petrovič, F.; Fazekaš, J.; Štofejová, L.; Baláž, I.; Tulis, F.; Tóth, T. Soil contamination in the problem areas of agrarian Slovakia. Land 2021, 10, 1248. [Google Scholar] [CrossRef]
- Verbruggen, E.M.J.; Posthumus, R.; Van Wezel, A.P. Ecotoxicological Serious Risk Concentrations for Soil, Sediment and (Ground)water: Updated Proposals for First Series of Compounds; RIVM Report 711701020; RIVM: Bilthoven, The Netherlands, 2001. [Google Scholar]
- Swartjes, F.A. Risk-Based assessment of soil and groundwater quality in The Netherlands: Standards and remediation urgency. Risk Anal. 1999, 19, 1235–1249. [Google Scholar] [CrossRef]
- Luo, D. The characteristics of soil Ca and Mg leakage in a karst depression. Sustainability 2022, 14, 9627. [Google Scholar] [CrossRef]
- Yan, S.; Zhang, T.; Zhang, B.; Zhang, T.; Cheng, Y.; Wang, C.; Luo, M.; Feng, H.; Siddique, K.H.M. The higher relative concentration of K+ to Na+ in saline water improves soil hydraulic conductivity, salt-leaching efficiency and structural stability. Soil 2023, 9, 339–349. [Google Scholar] [CrossRef]
- Li, J.; Guo, Y.; Li, D.; Wang, B.; Xiang, W.; Huang, F.; Lu, F.; Wen, S.; Li, J.; Lu, S.; et al. Spatial distribution characteristics of soil potassium, calcium, and magnesium and their influencing factors in a northern tropical karst seasonal rainforest in southwestern Guangxi. Biodivers. Sci. 2023, 31, 22352. [Google Scholar] [CrossRef]
- Zhang, W.; Zhang, Y.; Zhang, X.; Wu, W.; Liu, H. The spatiotemporal variability of soil available phosphorus and potassium in karst region: The crucial role of socio-geographical factors. Land 2024, 13, 882. [Google Scholar] [CrossRef]
- Fu, W.J.; Jiang, P.K.; Zhou, G.M.; Zhao, K.L. Using Moran’s I and GIS to study the spatial pattern of forest litter carbon density in a subtropical region of southeastern China. Biogeosciences 2014, 11, 2401–2409. [Google Scholar] [CrossRef]
- Parkinson, R.J. Soil Atlas of Europe—Edited by A. Jones, L. Montanarella & R. Jones. Eur. J. Soil Sci. 2006, 57, 923. [Google Scholar] [CrossRef]
- Zhu, D.; Wei, Y.; Zhao, Y.; Wang, Q.; Han, J. Heavy metal pollution and ecological risk assessment of the agriculture soil in Xunyang mining area, Shaanxi Province, Northwestern China. Bull. Environ. Contam. Toxicol. 2018, 101, 178–184. [Google Scholar] [CrossRef]
- Luchian, C.E.; Motrescu, I.; Dumitrașcu, A.I.; Scutarașu, E.C.; Cara, I.G.; Colibaba, L.C.; Cotea, V.V.; Jităreanu, G. Comprehensive assessment of soil heavy metal contamination in agricultural and protected areas: A case study from Iași County, Romania. Agriculture 2025, 15, 1070. [Google Scholar] [CrossRef]
- Wiater, J. Content of heavy metals and their fractions in organic soils of podlasie. J. Ecol. Eng. 2019, 20, 179–184. [Google Scholar] [CrossRef]
- Olsson, B.A.; Åkerblom, S.; Bishop, K.; Eklöf, K.; Ring, E. Does the harvest of logging residues and wood ash application affect the mobilization and bioavailability of trace metals? For. Ecol. Manag. 2017, 383, 61–72. [Google Scholar] [CrossRef]
- Bartkowiak, A.; Lemanowicz, J.; Hulisz, P. Ecological risk assessment of heavy metals in salt-affected soils in the Natura 2000 area (Ciechocinek, north-central Poland). Environ. Sci. Pollut. Res. 2017, 24, 27175–27187. [Google Scholar] [CrossRef] [PubMed]
- Bojanowski, D. Determination of heavy metal sources in an agricultural catchment (Poland) using the fingerprinting method. Water 2024, 16, 1209. [Google Scholar] [CrossRef]
- Mishra, S.; Bharagava, R.N.; More, N.; Yadav, A.; Zainith, S.; Mani, S.; Chowdhary, P. Heavy metal contamination: An alarming threat to environment and human health. In Environmental Biotechnology: For Sustainable Future; Springer: Berlin/Heidelberg, Germany, 2018; pp. 103–125. [Google Scholar]
