Sign in to use this feature.

Years

Between: -

Subjects

remove_circle_outline
remove_circle_outline
remove_circle_outline
remove_circle_outline
remove_circle_outline
remove_circle_outline
remove_circle_outline
remove_circle_outline
remove_circle_outline

Journals

Article Types

Countries / Regions

Search Results (71)

Search Parameters:
Keywords = recultivation

Order results
Result details
Results per page
Select all
Export citation of selected articles as:
16 pages, 2837 KB  
Article
Continuous Monitoring of Cropland Abandonment in China Since the 21st Century: Interpreting Spatiotemporal Trajectories and Characteristics
by Tingting Li, Changquan Liu and Yanfei Wang
Land 2025, 14(11), 2203; https://doi.org/10.3390/land14112203 - 6 Nov 2025
Viewed by 374
Abstract
Farmland abandonment poses a significant threat to China’s food security by contributing to inefficient land use. Utilizing remote sensing data and the multiple cropping index extraction method, this study extracts abandonment cropland information and analyzes its spatiotemporal patterns across China, with its findings [...] Read more.
Farmland abandonment poses a significant threat to China’s food security by contributing to inefficient land use. Utilizing remote sensing data and the multiple cropping index extraction method, this study extracts abandonment cropland information and analyzes its spatiotemporal patterns across China, with its findings validated against the “China Rural Revitalization Survey” (CRRS) data. The results indicate that since the 21st century, China’s cropland abandonment rate has fluctuated around 5.86%, affecting an average of 7.6 million hectares annually. Spatially, cropland abandonment is more severe in southern China, with hotspots clustered around 25° N and 30° N latitudes. This southward shift exacerbates the spatial mismatch between water resources and cropland. Furthermore, abandonment is particularly pronounced in grain production—marketing balance areas and main marketing areas, intensifying pressure on national food self-sufficiency. Slope and fragmentation also drive abandonment, with steeper (>15°) and more fragmented plots showing higher susceptibility. These complex patterns are uncovered through the study’s systematic innovations—a dual-indicator quantification method, a multi-source validation framework, a dynamic spatiotemporal atlas, and a novel interpretation of abandonment multifunctionality, which also positions farmland reuse as a buffer against unemployment risks. We thus recommend addressing land fragmentation as a core strategy, through high-standard farmland construction, innovative contract rights certification, and expanded agricultural socialized services to promote moderate-scale farming. Finally, we urge the adoption of region-specific and category-based recultivation approaches, supported by clear governance priorities. Full article
(This article belongs to the Section Land Use, Impact Assessment and Sustainability)
Show Figures

Figure 1

26 pages, 3570 KB  
Article
Monitoring Spatiotemporal Dynamics of Farmland Abandonment and Recultivation Using Phenological Metrics
by Xingtao Liu, Shudong Wang, Xiaoyuan Zhang, Lin Zhen, Chenyang Ma, Saw Yan Naing, Kai Liu and Hang Li
Land 2025, 14(9), 1745; https://doi.org/10.3390/land14091745 - 28 Aug 2025
Viewed by 1727
Abstract
Driven by both natural and anthropogenic factors, farmland abandonment and recultivation constitute complex and widespread global phenomena that impact the ecological environment and society. In the Inner Mongolia Yellow River Basin (IMYRB), a critical tension lies between agricultural production and ecological conservation, characterized [...] Read more.
Driven by both natural and anthropogenic factors, farmland abandonment and recultivation constitute complex and widespread global phenomena that impact the ecological environment and society. In the Inner Mongolia Yellow River Basin (IMYRB), a critical tension lies between agricultural production and ecological conservation, characterized by dynamic bidirectional transitions that hold significant implications for the harmony of human–nature relations and the advancement of ecological civilization. With the development of remote sensing, it has become possible to rapidly and accurately extract farmland changes and monitor its vegetation restoration status. However, mapping abandoned farmland presents significant challenges due to its scattered and heterogeneous distribution across diverse landscapes. Furthermore, subjectivity in questionnaire-based data collection compromises the precision of farmland abandonment monitoring. This study aims to extract crop phenological metrics, map farmland abandonment, and recultivation dynamics in the IMYRB and assess post-transition vegetation changes. We used Landsat time-series data to detect the land-use changes and vegetation responses in the IMYRB. The Farmland Abandonment and Recultivation Extraction Index (FAREI) was developed using crop phenology spectral features. Key crop-specific phenological indicators, including sprout, peak, and wilting stages, were extracted from annual MODIS NDVI data for 2020. Based on these key nodes, the Landsat data from 1999 to 2022 was employed to map farmland abandonment and recultivation. Vegetation recovery trajectories were further analyzed by the Mann–Kendall test and the Theil–Sen estimator. The results showed rewarding accuracy for farmland conversion mapping, with overall precision exceeding 79%. Driven by ecological restoration programs, rural labor migration, and soil salinization, two distinct phases of farmland abandonment were identified, 87.9 kha during 2002–2004 and 105.14 kha during 2016–2019, representing an approximate 19.6% increase. Additionally, the post-2016 surge in farmland recultivation was primarily linked to national food security policies and localized soil amelioration initiatives. Vegetation restoration trends indicate significant greening over the past two decades, with particularly significant increases observed between 2011 and 2022. In the future, more attention should be paid to the trade-off between ecological protection and food security. Overall, this study developed a novel method for monitoring farmland dynamics, offering critical insights to inform adaptive ecosystem management and advance ecological conservation and sustainable development in ecologically fragile semi-arid regions. Full article
(This article belongs to the Special Issue Connections Between Land Use, Land Policies, and Food Systems)
Show Figures

