How Should Soundscape Optimization from Perceived Soundscape Elements in Urban Forests by the Riverside Be Performed?
Abstract
1. Introduction
2. Methodology
2.1. Study Area
2.2. Soundscape Data
2.3. Procedure
2.3.1. Participants and Measurements
2.3.2. Optimizing a Soundscape Map
3. Result
3.1. Diurnal Variation of Soundscape
3.1.1. Perceived Soundscape Elements at Different Time Periods
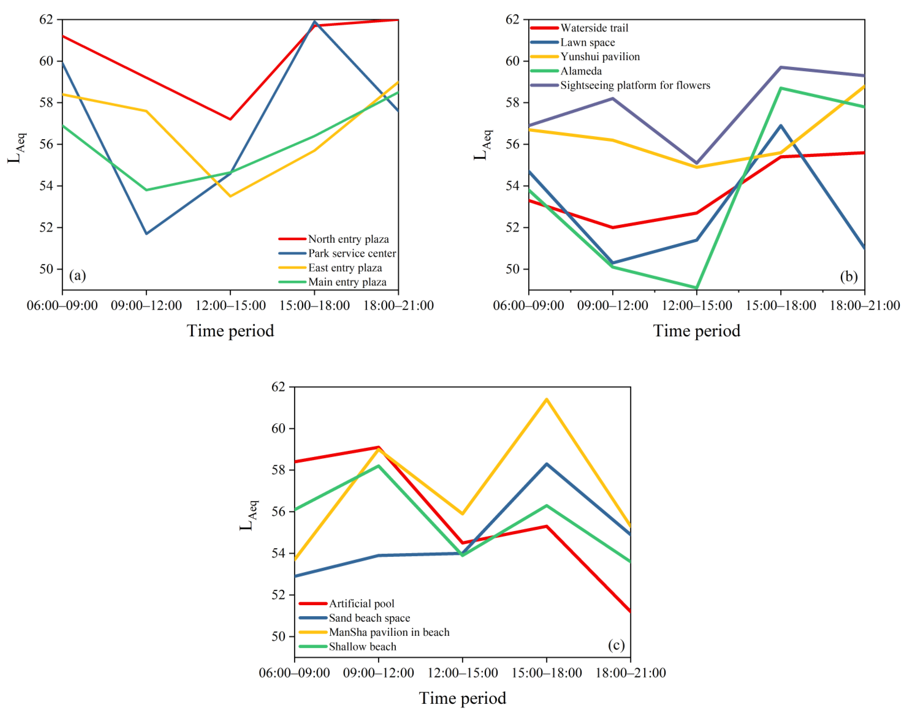
3.1.2. Sound Pressure Level in Main Distribution Spaces
3.2. Soundscape Mapping
3.3. Optimal Soundscape Interval and Guided Mapping
4. Discussion
4.1. Biological Activities and Natural Phenomena Influencing Diurnal Variation of the Soundscape
4.2. Relationship of Soundscape Maps between Subjective and Objective Data
4.3. Application of the Optimal Soundscape Map
5. Conclusions
Author Contributions
Funding
Data Availability Statement
Acknowledgments
Conflicts of Interest
References
- Escobedo, F.J.; Kroeger, T.; Wagner, J.E. Urban forests and pollution mitigation: Analyzing ecosystem services and disservices. Environ. Pollut. 2011, 159, 2078–2087. [Google Scholar] [CrossRef] [PubMed]
- Santamouris, M. Cooling the cities—A review of reflective and green roof mitigation technologies to fight heat island and improve comfort in urban environments. Sol. Energy 2014, 103, 682–703. [Google Scholar] [CrossRef]
- Guo, H.; Li, W.; Yao, F.; Wu, J.; Zhou, X.; Yue, Y.; Yeh, A.G. Who are more exposed to PM 2.5 pollution: A mobile phone data approach. Environ. Int. 2020, 143, 105821. [Google Scholar] [CrossRef] [PubMed]
- Qi, J.; Lan, D.; Samsung, L. Planning for cooler cities: A framework to support the selection of urban heat mitigation techniques. J. Clean. Prod. 2020, 275, 122903. [Google Scholar] [CrossRef]
- Yang, F.; Yi, B.Z.; Zhu, Z.J. An assessment of psychological noise reduction by landscape plants. Int. J. Environ. Res. Public Health 2011, 8, 1032–1048. [Google Scholar] [CrossRef] [PubMed]
- Hong, X.-C.; Wang, G.Y.; Liu, J.; Dang, E. Perceived loudness sensitivity influenced by brightness in urban forests: A comparison when eyes were opened and closed. Forests 2020, 11, 1242. [Google Scholar] [CrossRef]
- Hong, X.-C.; Wang, G.; Liu, J.; Song, L.; Wu, E. Modeling the impact of soundscape drivers on perceived birdsongs in urban forests. J. Clean. Prod. 2021, 292, 125315. [Google Scholar] [CrossRef]
- Ma, K.W.; Mak, C.M.; Hai, M.W. Effects of environmental sound quality on soundscape preference in a public urban space. Appl. Acoust. 2021, 171, 107570. [Google Scholar] [CrossRef]
- Boulos, M.K.; Al-Shorbaji, N.M. On the internet of things, smart cities and the who healthy cities. Int. J. Health Geogr. 2014, 13, 10. [Google Scholar] [CrossRef]
- Han, L.; Shi, L.; Yang, F.; Xiang, X.Q.; Gao, L. Method for the evaluation of residents’ perceptions of their community based on landsenses ecology. J. Clean. Prod. 2020, 281, 124048. [Google Scholar]
