Abstract
Studies suggest that, unlike the situation in temperate lakes, high biomasses of omnivorous fish are maintained in subtropical and tropical lakes when they shift from a turbid phytoplankton-dominated state to a clear water macrophyte-dominated state, and the predation pressure on large-bodied zooplankton therefore remains high. Whether this reflects a higher degree of herbivory in warm lakes than in temperate lakes is debatable. We combined food web studies using stable isotopes with gut content analyses of the most dominant fish species to elucidate similarities and differences in food web structure between a clear water macrophyte-dominated basin (MDB) and a turbid phytoplankton-dominated basin (PDB) of Huizhou West Lake, a shallow tropical Chinese lake. The δ13C–δ15N biplot of fish and invertebrates revealed community-wide differences in isotope-based metrics of the food webs between MDB and PDB. The range of consumer δ15N (NR) was lower in MDB than in PDB, indicating shorter food web length in MDB. The mean nearest neighbor distance (MNND) and standard deviation around MNND (SDNND) were higher in MDB than in PDB, showing a markedly low fish trophic overlap and a more uneven packing of species in niches in MDB than in PDB. The range of fish δ13C (CR) of consumers was more extensive in MDB than in PDB, indicating a wider feeding range for fish in MDB. Mixing model results showed that macrophytes and associated periphyton constituted a large fraction of basal production sources for the fish in MDB, while particulate organic matter (POM) contributed a large fraction in PDB. In MDB, the diet of the dominant fish species, crucian carp (Carassius carassius), consisted mainly of vegetal matter (macrophytes and periphyton) and zooplankton, while detritus was the most important food item in PDB. Our results suggest that carbon from macrophytes with associated periphyton may constitute an important food resource for omnivorous fish, and this may strongly affect the feeding niche and the strength of the top-down trophic cascade between fish and zooplankton in the restored, macrophyte-dominated basin of the lake. This dual effect (consumption of macrophytes and zooplankton) may reduce the chances of maintaining the clear water state at the prevailing nutrient levels in the lake, and regular removal of large crucian carp may therefore be needed to maintain a healthy ecosystem state.
1. Introduction
Fish removal and reestablishment of the native submerged macrophyte community have been used as tools to restore temperate phytoplankton-dominated shallow lakes to a vegetated clear water state [1,2,3]. A rich submerged macrophyte community is desirable since submerged macrophytes play a key role in the ecological structuring and functioning of the lakes [4,5,6,7]. Submerged macrophytes provide a refuge to zooplankton and thereby potentially reduce the predation pressure on zooplankton, resulting in a higher zooplankton biomass and higher grazing on phytoplankton [8,9,10]. Also niche diversification and food chain length are typically higher in macrophyte-dominated temperate lakes as more basal food resources are available and the biomass and size of piscivorous fish are larger [6,11,12]. Therefore, removal of especially zooplanktivorous fish has been used to create a trophic cascade mediating increasing grazing by large-bodied zooplankton (e.g., Daphnia spp.) on phytoplankton and higher water clarity, and, thus, the eventual return of submerged macrophytes.
Whereas the effect of lake restoration by fish manipulation is well studied in temperate lakes, few comprehensive full-scale studies its effect in warm lakes are available. Trophic dynamics differ substantially between temperate and warm lakes [13,14]. The high temperatures and high primary production throughout the year in the warm lakes may break the ‘digestive constraint’ known from the temperate zone, creating a change in the composition of the fish diet. Reduced consumption of vegetable food [15] leads to dominance of omnivores and a high degree of herbivory in warm lakes [16]. Besides feeding on periphyton, some omnivorous fish such as tilapia (Oreochromis niloticus) and crucian carp also include macrophytes in their diet [17,18,19], not least at elevated temperatures [16], and can attain high biomasses when macrophytes are plentiful [20]. High abundance of fish in warm macrophyte-dominated lakes, perhaps facilitated by a high degree of omnivory, yields a high predation pressure on both zooplankton and macrophytes, possibly preventing the establishment of a stable macrophyte state in eutrophic lakes following restoration [21]. Contradicting this view, however, in subtropical Lake Taihu, China, a recent study has revealed that phytoplankton was the most important primary source of organic matter for the consumers despite that macrophytes constituted a considerable proportion of the food intake of several invertebrates and fish [22].
