Next Article in Journal
Effectiveness of the Qilian Mountain Nature Reserve of China in Reducing Human Impacts
Next Article in Special Issue
Livelihood Vulnerability Index: Gender Dimension to Climate Change and Variability in REDD + Piloted Sites, Cross River State, Nigeria
Previous Article in Journal
Modeling Analysis on Coupling Mechanisms of Mountain–Basin Human–Land Systems: Take Yuxi City as an Example
Previous Article in Special Issue
Effects of Monocropping on Land Cover Transitions in the Wet Evergreen Agro-Ecological Zone of Ghana
 
 
Font Type:
Arial Georgia Verdana
Font Size:
Aa Aa Aa
Line Spacing:
Column Width:
Background:
Article

Linking Pattern to Process: Intensity Analysis of Land-Change Dynamics in Ghana as Correlated to Past Socioeconomic and Policy Contexts

by
Syed Amir Manzoor
1,
Geoffrey Hugh Griffiths
2,*,
Elizabeth Robinson
3,
Kikuko Shoyama
4 and
Martin Lukac
2,5
1
Department of Forestry & Range Management, Bahauddin Zakariya University, Multan 61000, Pakistan
2
School of Agriculture, Policy & Development, University of Reading, Reading RG6 6EU, UK
3
Grantham Research Institute on Climate Change and the Environment, London School of Economics and Political Science (LSE), London WC2A 2AE, UK
4
Department of Regional and Comprehensive Agriculture, College of Agriculture, Ibaraki University, Ami 300-0393, Japan
5
Department of Forest Management, Faculty of Forestry and Wood Sciences, Czech University of Life Sciences, 16521 Prague, Czech Republic
*
Author to whom correspondence should be addressed.
Land 2022, 11(7), 1070; https://doi.org/10.3390/land11071070
Submission received: 17 May 2022 / Revised: 20 June 2022 / Accepted: 28 June 2022 / Published: 13 July 2022

Abstract

:
Spatio-temporal analysis of transitions in land cover is critical to understanding many ecological challenges, especially in environmentally vulnerable regions. For instance, in Sub-Saharan Africa, large-scale cropland expansion is expected due to the increasing demand for fuel, food, and fibre. Clearing land for cropland expansion is a driving factor in the degradation of natural ecosystems. We present a spatio-temporal analysis of land-cover change in Ghana’s Northern, Upper East, and Upper West provinces using Intensity Analysis on the periods from 1992 to 2003 and 2003 to 2015. The objectives of this study were to determine whether the intensity of land-use and land-cover (LULC) change is consistent between the two periods and to investigate the direction and extent of change for different LULC categories in northern Ghana. The methodology measures land-cover changes at the interval, category, and transition levels. The results suggest that the annual rate of land change was higher between 1992 and 2003 compared to that between 2003 and 2015. Furthermore, the category-level analysis reveals that the gains in the arable land and tree/forest-cover classes during both time intervals were higher than the uniform intensity. The transition-level analysis results indicate that most of the gains in arable land and tree/forest-cover came at the cost of semi-arid shrublands during both periods. There is also evidence of local increases in forest-cover, likely linked to afforestation policies established by the Ghanian government; however, overall, there has been a loss of natural habitat. The study provides data to improve our understanding of the magnitude and direction of land-cover change, essential for the development of policies designed to mitigate the impact of land-cover change on the livelihoods of local people and the environment at the national and sub-national levels.

1. Introduction

Anthropogenic changes in land use and land cover (LULC) have had significant impacts on terrestrial ecosystems [1,2]. Cropland expansion is an important and widely documented driver of LULC change [3,4,5]. The growing demand for fuel, fibre, and food has resulted in forest clearance to bring more land under agricultural production. For example, the global cropland area has expanded by 27% in the past four decades, supporting a global grain production increase from 1.8 to 5.4 billion tons. Given the projected increase in the global human population, expansion of arable land is likely to continue mostly in the low- and middle-income countries of the world [6]. Evidence suggests that the arable area of developing countries will see a net increase of 120 million hectares over the years from 1997/1999 to 2030; more than 80% of the projected land expansion is expected to take place in Sub-Saharan Africa and Latin America [7]. Most of the global transition to arable land is expected in Africa, where 200 million hectares of potential agricultural land (including grasslands, shrublands, and woodlands) are still unexploited [5,6]. The LULC transition from non-agricultural to agricultural land can precipitate significant ecological consequences; loss of sequestered carbon, habitat fragmentation, loss of biodiversity, and degradation of ecosystem functions and services [8,9].
Sub-Saharan Africa (SSA), where the population is projected to double between 2020 and 2050, currently has the highest percentage of undernourished people, making it the region with the highest food security risk [10]. Prevailing semi-arid climatic conditions across much of the region combined with high population growth rates, low per-capita food production, and vulnerability to climate change may severely constrain efforts to improve food security [11]. Given that large-scale arable expansion in SSA appears inevitable, a clear understanding of current LULC pressures and the future dynamics of cropland expansion is vital to improving the sustainability of agricultural development in this region [11].
In recognition of these driving factors, the Sentinel Project (Social and Environmental Trade-offs in African Agriculture; see https://www.sentinel-gcrf.org/; accessed 30 April 22) was set up in part to explore the impact of agricultural expansion on biodiversity and other ecosystem services delivered by the landscapes of three African countries, Ghana, Zambia and Ethiopia. This requires the tools to predict the location and rate of LULC transitions in response to policy, as well as to understand the historical LULC change patterns in relation to the underlying socioeconomic and socio-political drivers of past change [12]. Aldwaik and Pontius [13] proposed a method of land-use change assessment termed “Intensity Analysis”. This is a mathematical framework designed to gain insights into the factors and processes driving LULC changes by organising the change process into three hierarchical levels [13]. The framework has been widely used to describe LULC changes [12,14] and relate the observed changes to the likely causal processes [15]. Intensity Analysis can, therefore, assess the evidence for a hypothesised process of change and, in some cases, develop new hypotheses. For instance, researchers have used the Intensity Analysis framework to assess LULC transitions in a protected area in Ghana to test the hypotheses that logging is the primary driver of deforestation inside protected areas, whereas cropland expansion is the leading cause of deforestation outside protected areas [16]. Another study used Intensity Analysis to assess LULC change patterns (1985–2017) in three coastal urban wetlands of international importance in Ghana to identify the fundamental processes driving the wetland landscape transformation [17]. Similarly, researchers in China used Intensity Analysis to analyse LULC change in the Ashi watershed from 1990 to 2014 [18]. Intensity Analysis computes deviations between the actual or observed land change and a hypothetical uniform change to estimate the extent (magnitude) and rate (intensity) of change in the land-cover classes in the study area, over two or more time intervals. Consequently, this analytical framework assesses the consistency and variability of the LULC patterns over different time intervals, to help improve our understanding of LULC change processes [19,20,21].
Various macroeconomic interventions by the Ghanaian government in the 1980s had a pronounced impact on cropland expansion in this region of Ghana [22]. Despite trade liberalisation in the late 1980s, the accompanying currency devaluation made domestic agricultural production more competitive, and people moved back into agriculture. Area expansion for essential staples, such as maise, millet, rice, and sorghum, has been recorded [22] and analysed, but only for a restricted area in northern Ghana [11,23]. In the current study, we use the Intensity Analysis framework to identify the strongest signals of LULC change in the entirety of northern Ghana. We test the potential of Intensity Analysis to ascertain and interpret LULC change patterns over 23 years, from 1992 to 2015. The results from the analysis are interpreted against the backdrop of known socioeconomic factors associated with LULC change over this period. We use three LULC maps, covering the years 1992, 2003, and 2015, and we analyse LULC changes during two time intervals: 1992–2003 and 2003–2015.
The specific objectives of this study are (i) to determine whether the intensity of LULC change is consistent between the two periods and (ii) to determine the direction and extent of change for different LULC categories in northern Ghana. We then discuss how the observed LULC changes relate to regional and national policy factors relevant to each period. Finally, we discuss the implications of the findings from an ecosystem management perspective.