- Musa, D.; Ahmed, Y.; David, L. Geo-accumulation index assessment of heavy metal contamination in soil samples from Mayo-Sinna, Sardauna LGA, Central Taraba State, Nigeria. ISRG J. Arts Humanit. Soc. Sci. 2025, 3, 334–337. [Google Scholar]
- Kabata-Pendias, A. Trace Elements in Soils and Plants; CRC Press: Boca Raton, FL, USA, 2000. [Google Scholar]
- Luo, L.; Wang, L.; Li, Y.; Cao, H.; Guo, Y.; Liao, X. Urban-rural inequality in soil heavy metal health risks: Insights from Baoding, China. Ecotoxicol. Environ. Saf. 2025, 300, 118458. [Google Scholar] [CrossRef]
- Shen, G.; Ru, X.; Gu, Y.; Liu, W.; Wang, K.; Li, B.; Guo, Y.; Han, J. Pollution characteristics, spatial distribution, and evaluation of heavy metal(loid)s in farmland soils in a typical mountainous hilly area in China. Foods 2023, 12, 681. [Google Scholar] [CrossRef]
- Massas, I.; Kalivas, D.; Ehaliotis, C.; Gasparatos, D. Total and available heavy metal concentrations in soils of the Thriassio plain (Greece) and assessment of soil pollution indexes. Env. Monit. Assess. 2013, 185, 6751–6766. [Google Scholar] [CrossRef]
- Barbieri, M.; Sappa, G.; Nigro, A. Soil pollution: Anthropogenic versus geogenic contributions over large areas of the Lazio region. J. Geochem. Explor. 2018, 195, 78–86. [Google Scholar] [CrossRef]
- Andaloussi, K.; Achtak, H.; El Ouahrani, A.; Kassout, J.; Vinti, G.; Di Trapani, D.; Viviani, G.; Kouali, H.; Sisouane, M.; Haboubi, K.; et al. Soil heavy metal contamination in the Targuist dumpsite, North Morocco: Ecological and health risk assessments. Soil Syst. 2025, 9, 82. [Google Scholar] [CrossRef]
- Zhang, J.; Liu, K.; He, X.; Li, W.; Zhang, M.; Cai, Q. Evaluation of heavy metal contamination of soil and the health risks in four potato-producing areas. Front. Environ. Sci. 2023, 11, 1071353. [Google Scholar] [CrossRef]
- Liu, X.; Dong, Z.; Wei, T.; Wang, L.; Gao, W.; Jiao, X.; Li, F. Composition, distribution, and risk assessment of heavy metals in large-scale river water on the Tibetan Plateau. J. Hazard. Mater. 2024, 476, 135094. [Google Scholar] [CrossRef] [PubMed]
- Zaakour, F.; Kholaiq, M.; Khouchlaa, A.; El Mjiri, I.; Rahimi, A.; Saber, N. Assessment of heavy metal contamination using pollution index, geo-accumulation index, and potential ecological risk index in agricultural soil–A case study in the coastal area of Doukkala (Morocco). Ecol. Eng. Environ. Technol. 2023, 24, 38–44. [Google Scholar] [CrossRef]
- Kamani, H.; Mirzaei, N.; Ghaderpoori, M.; Bazrafshan, E.; Rezaei, S.; Mahvi, A.H. Concentration and ecological risk of heavy metal in street dusts of Eslamshahr, Iran. Hum. Ecol. Risk Assess. Int. J. 2017, 24, 961–970. [Google Scholar] [CrossRef]
- Taşpinar, K.; Ateş, Ö.; Yalçin, G.; Kizilaslan, F.; Pinar, M.Ö.; Toprak, S.; Özen, D.; Alveroğlu, V.; Bayram, M.; Çakilli, H.; et al. Soil contamination, pollution indices, and ecological risk in agricultural areas of important mining region of Türkiye. Int. J. Environ. Anal. Chem. 2023, 105, 746–755. [Google Scholar] [CrossRef]







| PTE | Expected Index | Variance | z-Score | p-Value | Global Moran’s Index |
|---|---|---|---|---|---|
| TSM | |||||
| Cr | −0.058824 | 0.049662 | 2.127403 | 0.033387 | 0.415265 |
| Mn | −0.058824 | 0.050280 | 1.916568 | 0.055293 | 0.370931 |
| Zn | −0.058824 | 0.043878 | 1.994246 | 0.046125 | 0.358914 |
| Pb | −0.058824 | 0.044973 | 0.180406 | 0.856834 | −0.020565 |
| Cu | −0.058824 | 0.047822 | 2.107200 | 0.035100 | 0.401984 |
| Ni | −0.058824 | 0.049097 | 2.208871 | 0.027184 | 0.430617 |
