Machine Learning Techniques for Estimating Hydraulic Properties of the Topsoil across the Zambezi River Basin
Abstract
:1. Introduction
- Evaluate the performance of five alternative deterministic DSM models (1) multiple linear regression, (2) artificial neural network, (3) gradient boosted regression trees, (4) random forest and (5) support vector machine using easily available environmental covariates.
- Verify whether the performance can be improved by accounting for the spatial autocorrelation among residuals from all five deterministic models, and by conducting residual kriging.
- Establish the most appropriate technique after comparing the prediction performance of all five deterministic models each with and without related residual kriging.
2. Materials and Methods
2.1. Study Area
2.2. Soil Hydraulic Data
2.3. Environmental Covariates
2.3.1. Soil (S)
2.3.2. Climate (C)
2.3.3. Organisms (O)
2.3.4. Relief (R)
2.3.5. Parent Material (P)
| Abbreviation | Covariate | Type of Data | Spatial Resolution | Units | Range of Values (ZRB) | Source |
|---|---|---|---|---|---|---|
| Soil factor | ||||||
| SOL | Soil class map | Categorical | 250 m | RSG | 24 classes | Soil Map of Africa; SOTER SAF & Malawi [43,44,45] |
| SND | Sand | Continuous | “ | % | 18–95 | SoilGrids [53] |
| CLY | Clay | “ | “ | “ | 3–72 | “ |
| SLT | Silt | “ | “ | “ | 1–47 | “ |
| BLD | Bulk Density | “ | “ | kg·m−3 | 881–1849 | “ |
| OC | Organic Carbon | “ | “ | “ | 30–300 | “ |
| PH | Soil pH(H2O) | “ | “ | – | 4.5–8.5 | “ |
| BED | Depth to Bedrock | Continuous | “ | m | 0–2 | “ |
| Climate factor | ||||||
| PET | Potential Evapotranspiration | “ | “ | “ | 1000–2500 | Global Aridity Index and PET Database [54] |
| BIO1 | Annual Mean Temperature | “ | “ | °C | 10–26 | WorldClim database [48] |
| BIO2 | Mean Diurnal Range | “ | “ | “ | 7–22 | “ |
| BIO3 | Isothermality | “ | “ | % | 52–74 | “ |
| BIO4 | Temperature Seasonality | “ | “ | – | 146–386 | “ |
| BIO5 | Max Temperature of Warmest Month | “ | “ | °C | 17–37 | “ |
| BIO6 | Min Temperature of Coldest Month | “ | “ | “ | 2–17 | “ |
| BIO7 | Temperature Annual Range | “ | “ | “ | 14–30 | “ |
| BIO8 | Mean Temperature of Wettest Quarter | “ | “ | “ | 12–29 | “ |
| BIO9 | Mean Temperature of Driest Quarter | “ | “ | “ | 8–24 | “ |
| BIO10 | Mean Temperature of Warmest Quarter | “ | “ | “ | 12–30 | “ |
| BIO11 | Mean Temperature of Coldest Quarter | “ | “ | “ | 7–23 | “ |
| BIO12 | Annual precipitation | “ | 1000 m | mm | 400–2200 | “ |
| BIO13 | Precipitation of Wettest Month | “ | “ | mm | 150–650 | “ |
| BIO14 | Precipitation of Driest Month | “ | “ | “ | 0–40 | “ |
| BIO15 | Precipitation Seasonality | “ | “ | “ | 75–136 | “ |
| BIO16 | Precipitation of Wettest Quarter | “ | “ | “ | 200–1340 | “ |
| BIO17 | Precipitation of Driest Quarter | “ | “ | “ | 0–126 | “ |