2. Methodology

2.1. Study Area

We considered Ghana’s Upper West, Northern, and Upper East provinces as the study area for this Intensity Analysis (Figure 1). These regions of Ghana represent the West Sudanian Savanna ecoregion, an ecologically important, yet highly threatened, ecoregion of West Africa. In the West Sudanian ecoregion, the climate is hot and semi-arid. Annual rainfall ranges from 1000 mm in the south to 600 mm in the north at the edge of the Sahel. The study area is characterised by a relatively dry and hot climate and mainly comprises scattered, rainfed crop fields and open tree savanna. Further south, the Guinea Savanna ecoregion is characterised by the extensive, wooded savanna characteristic of the Guinean Region. The predominantly sandy soils of the region have low nutrient-holding capacity, which must support an expanding population of more than 2.5 million people. Agriculture is the main source of livelihood, with the bush–fallow system and the large-scale browsing and grazing of goats, sheep, and cattle being the typical practices.

2.2. Analysis of the Spatial Trend of Change

We used the Change Analysis module in the TerrSet Geospatial Monitoring and Modeling System (version 18.31, Clark Labs, Clark University, Worcester, MA, USA [24]) to produce maps for assessing spatial trends of change on the basis of the patterns and dimensions of LULC transitions. The maps of spatial trends generalise the patterns of change by assigning a value of 0 to the areas of no change and a value of 1 to the areas of maximum change observed in the area. To visualise major trends, we generated transition maps for tree/forest-cover to arable land and for shrub/herb-cover to arable land for the first time interval (1992–2003). This land cover category was created by merging all forest and tree-related land classes in the ESA map. Thus, this category represents all types of tree cover, including commercial plantations. (See: https://www.esa.int/Applications/Observing_the_Earth/Space_for_our_climate/ESA_global_land_cover_map_available_online; accessed on 30 April 2022). The patterns of shrub/herb-cover to tree/forest-cover and shrub/herb-cover to arable land were visualised for the second time interval (2003–2015) since these transitions accounted for most of the LULC changes in the study area.

2.3. Land-Change Analysis

2.3.1. Data Sources

We used a global land-cover product from the European Space Agency (ESA, https://www.esa.int/ESA; accessed on 30 April 2022), available under the Climate Change Initiative (CCI) programme to generate LULC maps covering our study area. The ESA–CCI land-cover map is the highest-resolution global LULC map with a consistent typology that covers sufficient time for undertaking an Intensity Analysis [25,26]. The land-cover map was validated using more than 3000 reference land-cover points and has an overall accuracy of 73%. The map consists of 22 land-cover classes adhering to the United Nations Food and Agriculture Organisation’s (FAO) Land Cover Classification System (LCCS). In our study area, we reclassified the map into seven classes: shrub/herb-cover, bodies of water, arable land, tree/forest-cover, grassland, urban areas, and bare areas (Supplementary Materials, Table S1). This re-classification of the original ESA LULC maps was carried out in consultation with a panel of in-country experts; the aim was to simplify the land-cover map typology to aid in the interpretation and accessibility of results. ESA–CCI LULC maps from 1992, 2003, and 2015 were used to carry out the LULC change and Intensity analyses during two periods: 1992–2003 and 2003–2015. We generated 250 random points within the study area to verify the LULC classification using Google Earth imagery, and we found a 76% classification accuracy.

2.3.2. Land-Cover Transition Matrix

We produced a cross-tabulation matrix for each of the two LULC transition periods (1992–2003 and 2003–2015). The cross-tabulation matrices consist of seven rows representing the seven LULC classes at the first time point (t) and seven columns showing the LULC classes at the second time point (t + 1). The value of Pij shows the percentage of the total pixels that changed from one LULC class (i) at time t to another class (j) at time t + 1, where Pij = 1. The values in the diagonal of the cross-tabulation table show the persistence of each LULC class. The total area in LULC class i at the time t is shown in the column Pi+, whereas the total area of the LULC class j at t + 1 is shown in the row P+j. P+j − Pjj yields the gross gain, while Pj+ − Pjj gives the values of gross loss of LULC class j [27].

2.3.3. Intensity Analysis

We executed an Intensity Analysis using the two cross-tabulation matrices to assess the magnitude and extent of LULC change at the interval, category, and transition levels of change [13]. The interval-level analysis was carried out to measure the intensity (rate of change) and extent (area of change) of overall land transitions for the seven land-cover categories in each of the two time intervals. The interval-level analysis was followed by a category analysis, where we examined the intensity: the area gained/lost for each category at both time intervals. The transition-level analysis assessed the transition intensity within a specific pair of categories. The transition-level analysis has an inherent problem; the intensity of the transition is dependent on the area occupied by a category at the end of a time period. However, the area of the category will have been influenced by the transitions during the assessed time interval [28]. We followed the recommended protocols and excluded the transition-level analysis for “losing categories” [10] to solve this issue. We used the equations proposed by Aldwaik and Pontius [13] to conduct the Intensity Analysis at the three levels of change described below.

