Tourism Planning in Underdeveloped Regions—What Has Been Going Wrong? The Case of Extremadura (Spain)
Abstract
1. Introduction
2. Background and Context
2.1. Determining Strategic Objectives in Tourism Planning
2.2. The Planning Process: A Study of the Territory
2.3. Dysfunctional Elements of Tourism Planning
2.4. Functional and Multidisciplinary Elements of Tourism
3. Materials and Methods
3.1. Population and Sample
3.2. Selection Criteria for Variables
3.3. Treatment of Variables
4. Results
4.1. Data Analysis and Model
4.2. Structural or Internal Model Analysis
5. Discussion
6. Conclusions
6.1. Theoretical Conclusions
6.2. Practical Recommendations
6.3. Limitations and Future Lines of Research
Author Contributions
Funding
Acknowledgments
Conflicts of Interest
References
- Liu, A.; Wall, G. Planning tourism employment: A developing country perspective. Tour. Manag. 2006, 27, 159–170. [Google Scholar] [CrossRef]
- Jurado Almonte, J.M.; Pazos-García, F.J. Población y turismo rural en territorios de baja densidad poblacional en España. Bol. de la Asoc. de Geógr. Esp. 2016, 71, 247–272. [Google Scholar]
- Cui, J.; Li, R.; Zhang, L.; Jing, Y. Spatially Illustrating Leisure Agriculture: Empirical Evidence from Picking Orchards in China. Land 2021, 10, 631. [Google Scholar] [CrossRef]
- Costa, C. Tourism planning, development and the territory. In Tourism Management Dynamics; Buhalis, D., Costa, C., Eds.; Routledge: New York, NY, USA, 2006. [Google Scholar]
- Wang, Z.; Lawal, M. Tourism Imaginary and Landscape at Heritage Site: A Case in Honghe Hani Rice Terraces, China. Land 2021, 10, 439. [Google Scholar] [CrossRef]
- Nieto Masot, A.; Ríos Rodríguez, N. Rural Tourism as a Development Strategy in Low-Density Areas: Case Study in Northern Extremadura (Spain). Sustainability 2021, 13, 239. [Google Scholar] [CrossRef]
- UNEP; UNWTO. Making Tourism More Sustainable—A Guide for Policy Makers. 2005. Available online: https://www.unwto.org/es/desarrollo-sostenible (accessed on 21 March 2022).
- Hall, C.M. Tourism Planning: Policies, Processes and Relationships; Pearson Education: Upper Saddle River, NJ, USA, 2008. [Google Scholar]
- Foronda Robles, C.; García López, A.M. La apuesta por la calidad como elemento diferenciador en los destinos turísticos: Planes renovados. Cuad. de Tur. 2009, 23, 89–110. [Google Scholar]
- Velasco, M. Entre el poder y la racionalidad: Gobierno del turismo, política turística, planificación turística y gestión pública del turismo. Pasos 2016, 14, 577–594. [Google Scholar] [CrossRef]
- Vila, M.; Costa, G.; Rovira, X. The creation and use of scorecards in tourism planning: A Spanish example. Tour. Manag. 2010, 31, 232–239. [Google Scholar] [CrossRef]
- Gunn, C.A. Tourism Planning: Basics, Concepts, Cases, 3rd ed.; Taylor & Frances: Washington, DC, USA, 1994. [Google Scholar]
- Sánchez, M.; Castro-Serrano, J.; Robina-Ramírez, R. Stakeholders’ Participation in Sustainable Tourism Planning for a Rural Region: Extremadura Case Study (Spain). Land 2021, 10, 553. [Google Scholar] [CrossRef]