| BIO18 | Precipitation of Driest Quarter | “ | “ | “ | 74–760 | “ |
| BIO19 | Precipitation of Coldest Quarter | “ | “ | “ | 0–160 | “ |
| Organism, landcover factor | ||||||
| LAN | Land use map | Categorical | 20 m | – | 10 classes | Land Cover data of Africa [55] |
| EX1 | Enhanced Vegetation Index (EVI) for Jan. & Feb. | Continuous | 250 m | “ | −1–1 | MODIS Enhanced Vegetation Index [56] |
| EX2 | EVI for March & April | “ | “ | “ | “ | “ |
| EX3 | EVI for May & June | “ | “ | “ | “ | “ |
| EX4 | EVI for July & August | “ | “ | “ | “ | “ |
| EX5 | EVI, September & October | “ | “ | “ | “ | “ |
| EX6 | EVI, November & December | “ | “ | “ | “ | “ |
| FORTC | Forest Tree Cover | “ | 90 m | % | 0–100 | Hansen tree cover data of 2000 [57] |
| Relief, topography factor | ||||||
| ELE | Elevation | Continuous | 90 m | m | 0–2500 | SRTM void filled data [57,58] |
| TRI | Terrain Ruggedness Index | “ | “ | “ | 0–32 | Derived from SRTM data |
| VTR | Vector Terrain Ruggedness | “ | “ | – | −0.2–0.60 | “ |
| LSF | LS-factor | “ | “ | “ | 0–11 | “ |
| SLP | Slope | “ | “ | Radians | 0–0.51 | “ |
| CRD | Local Downslope Curvature | “ | “ | “ | −1.15–0.50 | “ |
| UPCUR | Upslope Curvature | “ | “ | “ | −0.15–0.5 | “ |
| DNCUR | Downslope Curvature | “ | “ | “ | −0.55–0.28 | “ |
| MRN | Melton Ruggedness Number | “ | “ | – | 0–10 | “ |
| SPI | Stream Power Index | “ | “ | “ | 0–20000 | “ |
| TWI | Topographic Wetness Index | “ | “ | – | 4–16 | “ |
| FOR | Landforms map | Categorical | “ | “ | 16 classes | “ |
| VBF | Valley Bottom Flatness | Continuous | “ | “ | 0–11 | “ |
| CRU | Local Upslope Curvature | “ | “ | Radians | −0.65–0.62 | “ |
| TPI | Topographic Position Index | “ | “ | – | −8–10 | “ |
| POS | Positive Openness | “ | “ | “ | 1.2–1.6 | “ |
| NEG | Negative Openness | “ | “ | “ | 1.3–1.6 | “ |
| DVM | Deviation from Mean Value | “ | “ | “ | −210–218 | “ |
| GECUR | General Curvature | “ | “ | Radians | −0.5–0.6 | “ |
| PRCUR | Profile Curvature | “ | “ | “ | −0.1–0.4 | “ |
| PLCUR | Plan Curvature | “ | “ | “ | −0.4–0.5 | “ |
| TACUR | Tangential Curvature | “ | “ | “ | −0.14–0.2 | “ |
| VDP | Valley Depth | “ | “ | m | 4–1026 | “ |
| LOCUR | Local Curvature | “ | “ | Radians | −0.55–0.68 | “ |
| CSCUR | Cross Sectional Curvature | “ | “ | “ | −0.03–0.05 | “ |
| CONVI | Convergence Index | “ | “ | “ | −81–75 | “ |
| CNBL | Channel Network Base Level | “ | “ | m | 17–1722 | “ |
| LNCUR | Longitudinal Curvature | “ | “ | Radians | −0.05–0.06 | “ |
| ASP | Aspect | “ | “ | “ | 0–7 | “ |
| Parent material factor | ||||||
| LIT | Lithology map | Categorical | 100 m | – | 20 classes | Africa Surface Lithology [59] |
| Soil Class/RSG | Code | Land Use | Code | Lithology | Code | Landforms | Code |
|---|---|---|---|---|---|---|---|
| Acrisols | 1 | Tree Cover | 1 | Calcareous rocks | 1 | Very steep slope, high convexity | 1 |