2.3.4. Interval-Level Analysis

At the first level of analysis (the interval level), we assessed the annual rate and extent of land transition (change intensity) for the seven land-cover classes during the two intervals. The proportion of land that changed in each of the two time periods, St, was measured (Equation (1)). We also measured the uniform rate (U) for the whole time period included in this analysis (1992–2015, Equation (2)). U is the hypothetical rate of LULC change which would have been observed had the rate of land-change remained consistent during the two time intervals. It is equal to the average of the rates of change of selected land-cover categories in the two time intervals. The actual (observed) rates of change per year were then compared to the uniform rate.
The annual percentage of the study area that changed during each time interval, St, is calculated by:
S t = ( Change   during   [ Y t ,   Y t + 1 ] ) ( Duration   of   [ Y t ,   Y t + 1 ] ) ( Extent   size )   100 % = j = 1 J [ ( i = 1 J C tij ) C tij [ Y t + 1 Y t ] ) j = 1 J i = 1 J C tij   100 %
where J = number of categories, Yt = year at time point t, and Ctij = number of pixels that changed from category i to j between time t and t + 1.
The uniform rate U for the entire temporal extent represents the hypothetical rate of LULC change, which would exist if the changing pattern had remained stationary or consistent in its rate during the two time intervals. U is calculated by:
U = ( Change   during   all   intervals ) ( Duration   of   all   intervals ) ( Extent   size )   100 % = t = 1 T 1 { j = 1 J [ j = 1 J C tij ] } ( Y T Y 1 ) j = 1 J i = 1 J C tij   100 %
where T = number of time points.

2.3.5. Category-Level Analysis

At this level of Intensity Analysis, we examined the rate and extent of gross gains and gross losses in the seven LULC classes. The gross gain intensities, Gtj, were calculated using Equation (3), and the gross loss intensities, Lti, were calculated using Equation (4). For a given category, if the gross gain is greater than the annual percentage of the study area that changed over each time interval (St, Equation (1)), the category is an active gainer. When the gross loss for a given category is greater than St, the category is designated as an active loser.
The gross gain intensities, Gtj, were calculated by:
G tj = ( Annual   gain   of   category   j   during   [ Y t , Y t + 1 ] ) Size   of   category   j   at   time   Y t + 1   100 % = [ ( i = 1 J C tij ) C tjj ] / ( Y t + 1 Y t ) i = 1 J C tij   100 %
The gross loss intensities, Lti, were calculated by:
L ti = ( Annual   loss   of   category   i   during   [ Y t ,   Y t + 1 ] ) Size   of   category   i   at   time   Y t   100 % = [ ( j = 1 J C tij )   C tii ] / ( Y t + 1 Y t ) j = 1 J C tij   100 %

2.3.6. Transition-Level Analysis

Transition-level analysis examines the variation in the area and intensity of land-change among LULC classes in the study area. The aim is to evaluate which land-cover categories transition to which other land-cover categories in a process expressed as either “targeting” or “avoidance”. The total gain represents the observed intensity of land change from category i to n (Equation (5)). For category n, the uniform intensity (Wtn) is the hypothetical intensity of change which divides or distributes the annual gain intensity for n uniformly across the study area. The Wtn was measured using Equation 6. If the value of Rtin (Equation (5)) is greater than the value of Wtn (Equation (6)), the gain of category n is considered to target category i at time t. In the case that it is not greater, the gain of category n is seen as avoiding the category i at time t.
The total gain of categories represents the observed intensity of transition to category n from each category i, where i ≠ n. It is calculated by:
R tin = ( Annual   transition   from   category   i   to   n   during   [ Y t ,   Y t + 1 ] ) Size   of   category   i   at   time   Y t   100 % = C tin / Y t + 1 Y t j = 1 J C tij   100 %
The uniform intensity for category n, Wtn, which distributes the intensity of annual transition gains to category n uniformly across the study area, is calculated by:
W tn = Annual   gain   of   category   n   during   Y t + 1 Y t j = 1 J [ ( i = 1 J C tij ) C tnj ]   100 % = [ ( i = 1 J C tin ) C tnn ] / Y t + 1 Y t j = 1 J [ ( i = 1 J C tij ) C tnj ]   100 %
If Rtin > Wtn, the gain of category n was considered to target category i at time t. If Rtin < Wtn, the gain of category n was considered to avoid category i at time t.

2.3.7. Hypothetical Error in the Intensity Analysis

Intensity Analysis compares the observed land-use change intensity to a hypothetical uniform intensity change for individual land-cover classes within the study area. Since there are known classification errors in the land-cover data, the LULC change detected could be one of two types: actual change or misclassification (mapping errors). To account for mapping errors, we followed recommended protocols to calculate the hypothetical errors in the classification of land-cover maps to account for the deviation from the value of uniform change intensity [29]. Intensity Analysis assumes that the rate of change is uniform across time intervals (the interval level), among all categories (the category level), and in all transitions (the transition level). This assumed uniform rate of change (intensity) is called the hypothetical uniform intensity. If the observed intensity exceeds the value of uniform intensity, we assume a positive commission error (incorrect identification of change). The errors of commission account for change greater than the hypothetical uniform change. Conversely, where the observed intensity value is lower, we assume an omission error (incorrect identification of no change). If the hypothetical errors are greater than the reported accuracy of the land-cover maps used, the result implies that the real changes are non-uniform. We calculated these hypothetical errors for this study following recommended protocols [29].
For the Intensity Analysis at the category level, the annual change is calculated by adding the uniform change value to the commission error. If, for a given category, the uniform intensity exceeds the observed annual land change (gain/loss) intensity, this implies that the category is dormant. In this case, the magnitude of the annual land change (loss/gain) is calculated by adding the value of the hypothetical error of omission to the observed gain/loss in that category.
For the transition-level analysis, if the uniform intensity falls behind the value of the annual rate of change, it implies that the category which experienced gain has targeted the category losing its area. In this situation, the annual transition is calculated by adding the value of the error of commission to the value of the uniform change. If the case is vice versa, i.e., the uniform intensity exceeds the value of the annual rate of change, it would indicate that the category that gains avoids the category that loses land area. Under this circumstance, we calculate the annual change by adding the hypothetical error of omission to the actual or observed change.