When in the turbid phytoplankton-dominated state, the trophic dynamics of temperate and tropical lakes are relatively similar. The share of potential piscivores is low, while the biomasses of zooplanktivorous and benthivorous fish are high [9,20,23,24,25]. Small cladocerans and cyclopoids dominate the zooplankton community [9,26,27], leading to weak grazer control of phytoplankton by zooplankton [28,29,30]. In the turbid state, habitat heterogeneity is low [31,32], and most of the energy in the benthic food web derives directly or indirectly (via sedimentation of phytoplankton and benthic pathways) from pelagic production [12,33,34]. The number of trophic species, trophic links, and the length of food chain decline with eutrophication [12,35]. However, when the lakes are clear, the fish community structure differs significantly. The relative contribution of piscivores to the fish community is higher in clear temperate lakes than in clear tropical lakes [20,31,36]. Moreover, zooplankton (cladocerans and copepods) abundance and biomass are low in the warm lakes [37], whereas in temperate lakes the biomass of zooplankton relative to phytoplankton is low only in nutrient rich shallow lakes in a turbid state [9,38]. The reason for the dominance of omnivorous fish in warm lakes may potentially reflect a higher degree of herbivory [16], but experimental evidence of this is still scarce.
In the present study, we sought to elucidate the change in food web structure occurring in a basin of a Chinese tropical eutrophic lake having undergone restoration leading to a macrophyte-dominated state (MDB) in contrast to another basin in the lake dominated by phytoplankton (PDB). We hypothesized that omnivorous fish would exhibit a high degree of herbivory in the MDB, explaining the observed high biomass of omnivores [20]. We also hypothesized that a high degree of omnivory would increase the strength of the top-down trophic cascade between fish and zooplankton in the MDB, explaining the finding of a low cladoceran biomass after restoration (Figure A1 and Figure A2 in the Appendix A, and [37]). To test this hypothesis, we compared the food webs in MDB and PDB during 2010–2011 using a 13C and 15N stable isotope approach supplemented with fish gut content analyses.
2. Methods
2.1. Study Site
Huizhou West Lake (23°06′24′′–23°04′43′′ N, 114°22′46′′–114°24′01′′ E) is a shallow, tropical, eutrophic lake located in Huizhou, Guangdong Province, China (Figure 1). The lake has a surface area of 160 ha and a mean depth of 1.5 m. Embankments divide the lake into several basins that are connected via bridge-covered waterways. The lake was dominated by submerged macrophytes before the 1960s. Following the initiation of fish aquaculture in the lake during the 1970s and increased wastewater input, the lake became eutrophic and submerged macrophytes have been absent since the 1980s [39]. In an attempt to restore the lake, biomanipulation was conducted in one of the basins (MDB, lake area 12 ha) in Huizhou West Lake by adjusting the fish population (removal of plankti-benthivorous fish and stocking of piscivores) and by transplantation of submerged macrophytes in 2007 (Figure 1). After isolating MDB from the rest of the lake, the water depth was reduced to ca. 60 cm and ca. 3432 kg·ha−1 fish, including tilapia, silver carp (Hypophthalmcihthys molitix), common carp (Cyprinus carpio), and mud carp (Cirrhina molitorella), were removed during 2007 and 2008. Submerged macrophytes, mainly Vallisneria natans, Hydrilla verticilla, and Myriophyllum spicatum, were transplanted into the basin and piscivorous fish, including snakehead fish (Channa argus) and mandarin fish (Siniperca chuatsi), were subsequently stocked at a density of 1500 fish per hectare. Before restoration, the two basins were equally turbid and water clarity was low [36,37]. Upon restoration, MDB has been characterized by clear water, low chlorophyll a, and occurrence of submerged macrophytes, mainly Vallisneria natans, which covered the majority of the basin area (>80%) during the study period [20]. Conversely, PDB (area coverage 57 ha) was turbid with high concentrations of chlorophyll a and suspended matter, and the primary producer community was dominated by phytoplankton (Table 1 and [36,40]).
