Spatiotemporal Evolution and Driving Mechanisms of Ecosystem Service Value–Urbanization Coupling Coordination in the Yangtze River Delta
Abstract
1. Introduction
2. Materials and Methods
2.1. Study Area
2.2. Data Sources
2.3. Research Methodology
2.3.1. Valuation of Ecosystem Services
2.3.2. Methodology for Evaluating the Level of Comprehensive Urbanization Development
2.3.3. Coupled Coordination Degree (CCD) Models
2.3.4. Geo-Detectors
2.3.5. Classification of Regional Development Typologies
2.3.6. Geographically and Temporally Weighted Regression Models
3. Results
3.1. Spatiotemporal Evolution of ESV and Urbanization
3.1.1. Temporal Evolution of ESV: Fluctuating Downward Trend in Total Volume
3.1.2. Spatial Pattern: Stable Gradients with Localized Changes
3.1.3. Temporal Evolution of the Level of Urbanization: Overall Continuing Upward Trend
3.1.4. Urbanization Spatial Structure: A Strengthening Core–Periphery Hierarchy
3.2. Spatio-Temporal Characterization of Coupled Coordination Degrees
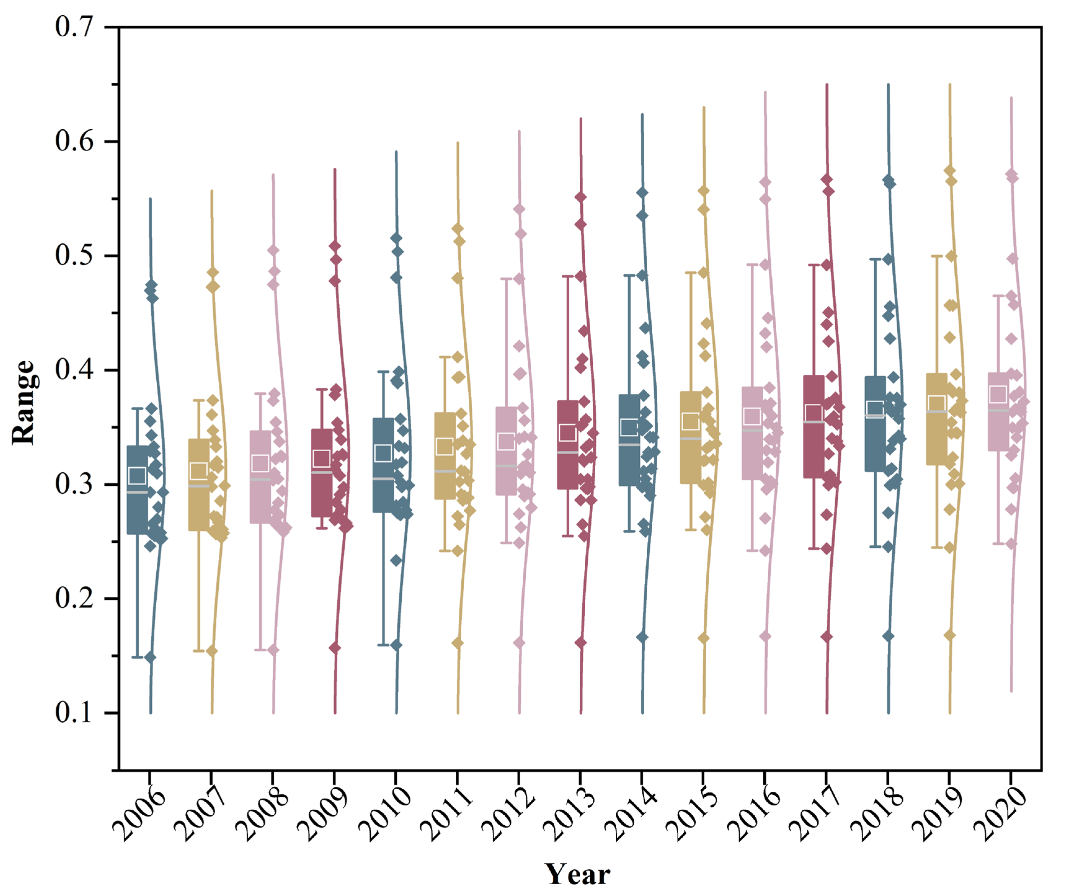
3.2.1. Temporal Process: Phased Growth from Incoordination to Coordination
3.2.2. Spatial Pattern: Radial Diffusion from Core Cities
3.2.3. Types of Development: Predominantly ESV Guidance, with a Growing Number of Balanced Development Types
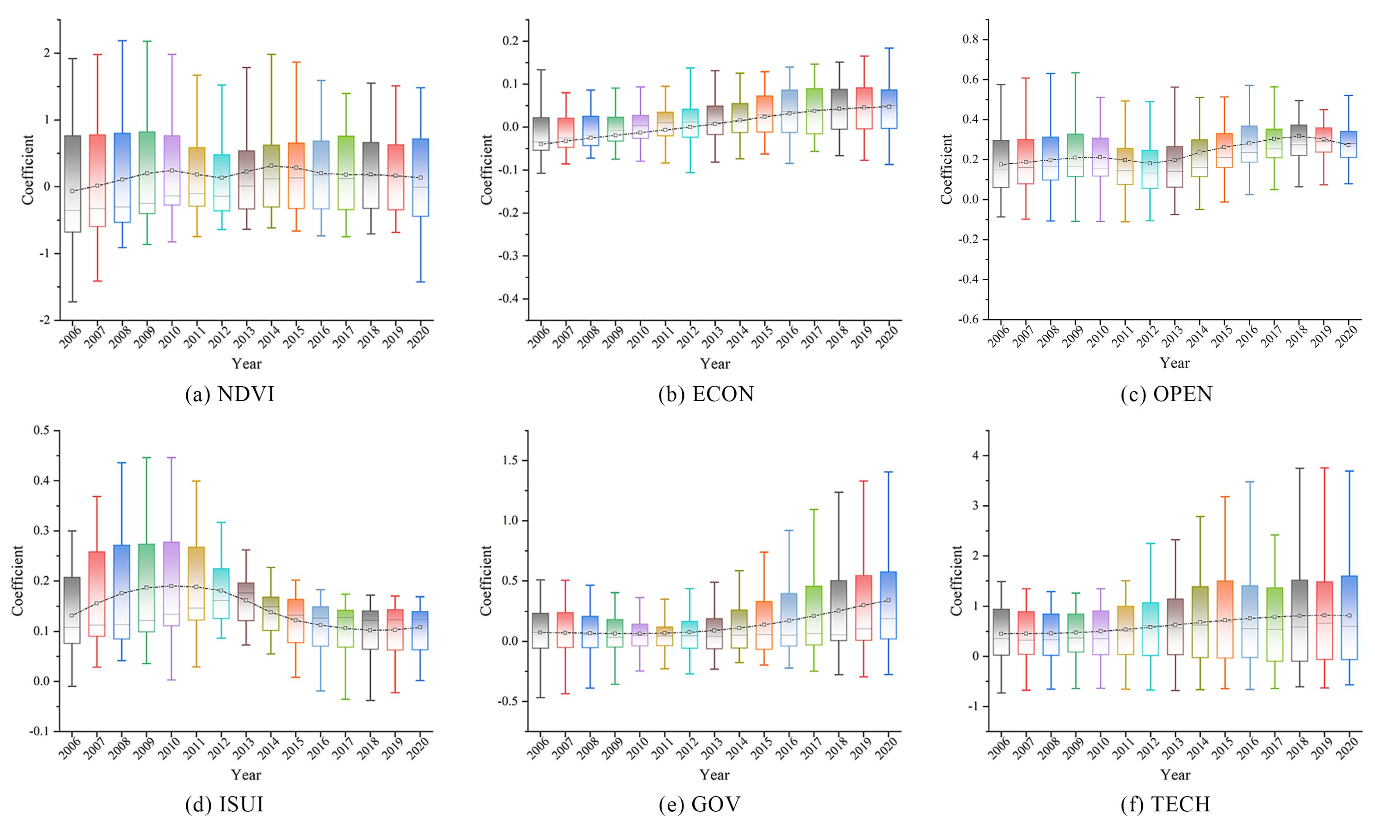
3.3. Driving Mechanisms Revealed by GTWR Model
3.3.1. Dominant Factors of Coupling Coordination
3.3.2. Temporal Heterogeneity of Driving Factors
3.3.3. Spatial Heterogeneity of Driving Factors
4. Discussion
4.1. Policy Effects
4.2. Spatial Patterns and Mechanisms
4.3. Optimization Strategies
4.4. Methodological Limitations and Future Research Directions
4.5. Comparison with Existing Research
5. Conclusions
Author Contributions
Funding
Data Availability Statement
Conflicts of Interest
References
- Gretchen, C.D.; Söderqvist, T.; Aniyar, S.; Arrow, K.; Dasgupta, P.; Ehrlich, P.R.; Folke, C.; Jansson, A.; Jansson, B.-O.; Kautsky, N.; et al. The Value of Nature and the Nature of Value. Science 2000, 289, 395–396. [Google Scholar] [CrossRef]