Figure 1

20 pages, 3419 KB  
Article
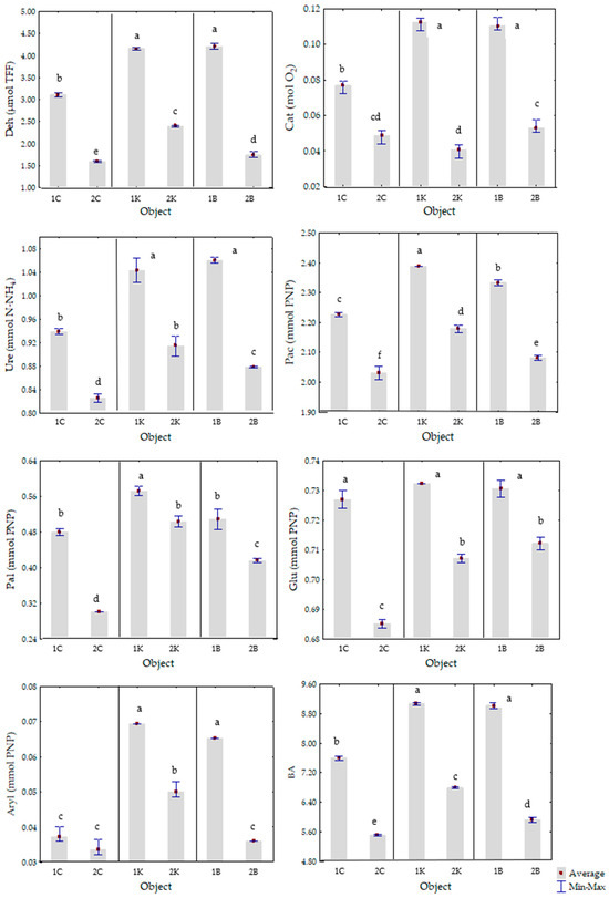
Changes in Microbial Activity Associated with the Nitrogen Biogeochemical Cycle in Differently Managed Soils, Including Protected Areas and Those Reclaimed with Gangue
by Jolanta Joniec, Edyta Kwiatkowska, Anna Walkiewicz and Grzegorz Grzywaczewski
Sustainability 2025, 17(10), 4343; https://doi.org/10.3390/su17104343 - 11 May 2025
Cited by 1 | Viewed by 727
Abstract
The proximity of ecologically valuable areas to industrial zones indicates a strong need for monitoring their condition. Soil assessment involves both molecular techniques for studying microbial biodiversity, such as PCR, sequencing, and metagenomics, as well as parameters of biochemical and enzymatic activity of [...] Read more.
The proximity of ecologically valuable areas to industrial zones indicates a strong need for monitoring their condition. Soil assessment involves both molecular techniques for studying microbial biodiversity, such as PCR, sequencing, and metagenomics, as well as parameters of biochemical and enzymatic activity of soil microorganisms. The authors studied the activity of microorganisms responsible for the nitrogen cycle to compare the condition of soils under different uses (wastelands and arable fields) located in the ecologically valuable areas of the Polesie National Park (PNP, protected area) and its surroundings. Additionally, they assessed the suitability of gangue for reclamation and its effectiveness depending on treatment duration (2 and 10 years). In most of the activities analyzed, their levels were lower in the park. A higher intensity of ammonification and nitrification was observed in the soil sampled from the field in the park; however, a reduced N2O emission was also recorded after incubation in the lab of soil samples collected in the autumn, which may indicate that nitrogen loss from the soil does not occur in this particular habitat, which requires further, long-term and cyclical field trials. These observations confirm the potential protective role of the park in relation to soils and atmosphere in the context of the nitrogen cycle. The activities under study in the reclaimed soils were in both cases lower than in soils from the fields. The current results prove that this method of reclamation is not entirely effective; however, long-term reclamation yielded better results. The present study provided valuable information on the effectiveness of the protective role of the PNP in relation to soils and air. Additionally, these results may be helpful in making decisions regarding the use of waste, such as gangue, for reclamation. Full article
Show Figures