- Sola Teyssiere, J. La ordenación del turismo y sus relaciones con la legislación de ordenación del territorio, del urbanismo y de la protección del medio ambiente. Adm. de Andal. Rev. Andal. de Adm. Pública 2004, 53, 109–134. [Google Scholar] [CrossRef]
- Cozma, A.C.; Coros, M.M. Regional Planning for Rodna as a Tourist Destination. Studia Univ. Babeş-Bolyai. Negot. 2020, 65, 49–68. [Google Scholar] [CrossRef]
- Martins, M. Tourism Planning and Tourismphobia: An Analysis of the Strategic Tourism Plan of Barcelona 2010-2015. J. Tour. Herit. Serv. Mark. 2018, 4, 3–7. [Google Scholar]
- Sabir, B. Developing a Multidisciplinary Tourism Planning Approach on Cultural Routes. J. Multidiscip. Acad. Tour. 2019, 4, 37–47. [Google Scholar] [CrossRef]
- Sánchez-Oro Sánchez, M.; Robina-Ramírez, R.; Portillo-Fernández, A.; Jiménez-Naranjo, H.V. Expectativas turísticas y motivaciones para visitar destinos rurales. El caso de Extremadura (España). Rev. Esp. de Investig. Sociol. 2021, 175, 105–128. [Google Scholar]
- Nieto Masot, A.; Ríos Rodríguez, N.; Cárdenas Alonso, G. Planificación turística en Extremadura. Análisis de sus territorios turísticos. Cuad. de Tur. 2020, 46, 291–317. [Google Scholar] [CrossRef]
- Nieto Masot, A.; Cárdenas Alonso, G. 25 años de políticas europeas en Extremadura: Turismo rural y método Leader. Cuad. de Tur. 2017, 39, 389–416. [Google Scholar] [CrossRef][Green Version]
- Robina-Ramírez, R.; Sánchez-Oro Sánchez, M.; Cabezas Hernández, M.T.; Calleja-Aldana, M. Host and Guest Social Exchange in Developing Tourist Sites: The Case of the International Tagus Natural Park. Sustainability 2020, 12, 7248. [Google Scholar] [CrossRef]
- Cuadrado-Roura, J.R.; López Morales, J.M. El turismo, motor del crecimiento y de la recuperación de la economía española. Estud. Tur. 2014, 200, 19–38. [Google Scholar]
- Robina-Ramírez, R.; Sánchez-Hernández, M.I.; Díaz-Caro, C. Hotel manager perceptions about corporate compliance in the tourism industry: An empirical regional case study in Spain. J. Manag. Gov. 2020, 25, 627–654. [Google Scholar] [CrossRef]
- Sánchez Martín, J.M.; Rengifo Gallego, J.I. Evolución del sector turístico en la Extremadura del siglo XXI: Auge, crisis y recuperación. Lurralde 2019, 42, 19–50. [Google Scholar]
- Junta de Extremadura. Plan Estratégico de Turismo Para Extremadura 2010–2015. 2010. Available online: https://st11.ning.com/topology/rest/1.0/file/get/404704190?profile=original (accessed on 21 March 2022).
- Junta de Extremadura. Plan Turístico de Extremadura 2017–2020. 2017. Available online: http://www.juntaex.es/filescms/con02/uploaded_files/planes/Plan_Turistico_Extremadura.pdf (accessed on 21 March 2022).
- Junta de Extremadura. Estrategia de Turismo Sostenible de Extremadura 2030. II Plan Turístico de Extremadura 2021–2023. 2022. Available online: https://extremadura.ccoo.es/0f6c1d2e1ab1a9cc4414edc661d171b2000068.pdf (accessed on 21 March 2022).
- Exceltur. Informe Monitur 2010. 2011. Available online: https://www.exceltur.org/wp-content/uploads/2014/10/MONITUR-2010_INFORME.pdf (accessed on 21 March 2022).
- Exceltur. Informe Monitur 2018. 2019. Available online: https://www.exceltur.org/monitur/# (accessed on 21 March 2022).