Figure 1.
Location of sampling sites in Huizhou West Lake, which is divided into basins by embankments. MDB (dark gray) = restored, macrophyte-dominated basin and PDB (light gray) = unrestored, phytoplankton-dominated basin. Gray denotes other unrestored but not studied basins in Huizhou West Lake.
Table 1.
Characteristics (mean, range, and p-values of Kruskal–Wallis tests) of the restored basin of Huizhou West Lake, MDB, which is clear, has low chlorophyll a and a submerged macrophyte cover of >80%, and an unrestored basin, PDB, which is phytoplankton dominated and has high levels of chlorophyll a and suspended matter. Data are from Gao et al. [20].
2.2. Sample Collection
Sampling was conducted in MDB and PDB bimonthly in odd-numbered months from April 2010 to March 2011.
Transparency was measured using a Secchi disc. Water samples for chemical and phytoplankton analyses were collected 0.5 m below the water surface at three stations in each basin and pooled. Approximately 2.5 L of water was stored in a cooling box and transported to the lab where it was analyzed according to Chinese standard methods applied in lake eutrophication surveys [41]; basically, these correspond with US standards [42]. The chlorophyll a concentration was determined spectrophotometrically after filtering a subsample of 20 mL through cellulose acetate filters and extraction of the filtered material into 90% acetone. TP and TN concentrations in the lake water samples were determined spectrophotometrically after digestion with persulphate. Total suspended solids (TSS) was measured by filtering 1 liter of lake water through pre-weighted and pre-combusted GF/C filters (Whatman, nominal pore size 1.2 μm), which were subsequently dried at 105 °C for 24 h. Submerged macrophytes were collected from 12 randomly selected locations in each basin using a quantitative iron clamp with an area of 0.06 m2. The collected submerged macrophytes were subsequently sorted, dried at 105 °C for 24 h, and weighed to determine biomass.
Fish were caught using 20 m long and 1.2 m high gill nets with four mesh sizes (10, 15, 25, and 40 mm from knot to knot). During each sampling event, one net was set in each basin from the shore to the middle and left for two hours. Fish were classified to species according to Pan et al. [43]. We dissected tissue from 6 to 18 selected individuals of each species (or all fish if <6 were caught), covering the different size classes caught at each sampling event. Dorsal muscle tissue was removed for stable isotope analysis (SIA). Muscle samples were dried at 60 °C for 48 h and ground to a fine powder using mortar and pestle.
Sediment organic matter (SOM) was sampled with a modified Peterson grab (0.0625 m2) at three sampling sites in each basin on each sampling occasion. The samples were dried at 60 °C for 48 h and ground to a fine powder using mortar and pestle. Sediments for SIA of carbon were acid washed, rinsed, and ground prior to analysis.
Benthic macroinvertebrates were collected from the sediment samples after sieving through a 150 μm mesh sieve. However, in the MDB, phytophilous invertebrates were collected with a 64 μm mesh-sized net set at the bottom. All macroinvertebrate samples were sorted and classified and transferred to clean water in the laboratory to allow them to empty their guts. The snails and mussels were sampled with a modified Peterson grab in the middle of the basin and on the shore-side stones in MDB. In PDB, snails were collected on the shore-side stones as gastropods were absent in the middle of the basin. Only the foot tissue of mussels and snails was dissected for SIA. All samples were dried at 60 °C for 48 h and ground to a fine powder using mortar and pestle.