| Alisols | 2 | Shrubs | 2 | Karst rocks | 2 | Very steep slope, high convexity | 2 |
| Andosols | 3 | Grasslands | 3 | Calcareous sedimentary rocks | 3 | Very steep slope, low convexity | 3 |
| Arenosols | 4 | Croplands | 4 | Meta-sedimentary rocks | 4 | Very steep slope, low convexity | 4 |
| Calcisols | 5 | Vegetation/Wetlands | 5 | Alkaline intrusive volcanic rocks | 5 | Steep slope, high convexity | 5 |
| Cambisols | 6 | Sparse vegetation | 6 | Silicic rocks | 6 | Steep slope, high convexity | 6 |
| Chernozems | 7 | Bare areas | 7 | Meta-igneous rocks | 7 | Steep slope, low convexity | 7 |
| Durisols | 8 | Built up areas | 8 | Ultramafic rocks | 8 | Steep slope, low convexity | 8 |
| Ferralsols | 9 | / | / | Extrusive volcanic rocks | 9 | Moderate slope, high convexity | 9 |
| Fluvisols | 10 | Open water bodies | 10 | Colluvium sediments | 10 | Moderate slope, high convexity | 10 |
| Gleysols | 11 | Water saturated and Organic sediments | 11 | Moderate slope, low convexity | 11 | ||
| Histosols | 12 | Aeolian sediments | 12 | Moderate slope, low convexity | 12 | ||
| Leptosols | 13 | Alluvium-(Fan deposits) | 13 | Gentle slope, high convexity | 13 | ||
| Lixisols | 14 | Alluvium-(Fluvial deposits) | 14 | Gentle slope, high convexity | 14 | ||
| Luvisols | 15 | Alluvium-(Beach & coastal deposits) | 15 | Gentle slope, low convexity | 15 | ||
| Nitisols | 16 | Alluvium-(Saline deposits) | 16 | Gentle slope, low convexity | 16 | ||
| Phaeozems | 17 | / | / | ||||
| Planosols | 18 | Alluvium-(other) | 18 | ||||
| Podzols | 19 | Volcanic-(Ash mudflow) | 19 | ||||
| Regosols | 20 | Water bodies | 20 | ||||
| Solonchaks | 21 | ||||||
| Solonets | 22 | ||||||
| Umbrisols | 23 | ||||||
| Vertisols | 24 |
2.4. Covariate Selection
2.5. Deterministic SCORPAN Models, Training, and Testing
2.6. Spatial Autocorrelation and Model Validation
3. Results
3.1. Selected Covariates
3.2. Spatial Autocorrelation
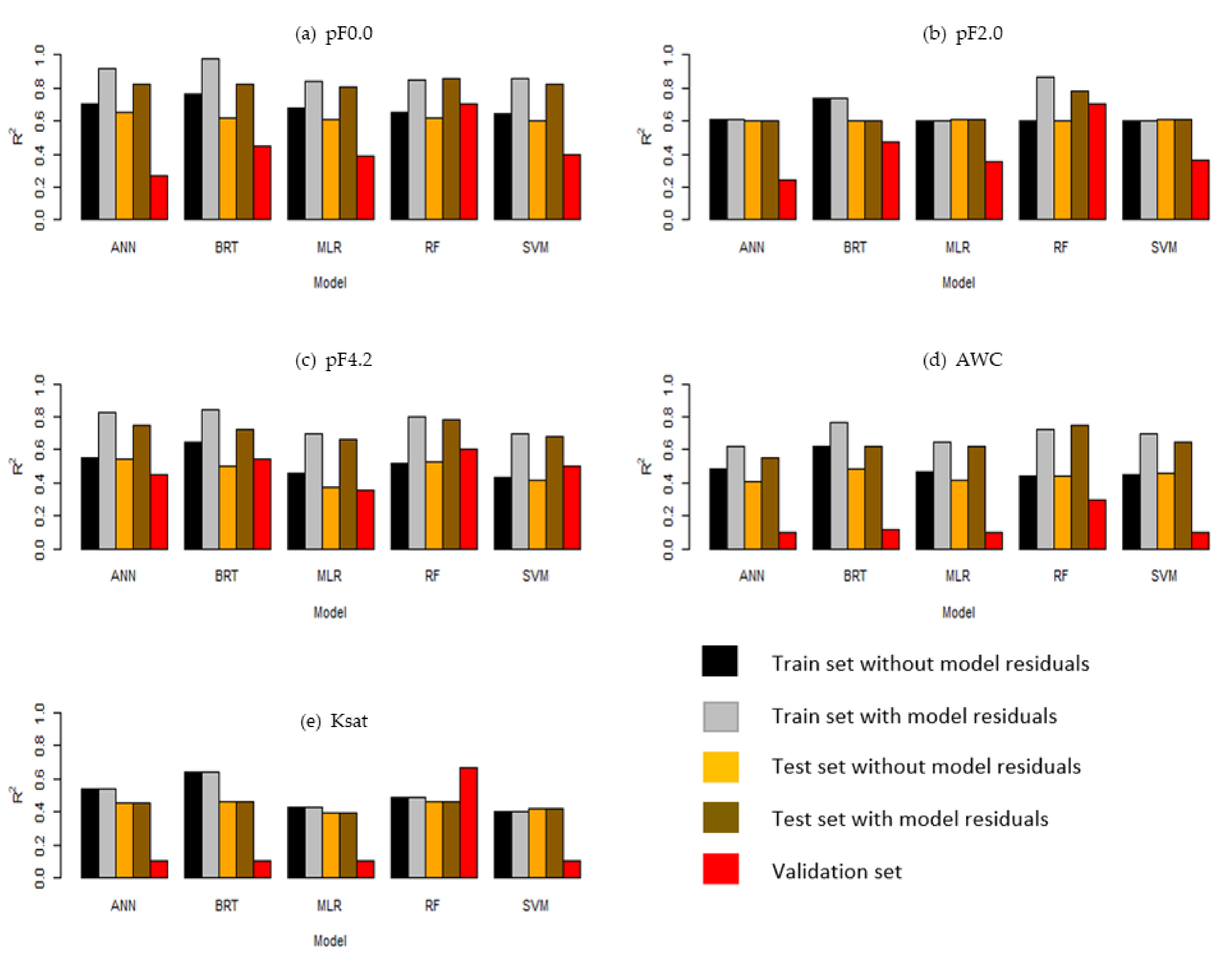
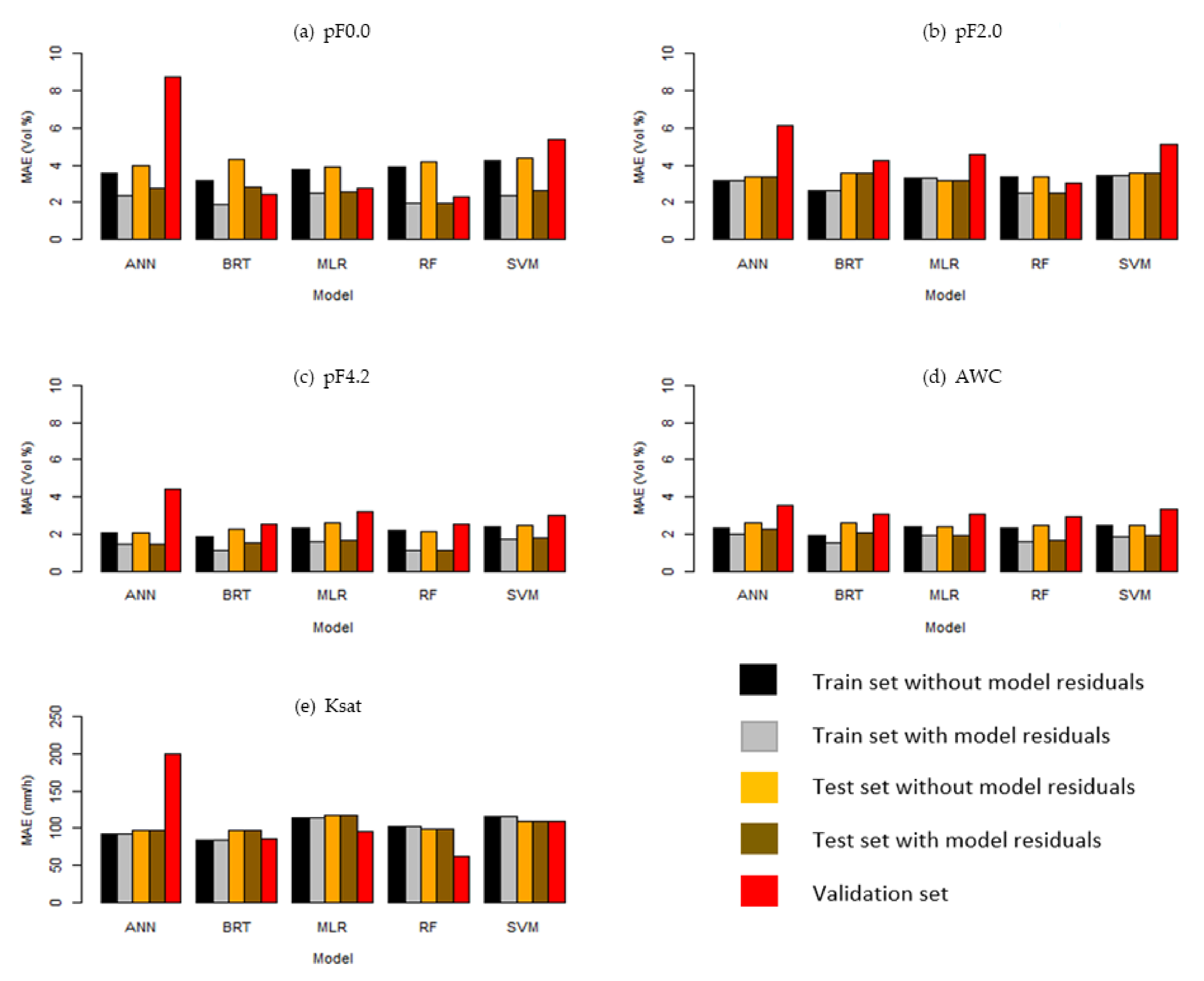
3.3. Model Performance Evaluation
3.4. Digital Soil Maps
4. Discussion
5. Conclusions
Author Contributions
Funding
Institutional Review Board Statement
Informed Consent Statement
Data Availability Statement
Acknowledgments
Conflicts of Interest
References
- FAO Challenges and Policies for the World Agricultural and Food Economy in the 2050 Perspective. In Looking Ahead in World Food and Agriculture: Perspectives to 2050; Piero, C.; Sarris, A. (Eds.) Office of Knowledge Exchange, Research and Extension, FAO: Rome, Italy, 2011; pp. 233–275. [Google Scholar]
- Montzka, C.; Herbst, M.; Weihermüller, L.; Verhoef, A.; Vereecken, H. A Global Data Set of Soil Hydraulic Properties and Sub-Grid Variability of Soil Water Retention and Hydraulic Conductivity Curves. Earth Syst. Sci. Data 2017, 9, 529–543. [Google Scholar] [CrossRef] [Green Version]