- Robert, C.; d’Arge, R.; de Groot, R.; Farber, S.; Grasso, M.; Hannon, B.; Limburg, K.; Naeem, S.; O’Neill, R.V.; Paruelo, J.; et al. The Value of the World’s Ecosystem Services and Natural Capital. Nature 1997, 1, 253–260. [Google Scholar]
- Robert, C.; de Groot, R.; Braat, L.; Kubiszewski, I.; Fioramonti, L.; Sutton, P.; Farber, S.; Grasso, M. Twenty Years of Ecosystem Services: How Far Have We Come and How Far Do We Still Need to Go? Ecosyst. Serv. 2017, 28, 1–16. [Google Scholar] [CrossRef]
- Xie, G.; Zhen, L.; Lu, C.X.; Xiao, Y.; Chen, C. Expert Knowledge-Based Valuation Method of Ecosystem Services in China. J. Nat. Resour. 2008, 23, 911–919. [Google Scholar]
- Peng, L.R.; Xu, Q.R.; Yu, J.; Chen, L.; Peng, Y.H. Multiscale Assessment of the Spatiotemporal Coupling Relationship between Urbanization and Ecosystem Service Value Along an Urban–Rural Gradient: A Case Study of the Yangtze River Delta Urban Agglomeration, China. Ecol. Indic. 2024, 160, 111864. [Google Scholar] [CrossRef]
- Jian, W.S.; Ma, H.T.; Zhao, Y.B. Exploring the Relationship between Urbanization and the Eco-Environment—A Case Study of Beijing–Tianjin–Hebei Region. Ecol. Indic. 2014, 45, 171–183. [Google Scholar]
- Walter, R.; Mooney, H.; Cropper, A.; Capistrano, D.; Carpenter, S.; Chopra, K. Millennium Ecosystem Assessment. Ecosystems and Human Well-Being: Synthesis; WIMEK: Wageningen, The Netherlands, 2005. [Google Scholar]
- Fang, L.R.; Zhao, W.P.; Tian, X.L.; Zhang, J.M. The Trade-Offs among Ecosystem Services and Their Response to the Socio-Ecological Environment in the Qilian Mountains. J. Glaciol. Geocryol. 2021, 43, 928–938. [Google Scholar]
- Yang, X.Y.; Zhu, Q.C.; Bai, H.; Luo, P.P.; Liu, J.F. Spatio-Temporal Evolution and Coupled Coordination of Lucc and Esv in Cities of the Transition Zone, Shenmu City, China. Remote Sens. 2023, 15, 3136. [Google Scholar]
- Qing, Z.J.; Huang, H.Y.; Cui, H.Q.; Hui, Y.; Xiao, Z.Y. Ipbes: Biodiversity Science Assessment as a Driver for Policy Decision-Making. Acta Ecol. Sin. 2016, 36, 1793–1796. [Google Scholar]
- Li, Z.K.; Feng, R.R.; Liu, T.; Zhang, Z.C.; Zhang, J.N.; Liu, K. Coordination and Obstacle Factors of Urbanization and Ecosystem Service Value in the Yellow River Basin. Arid Land Geogr. 2022, 45, 1254–1267. [Google Scholar]