- Simão, J.N.; Partidário, M.R. How Does Tourism Planning Contribute to Sustainable Development? Sustain. Dev. 2012, 20, 372–385. [Google Scholar] [CrossRef]
- Burns, P.; Montalvillo Sancho, M. Local perceptions of tourism planning: The case of Cuéllar, Spain. Tour. Manag. 2003, 24, 331–339. [Google Scholar] [CrossRef]
- Martínez Ávila, M.; Fierro Moreno, E. Aplicación de la técnica PLS-SEM en la gestión del conocimiento: Un enfoque técnico práctico. RIDE Rev. Iberoam. Para La Investig. Y El Desarro. Educ. 2018, 8, 130–164. [Google Scholar]
- Sánchez-Oro Sánchez, M.; Robina-Ramírez, R. Los Grupos Focales (“Focus Group”) Como Herramienta de Investigación Turística; Servicio de Publicaciones de la Universidad de Extremadura: Cáceres, Spain, 2020. [Google Scholar]
- Jiménez-Naranjo, H.V.; Coca-Pérez, J.L.; Gutiérrez-Fernández, M.; Fernández-Portillo, A. Determinants of the Expenditure Done by Attendees at a Sporting Event: The Case of World Padel Tour. Eur. J. Manag. Bus. Econ. 2016, 25, 133–141. [Google Scholar] [CrossRef]
- Robina-Ramírez, R.; Sánchez-Oro Sánchez, M.; Jiménez-Naranjo, H.V.; Castro-Serrano, J. Tourism governance during the COVID-19 pandemic crisis: A proposal for a sustainable model to restore the tourism industry. Environ. Dev. Sustain. 2022, 24, 6391–6412. [Google Scholar] [CrossRef]
- Stylidis, D.; Biran, A.; Sit, J.; Szivas, E.M. Residents’ support for tourism development: The role of residents’ place image and perceived tourism impacts. Tour. Manag. 2014, 45, 260–274. [Google Scholar] [CrossRef]
- Mansilla, J.A.; Milano, C. Becoming centre: Tourism placemaking and space production in two neighborhoods in Barcelona. Tour. Geogr. 2019, 21, 214–234. [Google Scholar] [CrossRef]
- Almeyda-Ibáñez, M.; George, B.P. The evolution of destination branding: A review of branding literature in tourism. J. Tour. Herit. Serv. Mark. 2017, 3, 9–17. [Google Scholar]
- Garau, G.; Carboni, D.; El Meligi, A.K. Economic and environmental impact of the tourism carrying capacity: A local-based approach. J. Hosp. Tour. Res. 2021, 1, 10963480211031426. [Google Scholar] [CrossRef]
- Faulkner, B. Towards a framework for tourism disaster management. Tour. Manag. 2001, 22, 135–147. [Google Scholar] [CrossRef]
- Adebayo, A.D.; Butcher, J. Constraints and Drivers of Community Participation and Empowerment in Tourism Planning and Development in Nigeria. Tour. Rev. Int. 2021, 25, 209–227. [Google Scholar] [CrossRef]
- Serrano-González, J.; Pérez González, E.M.; Oliveira, C.; Álvarez-García, J. La estrategia de planificación turística de la Villa de La Orotava (Tenerife, Islas Canarias, España): El registro de la percepción y la participación social como base para la sostenibilidad de una Citta Slow. Rev. Espac. 2020, 41, 372–386. [Google Scholar]
- Godfrey, K.; Clarke, J. The Tourism Development Handbook: A Practical Approach to Planning and Marketing; Continuum: London, UK, 2000. [Google Scholar]
- Holden, A. Environment and Tourism, 3rd ed.; Routledge: Oxon, UK; New York, NY, USA, 2016. [Google Scholar]
