Is Abandoned Cropland Continuously Growing in China? Quantitative Evidence and Enlightenment from Landsat-Derived Annual China Land Cover Dataset
Abstract
:1. Introduction
- (1)
- Proposing a strategy for extracting large-scale abandoned cropland in China using long time series LUCC data considering GGP;
- (2)
- Analyzing the spatial and temporal characteristics of abandoned and reclaimed abandoned cropland in China;
- (3)
- Assessing the potential of abandoned cropland in China to illustrate the importance of abandoned cropland in ensuring food and ecological security in China.
2. Materials and Methods
2.1. Study Area
2.2. Data sources and Processing
2.2.1. Landcover Data
2.2.2. Digital Elevation Model
2.2.3. Agricultural Natural Zones
2.2.4. Statistical Data
2.3. Identification Algorithm of Cropland Abandonment and Reclamation
2.3.1. Identification of the Regions of GGP
2.3.2. Identification of Abandoned Cropland
2.3.3. Identification of Reclaimed Cropland
2.4. Accuracy Verification
2.5. Calculation of Abandonment Frequency
2.6. Identification of Abandonment Duration
2.7. Abandonment Rate and Reclamation Rate Calculation
3. Results
3.1. Overview of Abandoned Cropland
3.1.1. Characteristics of Abandonment and Reclamation in Cropland
3.1.2. Characteristics of the Frequency of Cropland Abandonment
3.1.3. Characteristics of the Duration of Cropland Abandonment
3.1.4. Characteristics of Abandoned Cropland in the Agricultural Natural Zones Scale
3.2. Topographic Effects of Abandoned Cropland Distribution
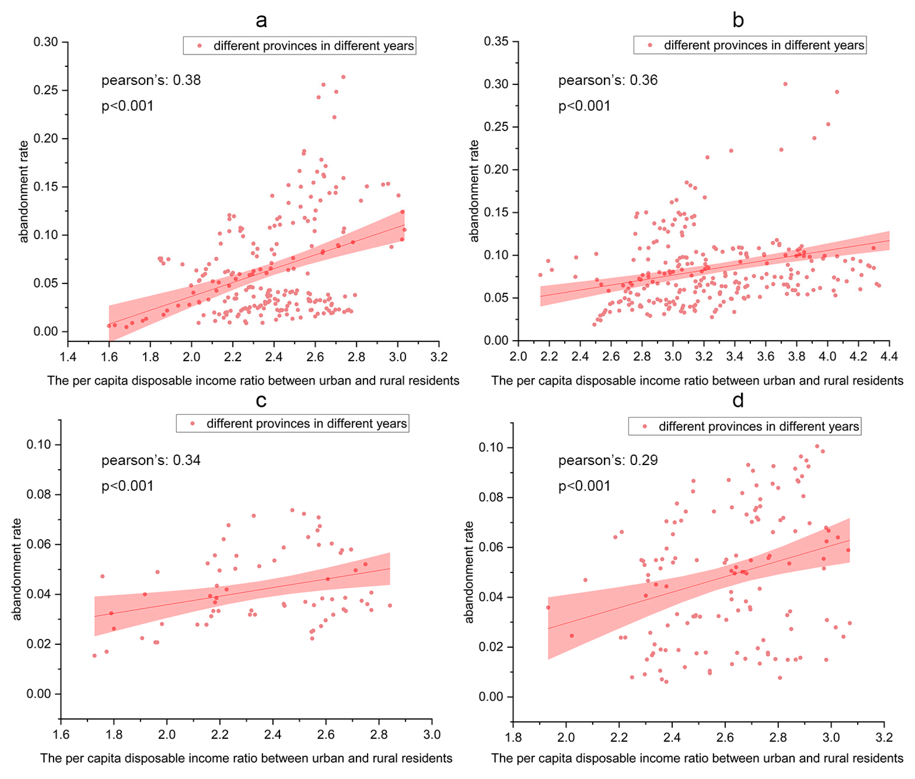
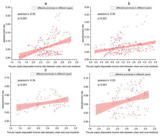
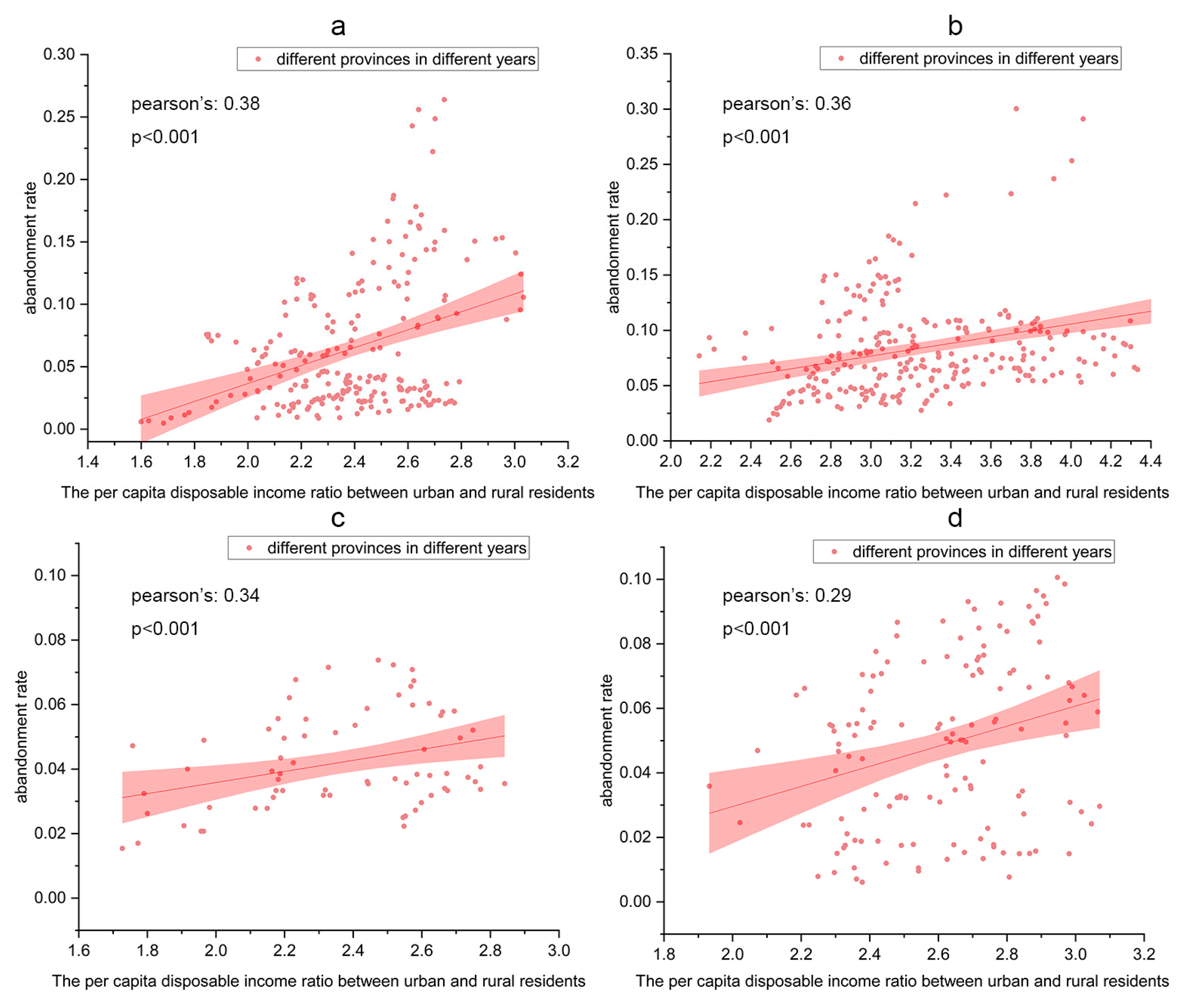
3.3. Influence of UrbanRural Income Gap on Abandoned Cropland
4. Discussion
4.1. Policy-Driven Changes in Abandoned Cropland
4.2. Potential of Abandoned Cropland
4.3. Contributions and Shortcomings of This Study
- The overall accuracy (OA) of this study using land use data (CLCD) is 79.31%, and the errors of land use data will be inevitably transferred to the abandoned cropland map;
- This study uses a time sliding window with window size of 5 years to identify the regions of GGP, so we need to collect 5 years of annual remote sensing data to identify the regions of GGP for one year. Therefore, the timeliness of the spatial distribution of abandoned cropland cannot be guaranteed.