3. Results

3.1. Land-Cover Transitions

Arable land, shrub/herb-cover, and tree/forest-cover were the dominant land-cover classes in 1992, accounting for nearly 99% of the study area (Table 1). Overall, arable land steadily increased over time, whereas tree/forest-cover experienced a major expansion in the first time interval, followed by a slower rate of expansion in the second interval. Arable land increased by 1.48% and 1.35% during the first and second time intervals, respectively. Shrub/herb-cover experienced loss in both time intervals: −6.42% in the first and −2.49% in the second time interval. Tree/forest-cover increased by 4.92% in the first time interval and by just +0.96% in the second. Urban areas experienced a steady increase during both intervals, while bare areas and bodies of water did not change.
Among the major LULC transition, 145,176 hectares of land were converted from shrub/herb-cover to arable land, while 1484 ha of arable land was lost to tree/forest-cover during the first time interval. In the second time interval, 136,569 hectares under shrub/herb-cover were converted to arable land, while 3338 hectares of arable land were converted to urban areas, and another 2397 hectares of arable land shifted to tree/forest-cover.
The proportion of the study area that experienced change during the two intervals included in this study is presented in Table 2. Gross change accounted for 6.65% of the study area from 1992 to 2003 but for only an additional 2.99% from 2003 to2015. During the first interval, nearly all gross loss was at the expense of shrub/herb-cover. An area equal to 6.65% of the study area was lost from shrub herb cover and was gained by; (i) tree/forest-cover (5%) and (ii) arable land (1.5%). In the second time interval, although the rate of LULC change was half that of the first interval, shrub/herb-cover again experienced the majority of the gross loss (2.92% of the study area) while arable land (1.5%) and tree/forest-cover (1.08%) showed major gross gains.

3.2. Intensity Analysis

3.2.1. Interval Level

Figure 2 shows the observed annual rate of change in the two time periods and the hypothetical uniform rate of change (the average of the observed rates of change over both time intervals). The change intensity (rate of change) per year was higher in the first interval than the assumed uniform intensity. In the second interval, however, this relationship had reversed. These results suggest that the rate of LULC was significantly slower in the second interval.
Figure 2b shows the total change over the interval in terms of the percentage of the area of the total study area, based on the critical assumption that the hypothesis of uniform intensity is true. In Figure 2b, the observed change derived from the two LULC maps for each interval, represented by the black bars, is contrasted with the hypothetical commission (grey bars) and omission errors (pink) during each interval.

3.2.2. Category Level

In the first time interval, the category-level analysis indicates that tree/forest-cover, urban areas, and arable land were the active gainers (Figure 3a) In contrast, grassland and shrub/herb-cover were active losers (i.e., the gain in the category was less than the uniform gain intensity) (Figure 3c). In the second time interval, all classes except tree/forest-cover and shrub/herb-cover, were active gainers (i.e., the gain in the category was greater than the uniform gain intensity) (Figure 3b) while shrub/herb-cover, grassland, and bare areas were active losers (Figure 3d).
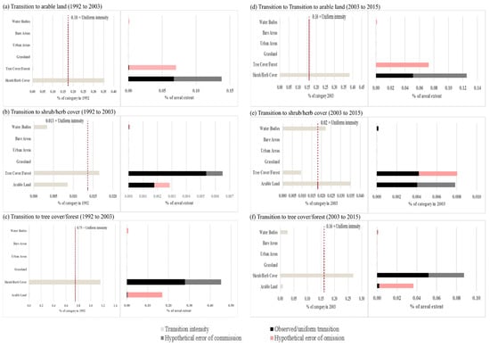
Arable land experienced gains during both time intervals; its gain intensity was more than the uniform intensity. Based on the data shown in the Figure 3, if the expansion of arable land had conformed to the uniform intensity, we would have seen an increase of 1361 pixels (12,944 ha) in the first interval and 577 (5487 ha) pixels in the second interval. However, there was an increase of 1407 (13,382 ha) and 1275 pixels (12,126 ha) in the two intervals, respectively. The difference of 46 (437 ha) and 698 pixels (6638 ha) can be explained by the hypothetical error of commission. The tree/forest-cover category was an active gainer during 1992–2003, and a dormant gainer during 2003–2015. The gain intensity was bigger than the uniform intensity in the first interval but not in the second interval. Assuming the hypothesis of uniform intensity to be true, the additional 1941 pixels (18,461 ha) gained during the first interval can be explained as a hypothetical error of commission. The difference of 181 pixels in the second interval can be explained with a hypothetical error of omission. The shrub/herb category remained an active loser during both time intervals. If the hypothesis of uniform intensity is considered true, the loss of an additional 3660 (34,810 ha) and 1429 pixels (13,591 ha) in the two time intervals, respectively, can be explained by a hypothetical error of commission. Among other land cover-classes, urban areas were active gainers in both the intervals, while grassland was an active loser in both intervals. However, these categories constitute only a fraction of the total study area (Table 1).

3.2.3. Transition Level

In the transition-level analysis, we focused on the transitions between arable land, tree/forest-cover, and shrub/herb-cover because these categories were of sufficient area to verify whether the map errors accounted for the deviations from uniform intensity. We observed that the pixels gaining arable land targeted (i.e., gained at the expense of) shrub/herb-cover in both time intervals, while the pixels gaining tree/forest-cover targeted shrub/herb-cover (Figure 4). Although the gain in shrub/herb-cover was only very small, it mainly came from arable land and tree/forest-cover in both intervals.

3.3. Spatial Trends of Change

As shown in Figure 5, some of the tree/forest-cover land was converted to arable land in the south-eastern part of the study area during 1992–2003, while a sizeable area under shrub/herb-cover in the eastern and northern regions also changed to arable land. Similarly, more shrub/herb-cover transformed into arable land in the eastern belt in the second time interval, while some new tree/forest-cover appeared in the western region at the cost of shrub/herb-cover.

4. Discussion

4.1. Interpretation of Change Intensities

The gross change rates indicated by our analysis (Figure 5) showed that these changes were not consistent during the two time intervals (Table 1), suggesting that the factors influencing the rate and type of change had changed over time. The overall change intensity declined in the second interval (Figure 2), and cropland expanded into shrub/herb-cover in both time intervals (Figure 4), indicating that the dynamics of arable land change were consistent between the two time intervals. The results also suggest that shrub/herb-cover loss could be the most ecologically significant change; this semi-natural and very diverse habitat experienced the greatest loss relative to its original area during both time intervals. The intensity of shrub/herb-cover loss was higher at the beginning, but the shrub/herb habitat continues to be the vegetation type most vulnerable to cropland expansion.