- Xue, Z.Z.; Qiu, L.H. Experimental Study on the Effect of Urbanization on the Service Functions of Ecosystems—A Case Study in the Southern Suburbs of Xi’an City. Arid Zone Res. 2011, 28, 974–979. [Google Scholar]
- Fang, L.; Qin, T.; Liu, S.; Wang, H.; Nie, H. Spatial Response of Urban Land Use Change and Ecosystem Service Value in the Lower Reaches of the Yangtze River: A Case Study of Tongling, China. Front. Environ. Sci. 2023, 11, 1137442. [Google Scholar] [CrossRef]
- Mou, Y.S.; Li, J.; Wu, Q.H.; Roger, C.K.C.; Zhang, L.C. Study on the Development Trend and Direction of Chinese Urban Agglomerations. Geogr. Res. 2010, 29, 1345–1354. [Google Scholar]
- Lin, F.C.; Zhou, C.H.; Wang, Z.B. Sustainable Development Strategy and Priorities of Spatially Differentiated Development of Urban Agglomerations Along the Yangtze River Economic Belt. Prog. Geogr. 2015, 34, 1398–1408. [Google Scholar]
- Duo, Z.Z.; Yuan, X.D.; Zhang, Z.; Li, X.Y.; Zhou, C.S. Spatiotemporal Evolution and Influencing Factors of Coupling and Coordination between the Ecosystem Service Value and Economy in the Pearl River Delta Urban Agglomeration of China. Land 2024, 13, 1670. [Google Scholar] [CrossRef]
- Hao, T.D.; Cai, Y.Y.; Liu, M.B. Coupling Coordination Analysis and Spatiotemporal Heterogeneity between Ecosystem Services and New-Type Urbanization: A Case Study of the Yangtze River Economic Belt in China. Ecol. Indic. 2023, 154, 110535. [Google Scholar] [CrossRef]
- Cheng, H.Y.; Liu, Y.; Yan, Z.Y. Research Regarding the Coupling and Coordination Relationship between New Urbanization and Ecosystem Services in Nanchang. Sustainability 2022, 14, 15041. [Google Scholar] [CrossRef]
- Qi, C.Y.; Liu, W.; Zhao, F.; Zhao, Q.; Xu, Z.W.; Kumi, M.A. Multi-Scale Analysis of Ecosystem Service Trade-Offs/Synergies in the Yangtze River Delta. Land 2024, 13, 1462. [Google Scholar]
- Xi, C.W.; Yang, X.J.; LI, R.Y. Coupling Coordination Relationship and Influencing Factors between Urban Resilience and Ecosystem Services in the Guanzhong Plain Urban Agglomeration. Arid Land Geography. 2024. Available online: https://link.cnki.net/urlid/65.1103.X.20250327.1615.003 (accessed on 14 May 2025).