5. Conclusions
- (1)
- The average annual abandonment rate in China during 1990 to 2018 was 4.59%, with the highest total area of abandoned cropland in China reaching 1.33 million hectares in 2012. The average annual reclamation rate during the study period was 9.40%, with the highest reclamation rate occurring in 2018, when the reclamation area reached 1.50 million hectares. We also found that the reclaimed area exceeded the new abandoned area in recent years, but there are still large areas of abandoned cropland. As of 2018, there were still more than 6 million hectares of abandoned cropland;
- (2)
- There are two types of regions that need to be focused on among the 36 agricultural natural regions. One is those where the total area of abandoned cropland and the abandonment rate are high, such as Jiangnan Hills, Hilly Regions of Fujian and Guangdong Province, North China Mountains, and Eastern Inner Mongolia. The other category is the regions with a large abandoned area, although the abandonment rate is not high, such as Songliao Plain, Middle and Lower Yangtze River, and North China Plain;
- (3)
- Slope and elevation are negatively correlated with the abandonment rate, while the urban-rural disposable income ratio is positively correlated with the abandonment rate.
Author Contributions
Funding
Data Availability Statement
Conflicts of Interest
References
- United Nations. World Population Prospects 2022: Summary of Results. Available online: https://www.un.org/development/desa/pd/content/World-Population-Prospects-2022 (accessed on 16 April 2023 ).
- van Dijk, M.; Morley, T.; Rau, M.L.; Saghai, Y. A meta-analysis of projected global food demand and population at risk of hunger for the period 2010–2050. Nat. Food 2021, 2, 494. [Google Scholar] [CrossRef] [PubMed]
- Tilman, D.; Balzer, C.; Hill, J.; Befort, B.L. Global food demand and the sustainable intensification of agriculture. Proc. Natl. Acad. Sci. USA 2011, 108, 20260–20264. [Google Scholar] [CrossRef] [PubMed]
- Campbell, J.E.; Lobell, D.B.; Genova, R.C.; Field, C.B. The global potential of bioenergy on abandoned agriculture lands. Environ. Sci. Technol. 2008, 42, 5791–5794. [Google Scholar] [CrossRef] [PubMed]
- Tollefson, J. What the war in Ukraine means for energy, climate and food. Nature 2022, 604, 232–233. [Google Scholar] [CrossRef]
- Yang, H.F.; Zhong, X.N.; Deng, S.Q.; Xu, H. Assessment of the impact of LUCC on NPP and its influencing factors in the Yangtze River basin, China. Catena 2021, 206, 105542. [Google Scholar] [CrossRef]
- Yin, H.; Brandao, A., Jr.; Buchner, J.; Helmers, D.; Iuliano, B.G.; Kimambo, N.E.; Lewinska, K.E.; Razenkova, E.; Rizayeva, A.; Rogova, N.; et al. Monitoring cropland abandonment with Landsat time series. Remote Sens. Environ. 2020, 246, 111873. [Google Scholar] [CrossRef]
- Zhang, Y.; Li, X.; Song, W. Determinants of cropland abandonment at the parcel, household and village levels in mountain areas of China: A multi-level analysis. Land Use Policy 2014, 41, 186–192. [Google Scholar] [CrossRef]
- MacDonald, D.; Crabtree, J.R.; Wiesinger, G.; Dax, T.; Stamou, N.; Fleury, P.; Lazpita, J.G.; Gibon, A. Agricultural abandonment in mountain areas of Europe: Environmental consequences and policy response. J. Environ. Manag. 2000, 59, 47–69. [Google Scholar] [CrossRef]
- Li, S.F.; Li, X.B. Global understanding of farmland abandonment: A review and prospects. J. Geogr. Sci. 2017, 27, 1123–1150. [Google Scholar] [CrossRef]
- Queiroz, C.; Beilin, R.; Folke, C.; Lindborg, R. Farmland abandonment: Threat or opportunity for biodiversity conservation? A global review. Front. Ecol. Environ. 2014, 12, 288–296. [Google Scholar] [CrossRef]
- Ustaoglu, E.; Collier, M.J. Farmland abandonment in Europe: An overview of drivers, consequences, and assessment of the sustainability implications. Environ. Rev. 2018, 26, 396–416. [Google Scholar] [CrossRef]