Figure 1

24 pages, 5867 KB  
Review
Plants for Wild Bees—Field Records in Bulgaria
by Ekaterina Kozuharova, Teodor Trifonov, Christina Stoycheva, Nadezhda Zapryanova and Rosen S. Sokolov
Diversity 2025, 17(3), 214; https://doi.org/10.3390/d17030214 - 17 Mar 2025
Cited by 1 | Viewed by 2088
Abstract
One of the eight shortfalls in European wild bee data is the knowledge of the flowering plants they favor. This knowledge is of particular importance for bee gardens and wildflower strips initiatives aiming to provide forage for the wild bees. The aim of [...] Read more.
One of the eight shortfalls in European wild bee data is the knowledge of the flowering plants they favor. This knowledge is of particular importance for bee gardens and wildflower strips initiatives aiming to provide forage for the wild bees. The aim of this study is to provide a list of plants that are used for food by certain taxa of wild bees in Bulgaria and to evaluate their potential for cultivation in bee gardens and wildflower strips. In relation to this, we discuss the food plant specialization of the wild bees. We summarize our observations on the pollination of certain plants and faunistic records considering the food plants in several grassland habitats on the territory of Bulgaria at altitudes between 0 and 1500 m above sea level, during the last 30 years. More than 54 taxa of wild bees are listed. They belong to the families Apidae, Andrenidae, Colletidae, Halictidae, and Megachilidae. Some of these bees are identified to the species level, and others to the genus or family level. Among the recorded wild bees are observed eight oligolectic species (22.2%). The listed bees are flower visitors of 60 plant taxa belonging to 20 families, which offer nectar and/or pollen. The wild bees’ food plants are predominantly from the families Fabaceae (15 species), Lamiaceae (14 species), Asteraceae (9 species), etc. The perennials are 67%, while annuals are 9%, annual or biennial 6%, biennials 5%, etc. We discuss the seed germination specifics of these plants. More studies are needed in this field. The conservation of wild bees may be supported by wildflower restoration activities, but the process depends on many factors, including seed germination difficulties. Therefore, the natural grassland habitats must be preserved and protected. Full article
(This article belongs to the Special Issue Emerging Effects of Pollinator Loss on Biodiversity)
Show Figures

Graphical abstract

15 pages, 2015 KB  
Communication
Probable New Species of Bacteria of the Genus Pseudomonas Accelerates and Enhances the Destruction of Perfluorocarboxylic Acids
by Sergey Chetverikov, Gaisar Hkudaigulov, Danil Sharipov and Sergey Starikov
Toxics 2024, 12(12), 930; https://doi.org/10.3390/toxics12120930 - 22 Dec 2024
Cited by 2 | Viewed by 2034
Abstract
Bacteria of the genus Pseudomonas are the most studied microorganisms that biodegrade persistent perfluoroorganic pollutants, and the research of their application for the remediation of environmental sites using biotechnological approaches remains relevant. The aim of this study was to investigate the ability of [...] Read more.
Bacteria of the genus Pseudomonas are the most studied microorganisms that biodegrade persistent perfluoroorganic pollutants, and the research of their application for the remediation of environmental sites using biotechnological approaches remains relevant. The aim of this study was to investigate the ability of a known destructor of perfluorooctane sulfonic acid from the genus Pseudomonas to accelerate and enhance the destruction of long-chain perfluorocarboxylic acids (PFCAs), specifically perfluorooctanoic acid and perfluorononanoic acid, in water and soil in association with the strain P. mosselii 5(3), which has previously confirmed genetic potential for the degrading of PFCAs. The complete genome (5.86 million base pairs) of the strain 2,4-D, probably belonging to a new species of Pseudomonas, was sequenced, assembled, and analyzed. The genomes of both strains contain genes involved in the defluorination of fluorinated compounds, including haloacetate dehalogenase H-1 (dehH1) and haloalkane dehalogenase (dhaA). The strain 2,4-D also has a multicomponent enzyme system consisting of a dioxygenase component, an electron carrier, and 2-halobenzoate 1,2-dioxygenase (CbdA) with a preference for fluorides. The strain 2,4-D was able to defluorinate PFCAs in an aqueous cultivation system within 7 days, using them as the sole source of carbon and energy and converting them to perfluorheptanoic acid. It assisted strain 5(3) to convert PFCAs to perfluoropentanoic acid, accelerating the process by 24 h. In a model experiment for the bioaugmentation of microorganisms in artificially contaminated soil, the degradation of PFCAs by the association of pseudomonads also occurred faster and deeper than by the individual strains, achieving a degree of biodestruction of 75% over 60 days, with the perfluoropentanoic acid as the main metabolite. These results are of great importance for the development of methods for the biological recultivation of fluorinated organic pollutants for environmental protection and for understanding the fundamental mechanisms of bacterial interactions with these compounds. Full article
Show Figures