- Martínez-Quintana, V. Planificación colaborativa local y de naturaleza en épocas de crisis. In Turismo Post-COVID 19. El Turismo Después de la Pandemia Global. Análisis, Perspectivas y Vías de Recuperación; Bauzá Martorell, F., Melgosa Arcos, F.J., Eds.; Ediciones Universidad de Salamanca: Salamanca, Spain, 2021. [Google Scholar]
- Falak, S.; Lo, M.C.; Yeo, A. A Repositioning Strategy for Rural Tourism in Malaysia—Community’s Perspective. Procedia Soc. Behav. Sci. 2014, 144, 412–415. [Google Scholar] [CrossRef]
- Rasoolimanesh, S.M.; Ringle, C.M.; Jaafar, M.; Ramayah, T. Urban vs. rural destinations: Residents’ perceptions, community participation and support for tourism development. Tour. Manag. 2017, 60, 147–158. [Google Scholar] [CrossRef]
- Robina-Ramírez, R.; Medina-Merodio, J.A.; Moreno-Luna, L.; Jiménez-Naranjo, H.V.; Sánchez-Oro Sánchez, M. Safety and Health Measures for COVID-19 Transition Period in the Hotel Industry in Spain. Int. J. Environ. Res. Public Health 2021, 18, 718. [Google Scholar] [CrossRef] [PubMed]
- Lai, K.; Li, Y.; Feng, X. Gap between tourism planning and implementation: A case of China. Tour. Manag. 2006, 27, 1171–1180. [Google Scholar] [CrossRef] [PubMed]
- Bhatia, A.K. The Business of Tourism: Concepts and Strategies; Sterling Publishers: New Delhi, India, 2006. [Google Scholar]
- Stokes, R. Tourism strategy making: Insights to the events tourism domain. Tour. Manag. 2008, 29, 252–262. [Google Scholar] [CrossRef]
- Gee, C.Y. International Tourism: A Global Perspective; World Tourism Organization: Madrid, Spain, 1997. [Google Scholar]
- Blasco, D.; Palou Rubio, S.; Poch Espallargas, M. Emergence and Spread of Critical Discourses Opposing Tourism: The Case of Girona, an Urban Satellite Destination of Barcelona. Tour. Plan. Dev. 2021, 1–15. [Google Scholar] [CrossRef]
- Andereck, K.L.; Valentine, K.M.; Knopf, R.C.; Vogt, C.A. Residents’ perceptions of community tourism impacts. Ann. Tour. Res. 2005, 32, 1056–1076. [Google Scholar] [CrossRef]
- D’Angella, F.; Go, F.M. Tale of two cities’ collaborative tourism marketing: Towards a theory of destination stakeholder assessment. Tour. Manag. 2009, 30, 429–440. [Google Scholar] [CrossRef]
- Johnson, J.D.; Snepenger, D.J.; Akis, S. Residents perceptions of tourism development. Ann. Tour. Res. 1994, 21, 629–642. [Google Scholar] [CrossRef]
- Ap, J. Residents’ perceptions on tourism impacts. Ann. Tour. Res. 1992, 19, 665–690. [Google Scholar] [CrossRef]
- Bujosa, A.; Rosselló, J. Modelling environmental attitudes toward tourism. Tour. Manag. 2007, 28, 688–695. [Google Scholar] [CrossRef]
- Kayat, K.; Sharif, N.M.; Karnchanan, P. Individual and collective impacts and residents’ perceptions of tourism. Tour. Geogr. 2013, 15, 640–653. [Google Scholar] [CrossRef]
- Milano, C.; Novelli, M.; Cheer, J. Overtourism and Tourismphobia: A Journey Through Four Decades of Tourism Development, Planning and Local Concerns. Tour. Plan. Dev. 2019, 16, 353–357. [Google Scholar]
- Moscardo, G. Exploring social representations of tourism planning: Issues for governance. J. Sustain. Tour. 2011, 19, 423–436. [Google Scholar] [CrossRef]