4.2. Linking Pattern to Process: Local Drivers of Land Change and Implications on Land Management

The reduction of shrub/herb-cover is likely a result of pressures from agricultural expansion in Ghana [30,31]. With little evidence of an “agricultural transformation” in the country, it is not surprising that increased crop production has been delivered by area expansion, rather than by increases in productivity [32]. This dynamic is typical of Ghana’s Upper East Region with high population density, where around 80% of the population is involved in small-scale, rain-fed agriculture. As a result, the one key change in the studied landscape has been the expansion of cropland at the expense of natural herbaceous and shrubland vegetation [33].
In addition, the unrestricted and intensive wood-cutting for commercial and domestic uses [30] and the extraction of fuelwood and charcoal production have been identified as major drivers of land-use change in Ghana [23]. Wood accounts for over two-thirds of domestic energy use in the country, particularly so in the Guinea Savanna ecoregion [34]. We show that, in this region, the LULC category of shrub/herb-cover extends over most of the area, and its decline can be seen in both study periods (Figure 3c,d). Logging is more prevalent in areas near human settlements, and the increasing human population is likely to have increased the demand for more fuelwood [11]. Figure 5 illustrates this trend: Land near major urban settlements is often the first to experience transitions due to ease of access [11]. The effect of Tamale and the other major urban centres of this region is clearly detected by our analysis. Much of Ghana’s northern region (including the Upper East, Upper West, and Northern regions) comprises farms interspersed with ‘bush’, which traditionally employ a bush–fallow system. This landscape tends to be treated as an open-access resource, particularly for charcoal production [35]. Given the demand for charcoal in urban areas, the rapid loss of natural vegetation under such circumstances is unsurprising.
Interestingly, in both periods, the Intensity Analysis shows an overall increase in tree/forest-cover (Figure 4a,b). The rate of tree/forest-cover expansion was higher in the first period, and its expansion came at the cost of land under shrub/herb-cover, which is a broad land-cover class including land with marginal soils and sparse herbaceous cover [36]. The Ghanaian government launched policies to reduce the pressure on natural woodlands, including a tree planting programme in Northern Ghana in the 1980s. Under this programme, trees were planted mainly on marginal lands unsuitable for agriculture. Under this tree-planting campaign, the majority of trees were planted only after 1991 [36]. Alongside afforestation, there may be several other reasons why tree-cover is increasing in specific areas of Ghana, despite the continuing net deforestation across the country. Our observations of the transition from shrub/herb- to tree/forest-cover in the south-western part of our study area (Figure 5) are consistent with the following:
  • The “modified Taungya” system, introduced in 2002, encourages tree planting in degraded forests. Much of this planting occurs in the transitional zone, which is a degraded and environmentally vulnerable area in Northern Ghana that is experiencing a shift from forest to savanna vegetation [37]. While the trees are growing, farmers are allowed to intercrop food crops [38].
  • Mining companies have engaged in reforestation to restore mined lands, as evidenced in southern Ghana [35]. However, although tree cover may increase, the original natural ecosystems and biodiversity have been lost.
  • Ghana has embarked on a number of reforestation schemes. The 1994 Forest and Wildlife Policy included a reforestation program that encouraged individuals, communities, and organisations to set up plantation forests [39]. Efforts have also been made to encourage private investment in plantations, with varying degrees of success [38]. More recently, there has been a move to "regreen" northern Ghana [40].
  • The global focus on mitigating climate change through afforestation and reduced forest loss may also be contributing to localised increases in tree-cover. At the individual or household level, the decision to plant trees is influenced by the duration of land tenure and land- and tree-ownership rights [38]. For example, the Forest Plantation Development Fund Act 2000, for the first time, gave farmers the rights to trees and timber on their land, which has also encouraged on-farm tree planting [38].
  • Our recorded change in tree-cover may also reflect the increased planting of tree crops, including mango and cashew, which in Ghana can bestow semi-permanent land rights to the farmer, in addition to providing a source of income [41]. The ESA mapping does not discriminate between natural forest, forest tree plantations, and fruit tree orchards.

4.3. Effects of Map Classification Errors

We interpreted the results of the Intensity Analysis, assuming that the land transitions observed in the study are actual changes. However, map classification errors may lead to false change-detection. The Intensity Analysis computes hypothetical map classification errors to account for the deviations from the uniform intensities of change. According to this framework, if the hypothetical error is greater than the suspected errors, then the actual land transitions deviate from the uniform change intensity [29]. For this study, the suspected rate of classification error in the 1992, 2003, and 2015 land-cover maps is 25% for each period. Furthermore, the hypothetical errors of commission sum up to the total hypothetical errors of omission (Figure 2, Figure 3 and Figure 4). The results suggest that the errors on 2.07% of the areal extent could potentially explain the deviation from the uniform change (Figure 3). Errors on 0.20% of the 2003 map (Figure 3a) and errors on 0.1% of the 2015 map (Figure 3b) could potentially explain all deviations from uniform gains. Similarly, errors on 0.38% of the 1992 map (Figure 3c) and errors on 0.14% of the 2003 map (Figure 3d) could potentially explain all deviations from uniform losses. Errors of less than 0.20% of the 2003 map could potentially explain all deviations from uniform transitions to each gaining category (Figure 4a–c). Errors amounting to less than 0.10% of the 2015 map could potentially explain all deviations from uniform transitions to each gaining category (Figure 4d–f).
The results indicate that the hypothetical errors are smaller than the suspected errors in the maps. Thus, the map classification errors could potentially explain the observed deviations from uniform changes; the evidence for deviations from uniform intensities is weak. However, evidence suggests that, even when hypothetical errors are smaller than suspected classification errors, it should not be assumed that map classification errors can explain all deviations from uniform change [42]. This is the case because the observed changes are consistent with our understanding of the drivers of change; thus, the map classification errors may only partly explain the observed deviations.

5. Limitations of the Study

One of the main limitations of this study is the default spatial resolution of 300 m × 300 m of the Global Land Cover product of the European Space Agency. Since we targeted the whole of the Northern, Upper East, and Upper West regions Ghana, the use of a global land-cover product was inevitable as no other comparable product is available for this region. Should high-resolution land-cover maps become available, it would be possible to capture minor details of LULC change to better understand the complex dynamics of land-cover change. Moreover, the land-cover maps used in this study had a reported accuracy of only about 75%; a customised image classification to produce regional land-cover maps could achieve a much higher classification accuracy.