- Cai, X.; Altchenko, Y.; Chavula, G. The Zambezi River Basin: Water and Sustainable Development, Earthscan/IWMI Series on Major River Basins of the World. In Availability and Use of Water Resources; Lautze, J., Phiri, Z., Smakhtin, V., Saruchera, D., Eds.; Routledge: London, UK; Taylor & Francis Group: New York, NY, USA, 2017; pp. 7–28. [Google Scholar]
- World Bank. The Zambezi River Basin: A Multi-Sector Investment Opportunity Volume 2 Basin Development Scenarios; The World Bank: Washington, DC, USA, 2010; pp. 1–106. [Google Scholar]
- Beilfuss, R. A Risky Climate for Southern African Hydro: Assessing Hydrological Risks and Consequences for Zambezi River Basin Dams; International Rivers: Berkeley, CA, USA, 2012; pp. 1–40. [Google Scholar]
- Sinclair, S.; Kleinschroth, F.; Koroleva, K.; Miranda, D.; Micotti, M.; Battista, G.; Hillen, R.; Giuliani, M.; Calamita, E.; Burlando, P. A Decision-Analytic Framework to Explore the Water-Energy-Food NExus in Complex and Transboundary Water Resources Systems of Fast Growing Developing Countries. Integrated Model of the Wef Nexus; EU H2020 Project Grant No. 690268; Politecnico di Milano: Milano, Italy, 2019; pp. 1–45. [Google Scholar]
- Ciarapica, L.; Todini, E. TOPKAPI: A Model for the Representation of the Rainfall-Runoff Process at Different Scales. Hydrol. Processes 2002, 16, 207–229. [Google Scholar] [CrossRef]
- Peng, D.; Zhijia, L.; Zhiyu, L. Numerical Algorithm of Distributed TOPKAPI Model and Its Application. Water Sci. Eng. 2008, 1, 14–21. [Google Scholar] [CrossRef]
- Todini, E. The ARNO Rainfall-Runoff Model. J. Hydrol. 1996, 175, 339–382. [Google Scholar] [CrossRef]
- Steduto, P.; Hsiao, T.C.; Raes, D.; Fereres, E. Aquacrop—The FAO Crop Model to Simulate Yield Response to Water: I. Concepts and Underlying Principles. Agron. J. 2009, 101, 426–437. [Google Scholar] [CrossRef] [Green Version]
- Kalumba, M.; Bamps, B.; Nyambe, I.; Dondeyne, S.; Van Orshoven, J. Development and Functional Evaluation of Pedotransfer Functions for Soil Hydraulic Properties for the Zambezi River Basin. Eur. J. Soil Sci. 2020, 72, 1559–1574. [Google Scholar] [CrossRef]
- McBratney, A.B.; Mendonça-Santos, M.L.; Minasny, B. On Digital Soil Mapping. Geoderma 2003, 117, 3–52. [Google Scholar] [CrossRef]
- Maza León, A.P. Comparing Digital Soil Mapping Techniques to Predict Soil Organic Carbon Content and Stock in the Lower Shire Valley of Malawi (Master Dissertation); University of Leuven: Leuven, Belgium, 2020. [Google Scholar]
- Jenny, H. Factors of Soil Formation. A System of Quantitative Pedology; Dover Publications, Inc.: New York, NY, USA, 1941; ISBN 0486681289. [Google Scholar]
- Nussbaum, M.; Spiess, K.; Baltensweiler, A.; Grob, U.; Keller, A.; Greiner, L. Evaluation of Digital Soil Mapping Approaches with Large Sets of Environmental Covariates. Soil 2018, 4, 1–22. [Google Scholar] [CrossRef] [Green Version]