- Mei, H.X.; Li, J.L.; Guan, J.; Liu, Y.C.; Tian, P.; Ai, S.Y.; Gong, H.B. Land Use Dynamics and Ecosystem Service Value Changes in the Yangtze River Delta Urban Agglomeration under Different Scenarios. Chin. Geogr. Sci. 2024, 34, 1105–1118. [Google Scholar] [CrossRef]
- Qian, W.X.; Zhao, S.N. Spatial-Temporal Coupling and Coordination of Carbon Emission-Technological Innovation-Green Development in the Yangtze River Economic Belt. Resour. Environ. Yangtze Basin 2025, 34, 494–506. [Google Scholar]
- Ling, H.L. Spatiotemporal Variations of Coupling and Coordination between Urbanization and Ecological Environment and Associated Influencing Factors in the Yangtze River Economic Belt. Resour. Environ. Yangtze Basin 2024, 33, 2675–2687. [Google Scholar]
- Yuan, W.D.; Wang, J.; Liu, H.F.; Han, M.; Ma, X. Research on Coupling Coordination and Driving Factors of Ecosystem Services and Economic Development in Shanxi Province. Areal Res. Dev. 2024, 43, 52–59. [Google Scholar]
- Qi, Q.; Wang, L.; Chen, J.C.; Wang, B.Y.; He, S.Y.; Han, J.N.; Li, Z.H.; Li, K. Interaction between Rapid Urban Expansion and Ecosystem Service Value Trade-Off/Synergy in Wuhan City. Sci. Geogr. Sin. 2024, 44, 953–963. [Google Scholar]
- Yan, J.; Liu, Y.; Ma, R. Towards high-quality territorial spaces: Theorizing space quality and measuring its social-spatial inequities. Habitat Int. 2025, 164, 103537. [Google Scholar] [CrossRef]
- Yue, C.C.; Tang, J.X.; Chen, W.H. Research on the Interactive Relationship and Coordination Effect between Tourism Urbanization and Ecosystem Services Value: A Case Study Wuling Mountain Area of Hunan Province. J. Cent. China Norm. Univ. Nat. Sci. 2024, 58, 453–469. [Google Scholar]
- Basu, T.; Das, A. Urbanization Induced Changes in Land Use Dynamics and Its Nexus to Ecosystem Service Values: A Spatiotemporal Investigation to Promote Sustainable Urban Growth. Land Use Policy 2024, 144, 107239. [Google Scholar] [CrossRef]
- Dan, P.; Chen, J.; Kong, F.B. Impact of Mountain-River-Forest-Cropland-Lake-Grassland System Project on the Spatial-Temporal Evolution of Ecosystem Service Values and Trade-Off Synergistic Relationships: A Case Study of Ganzhou City. Acta Ecol. Sin. 2025, 45, 4758–4773. Available online: https://link.cnki.net/doi/10.20103/j.stxb.202405181137 (accessed on 14 May 2025).
- Rong, H.X.; Cai, C.Y.; Tang, J.X.; Shi, J.Z.; Yang, R.B. Analysis of Coupling Coordination and Obstacle Factors between Tourism Development and Ecosystem Services Value: A Case Study of the Yellow River Basin, China. Ecol. Indic. 2023, 157, 111234. [Google Scholar] [CrossRef]
- Yang, L.; Wang, K.; Zhao, Y.T. Influencing Mechanism of Information Flow on the Synergy of Economic Development and Ecological Environment in the Yellow River Basin. Economic Geography. 2025. Available online: https://link.cnki.net/urlid/43.1126.K.20250325.1747.002 (accessed on 14 May 2025).
- Zhong, T.Q.; Xin, C.N.; Wang, Y.Z.; Yu, H.R. Research on Coupling Coordination between New Urbanization and Sustainable Land Resource Utilization in the Yangtze River Delta Urban Agglomeration. J. China West Norm. Univ. Nat. Sci. 2025, 46, 403–411. Available online: https://link.cnki.net/urlid/51.1699.N.20240914.1311.002 (accessed on 14 May 2025).
- Yu, T.; Xue, D.Q.; Song, Y.Y.; Zheng, B.K.; Ma, B.B.; Ye, H. Coupling Coordination and Influencing Factors of Economic-Scale-Structure-Efficiency of Resource-Based Cities on the Loess Plateau. Acta Geogr. Sin. 2025, 80, 793–810. [Google Scholar]
- Xin, C.S.; Wu, D.M.; Shao, D.W. Multi-Scale Evolutionary Patterns and Mechanisms of Ecosystem Service Values in Highly Urbanised Areas: A Case Study of Suzhou City. Environmental Science. 2025. Available online: https://link.cnki.net/doi/10.13227/j.hjkx.202411318 (accessed on 14 May 2025).