6. Conclusion

Our Intensity Analysis of LULC changes in the Northern, Upper East, and Upper West regions of Ghana shows that the area under arable land and tree/forest-cover expanded between 1992 and 2015. The overall rate of LULC change was greater at the beginning and then declined. Shrub/herb-cover remained vulnerable in both periods, as most of the arable expansion and increase in tree/forest-cover came from this land-use class. We saw evidence of the local expansion of forest-cover, but the continuous, large-scale clearing of shrub/herb natural habitats may negatively impact agroecosystems and the livelihoods of the local communities that are heavily dependent on the limited availability of those natural resources.

Supplementary Materials

The following supporting information can be downloaded at: https://www.mdpi.com/article/10.3390/land11071070/s1, Table S1: Historical land-cover maps of the study area.

Author Contributions

Conceptualization, E.R. and G.H.G.; methodology, K.S. and S.A.M.; validation, S.A.M., G.H.G. and E.R.; formal analysis, S.A.M. and K.S.; writing—original draft preparation, S.A.M.; writing—review and editing M.L., G.H.G. and E.R.; visualization, S.A.M.; supervision, G.H.G., E.R. and M.L.; project administration, E.R. All authors have read and agreed to the published version of the manuscript.

Funding

This research was funded as part of the Sentinel Project (Social and Environmental Trade-offs in African Agriculture; see https://www.sentinel-gcrf.org/; accessed on 30 April 2022), funded by Research Councils UK (RCUK) under the Global Challenges Research Fund (GCRF); grant reference, ES/P011306/1.

Institutional Review Board Statement

Not applicable.

Informed Consent Statement

Not applicable.

Data Availability Statement

Not applicable.

Acknowledgments

Martin Lukac received support from the European Social Fund EVA 4.0 (OP RDE, CZ.02.1.01/0.0/0.0/16 019/0000803).

Conflicts of Interest

The authors declare no conflict of interest.