- Cressie, N.A. Statistics for Spatial Data; John Wiley & Sons, Inc.: New York, NY, USA, 1991. [Google Scholar]
- Isaaks, E.H.; Srivastava, R. An Introduction to Applied Geostatistics; Oxford University Press: Oxford, UK, 1989. [Google Scholar]
- Sindayihebura, A.; Ottoy, S.; Dondeyne, S.; Van Meirvenne, M.; Orshoven, J. Van Comparing Digital Soil Mapping Techniques for Organic Carbon and Clay Content: Case Study in Burundi’s Central Plateaus. CATENA 2017, 156, 161–175. [Google Scholar] [CrossRef]
- Matheron, G. Principals of Geostatistics. Econ. Geol. 1963, 58, 1246–1266. [Google Scholar] [CrossRef]
- Hengl, T.; Heuvelink, G.B.M.; Stein, A. A Generic Framework for Spatial Prediction of Soil Variables Based on Regression-Kriging. Geoderma 2004, 120, 75–93. [Google Scholar] [CrossRef] [Green Version]
- Goovaerts, P. Geostatistics for Natural Resources Evaluation; Oxford University Press: Oxford, UK, 1997. [Google Scholar]
- Aitkenhead, M.J.; Coull, M.C. Mapping Soil Carbon Stocks across Scotland Using a Neural Network Model. Geoderma 2016, 262, 187–198. [Google Scholar] [CrossRef]
- Khaledian, Y.; Miller, B.A. Selecting Appropriate Machine Learning Methods for Digital Soil Mapping. Appl. Math. Model. 2020, 81, 401–418. [Google Scholar] [CrossRef]
- Minasny, B.; McBratney, A.B. Digital Soil Mapping: A Brief History and Some Lessons. Geoderma 2016, 264, 301–311. [Google Scholar] [CrossRef]
- Wadoux, A.M.J.C.; Minasny, B.; McBratney, A.B. Machine Learning for Digital Soil Mapping: Applications, Challenges and Suggested Solutions. Earth-Sci. Rev. 2020, 210, 1–17. [Google Scholar] [CrossRef]
- Derin, Y.; Yilmaz, K.K. Evaluation of Multiple Satellite-Based Precipitation Products over Complex Topography. J. Hydrometeorol. 2014, 15, 1498–1516. [Google Scholar] [CrossRef] [Green Version]
- Mei, Y.; Nikolopoulos, E.I.; Anagnostou, E.N.; Borga, M. Evaluating Satellite Precipitation Error Propagation in Runoff Simulations of Mountainous Basins. J. Hydrometeorol. 2016, 17, 1407–1423. [Google Scholar] [CrossRef]
- Khan, R.S.; Bhuiyan, M.A.E. Artificial Intelligence-Based Techniques for Rainfall Estimation Integrating Multisource Precipitation Datasets. Atmosphere 2021, 12, 1239. [Google Scholar] [CrossRef]
- Hengl, T.; Mendes de Jesus, J.; Heuvelink, G.B.M.; Ruiperez Gonzalez, M.; Kilibarda, M.; Blagotić, A.; Shangguan, W.; Wright, M.N.; Geng, X.; Bauer-Marschallinger, B.; et al. SoilGrids250m: Global Gridded Soil Information Based on Machine Learning. PLoS ONE 2017, 12, e0169748. [Google Scholar] [CrossRef] [Green Version]
- Arrouays, D.; Lagacherie, P.; Hartemink, A.E. Digital Soil Mapping across the Globe. Geoderma Reg. 2017, 9, 1–4. [Google Scholar] [CrossRef]