| Cd | −0.058824 | 0.049105 | 2.611585 | 0.009012 | 0.519893 |
| Co | −0.058824 | 0.049675 | 2.202414 | 0.027636 | 0.432049 |
| ISV | |||||
| Cr | −0.052632 | 0.013801 | 0.701186 | 0.483187 | 0.029744 |
| Mn | −0.052632 | 0.015256 | −0.215960 | 0.829019 | −0.079306 |
| Zn | −0.052632 | 0.012976 | −0.599969 | 0.548527 | −0.120975 |
| Pb | −0.052632 | 0.011992 | −0.411227 | 0.680906 | −0.097664 |
| Cu | −0.052632 | 0.015352 | 0.538192 | 0.590444 | 0.014052 |
| Ni | −0.052632 | 0.013579 | 0.367126 | 0.713525 | −0.009851 |
| Cd | −0.052632 | 0.014124 | 0.520639 | 0.602618 | 0.009244 |
| Co | −0.052632 | 0.014561 | 0.034596 | 0.972402 | −0.048457 |
| Region | Fe | Ba | Sr | Mn | Cr | Zn | Pb | Ni | Cu | Cd | Co | As |
|---|---|---|---|---|---|---|---|---|---|---|---|---|
| TSM (present study) | 27,695 | 88.3 | 12.7 | 414 | 11.8 | 69.4 | 25.7 | 11.5 | 14.7 | 0.48 | 10.2 | 3.53 |
| IVR (present study) | 29,207 | 82.2 | 9.05 | 512 | 38.3 | 74.8 | 21.3 | 43.6 | 26.5 | 0.22 | 15.3 | 4.39 |
| Vaslui county [39] | - | - | - | - | 62.1 | 68.2 | 25.3 | 47.4 | 29.8 | 0.32 | 10.8 | 10.2 |
| Maramures county [40] | - | - | - | - | - | 377 | 318 | 44.5 | 111 | 1.10 | - | 29.5 |
| Banat region [41] | 44,853 | - | - | 2118 | - | 197 | 22.0 | 14.6 | 47.8 | - | - | - |
| Iași country [42] | - | - | - | - | - | 67.2 | 18.6 | - | 28.3 | - | - | - |
| Screening value set by Romanian [75] legislation | - | 200 | - | 900 | 100 | 100 | 20 | 20 | 20 | 1 | 15 | 5 |
| Alert threshold for sensitive use set by Romanian [75] legislation | - | 400 | - | 1500 | 300 | 300 | 50 | 75 | 100 | 3 | 30 | 15 |
| Intervention value established by the Dutch [77,78] standards | - | 625 | - | - | 380 | 720 | 530 | 210 | 190 | 12 | 240 | 55 |
Disclaimer/Publisher’s Note: The statements, opinions and data contained in all publications are solely those of the individual author(s) and contributor(s) and not of MDPI and/or the editor(s). MDPI and/or the editor(s) disclaim responsibility for any injury to people or property resulting from any ideas, methods, instructions or products referred to in the content. |
© 2025 by the authors. Licensee MDPI, Basel, Switzerland. This article is an open access article distributed under the terms and conditions of the Creative Commons Attribution (CC BY) license (https://creativecommons.org/licenses/by/4.0/).
Share and Cite
Moldovan, A.; Mirea, I.-C.; Torok, A.I.; Tîrlă, M.L.; Levei, E.A.; Moldovan, O.T. Assessment of Potentially Toxic Elements Pollution Pattern and Environmental Risk in Soils from Carpathian Areas Using a GIS-Based Approach and Pollution Indices. Land 2025, 14, 2221. https://doi.org/10.3390/land14112221
Moldovan A, Mirea I-C, Torok AI, Tîrlă ML, Levei EA, Moldovan OT. Assessment of Potentially Toxic Elements Pollution Pattern and Environmental Risk in Soils from Carpathian Areas Using a GIS-Based Approach and Pollution Indices. Land. 2025; 14(11):2221. https://doi.org/10.3390/land14112221
Chicago/Turabian StyleMoldovan, Ana, Ionuț-Cornel Mirea, Anamaria Iulia Torok, Maria Laura Tîrlă, Erika Andrea Levei, and Oana Teodora Moldovan. 2025. "Assessment of Potentially Toxic Elements Pollution Pattern and Environmental Risk in Soils from Carpathian Areas Using a GIS-Based Approach and Pollution Indices" Land 14, no. 11: 2221. https://doi.org/10.3390/land14112221
APA StyleMoldovan, A., Mirea, I.-C., Torok, A. I., Tîrlă, M. L., Levei, E. A., & Moldovan, O. T. (2025). Assessment of Potentially Toxic Elements Pollution Pattern and Environmental Risk in Soils from Carpathian Areas Using a GIS-Based Approach and Pollution Indices. Land, 14(11), 2221. https://doi.org/10.3390/land14112221