- Xin, C.; Xiao, Z.L.; Hu, X.Y.; Tan, X.H.; Liu, R. Land Use Simulation and Ecosystem Service Value Assessment of the Panxi Dry Valley Region under Policy-Oriented Scenarios. Environmental Science. 2025. Available online: https://link.cnki.net/doi/10.13227/j.hjkx.202410200 (accessed on 14 May 2025).
- Jie, S.Y.; Wei, S.K.; Yuan, W.L.; Miao, Y. Spatial-Temporal Differentiation and Influencing Factors of Coupling Coordination of “Production-Living-Ecological” Functions in Yangtze River Delta Urban Agglomeration. Acta Ecol. Sin. 2022, 42, 6644–6655. [Google Scholar]
- Yuan, L.; Wang, J. A Comparative Study on Spatial-Temporal Dynamics and Associated Driving Factors of Wetlands in the Three Coastal Urban Agglomerations of China. Wetl. Sci. 2024, 22, 617–629. [Google Scholar]
- National-Bureau-of-Statistics-of-China. China Urban Statistical Yearbook (2006~2020); China Statistical Publishing House: Beijing, China, 2021.
- Jia, S.; Leng, J. Types and Spatial Pattern of Coupling Coordination between the New-Type Urbanization and Eco-Environment in Wuling Mountainous Area of Hunan. Econ. Geogr. 2022, 42, 87–95. [Google Scholar]
- Chao, Y.; Duan, B.Q.; Chen, W.X. Interactive Coercive Relationship between Urbanization and Ecosystem Services in Developed Regions: A Case Study of Guangdong Province. J. Saf. Environ. 2024, 24, 4494–4505. [Google Scholar]
- Da Hao, Z.; Zhou, C.S.; He, B.J. Spatial and Temporal Heterogeneity of Urban Land Area and Pm2.5 Concentration in China. Urban Clim. 2022, 45, 101268. [Google Scholar] [CrossRef]
- Jun, J.X.; Yang, Q.S.; Geng, Q.G.; Wang, X.Y.; Liu, J. Spatial-Temporal Differentiation and Driving Mechanism of Coordinated Development of Ecological-Economic-Society Systems in the Yangtze River Economic Belt. Resour. Environ. Yangtze Basin 2019, 28, 493–504. Available online: https://yangtzebasin.whlib.ac.cn/CN/10.11870/cjlyzyyhj201903001 (accessed on 14 May 2025).
- Di, X.G.; Lu, C.X.; Leng, Y.F.; Zheng, D.; Li, S.C. Ecological Assets Valuation of the Tibetan Plateau. J. Nat. Resour. 2003, 2, 189–196. [Google Scholar]
- Di, X.G.; Zhang, C.X.; Zhang, L.M.; Chen, W.H.; Li, S.M. Improvement of the Evaluation Method for Ecosystem Service value Based on Per Unit Area. J. Nat. Resour. 2015, 30, 1243–1254. [Google Scholar]
- Qiong, Y.Y.; Zhang, J.E.; Wang, T.; Bai, H.; Wang, X.; Zhao, W. Changes in Land-Use and Ecosystem Service Value in Guangdong Province, Southern China, from 1990 to 2018. Land 2021, 10, 426. [Google Scholar] [CrossRef]
- Lin, F.C.; Cui, X.G.; Liang, L.W. Theoretical Analysis of Urbanization and Eco-Environment Coupling Coil and Coupler Control. Acta Geogr. Sin. 2019, 74, 2529–2546. [Google Scholar]
- Cong, T.Y.; Tian, M.; Li, P.; Wu, Z.L. Coordinated Development of Urbanization and Ecosystem Services in the Tibet Autonomous Region. Prog. Geogr. 2023, 42, 1947–1960. [Google Scholar]
- Jian, W.S.; Cui, Z.T.; Lin, J.J.; Xie, J.Y.; Su, K. Coupling Relationship between Urbanization and Ecological Resilience in the Pearl River Delta. Acta Geogr. Sin. 2021, 76, 973–991. [Google Scholar]
- Fan, W.Y.; Liu, Y.S.; Li, Y.R. Spatio-Temporal Coupling of Demographic-Landscape Urbanization and Its Driving Forces in China. Acta Geogr. Sin. 2018, 73, 1865–1879. [Google Scholar]
- Yan, J.; Liu, Y.; Lou, H. Integrating ecosystem services into comprehensive land consolidation: A multi-scale governance perspective. J. Geogr. Sci. 2025, 35, 716–744. [Google Scholar] [CrossRef]
- Su, L.; Liu, H.N. Spatio-Temporal Pattern Evolution of Coupling Coordination between Urbanization and Ecological Resilience in Arid Region: A Case of Ningxia Hui Autonomous Region. Arid Land Geogr. 2022, 45, 1281–1290. [Google Scholar]
- Da Hao, Z.; Xie, X.; Zhou, C.S. Spatial Influence of Exposure to Green Spaces on the Climate Comfort of Urban Habitats in China. Urban Clim. 2023, 51, 101657. [Google Scholar] [CrossRef]
- Jun, Z.G.; Deng, H.H. Spatial-Temporal Evolution of the Coordination Relationship between the Service Industry and Urbanization in the Pearl River Delta Region. Geogr. Sci. 2018, 38, 1118–1128. [Google Scholar]