- Magroski, L.M.; Pessoa, A.; Lucena, W.; Loures-Ribeiro, A.; Araújo, C.B.D. Where to release birds seized from illegal traffic? the value of vocal analyses and ecological niche modeling. Perspect. Ecol. Conserv. 2017, 15, 91–101. [Google Scholar] [CrossRef]
- Fei, F.; Wang, Y.; Jia, X. Assessment of the mechanisms of summer thermal environment of waterfront space in China’s cold regions. Sustainability 2022, 14, 2512. [Google Scholar] [CrossRef]
- Duquette, C.A.; Loss, S.R.; Hovick, T.J. A meta-analysis of the influence of anthropogenic noise on terrestrial wildlife communication strategies. J. Appl. Ecol. 2021, 58, 1112–1121. [Google Scholar] [CrossRef]
- Silva-Rodríguez, E.A.; Gálvez, N.; Swan, G.J.F.; Cusack, J.J.; Moreira-Arce, D. Urban wildlife in times of covid-19: What can we infer from carnivore sightings in urban areas? Sci. Total Environ. 2020, 765, 142713. [Google Scholar] [CrossRef] [PubMed]
- Nicholas, A.P.; Quine, T.A. Crossing the divide: Representation of channels and processes in reduced-complexity river models at reach and landscape scales. Geomorphology 2007, 90, 318–339. [Google Scholar] [CrossRef]
- Wang, M.; Zhang, D.Q.; Su, J.; Dong, J.W.; Tan, S.K. Assessing hydrological effects and performance of low impact development practices based on future scenarios modeling. J. Clean. Prod. 2018, 179, 12–23. [Google Scholar] [CrossRef]
- Sarnat, J.A.; Golan, R.; Greenwald, R.; Raysoni, A.U.; Kewada, P.; Winquist, A.; Sarnat, S.E.; Flanders, W.D.; Mirabelli, M.C.; Zora, J.E.; et al. Exposure to traffic pollution, acute inflammation and autonomic response in a panel of car commuters. Environ. Res. 2014, 133, 66–76. [Google Scholar] [CrossRef]
- Qi, J.; Lin, E.S.; Tan, P.Y.; Ho, R.C.; Sia, A.; Olszewska-Guizzo, A.; Zhang, X.; Waykool, R. Development and application of 3D spatial metrics using point clouds for landscape visual quality assessment. Landsc. Urban Plan. 2022, 228, 104585. [Google Scholar] [CrossRef]
- Wang, M.; Liu, M.; Zhang, D.; Qi, J.; Fu, W.; Zhang, Y.; Rao, Q.; Bakhshipour, A.E.; Tan, S.K. Assessing and optimizing the hydrological performance of Grey-Green infrastructure systems in response to climate change and non-stationary time series. Water Res. 2023, 232, 119720. [Google Scholar] [CrossRef]
- Qi, J.; Lan, D.; Samsung, L. Application of a decision-making framework for multi-objective optimisation of urban heat mitigation strategies. Urban Clim. 2023, 47, 101372. [Google Scholar] [CrossRef]
- Grunst, M.L.; Grunst, A.S.; Pinxten, R.; Eens, M. Little parental response to anthropogenic noise in an urban songbird, but evidence for individual differences in sensitivity. Sci. Total Environ. 2021, 769, 144554. [Google Scholar] [CrossRef] [PubMed]
- Chi, C.F.; Dewi, R.S.; Huang, M.H. Psychophysical evaluation of auditory signals in passenger vehicles. Appl. Ergon. 2017, 59, 153–164. [Google Scholar] [CrossRef] [PubMed]