- Dara, A.; Baumann, M.; Kuemmerle, T.; Pflugmacher, D.; Rabe, A.; Griffiths, P.; Hoelzel, N.; Kamp, J.; Freitag, M.; Hostert, P. Mapping the timing of cropland abandonment and recultivation in northern Kazakhstan using annual Landsat time series. Remote Sens. Environ. 2018, 213, 49–60. [Google Scholar] [CrossRef]
- Zhang, M.X.; Li, G.Y.; He, T.T.; Zhai, G.; Guo, A.D.; Chen, H.; Wu, C.F. Reveal the severe spatial and temporal patterns of abandoned cropland in China over the past 30 years. Sci. Total Environ. 2023, 857, 159591. [Google Scholar] [CrossRef] [PubMed]
- Izquierdo, A.E.; Grau, H.R. Agriculture adjustment, land-use transition and protected areas in Northwestern Argentina. J. Environ. Manag. 2009, 90, 858–865. [Google Scholar] [CrossRef]
- Song, W.; Deng, X. Land-use/land-cover change and ecosystem service provision in China. Sci. Total Environ. 2017, 576, 705–719. [Google Scholar] [CrossRef] [PubMed]
- Fourie, L. The Conservation Value of Abandoned Croplands in Mpumalanga’s Grasslands. Master’s Thesis, University of Pretoria, Pretoria, South Africa, 2014. [Google Scholar]
- Díaz, G.I.; Nahuelhual, L.; Echeverría, C.; Marín, S. Drivers of land abandonment in Southern Chile and implications for landscape planning. Landsc. Urban Plan. 2011, 99, 207–217. [Google Scholar] [CrossRef]
- Lambin, E.F.; Meyfroidt, P. Land use transitions: Socio-ecological feedback versus socio-economic change. Land Use Policy 2010, 27, 108–118. [Google Scholar] [CrossRef]
- Zhu, X.F.; Xiao, G.F.; Zhang, D.J.; Guo, L.L. Mapping abandoned farmland in China using time series MODIS NDVI. Sci. Total Environ. 2021, 755, 142651. [Google Scholar] [CrossRef]
- Han, Z.; Song, W. Abandoned cropland: Patterns and determinants within the Guangxi Karst Mountainous Area, China. Appl. Geogr. 2020, 122, 102245. [Google Scholar] [CrossRef]
- Jiang, Y.; He, X.; Yin, X.; Chen, F. The pattern of abandoned cropland and its productivity potential in China: A four-years continuous study. Sci. Total Environ. 2023, 870, 161928. [Google Scholar] [CrossRef]
- Liu, B.; Song, W. Mapping abandoned cropland using Within-Year Sentinel-2 time series. Catena 2023, 223, 106924. [Google Scholar] [CrossRef] [PubMed]
- Han, Z.; Song, W. Spatiotemporal variations in cropland abandonment in the Guizhou-Guangxi karst mountain area, China. J. Clean. Prod. 2019, 238, 117888. [Google Scholar] [CrossRef]
- Low, F.; Prishchepov, A.V.; Waldner, F.; Dubovyk, O.; Akramkhanov, A.; Biradar, C.; Lamers, J.P.A. Mapping Cropland Abandonment in the Aral Sea Basin with MODIS Time Series. Remote Sens. 2018, 10, 159. [Google Scholar] [CrossRef]
- Chinese People’s Congress. Law of the People’s Republic of China on Land Contract in Rural Areas. Available online: http://www.npc.gov.cn/npc/c30834/201901/cd063e4c0f19465e9d41946001fe839c.shtml (accessed on 18 April 2023).
- Kuntz, K.A.; Beaudry, F.; Porter, K.L. Farmers’ Perceptions of Agricultural Land Abandonment in Rural Western New York State. Land 2018, 7, 128. [Google Scholar] [CrossRef]
- Li, S.F.; Li, X.B.; Sun, L.X.; Cao, G.Y.; Fischer, G.; Tramberend, S. An estimation of the extent of cropland abandonment in mountainous regions of China. Land Degrad. Dev. 2018, 29, 1327–1342. [Google Scholar] [CrossRef]
- Hinojosa, L.; Napoleone, C.; Moulery, M.; Lambin, E.F. The “mountain effect” in the abandonment of grasslands: Insights from the French Southern Alps. Agric. Ecosyst. Environ. 2016, 221, 115–124. [Google Scholar] [CrossRef]
- Yin, H.; Prishchepov, A.V.; Kuemmerle, T.; Bleyhl, B.; Buchner, J.; Radeloff, V.C. Mapping agricultural land abandonment from spatial and temporal segmentation of Landsat time series. Remote Sens. Environ. 2018, 210, 12–24. [Google Scholar] [CrossRef]