To analyze the stable isotope composition of POM, 2 L lake water was passed through pre-combusted GF/F filters, which were subsequently freeze dried. For stable isotope analyses, macrophyte samples were sorted into species, rinsed with distilled water, and dried at 60 °C for 48 h. Periphyton was collected from macrophytes with a wire or nylon brush in a plastic container filled with distilled water. All visible non-periphyton particles were removed manually and the periphyton samples were then filtered through a 100 μm mesh sieve, followed by filtration onto precombusted GF/F filters, which were subsequently dried at 60 °C for 48 h. Next, the dried samples of macrophytes and periphyton were ground with mortar and pestle for stable isotope analyses. Upon return to the lab, zooplankton were transferred to beakers with demineralized water to allow them to empty their guts. Here, they were left for two hours and subsequently sorted into genera, picked up by hand, and transferred to recombusted tin cups, which were subsequently freeze dried. Stable isotope data of POM, macrophytes, and zooplankton were derived from de Kluijver et al. [40], who conducted a parallel study in nearest neighbor even-numbered months in the two basins.
All stable isotope samples were stored in a desiccator containing dried allochroic silica gel before analysis.
2.3. Stable Isotope Analyses
The stable isotope samples were analyzed using an EA elemental analyzer coupled to a Hydra 20/20 isotope ratio mass spectrometer at Jinan University. Stable isotope ratios are expressed in the delta (δ) notation, defined as parts per thousand deviations from a certified standard; δ13C or δ15N = ([Rsample/Rstandard]) − 1) × 1000; and R is the ratios 13C/12C and 15N/14N. The standards for δ13C and δ15N were a secondary standard of known relation to the international standard of Vienna Pee Dee Belemnite (VPDB) and atmospheric nitrogen, respectively. The standard error of the mean for replicates of the same tissue was 0.1‰ for δ13C and 0.1‰ for δ15N.
2.4. Gut Content Analyses of Crucian Carp
The guts from 6 to 18 selected individuals of the most abundant species (crucian carp) (Table A1 in the Appendix A) covering the different size classes were preserved in 10% formalin in September and November 2010. A small part (3 cm) of the anterior of the gut was excised and excess water removed on blotting paper. The zooplankton in the gut divided into cladocerans, copepods, and rotifers according to Wang [44], Chiang and Du [45], and Sheng [46] were counted using a Nikon inverted microscope (ECLIPSE TS100, Nikon, Tokyo, Japan) at 40× magnification and converted to wet weights using length-weight relationships from Huang [47]. The frequency of occurrence of macrophytes, algae, and invertebrates in the gut were recorded. Total wet weight of the gut content was determined by weighing after removing moisture using blotting paper.
2.5. Data Analysis of the Food Web
Layman’s community-wide metrics of trophic diversity were derived from stable isotope data to describe trophic structure [48,49]. The approach was applied to the entire communities of different species or functional groups [12,48]. Although this approach ignores sample sizes and statistical comparisons [50], it incorporates each individual sampled and thus includes information about every part of the isotopic niche space occupied [51]. In brief, six metrics were derived from the spacing of species within the δ13C–δ15N bi-plot space—the δ13C range (1-CR), increasing CR would be expected in food webs containing multiple basal carbon sources with varying δ13C values, providing for niche diversification at the base of a food web; the δ15N range (2-NR), a larger range in δ15N reflecting more trophic levels; total area (3-TA) of a convex polygon encompassing all species within a community, representing the total extent of trophic diversity; mean distance to centroid (4-CD), reflecting the average degree of trophic diversity; mean nearest neighbor distance (5-MNND), reflecting trophic redundancy; and the standard deviation of nearest neighbor distance (6-SDNND), representing the distribution of trophic niches (lower MNND and SDNND imply a more even distribution of species, suggesting increased trophic redundancy). Since TA, CR, and NR were notably influenced by extreme values [50,51], CD and MNND are better indicators of the overall trophic diversity and niche diversification within the food web [48,49]. The metrics were calculated using the layman metrics package of SIAR (Stable Isotope Analysis) in R (Package siar version 4.2).