- Liang, C.J.; Yu, H. The Coupling Development of Tourism and Urbanization in Daxiangxi Area. Econ. Geogr. 2016, 36, 204–208+141. [Google Scholar]
- Gui, L.T.; Wu, C.F.; Li, H.Y.; You, H.Y.; Cai, X. The Coordination and Its Optimization About Population and Land of Urbanization: A Case Study of Nanchang City. Geogr. Sci. 2016, 36, 239–246. [Google Scholar]
- Yue, Y.M.; Yan, M.T.; Zhang, Y.; Zhao, J.J. Pattern Evolution and Influencing Factors of High-Quality Tourism Development in Urban Areas of China. Econ. Geogr. 2024, 44, 206–217. [Google Scholar]
- Sheng, L.M.; Ren, X.X.; Yu, Y.; Zhou, L. Spatiotemporal Pattern of Ground-Level Fine Particulate Matter (Pm2.5) Pollution in Mainland China. China Environ. Sci. 2016, 36, 641–650. [Google Scholar]
- Ming, J.S.; Tang, H.J. Nonlinear Impact of Technological Innovation on Economic Growth—From the Perspective of Factor Flow. Res. Dev. 2021, 2, 69–76. [Google Scholar]
- Chen, L.; Wu, Y.M.; Gao, B.P.; Wu, Y.; Zheng, K.J.; Chan, L. Spatial Differentiation and Driving Factors of Rural Settlement in Plateau Lake: A Case Study of the Area around the Erhai. Econ. Geogr. 2022, 42, 220–229. [Google Scholar]
- Council, United Nations Development Programme (UNDP) and Development Research Center of the State. China National Human Development Report Special Edition: 40 Years of Human Development in China Under Historical Transformation—Towards a Sustainable Future; China Translation & Publishing House: Beijing, China, 2019. [Google Scholar]
- Dong, D.; Luo, Y.; Gu, K.K. Spatio-Temporal Differentiation and Driving Forces of Eco-Environmental Effects of Land Use Transformation in Yangtze River Delta Economic Zone: A Perspective of Production-Living-Ecological Spaces. Resour. Environ. Yangtze Basin 2023, 32, 1664–1676. [Google Scholar]
- Feng, F.Z. On the Theory, Logic, and Practice Path to Structural Reform of the Supply Front. Econ. Probl. 2016, 2, 12–17. [Google Scholar]
- Yang, C.Z.; Liu, Q.; Cao, S.X. Real Estate Supports the Rapid Development of China’s Urbanization. Land Use Policy 2020, 95, 104582. [Google Scholar]
- Rui, D.K.; Cheng, Y.Y.; Yao, X. Environmental Regulation, Green Technology Innovation, and Industrial Structure Upgrading: The Road to the Green Transformation of Chinese Cities. Energy Econ. 2021, 98, 105247. [Google Scholar] [CrossRef]
- Lin, L.Y.; Zhang, X.H.; Pan, X.Y.; Ma, X.X.; Tang, M.Y. The Spatial Integration and Coordinated Industrial Development of Urban Agglomerations in the Yangtze River Economic Belt, China. Cities 2020, 104, 102801. [Google Scholar] [CrossRef]
- Dong, L.; Yang, Y.; Zhang, W.H.; Xu, M.J. Study on Planning and Policy System of Regional Integration Development in the Yangtze River Delta. Environ. Prot. 2020, 48, 9–15. [Google Scholar]
- Gene, M.G.; Krueger, A.B. Economic Growth and the Environment. In National Bureau of Economic Research Working Paper Series; National Bureau of Economic Research (NBER): Cambridge, MA, USA, 1994; p. 4634. [Google Scholar]
- Cheng, L.; Zhao, J.; Zhuang, Z.C. Spatiotemporal Dynamics and Influencing Factors of Ecosystem Service Trade-Offs in the Yangtze River Delta Urban Agglomeration. Acta Ecol. Sin. 2022, 42, 5708–5720. [Google Scholar] [CrossRef]
- Ran, W.; Cheng, J.H. Coupling Analysis of Socioeconomic Development and Resource Environment in the Yangtze River Delta Urban Agglomeration under the Perspective of High-Quality Development. Acad. Forum 2019, 42, 54–60. [Google Scholar]
- Yi, T.J.; Dong, P.; Lu, Y.Q. Spatial-Temporal Analysis and Influencing Factors of Ecological Resilience in the Yangtze River Delta. Resour. Environ. Yangtze Basin 2022, 31, 1975–1987. [Google Scholar]
- Ran, Z.X.; Wang, J.Y.; He, W.; Wei, Q.; Yang, Y.H. Spatial-Temporal Distribution and Influencing Factors of Urban Carbon Emissions under the Background of Carbon Emission Reduction: A Case Study of Guangxi Autonomous Region. J. Resour. Ecol. 2024, 15, 870–879. [Google Scholar] [CrossRef]