- Hong, J.Y.; Lam, B.; Ong, Z.T.; Ooi, K.; Tan, S.T. A mixed-reality approach to soundscape assessment of outdoor urban environments augmented with natural sounds. Build. Environ. 2021, 194, 107688. [Google Scholar] [CrossRef]
- Kang, J. From dBA to soundscape indices: Managing our sound environment. Front. Eng. Manag. 2017, 4, 184–192. [Google Scholar] [CrossRef]
- Krause, B. Anatomy of the soundscape: Evolving perspectives. J. Audio Eng. Soc. Audio Eng. Soc. 2008, 56, 73–80. [Google Scholar]
- Pijanowski, B.C.; Farina, A.; Gage, S.H.; Dumyahn, S.L.; Krause, B.L. What is soundscape ecology? An introduction and overview of an emerging new science. Landsc. Ecol. 2011, 26, 1213–1232. [Google Scholar] [CrossRef]
- ISO/TS 12913-2:2018; Acoustics—Soundscape—Part 2: Data Collection and Reporting Requirements. ISO (International Organization for Standardization): Geneva, Switzerland, 2018.
- ISO/TS 12913-1:2014; Acoustics—Soundscape—Part 1: Definition and Conceptual Framework. ISO (International Organization for Standardization): Geneva, Switzerland, 2014.
- Manzano, J.V.; Almagro, J.; Quesada, R.G. The importance of changing urban scenery in the assessment of citizens’ soundscape perception. on the need for different time-related points of view. Noise Mapp. 2021, 8, 138–161. [Google Scholar] [CrossRef]
- Kogan, P.; Arenas, J.P.; Bermejo, F.; Hinalaf, M.; Turra, B. A green soundscape index (GSI): The potential of assessing the perceived balance between natural sound and traffic noise. Sci. Total Environ. 2018, 642, 463–472. [Google Scholar] [CrossRef]
- Jiang, B.; Xu, W.; Ji, W.; Kim, G.; Pryor, M.; Sullivan, W.C. Impacts of nature and builtacoustic-visual environments on human’s multidimensional mood states: Across-continent experiment. J. Environ. Psychol. 2021, 77, 101659. [Google Scholar] [CrossRef]
- Hong, X.-C.; Liu, J.; Wang, G.Y.; Jiang, Y.; Wu, S.T.; Lan, S.R. Factors influencing the harmonious degree of soundscapes in urban forests: A comparison of broad-leaved and coniferous forests. Urban For. Urban Green. 2019, 39, 18–25. [Google Scholar] [CrossRef]
- Clair, C. Comparative permeability of roads, rivers, and meadows to songbirds in banff national park. Conserv. Biol. 2010, 17, 1151–1160. [Google Scholar] [CrossRef]
- Jeon, J.Y.; Lee, P.J.; You, J.; Kang, J. Acoustical characteristics of water sounds for soundscape enhancement in urban open spaces. J. Acoust. Soc. Am. 2012, 131, 2101. [Google Scholar] [CrossRef] [PubMed]
- Hong, X.-C.; Zhu, Z.P.; Liu, J.; Geng, D.H.; Lan, S.R. Perceived occurrences of soundscape influencing pleasantness in urban forests: A comparison of broad-leaved and coniferous forests. Sustainability 2019, 11, 4789. [Google Scholar] [CrossRef]