Graphical abstract

14 pages, 6295 KB  
Article
Scratch-Based Isolation of Primary Cells (SCIP): A Novel Method to Obtain a Large Number of Human Dental Pulp Cells Through One-Step Cultivation
by Yuki Kiyokawa, Masahiko Terajima, Masahiro Sato, Emi Inada, Yuria Hori, Ryo Bando, Yoko Iwase, Naoko Kubota, Tomoya Murakami, Hiroko Tsugane, Satoshi Watanabe, Takahiro Sonomura, Miho Terunuma, Takeyasu Maeda, Hirofumi Noguchi and Issei Saitoh
J. Clin. Med. 2024, 13(23), 7058; https://doi.org/10.3390/jcm13237058 - 22 Nov 2024
Cited by 1 | Viewed by 1451
Abstract
Background: Dental pulp (DP) is a connective tissue composed of various cell types, including fibroblasts, neurons, adipocytes, endothelial cells, and odontoblasts. It contains a rich supply of pluripotent stem cells, making it an important resource for cell-based regenerative medicine. However, current stem cell [...] Read more.
Background: Dental pulp (DP) is a connective tissue composed of various cell types, including fibroblasts, neurons, adipocytes, endothelial cells, and odontoblasts. It contains a rich supply of pluripotent stem cells, making it an important resource for cell-based regenerative medicine. However, current stem cell collection methods rely heavily on the enzymatic digestion of dissected DP tissue to isolate and propagate primary cells, which often results in low recovery rates and reduced cell survival, particularly from deciduous teeth. Methods: We developed a novel and efficient method to obtain a sufficient number of cells through a one-step cultivation process of isolated DP. After the brief digestion of DP with proteolytic enzymes, it was scratched onto a culture dish and cultured in a suitable medium. By day 2, the cells began to spread radially from DP, and by day 10, they reached a semi-confluent state. Cells harvested through trypsinization consistently yielded over 1 million cells, and after re-cultivation, the cells could be propagated for more than ten passages. Results: The proliferative and differentiation capacities of the cells after the 10th passage were comparable to those from the first passage. The cells expressed alkaline phosphatase as an undifferentiation marker. Similarly, they also maintained the constitutive expression of stem cell-specific markers and differentiation-related markers, even after the 10th passage. Conclusions: This method, termed “scratch-based isolation of primary cells from human dental pulps (SCIP)”, enables the efficient isolation of a large number of DP cells with minimal equipment and operator variability, while preserving cell integrity. Its simplicity, high success rate, and adaptability for patients with genetic diseases make it a valuable tool for regenerative medicine research and clinical applications. Full article
Show Figures