- Quan, Z.H.; Chen, S.Q.; Zhang, C.J.; Li, H.Y.; Chen, B.B. Evaluation and Analysis of Coupling Coordination between Water Use Efficiency and Industrial Structure in the Yangtze River Economic Belt. J. Econ. Water Resour. 2022, 40, 1–7+93. [Google Scholar]
- Xu, C.W.; Liu, Z.L.; Li, J.F.; Ran, D.; Zeng, J. Mapping the Spatial Relationship between Ecosystem Services and Urbanization in the Middle Reaches of the Yangtze River Urban Agglomerations. Acta Ecol. Sin. 2020, 40, 5137–5150. [Google Scholar]
- Peng, Z.Y.; Zhai, G.Q.; Yu, Z.J.; Lu, Z.Y.; Chen, Y.M.; Liu, J.Z. Coupling Coordination between Urbanization and Ecosystem Services Value in the Beijing-Tianjin-Hebei Urban Agglomeration. Sustain. Cities Soc. 2024, 113, 105715. [Google Scholar]
- Wen, R.Y.; Cao, W.D.; Zhang, Y.; Su, H.F.; Wang, X.W. Temporal and Spatial Coupling Characteristics of Urbanization and Ecological Environment of Three Major Urban Agglomerations in the Yangtze River Economic Belt. Resour. Environ. Yangtze Basin 2019, 28, 2586–2600. [Google Scholar]
- Li, Z.K.; Liu, T.; Feng, R.R.; Zhang, Z.C.; Liu, K. Coupling Coordination Relationship and Driving Mechanism between Urbanization and Ecosystem Service Value in Large Regions: A Case Study of Urban Agglomeration in Yellow River Basin, China. Int. J. Environ. Res. Public Health 2021, 18, 7836. [Google Scholar]













| Target Layer | Criterion Layer | Indicator Layer | Weight |
|---|---|---|---|
| Urbanization level | Urbanization of the population (0.1097) | Population density | 0.0525 |
| Share of non-agricultural population | 0.0113 | ||
| Share of the employed population in secondary and tertiary industries | 0.0073 | ||
| Tertiary student population per 10,000 population | 0.0117 | ||
| The rate of natural increase of population | 0.0268 | ||
| Economic urbanization (0.2994) | Per capita GDP | 0.0416 | |
| Per capita fiscal revenue | 0.1218 | ||
| Output of secondary and tertiary industries as a share of GDP | 0.0088 | ||
| Investment in fixed assets | 0.0666 | ||
| Night light value | 0.0606 | ||
| Urbanization of society (0.3651) | Per capita total retail sales of consumer goods | 0.0640 | |
| Number of hospital beds per 10,000 population | 0.0417 | ||
| Public library holdings per 10,000 population | 0.1159 | ||
| Public vehicles per 10,000 population | 0.0772 | ||
| Unemployment insurance participation rate | 0.0664 | ||
| Spatial urbanization (0.2258) | Area of built-up land | 0.1099 | |
| Share of built-up area in the total area of the region | 0.0618 | ||
| Greening coverage in built-up areas | 0.0043 | ||
| Area of paved roads per capita | 0.0039 | ||
| Public green space per capita | 0.0460 |
| C Value Range | Categories | Characteristic |
|---|---|---|
| [0, 0.2) | Low coupling | A correlation emerges between ESV and urbanization, but when C = 0, the two systems are uncorrelated. |
| [0.2, 0.4) | Rivalry | The interaction between ESV and urbanization is gradually increasing. |
| [0.4, 0.6) | Matching | There is a gradual interplay between ESV and urbanization, with significantly higher positive impacts. |
| [0.6, 0.8) | High coupling | There is significant two-way feedback between ESV and urbanization, and the evolution of the two systems shows a high degree of correlation. |
| D Value Interval | Categories | Characteristic |
|---|---|---|
| [0, 0.2) | Extreme incoordination | The two systems are in severe opposition, and development is mutually inhibited. |
| [0.2, 0.4) | Moderate incoordination | Sporadic signals of coordination between systems emerge, but overall conflict still dominates. |
| [0.4, 0.6) | Basic coordination | Positive interactions are tentative, but coordination mechanisms are fragile. |
| [0.6, 0.8) | Moderate coordination | Synergies have increased significantly, and conflicts are manageable. |
| [0.8, 1] | High coordination | The system is deeply integrated to form a self-optimizing cycle. |
| Type of Impact | Factors | Measurement Indicators | Numbering |
|---|---|---|---|
| Natural environment | Vegetation coverage | Normalized Difference Vegetation Index | NDVI |