- Pei, Y.L.; Chen, D.J. Study on the optimal dispatching algorithm of ships in and out of tidal two-way channel. In Proceedings of the IEEE 4th Information Technology and Mechatronics Engineering Conference (ITOEC), Chongqing, China, 14–16 December 2018; pp. 324–329. [Google Scholar]
- Lavandier, C.; Aumond, P.; Gomez, S.; Dominguès, C. Urban soundscape maps modelled with geo-referenced data. Noise Mapp. 2016, 3, 278–294. [Google Scholar] [CrossRef]
- Linke, J.; Franklin, S.E.; Hall-Beyer, M.; Stenhouse, G.B. Effects of cutline density and land-cover heterogeneity on landscape metrics in western alberta. Can. J. Remote Sens. 2008, 34, 390–404. [Google Scholar] [CrossRef][Green Version]
- Hong, J.Y.; Jeon, J.Y. Relationship between spatiotemporal variability of soundscape and urban morphology in a multifunctional urban area: A case study in seoul, korea. Build. Environ. 2017, 126, 386–395. [Google Scholar] [CrossRef]
- Guillaume, G.; Picaut, J.; Dutilleux, G. Use of the transmission line matrix method for the sound propagation modelling in open-space. J. Acoust. Soc. Am. 2021, 123, 3924. [Google Scholar] [CrossRef]
- Hong, X.-C.; Liu, J.; Wang, G.-Y. Soundscape in Urban Forests. Forests 2022, 13, 2056. [Google Scholar] [CrossRef]








Disclaimer/Publisher’s Note: The statements, opinions and data contained in all publications are solely those of the individual author(s) and contributor(s) and not of MDPI and/or the editor(s). MDPI and/or the editor(s) disclaim responsibility for any injury to people or property resulting from any ideas, methods, instructions or products referred to in the content. |
© 2023 by the authors. Licensee MDPI, Basel, Switzerland. This article is an open access article distributed under the terms and conditions of the Creative Commons Attribution (CC BY) license (https://creativecommons.org/licenses/by/4.0/).
Share and Cite
Hong, X.-C.; Cheng, S.; Liu, J.; Guo, L.-H.; Dang, E.; Wang, J.-B.; Cheng, Y. How Should Soundscape Optimization from Perceived Soundscape Elements in Urban Forests by the Riverside Be Performed? Land 2023, 12, 1929. https://doi.org/10.3390/land12101929
Hong X-C, Cheng S, Liu J, Guo L-H, Dang E, Wang J-B, Cheng Y. How Should Soundscape Optimization from Perceived Soundscape Elements in Urban Forests by the Riverside Be Performed? Land. 2023; 12(10):1929. https://doi.org/10.3390/land12101929
Chicago/Turabian StyleHong, Xin-Chen, Shi Cheng, Jiang Liu, Lian-Huan Guo, Emily Dang, Jia-Bing Wang, and Yuning Cheng. 2023. "How Should Soundscape Optimization from Perceived Soundscape Elements in Urban Forests by the Riverside Be Performed?" Land 12, no. 10: 1929. https://doi.org/10.3390/land12101929
APA StyleHong, X.-C., Cheng, S., Liu, J., Guo, L.-H., Dang, E., Wang, J.-B., & Cheng, Y. (2023). How Should Soundscape Optimization from Perceived Soundscape Elements in Urban Forests by the Riverside Be Performed? Land, 12(10), 1929. https://doi.org/10.3390/land12101929