- Estel, S.; Kuemmerle, T.; Alcantara, C.; Levers, C.; Prishchepov, A.; Hostert, P. Mapping farmland abandonment and recultivation across Europe using MODIS NDVI time series. Remote Sens. Environ. 2015, 163, 312–325. [Google Scholar] [CrossRef]
- Alcantara, C.; Kuemmerle, T.; Baumann, M.; Bragina, E.V.; Griffiths, P.; Hostert, P.; Knorn, J.; Mueller, D.; Prishchepov, A.V.; Schierhorn, F.; et al. Mapping the extent of abandoned farmland in Central and Eastern Europe using MODIS time series satellite data. Environ. Res. Lett. 2013, 8, 035035. [Google Scholar] [CrossRef]
- Chen, X.; Yu, L.; Du, Z.R.; Xu, Y.D.; Zhao, J.Y.; Zhao, H.L.; Zhang, G.L.; Peng, D.L.; Gong, P. Distribution of ecological restoration projects associated with land use and land cover change in China and their ecological impacts. Sci. Total Environ. 2022, 825, 153938. [Google Scholar] [CrossRef]
- Zhao, X.J.; Deng, G.Q.; Xi, Y.L. Spatial-Temporal Characteristics and Driving Factors of Disaster-Induced Grain Yield Loss in China. Front. Environ. Sci. 2022, 10, 808565. [Google Scholar] [CrossRef]
- Bai, X.; Shi, P.; Liu, Y. Society: Realizing China’s urban dream. Nature 2014, 509, 158–160. [Google Scholar] [CrossRef] [PubMed]
- Kuang, W.H.; Liu, J.Y.; Tian, H.Q.; Shi, H.; Dong, J.W.; Song, C.Q.; Li, X.Y.; Du, G.M.; Hou, Y.L.; Lu, D.S.; et al. Cropland redistribution to marginal lands undermines environmental sustainability. Natl. Sci. Rev. 2022, 9, nwab091. [Google Scholar] [CrossRef] [PubMed]
- Liu, J.Y.; Liu, M.L.; Tian, H.Q.; Zhuang, D.F.; Zhang, Z.X.; Zhang, W.; Tang, X.M.; Deng, X.Z. Spatial and temporal patterns of China’s cropland during 1990-2000: An analysis based on Landsat TM data. Remote Sens. Environ. 2005, 98, 442–456. [Google Scholar] [CrossRef]
- Yang, J.; Huang, X. The 30 m annual land cover dataset and its dynamics in China from 1990 to 2019. Earth Syst. Sci. Data 2021, 13, 3907–3925. [Google Scholar] [CrossRef]
- Su, Y.Y.; Wu, S.K.; Kang, S.G.; Xu, H.; Liu, G.S.; Qiao, Z.; Liu, L. Monitoring Cropland Abandonment in Southern China from 1992 to 2020 Based on the Combination of Phenological and Time-Series Algorithm Using Landsat Imagery and Google Earth Engine. Remote Sens. 2023, 15, 669. [Google Scholar] [CrossRef]
- Zhong, S.J.; Wang, M.S.; Zhu, Y.; Chen, Z.G.; Huang, X.J. Urban expansion and the urban-rural income gap: Empirical evidence from China. Cities 2022, 129, 103831. [Google Scholar] [CrossRef]
- Su, C.W.; Liu, T.Y.; Chang, H.L.; Jiang, X.Z. Is urbanization narrowing the urban-rural income gap? A cross-regional study of China. Habitat Int. 2015, 48, 79–86. [Google Scholar] [CrossRef]
- Deng, X.Z.; Huang, J.K.; Rozelle, S.; Zhang, J.P.; Li, Z.H. Impact of urbanization on cultivated land changes in China. Land Use Policy 2015, 45, 1–7. [Google Scholar] [CrossRef]
- Jebabli, I.; Kouaissah, N.; Arouri, M. Volatility Spillovers between Stock and Energy Markets during Crises: A Comparative Assessment between the 2008 Global Financial Crisis and the COVID-19 Pandemic Crisis. Financ. Res. Lett. 2022, 46, 102363. [Google Scholar] [CrossRef]
- State Council of the PRC. Several Opinions on Strengthening Overall Urban and Rural Development and Further Consolidating the Foundation of Agricultural and Rural Development. Available online: https://www.gov.cn/gongbao/content/2010/content_1528900.html/ (accessed on 18 April 2023).
- Zheng, W.W.; Li, S.M.; Ke, X.L.; Li, X.Y.; Zhang, B.B. The impacts of cropland balance policy on habitat quality in China: A multiscale administrative perspective. J. Environ. Manag. 2022, 323, 116182. [Google Scholar] [CrossRef] [PubMed]
- National Forestry and Grassland Administration. Twenty Years of Returning Farmland to Forest and Grassland in China (1999–2019). Available online: http://www.forestry.gov.cn/html/main/main_195/20200630085813736477881/file/20200630090428999877621.pdf (accessed on 18 April 2023).