2.6. Estimation of Diet Composition
To estimate contributions of basal production sources to consumers, we performed mixing analysis with MixSIR version 1.04 with uninformative priors, the model specifies Dirichlet (=1) for priors on all source contributions [52,53,54]. All possible combinations of source contributions are a priori equally likely. This Bayesian model uses stable isotope data to estimate feasible ranges of source contributions, taking into account variation in consumer and primary producer stable isotope signatures and trophic fractionation of isotopic ratios [52]. For δ13C, a diet tissue fractionation factor of 1.0‰ ± 0.4‰ was used, and for δ15N 3.4‰ ± 1.0‰ was used [55]. Bayesian analysis of stable isotope mixing models uses sampling-importance-resampling (SIR). The SIR algorithm is well suited for models having relatively few parameters with well-defined intervals. Because all of the parameters in the model represent proportional contributions of each source, the models will generally have few parameters. As the proportions must all sum to 1, parameter values have cross dependencies that can result in multi-modal posterior distributions, which may compromise basic Markov Chain Monte Carlo (MCMC) sampling techniques. Given these constraints, a SIR algorithm is an effective method for re-sampling proportional parameter space in order to develop accurate posterior distributions. The model used at least 1,000,000 iterations to ensure proper functioning [52]. In MDB, potential basal production sources included POM, macrophytes, periphyton, and SOM, while POM, periphyton, and SOM were the potential basal production sources in PDB. For these sites, in situ means and standard deviations of potential basal production sources were used as input to the MixSIR model. MixSIR was used to determine likelihood distributions and for plotting histograms of the posterior proportional contributions of each basal source to the mixture (production reliance on basal food sources of fish species). In all instances, the maximum importance ratio was below 0.001, suggesting that the models were effective in estimating the true posterior density [52]. Results for MixSIR are presented as the median.
2.7. Statistics Analysis
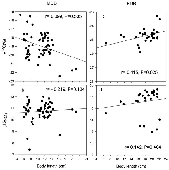
To determine differences in mean δ13C and δ15N values (±SD) of food sources, invertebrates, and fish collected from April 2010 to March 2011 in MDB and PDB, total annual averages were analyzed for normal distribution using Shapiro tests. The differences between MDB and PDB were statistically tested with paired student t-tests for normally distributed data or with nonparametric sign tests for non-normally distributed data if MDB had data with unequal n. As some of the species occurred only occasionally in MDB or PDB during the study, this statistical analysis could not be conducted for all species. Seasonal variations in the basins were analyzed by Bonferroni’s Multiple Comparison Test. The relationships between fish body size and stable carbon and nitrogen signatures of omnivorous fish were tested by linear regressions. For the statistical analyses, we used SPSS 19.0 for Windows.
3. Results
3.1. Food Web Structure Analysis
Stable isotope ratio biplots showed consumer δ13C to be almost similar to the δ13C of macrophytes and periphyton in MDB and generally close to the δ13C of POM in PDB (Figure 2). Furthermore, the δ13C of two rare species (Radix sp. and a leech) in PDB was close to the periphyton δ13C, both collected on stones near the shore, and both groups were much less depleted than the other organisms studied (Figure 2b).
Figure 2.