Figure 1

19 pages, 6385 KB  
Article
Osteoblastic Cell Sheet Engineering Using P(VCL-HEMA)-Based Thermosensitive Hydrogels Doped with pVCL@Icariin Nanoparticles Obtained with Supercritical CO2-SAS
by Rubén García-Sobrino, Isabel Casado-Losada, Carmen Caltagirone, Ana García-Crespo, Carolina García, Juan Rodríguez-Hernández, Helmut Reinecke, Alberto Gallardo, Carlos Elvira and Enrique Martínez-Campos
Pharmaceutics 2024, 16(8), 1063; https://doi.org/10.3390/pharmaceutics16081063 - 13 Aug 2024
Cited by 5 | Viewed by 2394
Abstract
New clinical strategies for treating severe bone and cartilage injuries are required, especially for use in combination with implant procedures. For this purpose, p(VCL-co-HEMA) thermosensitive hydrogels have been activated with icariin-loaded nanoparticles to be used as bone-cell-harvesting platforms. Supercritical CO2-SAS technology [...] Read more.
New clinical strategies for treating severe bone and cartilage injuries are required, especially for use in combination with implant procedures. For this purpose, p(VCL-co-HEMA) thermosensitive hydrogels have been activated with icariin-loaded nanoparticles to be used as bone-cell-harvesting platforms. Supercritical CO2-SAS technology has been applied to encapsulate icariin, a small molecule that is involved in osteoblastic differentiation. Thus, physical-chemical analysis, including swelling and transmittance, showed the impact of HEMA groups in hydrogel composition. Moreover, icariin (ICA) release from p(VCL-co-HEMA) platforms, including pVCL@ICA nanoparticles, has been studied to evaluate their efficacy in relevant conditions. Finally, the thermosensitive hydrogels’ cell compatibility, transplant efficiency, and bone differentiation capacity were tested. This study identifies the optimal formulations for icariin-activated hydrogels for both control and HEMA formulations. Using this technique, osteoblastic sheets that were rich in collagen type I were successfully transplanted and recultivated, maintaining an optimal extracellular matrix (ECM) composition. These findings suggest a new cell-sheet-based therapy for bone regeneration purposes using customized and NP-activated pVCL-based cell platforms. Full article
(This article belongs to the Special Issue Supercritical Techniques for Pharmaceutical Applications)
Show Figures

Graphical abstract

31 pages, 25016 KB  
Article
Natural Climate Protection through Peatland Rewetting: A Future for the Rathsbruch Peatland in Germany
by Petra Schneider, Tino Fauk, Florin-Constantin Mihai, Harald Junker, Bernd Ettmer and Volker Lüderitz
Land 2024, 13(5), 581; https://doi.org/10.3390/land13050581 - 27 Apr 2024
Cited by 4 | Viewed by 3795
Abstract
Draining peatlands to create agricultural land has been the norm in Europe, but in the context of climate change and the loss of biodiversity, these rich ecosystems may reactivate their functions as greenhouse gas sinks and retreat spaces for animals and plants. Against [...] Read more.
Draining peatlands to create agricultural land has been the norm in Europe, but in the context of climate change and the loss of biodiversity, these rich ecosystems may reactivate their functions as greenhouse gas sinks and retreat spaces for animals and plants. Against this background, the National Moor Rewetting Strategy was put into effect in Germany in 2023, together with the Natural Climate Protection Action Plan. This article examines the methodology of peatland rewetting from scientific, administrative, social, and technical perspectives. The article focuses on an example of moor rewetting in central Germany: the Rathsbruch moor near the municipality of Zerbst, Saxony-Anhalt. To illustrate the importance of rewetting projects for degraded peatlands, five scenarios with different target soil water levels were considered, and the associated greenhouse gas emissions were calculated for a period of five years. For the planning solution, an estimate of the medium-to-long-term development of the habitat types was made based on current use and the dynamics typical of the habitat. The results for the Rathsbruch moor area showed that increasing the water level in steps of 1, 0.8, or 0.5 m has no significant influence on reducing the CO2 emissions situation, while a depth of 0.3 m has a slight influence. When the water was raised to 0.1 m below the surface (Scenario 5), a significant CO2 reduction was observed. The calculated avoided CO2 costs due to environmental damage show that the environmental benefits multiply with every decimeter of water level increase. The rising groundwater levels and extensification favor the establishment of local biotopes. This means that two of the biggest man-made problems (extinction of species and climate change) can be reduced. Therefore, this research is applicable to the development and planning of recultivation work at municipal and regional levels in Germany and beyond within the framework of EU restoration policy. Full article
(This article belongs to the Special Issue Monitoring and Simulation of Wetland Ecological Processes)
Show Figures