- Di, Y.Y.; You, N.S.; Dong, J.W.; Liao, X.Y.; Song, K.S.; Fu, P. Recent soybean subsidy policy did not revitalize but stabilize the soybean planting areas in Northeast China. Eur. J. Agron. 2023, 147, 126841. [Google Scholar] [CrossRef]










| ID | Region Name | ID | Region Name |
|---|---|---|---|
| 1-1 | Northern Daxing’an Mountains | 7-1-2 | Southern Yunnan River Valley Dam Region |
| 2-1-1 | Sanjiang Plain | 7-1-3 | Qiong Lei Region |
| 2-1-2 | Xiaoxing’an Mountains-Changbai Mountains | 8-1-1 | Southern Hainan Island |
| 2-2 | Songliao Plain | 8-1-2 | Dongsha, Zhongsha and Xisha Islands |
| 3-1 | Liaodong-Shandong Peninsula | 9-1 | Nansha Islands |
| 3-2-1 | North China Plain | 10-3-1 | Eastern Inner Mongolia |
| 3-2-2 | North China Mountains | 10-3-2 | Northwest Mountainous Region of Northern Xinjiang |
| 3-2-3 | Loess Plateau | 10-4-1 | Central Inner Mongolia |
| 4-1-1 | Middle and Lower Yangtze River | 10-4-2 | Western Inner Mongolia |
| 4-1-2 | Upper and Middle Han River | 10-4-3 | Northern Xinjiang |
| 5-1-1 | Sichuan Basin | 11-4-1 | Hexi Corridor |
| 5-1-2 | Guizhou Plateau | 11-4-2 | Southern Xinjiang |
| 5-1-3 | Jiangnan Hills | 12-2 | Western Sichuan and Eastern Tibet |
| 5-1-4 | Yunnan Plateau | 12-3-1 | Qinghai |
| 5-1-5 | Southern Himalayas | 12-3-2 | Southern Tibet |
| 6-1-1 | Northern Taiwan | 12-4-1 | Qaidam Basin |
| 6-1-2 | Southern Yunnan Mountains | 12-4-2 | Western Tibet |
| 6-1-3 | Hilly Regions of Fujian and Guangdong Province | 13-3 | Southern Qiangtang Region |
| 7-1-1 | Southern Taiwan | 14-4 | Northern Qiangtang Region |
Disclaimer/Publisher’s Note: The statements, opinions and data contained in all publications are solely those of the individual author(s) and contributor(s) and not of MDPI and/or the editor(s). MDPI and/or the editor(s) disclaim responsibility for any injury to people or property resulting from any ideas, methods, instructions or products referred to in the content. |
© 2023 by the authors. Licensee MDPI, Basel, Switzerland. This article is an open access article distributed under the terms and conditions of the Creative Commons Attribution (CC BY) license (https://creativecommons.org/licenses/by/4.0/).
Share and Cite
Wang, H.; Guo, Z.; Xie, Y.; Zhang, X.; Xi, G.; Huang, H. Is Abandoned Cropland Continuously Growing in China? Quantitative Evidence and Enlightenment from Landsat-Derived Annual China Land Cover Dataset. Land 2024, 13, 45. https://doi.org/10.3390/land13010045
Wang H, Guo Z, Xie Y, Zhang X, Xi G, Huang H. Is Abandoned Cropland Continuously Growing in China? Quantitative Evidence and Enlightenment from Landsat-Derived Annual China Land Cover Dataset. Land. 2024; 13(1):45. https://doi.org/10.3390/land13010045
Chicago/Turabian StyleWang, Haoran, Zecheng Guo, Yaowen Xie, Xueyuan Zhang, Guilin Xi, and Hongxin Huang. 2024. "Is Abandoned Cropland Continuously Growing in China? Quantitative Evidence and Enlightenment from Landsat-Derived Annual China Land Cover Dataset" Land 13, no. 1: 45. https://doi.org/10.3390/land13010045
APA StyleWang, H., Guo, Z., Xie, Y., Zhang, X., Xi, G., & Huang, H. (2024). Is Abandoned Cropland Continuously Growing in China? Quantitative Evidence and Enlightenment from Landsat-Derived Annual China Land Cover Dataset. Land, 13(1), 45. https://doi.org/10.3390/land13010045