- Minasny, B.; McBratney, A.B.; Mckenzie, N.J.; Grundy, M.J. Predicting Soil Properties Using Pedotransfer Functions and Environmental Correlation. In Guidelines for Surveying Soil and land Resources; McKenzie, N.J., Grundy, M.J., Webster, R., Ringrose-Voase, A.J., Eds.; CSIRO Publishing: Collingwood, Australia, 2008; pp. 349–367. [Google Scholar]
- Malone, B.P.; McBratney, A.B.; Minasny, B.; Laslett, G.M. Mapping Continuous Depth Functions of Soil Carbon Storage and Available Water Capacity. Geoderma 2009, 154, 138–152. [Google Scholar] [CrossRef]
- Szabó, B.; Szatmári, G.; Takács, K.; Laborczi, A.; Makó, A.; Rajkai, K. Mapping Soil Hydraulic Properties Using Random-Forest-Based Pedotransfer Functions and Geostatistics. Hydrol. Earth Syst. Sci. 2019, 23, 2615–2635. [Google Scholar] [CrossRef] [Green Version]
- World Bank. The Zambezi River Basin: A Multi-Sector Investment Opportunities Analysis. Volume 3, State of the Basin; The World Bank: Washington, DC, USA, 2010; pp. 1–106. [Google Scholar]
- Nugent, C. The Zambezi River: Tectonism, Climatic Change and Drainage Evolution. Palaeogeogr. Palaeoclimatol. Palaeoecol. 1990, 78, 55–69. [Google Scholar] [CrossRef]
- Key, R.M.; Cotterill, F.P.D.; Moore, A.E. The Zambezi River: An Archive of Tectonic Events Linked to the Amalgamation and Disruption of Gondwana and Subsequent Evolution of The African Plate. S. Afr. J. Geol. 2015, 118, 425–438. [Google Scholar] [CrossRef]
- Nyambe, I.A.; Dixon, O. Sedimentology of the Madumabisa Mudstone Formation (Late Permian), Lower Karoo Group, Mid-Zambezi Valley Basin, Southern Zambia. J. Afr. Earth Sci. 2000, 30, 535–553. [Google Scholar] [CrossRef]
- Leenaers, H. Estimating the Impact of Land Use Change on Soil Erosion Hazard in the Zambezi River Basin; 90-024; IIASA: Laxenburg, Austria, 1990. [Google Scholar]
- Batjes, N.H.; Ribeiro, E.; Oostrum, A. Van Standardised Soil Profile Data to Support Global Mapping and Modelling (WoSIS Snapshot 2019). Earth Syst. Sci. Data 2019, 1–46. [Google Scholar] [CrossRef]
- Leenaars, J.G.B.; van Oostrum, A.J.; Gonzalez, M.R. Africa Soil Profiles Database, Version 1.2. A Compilation of Georeferenced and Standardised Legacy Soil Profile Data for Sub-Saharan Africa (with Dataset). ISRIC Report 2014/01. Africa Soil Information Service (AfSIS) Project and ISRIC—World Soil Inform; ISRIC—World Soil Information: Wageningen, The Netherlands, 2014; pp. 1–166. [Google Scholar]
- Samuel-Rosa, A.; Heuvelink, G.B.M.; Vasques, G.M.; Anjos, L.H.C. Do More Detailed Environmental Covariates Deliver More Accurate Soil Maps? Geoderma 2015, 243–244, 214–227. [Google Scholar] [CrossRef]
- Baboo, D.S.S.; Devi, M.R. An Analysis of Different Resampling Methods in Coimbatore, District. Glob. J. Comput. Sci. Technol. 2010, 10, 61–66. [Google Scholar]