Figure 1

26 pages, 1022 KB  
Review
The Influence of Trees on Crop Yields in Temperate Zone Alley Cropping Systems: A Review
by Marie Majaura, Christian Böhm and Dirk Freese
Sustainability 2024, 16(8), 3301; https://doi.org/10.3390/su16083301 - 15 Apr 2024
Cited by 14 | Viewed by 5300
Abstract
Agroforestry is a multifunctional land use system that represents a promising approach to mitigate the environmental impact of agriculture while enhancing the resilience of agricultural systems and ensuring sustainable food production. However, the tree rows in agroforestry systems, particularly in alley cropping systems [...] Read more.
Agroforestry is a multifunctional land use system that represents a promising approach to mitigate the environmental impact of agriculture while enhancing the resilience of agricultural systems and ensuring sustainable food production. However, the tree rows in agroforestry systems, particularly in alley cropping systems (ACS), can affect crop productivity on adjacent agricultural fields through various mechanisms. Hence, concerns about declining yields and reduced farm profitability persist and explain the reluctance of farmers to implement ACS on their land. In this review, we examine the available literature on the effects of temperate ACS on yields of various agricultural crops to evaluate if and to what extent crop yields in ACS are affected by tree presence. We identified that ACS crop yields often vary substantially across different species, geographical locations, weather conditions and ACS designs. Our analysis also revealed that several parameters are modified in ACS by the presence of tree rows affecting crop yields positively or negatively and that ACS design aspects play a crucial role in determining crop productivity. Full article
(This article belongs to the Special Issue Agroforestry for Sustainable Soil Management)
Show Figures

Figure 1

24 pages, 3468 KB  
Article
Drought Differently Modifies Tolerance and Metal Uptake in Zn- or Cu-Treated Male and Female Salix × fragilis L.
by Kinga Drzewiecka, Monika Gąsecka, Zuzanna Magdziak, Michał Rybak, Sylwia Budzyńska, Paweł Rutkowski, Przemysław Niedzielski and Mirosław Mleczek
Forests 2024, 15(3), 562; https://doi.org/10.3390/f15030562 - 20 Mar 2024
Cited by 5 | Viewed by 1728
Abstract
The aim of this study was to determine the tolerance to metals (Zn, Cu) and drought of male and female Salix × fragilis L. under isolated and combined treatments, and to assess the metal uptake and profiling of metabolic plant responses. The 14-day [...] Read more.
The aim of this study was to determine the tolerance to metals (Zn, Cu) and drought of male and female Salix × fragilis L. under isolated and combined treatments, and to assess the metal uptake and profiling of metabolic plant responses. The 14-day experiment was performed in a hydroponic system, and metals were applied at 1.5 mM in a Knop’s solution. Drought simulation was achieved by adding sorbitol at a moderate level (200 mM). Isolated Zn treatment enhanced plant growth, more pronouncedly in females. Equimolar Cu treatment caused diverse reactions, and females exhibited significantly higher tolerance. Male specimens were less tolerant to isolated drought and to combined drought and metal presence. The highest contents of Cu and Zn were found in roots, compared to the aboveground tissues (wooden rods and leaves), of both female and male metal-treated plants. Simultaneously applied drought limited Zn accumulation in roots and elevated its translocation to leaves while increasing Cu accumulation, predominantly in females showing higher tolerance. Both isolated and combined drought and metals reduced leaf water content, caused the allocation of mineral nutrients (Ca, Mg, K, and Na), and affected metabolism in a stressor-specific and sex-dependent manner. For males, Cu accumulation in the leaves was significantly correlated with the majority of metabolites, while for both sexes, kaempferol and salicylic acid were strongly correlated, indicating their role in tolerance against the metal. The obtained results are an excellent starting point for the practical use of male and female Salix × fragilis L. in areas heavily polluted with Cu or Zn and exposed to drought, for the purpose of their recultivation. Full article
(This article belongs to the Special Issue Soil Pollution and Remediation of Forests Soil)
Show Figures

Figure 1

27 pages, 69056 KB  
Article
Mapping the Spatiotemporal Dynamics of Cropland Abandonment and Recultivation across the Yangtze River Basin
by Yuqiao Long, Jing Sun, Joost Wellens, Gilles Colinet, Wenbin Wu and Jeroen Meersmans
Remote Sens. 2024, 16(6), 1052; https://doi.org/10.3390/rs16061052 - 15 Mar 2024
Cited by 16 | Viewed by 3137
Abstract
Whether China can achieve the United Nations’ Sustainable Development Goals (SDGs) largely depends on the ability of main food-producing areas to cope with multiple land use change challenges. Despite the fact that the Yangtze River basin is one of the key regions for [...] Read more.
Whether China can achieve the United Nations’ Sustainable Development Goals (SDGs) largely depends on the ability of main food-producing areas to cope with multiple land use change challenges. Despite the fact that the Yangtze River basin is one of the key regions for China’s food security, the spatiotemporal dynamics of cropland abandonment and recultivation remain largely unexplored in this region. The present study assesses the evolution of the agricultural system within the Yangtze River basin between 2000 and 2020 by mapping cropland abandonment and recultivation using MODIS time series and multiple land cover products. The results highlight a widespread cropland abandonment process (i.e., 10.5% of the total study area between 2000 and 2020), predominantly in Western Sichuan, Eastern Yunnan, and Central Jiangxi. Although 70% of abandoned cropland is situated in areas with slopes less than 5°, the highest rates of abandonment are in mountainous regions. However, by 2020, 74% of this abandoned cropland had been recultivated at least once, whereas half of the abandoned croplands got recultivated within three years of their initial abandonment. Hence, as this is one of the first studies that unravels the complex interaction between cropland abandonment and recultivation in a spatiotemporal explicit context, it offers (i) scientists a novel methodological framework to assess agricultural land use issues across large geographical entities, and (ii) policy-makers new insights to support the sustainable transition of the agricultural sector. Full article
(This article belongs to the Special Issue Cropland Phenology Monitoring Based on Cloud-Computing Platforms)
Show Figures