References

  1. Turner, B.L.; Lambin, E.F.; Reenberg, A. The emergence of land change science for global environmental change and sustainability. Proc. Natl. Acad. Sci. USA 2008, 105, 20690–20695. [Google Scholar] [CrossRef] [PubMed] [Green Version]
  2. Díaz, S.; Demissew, S.; Carabias, J.; Joly, C.; Lonsdale, M.; Ash, N.; Larigauderie, A.; Adhikari, J.R.; Arico, S.; Báldi, A.; et al. The IPBES Conceptual Framework—Connecting nature and people. Curr. Opin. Environ. Sustain. 2015, 14, 1–16. [Google Scholar] [CrossRef] [Green Version]
  3. Nagendra, H.; Munroe, D.K.; Southworth, J. From pattern to process: Landscape fragmentation and the analysis of land use/land cover change. Agric. Ecosyst. Environ. 2004, 101, 111–115. [Google Scholar] [CrossRef]
  4. Phalan, B.; Green, R. Reconciling food production and biodiversity conservation: Land sharing and land sparing compared. Science 2011, 333, 1289–1292. [Google Scholar] [CrossRef]
  5. Laurance, W.F.; Sayer, J.; Cassman, K.G. Agricultural expansion and its impacts on tropical nature. Trends Ecol. Evol. 2014, 29, 107–116. [Google Scholar] [CrossRef]
  6. Deininge, K.; Byerlee, D.; Lindsay, J.; Norton, A.; Selod, H.; Stickler, M. Rising Global Interest in Farmland—Can It Yield Sustainable and Equitable Benefits? The World Bank: Washington, DC, USA, 2011. [Google Scholar]
  7. Faurès, J.-M.; Hoogeveen, J.; Bruinsma, J. The FAO Irrigated Area Forecast for 2030; FAO: Rome, Italy, 2002; pp. 1–14. [Google Scholar]
  8. Bai, Y.; Ochuodho, T.O.; Yang, J. Impact of land use and climate change on water-related ecosystem services in Kentucky, USA. Ecol. Indic. 2019, 102, 51–64. [Google Scholar]
  9. Lang, Y.; Song, W. Quantifying and mapping the responses of selected ecosystem services to projected land use changes. Ecol. Indic. 2019, 102, 186–198. [Google Scholar] [CrossRef]
  10. Sánchez, A.; Namhata, C. What feeds protest participation in sub-Saharan Africa? An empirical analysis. Glob. Food Secur. 2019, 23, 74–84. [Google Scholar] [CrossRef]
  11. Shoyama, K.; Braimoh, A.K.; Avtar, R.; Saito, O. Land Transition and Intensity Analysis of Cropland Expansion in Northern Ghana. Environ. Manag. 2018, 62, 892–905. [Google Scholar] [CrossRef]
  12. Shoyama, K.; Braimoh, A.K. Analyzing about sixty years of land-cover change and associated landscape fragmentation in Shiretoko Peninsula, Northern Japan. Landsc. Urban Plan. 2011, 101, 22–29. [Google Scholar] [CrossRef]
  13. Aldwaik, S.Z.; Pontius, R.G. Intensity analysis to unify measurements of size and stationarity of land changes by interval, category, and transition. Landsc. Urban Plan. 2012, 106, 103–114. [Google Scholar] [CrossRef]
  14. Romero-Ruiz, M.H.; Flantua, S.G.A.; Tansey, K.; Berrio, J.C. Landscape transformations in savannas of northern South America: Land use/cover changes since 1987 in the Llanos Orientales of Colombia. Appl. Geogr. 2012, 32, 766–776. [Google Scholar] [CrossRef]
  15. Pontius, R.; Gao, Y.; Giner, N.; Kohyama, T.; Osaki, M.; Hirose, K. Design and Interpretation of Intensity Analysis Illustrated by Land Change in Central Kalimantan, Indonesia. Land 2013, 2, 351–369. [Google Scholar] [CrossRef]
  16. Alo, C.A.; Pontius, R.G. Identifying systematic land-cover transitions using remote sensing and GIS: The fate of forests inside and outside protected areas of Southwestern Ghana. Environ. Plan. B Plan. Des. 2008, 35, 280–295. [Google Scholar] [CrossRef]
  17. Ekumah, B.; Armah, F.A.; Afrifa, E.K.A.; Aheto, D.W.; Odoi, J.O.; Afitiri, A.-R. Assessing land use and land cover change in coastal urban wetlands of international importance in Ghana using Intensity Analysis. Wetl. Ecol. Manag. 2020, 28, 271–284. [Google Scholar] [CrossRef]
  18. Tankpa, V.; Wang, L.; Atanga, R.A.; Awotwi, A.; Guo, X. Evidence and impact of map error on land use and land cover dynamics in Ashi River watershed using intensity analysis. PLoS ONE 2020, 15, e0229298. [Google Scholar] [CrossRef] [PubMed] [Green Version]
  19. Villamor, G.B.; Pontius, R.G.; van Noordwijk, M. Agroforest’s growing role in reducing carbon losses from Jambi (Sumatra), Indonesia. Reg. Environ. Chang. 2014, 14, 825–834. [Google Scholar] [CrossRef]
  20. Akinyemi, F.O.; Pontius, R.G.; Braimoh, A.K. Land change dynamics: Insights from Intensity Analysis applied to an African emerging city. J. Spat. Sci. 2017, 62, 69–83. [Google Scholar]
  21. Zhou, P.; Huang, J.; Pontius, R.G.; Hong, H. Land classification and change intensity analysis in a coastal watershed of Southeast China. Sensors 2014, 14, 11640–11658. [Google Scholar] [CrossRef] [Green Version]
  22. Braimoh, A.K. Agricultural land-use change during economic reforms in Ghana. Land Use Policy 2009, 26, 763–771. [Google Scholar] [CrossRef]
  23. Braimoh, A.K. Random and systematic land-cover transitions in northern Ghana. Agric. Ecosyst. Environ. 2006, 113, 254–263. [Google Scholar] [CrossRef]
  24. Clark Labs TerrSet Tutorial; Clark Labs, Clark University: Worcester, MA, USA, 2015.
  25. Mousivand, A.; Arsanjani, J.J. Insights on the historical and emerging global land cover changes: The case of ESA-CCI-LC datasets. Appl. Geogr. 2019, 106, 82–92. [Google Scholar] [CrossRef]
  26. Li, W.; Ciais, P.; MacBean, N.; Peng, S.; Defourny, P.; Bontemps, S. Major forest changes and land cover transitions based on plant functional types derived from the ESA CCI Land Cover product. Int. J. Appl. Earth Obs. Geoinf. 2016, 47, 30–39. [Google Scholar] [CrossRef]
  27. Pontius, R.G.; Shusas, E.; McEachern, M. Detecting important categorical land changes while accounting for persistence. Agric. Ecosyst. Environ. 2004, 101, 251–268. [Google Scholar] [CrossRef]
  28. Enaruvbe, G.O.; Pontius, R.G. Influence of classification errors on Intensity Analysis of land changes in southern Nigeria. Int. J. Remote Sens. 2015, 36, 244–261. [Google Scholar] [CrossRef]
  29. Aldwaik, S.Z.; Pontius, R.G. Map errors that could account for deviations from a uniform intensity of land change. Int. J. Geogr. Inf. Sci. 2013, 27, 1717–1739. [Google Scholar] [CrossRef]
  30. Jasaw, G.S.; Saito, O.; Takeuchi, K. Shea (Vitellaria paradoxa) butter production and resource use by urban and rural processors in northern Ghana. Sustainability 2015, 7, 3592–3614. [Google Scholar] [CrossRef] [Green Version]
  31. Antwi, E.K.; Boakye-Danquah, J.; Asabere, S.B.; Yiran, G.A.B.; Loh, S.K.; Awere, K.G.; Abagale, F.K.; Asubonteng, K.O.; Attua, E.M.; Owusu, A.B. Land Use and Landscape Structural Changes in the Ecoregions of Ghana. J. Disaster Res. 2016, 9, 452–467. [Google Scholar] [CrossRef] [Green Version]
  32. Udondian, N.S. Exploring Agricultural Intensification: A Case Study of Nigerian Government Rice and Cassava Initiatives. Int. J. Agric. Econ. 2018, 3, 118. [Google Scholar]
  33. Kleemann, J.; Baysal, G.; Bulley, H.N.N.; Fürst, C. Assessing driving forces of land use and land cover change by a mixed-method approach in north-eastern Ghana, West Africa. J. Environ. Manag. 2017, 196, 411–442. [Google Scholar] [CrossRef]
  34. Boafo, Y.A.; Saito, O.; Takeuchi, K. Provisioning ecosystem services in rural savanna landscapes of Northern Ghana: An assessment of supply, utilization, and drivers of change. J. Disaster Res. 2014, 9, 501–515. [Google Scholar] [CrossRef]
  35. Blench, R.; Dendo, M. Cultural and biological interactions in the savanna woodlands of Northern Ghana: Sacred forests and management of trees. In Proceedings of the Conference Trees, Rain and Politics in Africa, Oxford, UK, 29 September–1 October 2004. [Google Scholar]
  36. Obiri, B.D.; Kyereh, B.; Obeng, E.A.; Acquah, S.B. Perception and participation of local communities in tree planting initiatives. Ghana J. For. 2011, 27, 80–93. [Google Scholar]
  37. Kalame, F.B.; Aidoo, R.; Nkem, J.; Ajayie, O.C.; Kanninen, M.; Luukkanen, O.; Idinoba, M. Modified taungya system in Ghana: A win-win practice for forestry and adaptation to climate change? Environ. Sci. Policy 2011, 14, 519–530. [Google Scholar] [CrossRef]
  38. Insaidoo, T.F.G.; Ros-tonen, M.A.F.; Hoogenbosch, L.; Acheampong, E. Addressing forest degradation and timber deficits in Ghana. ETFRN News 2012, 53, 230–239. [Google Scholar]
  39. Zhang, D.; Aboagye Owiredu, E. Land tenure, market, and the establishment of forest plantations in Ghana. For. Policy Econ. 2007, 9, 602–610. [Google Scholar] [CrossRef]
  40. Baxter, J. The Tamale Declaration: A Regreening Plan for Northern Ghana. Available online: http://blog.worldagroforestry.org/index.php/2018/12/18/the-tamale-declaration-a-regreening-plan-for-northern-ghana/ (accessed on 10 December 2020).
  41. Vehnamaki, M. Economic policy and regional economic development in Ghana [Talouspolitiikka ja alueellinen taloudellinen kehitys Ghanassa]. Terra 1997, 109, 129–137. [Google Scholar]
  42. Teixeira, Z.; Marques, J.C.; Pontius, R.G. Evidence for deviations from uniform changes in a Portuguese watershed illustrated by CORINE maps: An Intensity Analysis approach. Ecol. Indic. 2016, 66, 282–290. [Google Scholar] [CrossRef] [Green Version]
Figure 1. Location of the study area comprising Northern, Upper West, and Upper East provinces.
Figure 1. Location of the study area comprising Northern, Upper West, and Upper East provinces.
Land 11 01070 g001
Figure 2. Intensity Analysis for interval-level changes of land category during the 1992–2003 and 2003–2015 time intervals for the study area showing (a) the observed change intensity (annual change averaged over the interval), and (b) the percentage of area that changed category over the interval.
Figure 2. Intensity Analysis for interval-level changes of land category during the 1992–2003 and 2003–2015 time intervals for the study area showing (a) the observed change intensity (annual change averaged over the interval), and (b) the percentage of area that changed category over the interval.
Land 11 01070 g002
Figure 3. (ad) Intensity Analysis for category-level changes for each land category during the two time intervals for the study area showing the observed gain and loss intensities for each category (left figures), and the percentages of area that changed category over the interval (right figures).
Figure 3. (ad) Intensity Analysis for category-level changes for each land category during the two time intervals for the study area showing the observed gain and loss intensities for each category (left figures), and the percentages of area that changed category over the interval (right figures).
Land 11 01070 g003
Figure 4. (af) Intensity Analysis for transition-level changes for each land-cover category for gaining categories during two time intervals for the study area, showing the observed transition intensities for each gaining category (left figures), and the percentage of area that changed category over the interval (right figure).
Figure 4. (af) Intensity Analysis for transition-level changes for each land-cover category for gaining categories during two time intervals for the study area, showing the observed transition intensities for each gaining category (left figures), and the percentage of area that changed category over the interval (right figure).
Land 11 01070 g004
Figure 5. Maps of spatial trend of change showing major land-use transitions in the study area during 1992–2003 and 2003–2015.
Figure 5. Maps of spatial trend of change showing major land-use transitions in the study area during 1992–2003 and 2003–2015.
Land 11 01070 g005
Table 1. Land-cover proportions of the study area in 1992, 2003, and 2015 and the changes in land-cover proportions during the two time intervals.
Table 1. Land-cover proportions of the study area in 1992, 2003, and 2015 and the changes in land-cover proportions during the two time intervals.
Category1992
(%)
2003
(%)
1st Time
Interval
2015
(%)
2nd Time
Interval
Arable Land20.7922.271.4823.621.35
Shrub/Herb-Cover39.0332.61−6.4230.12−2.49
Tree/Forest-Cover39.3644.284.9245.240.96
Grassland0.010.000.000.010.00
Urban Areas0.020.020.010.080.05
Bare Areas0.000.000.000.000.00
Water Bodies0.790.810.020.940.13
Total100100 100
Table 2. Land-cover transition matrix for two time intervals: 1992–2003 and 2003–2015.
Table 2. Land-cover transition matrix for two time intervals: 1992–2003 and 2003–2015.
1992–2003Arable LandShrub/ Herb-CoverTree/Forest-CoverGrasslandUrban AreasBare AreasWater BodiesTotalGross Loss
Arable Land20.7410.0200.0260.0000.0030.0000.00220.7910.050
Shrub/Herb-Cover1.51732.5204.9780.0000.0000.0000.01639.0326.512
Tree/Forest-Cover0.0110.07239.2740.0000.0010.0000.00439.3610.087
Grassland0.0000.0000.0000.0030.0020.0000.0000.0050.002
Urban Areas0.0000.0000.0000.0000.0190.0000.0000.0190.000
Bare Areas0.0000.0000.0000.0000.0000.0010.0000.0010.000
Water Bodies0.0000.0000.0010.0000.0000.0000.7880.7900.001
Total22.26932.61144.2790.0040.0250.0010.81099.998
Gross Gain1.5280.0925.0050.0000.0050.0000.0226.6526.652
2003–2015
Arable Land22.1140.0940.0250.0000.0340.0000.00122.2690.155
Shrub/Herb-Cover1.50329.9761.0520.0030.0030.0000.07532.6112.635
Tree/Forest-Cover0.0010.05144.1580.0000.0140.0000.05744.2790.122
Grassland0.0000.0000.0000.0020.0010.0000.0000.0040.001
Urban Areas0.0000.0000.0000.0000.0250.0000.0000.0250.000
Bare Areas0.0000.0000.0000.0000.0000.0010.0000.0010.000
Water Bodies0.0000.0020.0030.0000.0000.0010.8060.8120.006
Total23.61830.12345.2370.0060.0770.0010.939100.000
Gross Gain1.5040.1471.0800.0030.0520.0010.1332.9192.919
Publisher’s Note: MDPI stays neutral with regard to jurisdictional claims in published maps and institutional affiliations.