- Salazar, D.; Romero, G. Planificación. ¿Éxito Gerencial? Multiciencias 2006, 6, 1–18. [Google Scholar]
- Meneghello, S. The Tourism–Landscape Nexus: Assessment and Insights from a Bibliographic Analysis. Land 2021, 10, 417. [Google Scholar] [CrossRef]
- Sancho, A. Introducción Al Turismo; OMT: Madrid, Spain, 2001. [Google Scholar]
- Williams, S. Tourism Geography; Routledge: London, UK, 2003. [Google Scholar]
- Yuksel, F.; Yuksel, A. Perceived Clientelism: Effects on Residents’ Evaluation of Municipal Services and Their Intentions for Participation in Tourism Development Projects. J. Hosp. Tour. Res. 2008, 32, 187–208. [Google Scholar] [CrossRef]
- Tosun, C.; Jenkins, C.L. Regional Planning Approaches to Tourism Development: The case of Turkey. Tour. Manag. 1996, 17, 519–531. [Google Scholar] [CrossRef]
- Vogt, C.; Jordan, E.; Grewe, N.; Kruger, L. Collaborative tourism planning and subjective well-being in a small island destination. J. Destin. Mark. Manag. 2016, 5, 36–43. [Google Scholar] [CrossRef]
- Araujo, L.M.D.; Bramwell, B. Stakeholder assessment and collaborative tourism planning: The case of Brazil’s Costa Dourada project. J. Sustain. Tour. 1999, 7, 356–378. [Google Scholar] [CrossRef]
- Esfehani, M.H.; Albrecht, J.N. Planning for Intangible Cultural Heritage in Tourism: Challenges and Implications. J. Hosp. Tour. Res. 2019, 43, 980–1001. [Google Scholar] [CrossRef]
- Sarstedt, M.; Hair, J.F.; Ringle, C.M.; Thiele, K.O.; Gudergan, S.P. Estimation issues with PLS and CBSEM: Where the bias lies! J. Bus. Res. 2016, 69, 3998–4010. [Google Scholar] [CrossRef]
- Rigdon, E.E.; Sarstedt, M.; Ringle, C.M. On comparing results from CB-SEM and PLS-SEM: Five perspectives and five recommendations. Mark. ZFP 2017, 39, 4–16. [Google Scholar] [CrossRef]
- Hair, J.F.; Ringle, C.M.; Sarstedt, M. PLS-SEM: Indeed a silver bullet. J. Mark. Theory Pract. 2011, 19, 139–151. [Google Scholar] [CrossRef]
- Haenlein, M.; Kaplan, A.M. A beginner’s guide to partial least squares analysis. Underst. Stat. 2004, 3, 283–297. [Google Scholar] [CrossRef]
- Fornell, C.; Bookstein, F. Two Structural Equation Models. LISREL and PLS applied to consumer exit-voice theory. J. Mark. Res. 1982, 19, 440–452. [Google Scholar] [CrossRef]
- Carmines, E.G.; Zeller, R.A. Reliability and Validity Assessment; SAGE Publications: California, CA, USA, 1979. [Google Scholar]
- Henseler, J. Bridging design and behavioural research with variance-based structural equation modelling. J. Advert. 2017, 46, 178–192. [Google Scholar] [CrossRef]
- Henseler, J.; Ringle, C.; Sarstedt, M. A new criterion for assessing discriminant validity in variance-based structural equation modelling. J. Acad. Mark. Sci. 2015, 43, 115–135. [Google Scholar] [CrossRef]
- Chin, W.W. The partial least squares approach to structural equation modeling. Mod. Methods Bus. Res. 1998, 295, 295–336. [Google Scholar]
- Geisser, S. A predictive a roach to the random effect model. Biometrika 1974, 61, 101–107. [Google Scholar] [CrossRef]
- Stone, M. Cross-validatory choice and assessment of statistical predictions. J. R. Stat. Soc. 1974, 36, 111–147. [Google Scholar] [CrossRef]