Graphical abstract

12 pages, 4122 KB  
Article
Properties of RDF after Prolonged Storage
by Tomasz Romaszewski and Jakub Fitas
Sustainability 2024, 16(5), 2051; https://doi.org/10.3390/su16052051 - 1 Mar 2024
Viewed by 1657
Abstract
Increasing production of municipal solid waste (MSW) drives the need for its disposal in a manner that is safe for the environment and human health. However, this may require short- or long-term storage before it can be properly processed. Similarly, a way of [...] Read more.
Increasing production of municipal solid waste (MSW) drives the need for its disposal in a manner that is safe for the environment and human health. However, this may require short- or long-term storage before it can be properly processed. Similarly, a way of processing waste material is necessary for the re-cultivation of dump sites. This article presents the results of an investigation into the effects of long-term open-air storage upon waste material to be turned into refuse-derived fuel (RDF) by standard methods for the assessment of MSW and RDF pellet quality including bomb calorimetry, sieve analysis, furnace drying/burning for water/ash content assessment, and pellet expansion measurements. Results of the investigation indicate that such a form of storage bears no notable negative effect on the quality of the material; the pellet expansion coefficient, heat of combustion, and ash content were all found to be approximate to pre-storage values, with positive implications for the storage of solid waste and the prospects of its subsequent processing into solid fuel. It is shown that such material can be stored in open-air conditions for prolonged periods without the loss of desired parameters. In addition, a discussion of differences between the properties of material drawn from varying depths of the pile is provided and the potential impact of the findings in the context of the production and the storage of refuse-derived fuel is assessed. Full article
(This article belongs to the Section Waste and Recycling)
Show Figures

Figure 1

18 pages, 3280 KB  
Article
The Impact of Soil Contamination with Lead on the Biomass of Maize Intended for Energy Purposes, and the Biochemical and Physicochemical Properties of the Soil
by Jadwiga Wyszkowska, Edyta Boros-Lajszner and Jan Kucharski
Energies 2024, 17(5), 1156; https://doi.org/10.3390/en17051156 - 29 Feb 2024
Cited by 16 | Viewed by 2235
Abstract
The subject of our research was to assess the suitability of maize grown in lead-contaminated soil for energy purposes. Lead is toxic to the natural environment. Therefore, the recultivation of soil polluted with this element is very important in stabilizing the natural environment. [...] Read more.
The subject of our research was to assess the suitability of maize grown in lead-contaminated soil for energy purposes. Lead is toxic to the natural environment. Therefore, the recultivation of soil polluted with this element is very important in stabilizing the natural environment. In the present research, maize was used as a remediating plant, and its effects were enhanced by soil fertilization with biocompost and biochar. The aim of the research was to determine the influence of Pb2+ on maize biomass, its combustion heat and heating value, and the biochemical and physicochemical properties of the soil. It was accomplished in a pot experiment by testing the effects of 800 mg Pb2+ kg−1 d.m. soil and biocompost and biochar applied of 20 g kg−1 d.m. soil. Lead was found to drastically deteriorate soil quality, which reduced the biomass of maize. Lead negatively affected the activity of the soil enzymes tested and modified the physicochemical properties of the soil. Fertilization with biocompost and biochar mitigated lead-induced interference with soil enzymatic activity. The applied biocomponents also had positive effects on the chemical and physicochemical properties of the soil. Maize cultivated on lead-polluted soil did not lose its energetic properties. The heating value of maize was stable, which shows its potential in the recultivation of lead-contaminated soils. Full article
(This article belongs to the Section A: Sustainable Energy)
Show Figures