Share and Cite

MDPI and ACS Style

Manzoor, S.A.; Griffiths, G.H.; Robinson, E.; Shoyama, K.; Lukac, M. Linking Pattern to Process: Intensity Analysis of Land-Change Dynamics in Ghana as Correlated to Past Socioeconomic and Policy Contexts. Land 2022, 11, 1070. https://doi.org/10.3390/land11071070

AMA Style

Manzoor SA, Griffiths GH, Robinson E, Shoyama K, Lukac M. Linking Pattern to Process: Intensity Analysis of Land-Change Dynamics in Ghana as Correlated to Past Socioeconomic and Policy Contexts. Land. 2022; 11(7):1070. https://doi.org/10.3390/land11071070

Chicago/Turabian Style

Manzoor, Syed Amir, Geoffrey Hugh Griffiths, Elizabeth Robinson, Kikuko Shoyama, and Martin Lukac. 2022. "Linking Pattern to Process: Intensity Analysis of Land-Change Dynamics in Ghana as Correlated to Past Socioeconomic and Policy Contexts" Land 11, no. 7: 1070. https://doi.org/10.3390/land11071070

APA Style

Manzoor, S. A., Griffiths, G. H., Robinson, E., Shoyama, K., & Lukac, M. (2022). Linking Pattern to Process: Intensity Analysis of Land-Change Dynamics in Ghana as Correlated to Past Socioeconomic and Policy Contexts. Land, 11(7), 1070. https://doi.org/10.3390/land11071070

Note that from the first issue of 2016, this journal uses article numbers instead of page numbers. See further details here.

Article Metrics

Back to TopTop