- Spradley, J. La Entrevista Etnográfica; Holt: Nueva York, NY, USA, 1979. [Google Scholar]
- Moreno-Luna, L.; Robina-Ramírez, R.; Sánchez-Oro Sanchez, M.; Castro-Serrano, J. Tourism and Sustainability in Times of Covid-19: The Case of Spain. Int. J. Environ. Res. Public Health 2021, 18, 1859. [Google Scholar] [CrossRef]
- Engelmo Moriche, Á.; Nieto Masot, A.; Mora Aliseda, J. Economic Sustainability of Touristic Offer Funded by Public Initiatives in Spanish Rural Areas. Sustainability 2021, 13, 4922. [Google Scholar] [CrossRef]
- Chin, W.W.; Newsted, P.R. Structural Equation Modelling Analysiswith Small Samples Using Partial Least Squares. In Statistical Strategies for SmallSample Research; Hoyle, R.H., Ed.; Sage Publications: Thousand Oaks, CA, USA, 1999. [Google Scholar]
- Grădinaru, S.; Iojă, C.; Pătru-Stupariu, I.; Hersperger, A. Are Spatial Planning Objectives Reflected in the Evolution of Urban Landscape Patterns? A Framework for the Evaluation of Spatial Planning Outcomes. Sustainability 2017, 9, 1279. [Google Scholar] [CrossRef]
- Cabezas Hernández, M.T.; Leal-Solís, A. A propósito de la planificación de turismo en España: Necesidad u oportunidad. Rev. Gen. de Derecho del Tur. 2021, 3, 1–52. [Google Scholar]


| Planning Services in Spanish Territories Involved in the Research | Tourist Planners | Tourist Offices | ||
|---|---|---|---|---|
| Population | Sample | Population | Sample | |
| Provincial Government of Badajoz (Extremadura) | 10 | 7 | 144 | 6 |
| Provincial Government of Cáceres (Extremadura) | 8 | 8 | 78 | 5 |
| Local Government of Extremadura (Mancomunidades) | 33 | 17 | - | - |
| Regional Government of Extremadura | 17 | 12 | 57 | 21 |
| Regional Government of Murcia | 36 | 14 | 41 | 27 |
| Provincial Government of Albacete (Castilla-La Mancha) | 10 | 8 | 39 | 23 |
| Provincial Government of Murcia (Murcia) | 14 | 10 | 41 | 27 |
| Regional Government of Navarra | 4 | 4 | 121 | 39 |
| Regional Government of Castilla y León | 18 | 9 | 223 | 27 |
| Provincial Government of Salamanca (Castilla y León) | 9 | 7 | 42 | 19 |
| Provincial Government of Burgos (Castilla y León) | 8 | 6 | 32 | 14 |
| Provincial Government of Zamora (Castilla y León) | 7 | 4 | 27 | 11 |
| Provincial Government of Ciudad Real (Castilla La Mancha) | 8 | 6 | 29 | 13 |
| Provincial Government of Almería (Andalucía) | 6 | 5 | 39 | 18 |
| Provincial Government of Jaén (Andalucía) | 4 | 3 | 38 | 17 |
| Provincial Government of Sevilla (Andalucía) | 6 | 4 | 51 | 24 |
| Provincial Government of Córdoba (Andalucía) | 7 | 5 | 49 | 19 |
| Provincial Government of Toledo (Castilla-La Mancha) | 10 | 9 | 32 | 10 |
| Provincial Government of Lugo (Galicia) | 8 | 5 | 36 | 12 |
| Provincial Government of Pontevedra (Galicia) | 7 | 6 | 27 | 9 |
| Provincial Government of Vigo (Galicia) | 9 | 6 | 38 | 8 |
| Provincial Government of A Coruña (Galicia) | 9 | 7 | 39 | 11 |
| Provincial Government of Oviedo (Principado de Asturias) | 6 | 5 | 37 | 7 |
| Provincial Government of Gijón (Principado de Asturias) | 6 | 4 | 31 | 15 |