- Dewitte, O.; Jones, A.; Spaargaren, O.; Breuning-Madsen, H.; Brossard, M.; Dampha, A.; Deckers, J.; Gallali, T.; Hallett, S.; Jones, R.; et al. Harmonisation of the Soil Map of Africa at the Continental Scale. Geoderma 2013, 211–212, 138–153. [Google Scholar] [CrossRef] [Green Version]
- Dijkshoorn, J.A. SOTER Database for Southern Africa (SOTERAF); ISRIC—World Soil Information: Wageningen, The Netherlands, 2003. [Google Scholar]
- Dijkshoorn, J.A.; Huting, J.; Kempen, B. Soil and Terrain Database of the Republic of Malawi; Report 2016/01; ISRIC—World Soil Information: Wageningen, The Netherlands, 2016. [Google Scholar]
- IUSS Working Group WRB. World Reference Base for Soil Resources 2006, First Update 2007; FAO: Rome, Italy, 2007. [Google Scholar]
- Boettinger, J.L.; Ramsey, R.D.; Bodily, J.M.; Cole, N.J.; Kienast-Brown, S.; Nield, S.J.; Saunders, A.M.; Stum, A.K. Landsat Spectral Data for Digital Soil Mapping. In Digital Soil Mapping with Limited Data; Hartemink, A.E., McBratney, A., Mendonça-Santos, M.D.L., Eds.; Springer: New York, NY, USA, 2008; pp. 193–202. [Google Scholar]
- Fick, S.E.; Hijmans, R.J. WorldClim 2: New 1-km Spatial Resolution Climate Surfaces for Global Land Areas. Int. J. Climatol. 2017, 37, 4302–4315. [Google Scholar] [CrossRef]
- Savtchenko, A.; Ouzounov, D.; Ahmad, S.; Acker, J.; Leptoukh, G.; Koziana, J.; Nickless, D. Terra and Aqua MODIS Products Available from NASA GES DAAC. Adv. Sp. Res. 2004, 34, 710–714. [Google Scholar] [CrossRef]
- Hansen, M.C.; Potapov, P.V.; Moore, R.; Hancher, M.; Turubanova, S.A.; Tyukavina, A.; Thau, D.; Stehman, S.V.; Goetz, S.J.; Loveland, T.R.; et al. High-Resolution Global Maps of 21st-Century Forest Cover Change. Science 2013, 342, 850–853. [Google Scholar] [CrossRef] [Green Version]
- Conrad, O.; Bechtel, B.; Bock, M.; Dietrich, H.; Fischer, E.; Gerlitz, L.; Wehberg, J.; Wichmann, V.; Böhner, J. System for Automated Geoscientific Analyses (SAGA) v. 2.1.4. Geosci. Model Dev. 2015, 8, 2271–2312. [Google Scholar] [CrossRef] [Green Version]
- Planchon, O.; Darboux, F. A Fast, Simple and Versatile Algorithm to Fill the Depressions of Digital Elevation Models. CATENA 2002, 46, 159–176. [Google Scholar] [CrossRef]
- Poggio, L.; De Sousa, L.M.; Batjes, N.H.; Heuvelink, G.B.M.; Kempen, B.; Ribeiro, E.; Rossiter, D. SoilGrids 2.0: Producing Soil Information for the Globe with Quantified Spatial Uncertainty. Soil 2021, 7, 217–240. [Google Scholar] [CrossRef]
- Zomer, R.J.; Trabucco, A.; Bossio, D.A.; Verchot, L.V. Climate Change Mitigation: A Spatial Analysis of Global Land Suitability for Clean Development Mechanism Afforestation and Reforestation. Agric. Ecosyst. Environ. 2008, 126, 67–80. [Google Scholar] [CrossRef]
- CCI Land Cover (LC) Team. CCI Land Cover—S2 Prototype Land Cover 20 m Map of Africa. 2016. Available online: https://2016africalandcover20m.esrin.esa.int/ (accessed on 6 March 2022).