| Precipitation | Average annual precipitation | PREC | |
| Air quality | Annual average PM2.5 concentration | PM2.5 | |
| Economic structure | Economic density | GDP/land area of administrative districts | ECON |
| GDP growth rate | Incremental GDP/previous year’s GDP | GDPSP | |
| Degree of openness | Foreign investment as a share of GDP | OPEN | |
| Industrial structure | Industrial structure upgrading index | ISUI | |
| Policy-driven | Government investment efforts | Investment in fixed assets/local general public budget expenditure | GOV |
| Technical efficiency | Energy efficiency | The rate of decline in energy consumption per unit of GDP | EGDP |
| Scientific and technological level | Expenditure on technology/local general public budget expenditure | TECH |
| Year | ESV | Urbanization Level | C | CCD | Degree of Coordination | Year | ESV | Urbanization Level | C | CCD | Degree of Coordination |
|---|---|---|---|---|---|---|---|---|---|---|---|
| 2006 | 0.8069 | 0.0242 | 0.1680 | 0.2642 | Moderate incoordination | 2014 | 0.7907 | 0.6001 | 0.4953 | 0.5869 | Basic coordination |
| 2007 | 0.8036 | 0.0377 | 0.2068 | 0.2950 | Moderate incoordination | 2015 | 0.7911 | 0.6329 | 0.4969 | 0.5948 | Basic coordination |
| 2008 | 0.8092 | 0.0930 | 0.3041 | 0.3704 | Moderate incoordination | 2016 | 0.7913 | 0.7998 | 0.5000 | 0.6307 | Moderate coordination |
| 2009 | 0.8080 | 0.1663 | 0.3762 | 0.4281 | Basic coordination | 2017 | 0.7891 | 0.7033 | 0.4992 | 0.6103 | Moderate coordination |
| 2010 | 0.7901 | 0.2159 | 0.4106 | 0.4545 | Basic coordination | 2018 | 0.7829 | 0.7490 | 0.4999 | 0.6188 | Moderate coordination |
| 2011 | 0.7915 | 0.3359 | 0.4573 | 0.5077 | Basic coordination | 2019 | 0.7773 | 0.8297 | 0.4997 | 0.6337 | Moderate coordination |
| 2012 | 0.7887 | 0.3291 | 0.4558 | 0.5047 | Basic coordination | 2020 | 0.7860 | 0.8465 | 0.4987 | 0.6497 | Moderate coordination |
| 2013 | 0.7921 | 0.4905 | 0.4860 | 0.5583 | Basic coordination | ||||||
| Factors | NDVI | PREC | PM2.5 | GDPSP | OPEN | ECON | ISUI | GOV | EGDP | TECH |
|---|---|---|---|---|---|---|---|---|---|---|
| q statistic | 0.351 | 0.018 | 0.020 | 0.050 | 0.301 | 0.303 | 0.249 | 0.242 | 0.010 | 0.258 |
| p value | 0.000 | 0.967 | 0.386 | 0.906 | 0.000 | 0.000 | 0.002 | 0.000 | 0.990 | 0.000 |
| Parameter | Bandwidth | Residual Squares | δ | AICC | R2 | Adjusted R2 |
|---|---|---|---|---|---|---|
| Value | 0.1150 | 0.0990 | 0.0159 | −1854.1 | 0.9641 | 0.9635 |
Disclaimer/Publisher’s Note: The statements, opinions and data contained in all publications are solely those of the individual author(s) and contributor(s) and not of MDPI and/or the editor(s). MDPI and/or the editor(s) disclaim responsibility for any injury to people or property resulting from any ideas, methods, instructions or products referred to in the content. |
© 2025 by the authors. Licensee MDPI, Basel, Switzerland. This article is an open access article distributed under the terms and conditions of the Creative Commons Attribution (CC BY) license (https://creativecommons.org/licenses/by/4.0/).
Share and Cite
Gao, X.; Zhou, C. Spatiotemporal Evolution and Driving Mechanisms of Ecosystem Service Value–Urbanization Coupling Coordination in the Yangtze River Delta. Land 2025, 14, 2061. https://doi.org/10.3390/land14102061
Gao X, Zhou C. Spatiotemporal Evolution and Driving Mechanisms of Ecosystem Service Value–Urbanization Coupling Coordination in the Yangtze River Delta. Land. 2025; 14(10):2061. https://doi.org/10.3390/land14102061
Chicago/Turabian StyleGao, Xiaoyao, and Chunshan Zhou. 2025. "Spatiotemporal Evolution and Driving Mechanisms of Ecosystem Service Value–Urbanization Coupling Coordination in the Yangtze River Delta" Land 14, no. 10: 2061. https://doi.org/10.3390/land14102061
APA StyleGao, X., & Zhou, C. (2025). Spatiotemporal Evolution and Driving Mechanisms of Ecosystem Service Value–Urbanization Coupling Coordination in the Yangtze River Delta. Land, 14(10), 2061. https://doi.org/10.3390/land14102061