| Provincial Government of Valencia (Comunidad Valenciana) | 14 | 11 | 58 | 18 |
| Provincial Government of Alicante (Comunidad Valenciana) | 11 | 9 | 48 | 20 |
| Provincial Government of Elche (Comunidad Valenciana) | 9 | 7 | 37 | 11 |
| Regional Government of La Rioja | 8 | 7 | 28 | 12 |
| TOTAL | 302 | 205 | 1462 | 443 |
| Total Tourist Planners Who Were Invited | Total Tourist Planners Who Accepted | Total Tourist Offices Who Were Invited | Total Tourist Offices Who Accepted |
|---|---|---|---|
| 31 | 21 | 38 | 38 |
| Constructs | Indicators |
|---|---|
| OB | OB1: Realistic objectives fully adapted and integrated into the destination framework [1,12,15,16,38]. |
| OB2: Objectives based on the previous study [15,16]. | |
| OB3: Resilient goals [15,16,38]. | |
| ST | ST1: Carry out an in-depth initial study [39,40,43]. |
| ST2: Take the resident community into account [4,30,31,44,45]. | |
| ST3: Teams of professionals with varied technical profiles [17,48]. | |
| DE | DE1: Economic, social and environmental imbalance [16,51]. |
| DE2: Failing to position itself as a consolidated tourist destination [24]. | |
| FE | FE1: Take into account multiple factors when planning [14,60,63,64]. |
| FE2: Participation of the resident community [21,45,46]. |
| FE | ST | DE | OB | |
|---|---|---|---|---|
| FE1 | 0.928 | |||
| FE2 | 0.932 | |||
| ST1 | 0.928 | |||
| ST2 | 0.905 | |||
| ST3 | 0.934 | |||
| DE1 | 0.946 | |||
| DE2 | 0.949 | |||
| OB1 | 0.946 | |||
| OB2 | 0.937 |
| Cronbach’s Alpha | rho_A | CR | AVE | |
|---|---|---|---|---|
| FE | 0.844 | 0.844 | 0.927 | 0.865 |
| ST | 0.912 | 0.914 | 0.945 | 0.851 |
| DE | 0.886 | 0.886 | 0.946 | 0.897 |
| OB | 0.873 | 0.876 | 0.940 | 0.887 |
| Fornell–Larcker Criteria | ||||
| FE | ST | DE | OB | |
| FE | 0.930 | |||
| ST | 0.720 | 0.922 | ||
| DE | 0.706 | 0.751 | 0.947 | |
| OB | 0.705 | 0.704 | 0.714 | 0.942 |
| FE | ST | DE | OB | |
|---|---|---|---|---|
| FE | ||||
| ST | 0.820 | |||
| DE | 0.816 | 0.834 | ||
| OB | 0.819 | 0.787 | 0.811 |
| Path Coefficient (β) | Low Interval | High Interval | T Statistics | p Values | |
|---|---|---|---|---|---|
| FE -> ST | 0.720 | 0.667 | 0.773 | 22.182 | 0.000 *** |
| FE -> DE | 0.230 | 0.142 | 0.324 | 4.082 | 0.000 *** |
| FE -> OB | 0.411 | 0.287 | 0.531 | 5.586 | 0.000 *** |
| ST -> DE | 0.390 | 0.265 | 0.515 | 5.062 | 0.000 *** |
| ST -> OB | 0.408 | 0.281 | 0.531 | 5.446 | 0.000 *** |
| DE -> OB | 0.277 | 0.166 | 0.382 | 4.062 | 0.000 *** |
| R2 | Q2 | |
|---|---|---|
| ST | 0.518 | 0.437 |
| DE | 0.653 | 0.574 |
| OB | 0.577 | 0.504 |
| Hypothesis | Theory | Results |
|---|---|---|
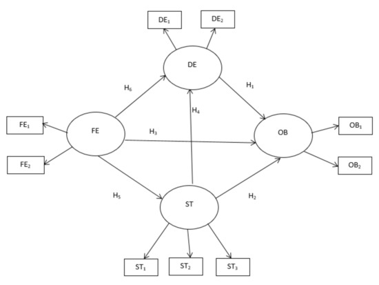
| (H1). Dysfunctional elements of tourism planning (DE) influence the determination of objectives in tourism planning (OB). | The objectives have to be realistic with the territory [15,16]. The capacities of the territory and the wishes of the resident community must be taken into account [1,13,14]. Objectives have to be updated to changes in the environment [39,40,41]. | DE -> OB β: 0.277 T: 4.062 |