- Didan, K. MOD13Q1 MODIS/Terra Vegetation Indices 16-Day L3 Global 250 m SIN Grid V 006; 2015. Available online: https://lpdaac.usgs.gov/products/mod13q1v006/ (accessed on 6 March 2022).
- USGS NASA Shuttle Radar Topography Mission (SRTM) Global 1 Arc Second Dataset (SRTMGL1), Digital Elevation. Available online: https://www.usgs.gov/centers/eros/science/usgs-eros-archive-digital-elevation-shuttle-radar-topography-mission-srtm-1 (accessed on 6 March 2022).
- Earth Resources Observation and Science (EROS) Center. Shuttle Radar Topography Mis Sion (SRTM) Void Filled; 2017. Available online: https://www.usgs.gov/centers/eros/science/usgs-eros-archive-digital-elevation-shuttle-radar-topography-mission-srtm-void (accessed on 6 March 2022).
- U.S. Geological Survey, T.N.C. Africa Surficial Lithology; 2009. Available online: http://geoportal.rcmrd.org/layers/servir%3Aafrica_surface_lethology (accessed on 6 March 2022).
- R Core Team. A Language and Environment for Statistical Computing; R Foundation for Statistical Computing: Vienna, Austria, 2018. [Google Scholar]
- Kuhn, M.; Johnson, K. Applied Predictive Modeling; Springer: New York, NY, USA, 2013; ISBN 978-1-4614-6848-6. [Google Scholar]
- Pebesma, E.J. Multivariable Geostatistics in S: The Gstat Package. Comput. Geosci. 2004, 30, 683–691. [Google Scholar] [CrossRef]
- Chen, L.; Ren, C.; Li, L.; Wang, Y.; Zhang, B.; Wang, Z.; Li, L. A Comparative Assessment of Geostatistical, Machine Learning, and Hybrid Approaches for Mapping Topsoil Organic Carbon Content. ISPRS Int. J. Geo-Inf. 2019, 8, 174. [Google Scholar] [CrossRef] [Green Version]
- Sun, W.; Minasny, B.; McBratney, A. Analysis and Prediction of Soil Properties Using Local Regression-Kriging. Geoderma 2012, 171–172, 16–23. [Google Scholar] [CrossRef]
- Yao, X.; Sun, F.; Wang, S.; Liu, M.; Fu, B.; Lu, Y. Comparison of Four Spatial Interpolation Methods for Estimating Soil Moisture in a Complex Terrain Catchment. PLoS ONE 2013, 8, e54660. [Google Scholar] [CrossRef]









Publisher’s Note: MDPI stays neutral with regard to jurisdictional claims in published maps and institutional affiliations. |
© 2022 by the authors. Licensee MDPI, Basel, Switzerland. This article is an open access article distributed under the terms and conditions of the Creative Commons Attribution (CC BY) license (https://creativecommons.org/licenses/by/4.0/).
Share and Cite
Kalumba, M.; Nyirenda, E.; Nyambe, I.; Dondeyne, S.; Van Orshoven, J. Machine Learning Techniques for Estimating Hydraulic Properties of the Topsoil across the Zambezi River Basin. Land 2022, 11, 591. https://doi.org/10.3390/land11040591
Kalumba M, Nyirenda E, Nyambe I, Dondeyne S, Van Orshoven J. Machine Learning Techniques for Estimating Hydraulic Properties of the Topsoil across the Zambezi River Basin. Land. 2022; 11(4):591. https://doi.org/10.3390/land11040591
Chicago/Turabian StyleKalumba, Mulenga, Edwin Nyirenda, Imasiku Nyambe, Stefaan Dondeyne, and Jos Van Orshoven. 2022. "Machine Learning Techniques for Estimating Hydraulic Properties of the Topsoil across the Zambezi River Basin" Land 11, no. 4: 591. https://doi.org/10.3390/land11040591
APA StyleKalumba, M., Nyirenda, E., Nyambe, I., Dondeyne, S., & Van Orshoven, J. (2022). Machine Learning Techniques for Estimating Hydraulic Properties of the Topsoil across the Zambezi River Basin. Land, 11(4), 591. https://doi.org/10.3390/land11040591