Figure 1

16 pages, 1666 KB  
Article
Converting an Established Sida hermaphrodita Field into Arable Farming
by Nicolai David Jablonowski, Benedict Ohrem, Michael Gitzen and Tobias Kollmann
Agronomy 2024, 14(3), 411; https://doi.org/10.3390/agronomy14030411 - 20 Feb 2024
Cited by 1 | Viewed by 1842
Abstract
The long-term performance of perennial energy crops and their elimination is important for long-term planning and use of agricultural land. In this study, the elimination of a six-year-old Sida hermaphrodita (hereafter referred to as Sida) stock for agricultural reclamation was investigated over [...] Read more.
The long-term performance of perennial energy crops and their elimination is important for long-term planning and use of agricultural land. In this study, the elimination of a six-year-old Sida hermaphrodita (hereafter referred to as Sida) stock for agricultural reclamation was investigated over three years. Crop rotation using maize, winter wheat, and sugar beet, a catch crop, as well as mechanical–chemical treatments were employed according to agricultural practices. After soil grubbing at the beginning of the experiment and prior to further treatments, on half of the former Sida planting area, visible Sida roots were manually removed in addition to determining their potential effect on total resprouting. Prior to each crop harvest, resprouted Sida plants were counted. At harvest, by the end of the first year, 476 versus 390 resprouted Sida plants were found in the investigated areas of 315 m2 each, where preceding manual root removal either took place or not, respectively. This accounted for 76% and 62% of the initial Sida planted. In the second year, the overall number of resprouted Sida declined significantly, accounting for 15 and 11 plants (i.e., 2.4% and 1.8% of initially planted), and in the third year, only two and four residual plants (i.e., 0.3% and 0.6%) were found, representing an almost 100% Sida elimination rate. We conclude that additional root removal did not result in a significant difference in Sida regrowth compared to the mechanical–chemical treatments only. No impediments to harvesting and no loss of yield in any crops were observed due to resprouted Sida in the existing field crops. No Sida plants were found outside the initial field, indicating a low dispersion potential and invasiveness. The results show that successful recultivation of an established Sida stock is possible through common agricultural practices and that resprouting Sida plants did not negatively affect the subsequent crops. Full article
Show Figures

Figure 1

20 pages, 1018 KB  
Article
Does Non-Farm Employment Promote Farmland Abandonment of Resettled Households? Evidence from Shaanxi, China
by Jingjing Sun, Jie Li and Yue Cui
Land 2024, 13(2), 129; https://doi.org/10.3390/land13020129 - 24 Jan 2024
Cited by 6 | Viewed by 2074
Abstract
The de-agrarianisation of the labor force in the poverty alleviation resettlement (PAR) inevitably influences households’ farmland management and farmland abandonment in the relocated areas. Drawing on survey data from 1079 households in Shaanxi, China, this study uses the Heckman two-stage model to empirically [...] Read more.
The de-agrarianisation of the labor force in the poverty alleviation resettlement (PAR) inevitably influences households’ farmland management and farmland abandonment in the relocated areas. Drawing on survey data from 1079 households in Shaanxi, China, this study uses the Heckman two-stage model to empirically examine the relationship between non-farm employment and farmland abandonment in relocated areas. Additionally, it explores heterogeneity by considering the quantity and spatial distribution of non-farm employment, as well as the moderating effect of the withdrawal of rural homesteads (WRH). The results show that: (1) non-farm employment significantly promotes both behavioral and scale of farmland abandonment, with the magnitude of this impact varying based on the quantity of non-farm employment; (2) Heterogeneity analyses show that areas with non-farm employment exert a noteworthy positive effect on farmland abandonment. On average, farmers engaged in non-farm employment outside the county (NEO) exhibit a higher marginal effect on both behavioral and scale aspects of farmland abandonment compared to those engaged in non-farm employment within the county (NEI). Furthermore, only when the number of NEI reaches 3 does the probability and scale of farmland abandonment surpass those of NEO; (3) Mechanism analysis sheds light on the role of WRH, indicating that the cultivation of land in WRH weakens the promotion of farmland abandonment by non-farm employment, particularly in the NEI group. Conversely, the duration of WRH strengthens the contributions of non-farm employment to farmland abandonment, and this effect is concentrated in the NEO group. These findings underscore the importance of actively cultivating and introducing new types of agricultural management entities, promoting the moderate-scale operation of farmland, and encouraging the recultivation of withdrawn rural homesteads as strategies to curb farmland abandonment. Full article
(This article belongs to the Special Issue Impact of Farmland Abandonment on Soil Conservation)
Show Figures

Figure 1

Back to TopTop