| (H2). A study of the territory (ST) affects the determination of the objectives in tourism planning (OB). | The proposed objectives meet short-term economic criteria and are not based on a previous study [12,15,16]. The proposed objectives are not consistent with the reality of the territory [1,15,16,38,39,40,41,42]. | ST -> OB β: 0.408 T: 5.446 |
| (H3). The functional and multidisciplinary elements of tourism (FE) affect the determination of the objectives in tourism planning (OB). | Destination planning should be carried out by professionals with multidisciplinary technical profiles [17,48]. The objectives must meet different criteria (economic, social and environmental) [39,42,43,44,45]. | FE -> OB β: 0.411 T: 5.586 |
| (H4). The study of the territory to be planned (ST) influences the dysfunctional elements of tourism planning (DE). | A socioeconomic and environmental study is necessary before planning a territory [39,40,41]. The study must take into account physical, financial, organisational and social elements [31,43,44,45,63]. Tourism development must be gradual to avoid an economic, social and environmental imbalance [48,49,50,52,56,58]. | ST -> DE β: 0.390 T: 5.062 |
| (H5). The functional and multidisciplinary elements of tourism (FE) affect the study of the territory to be planned (ST). | A holistic perspective is necessary in determining the study of the territory [17,20,46,48]. The study has to consider the multiple characteristic elements of tourism [13,17,46,48,62]. | FE -> ST β: 0.720 T: 22.182 |
| (H6). The functional and multidisciplinary elements of tourism (FE) influence the dysfunctional elements of tourism planning (DE). | To avoid future problems due to tourism development, elements related to the environment, transport, services, infrastructure or population will be taken into account in the planning [13,14,17,18,19,24,31,45,46,54,59,60,62,66]. | FE -> DE β: 0.230 T: 4.082 |
Publisher’s Note: MDPI stays neutral with regard to jurisdictional claims in published maps and institutional affiliations. |
© 2022 by the authors. Licensee MDPI, Basel, Switzerland. This article is an open access article distributed under the terms and conditions of the Creative Commons Attribution (CC BY) license (https://creativecommons.org/licenses/by/4.0/).
Share and Cite
Leal-Solís, A.; Robina-Ramírez, R. Tourism Planning in Underdeveloped Regions—What Has Been Going Wrong? The Case of Extremadura (Spain). Land 2022, 11, 663. https://doi.org/10.3390/land11050663
Leal-Solís A, Robina-Ramírez R. Tourism Planning in Underdeveloped Regions—What Has Been Going Wrong? The Case of Extremadura (Spain). Land. 2022; 11(5):663. https://doi.org/10.3390/land11050663
Chicago/Turabian StyleLeal-Solís, Ana, and Rafael Robina-Ramírez. 2022. "Tourism Planning in Underdeveloped Regions—What Has Been Going Wrong? The Case of Extremadura (Spain)" Land 11, no. 5: 663. https://doi.org/10.3390/land11050663
APA StyleLeal-Solís, A., & Robina-Ramírez, R. (2022). Tourism Planning in Underdeveloped Regions—What Has Been Going Wrong? The Case of Extremadura (Spain). Land, 11(5), 663. https://doi.org/10.3390/land11050663