Dual stable isotope indicators (mean ± SD) of the food web structure in MDB (a) and PDB (b) during the period April 2010 to March 2011. Error bars represent the standard deviation of different months. Fish: Hypophthalmichthys molitrix Val., HM; Pseudorasbora parva, PP; Coilia grayii Richardson, CG; Leucosoma chinensis, LC; Hemiculter leucisculus, HL; Rasborinus lineatus, RL; Rhodeus sinensis Gunther, RS; Squaliobarbus curriculus, SC; Cirrhinus molitorella, CM; Oreochromis niloticus, ON; Carassius auratus, CA1; Cyprinus carpio, CC; Hypostomus punctatus, HP; Onychosotoma gerlachi, OG; Pelteobagrus fulvidraco, PF; Channa argus, CA2; Ctenopharyngodon idellus, CI. Invertebrate: Bellamya spp., S1; Angulyagra polyzonata, S2; Radix spp., S3; Pomacea canaliculata, S4; Mussel, Mu; shrimp, Sh; Crab, Cr; Leech, Le; Dragonfly larva, D1; Damselfly larva, D2; Oligochaetes, Ol; Chironomidae larvae, Ch; Cladocerans, Z1; Copepods, Z2; Basal resource carbon: Particle organic matter, POM; Sediment organic matter, SOM; Submerged macrophyte, SM; Periphyton, Pe. Two extreme positions (gray ellipse) of rare benthic invertebrates were collected from the shore in PDB.
The consumers in MDB were generally 13C enriched and 15N depleted compared with the consumers in PDB (Figure 2). The δ13C–δ15N biplot of fish and invertebrates revealed community-wide differences in isotope-based metrics of the food webs between MDB and PDB. CR values of fish and invertebrates were lower in MDB than in PDB, including two extreme positions of rare benthic invertebrates (from the shore) (Figure 2). CR values of fish were 3.6 in MDB and 1.8 in PDB, respectively (Table 2), indicating a narrow feeding niche for fish in PDB (Figure 2). The δ15N values of piscivorous snakehead fish and yellow catfish (Pelteobagrus fulvidraco) placed them at the top of the food web in MDB, while the two planktivores long tailed anchovy (Coilia grayii) and icefish (Leucosoma chinensis) were at the top of the food web in PDB. However, NR was lower in MDB than in PDB (Table 2). The convex hull area occupied in the δ13C–δ15N niche space revealed TA estimates of 6.8 for MDB and 6.5 for PDB, respectively, suggesting a similar total extent of trophic diversity for fish in MDB and PDB.
Table 2.
Community-wide metrics of the food webs were calculated based on the distribution of species in the δ13C–δ15N biplots in MDB and PDB (Figure 2). TA, convex hull area encompassed by all species, representing the total extent of trophic diversity; NR, δ15N range, reflecting trophic levels; CR, δ13C range, reflecting niche diversification at the base of the food web; CD, mean distance to centroid, reflecting the average degree of trophic diversity; MNND, mean nearest neighbor distance, reflecting trophic redundancy; SDNND, standard deviation around MNND, representing the distribution of trophic niches [48,49].
CD of fish and invertebrates was 2.5 in both MDB and PDB, reflecting similar niche width and species spacing. However, MNND and SDNND were higher in MDB than in PDB, indicating low trophic overlap and uneven species packing in the niches in MDB compared with PDB (Table 2).
3.2. δ13C and δ15N Values of Basal Food Resources and Consumers
Overall, the δ13C and δ15N values of basal food resources differed between the two basins (Figure 3, Table A2 in the Appendix A). δ13C of POM was significantly higher in MDB than in PDB (p < 0.01, paired t-test), while the δ13C of periphyton and SOM did not differ between the two basins (Figure 3, Table A2 in the Appendix A). The δ13C of submerged macrophytes in MDB was generally higher than the δ13C of POM. Similarly, the mean δ13C of consumers was significantly higher in MDB than in PDB (p < 0.05, paired t-test) (Figure 3, Table A2 in the Appendix A). Conversely, the δ15N of basal food resources and consumers was always significantly lower in MDB than in PDB (p < 0.01, paired t-test) (Figure 3; Table A2 in the Appendix A), suggesting low baseline nitrogen isotope ratios in MDB.
Figure 3.
Mean δ13C and δ15N values (±SD) of food sources, invertebrates, and fish in MDB and PDB during the period April 2010 to March 2011.
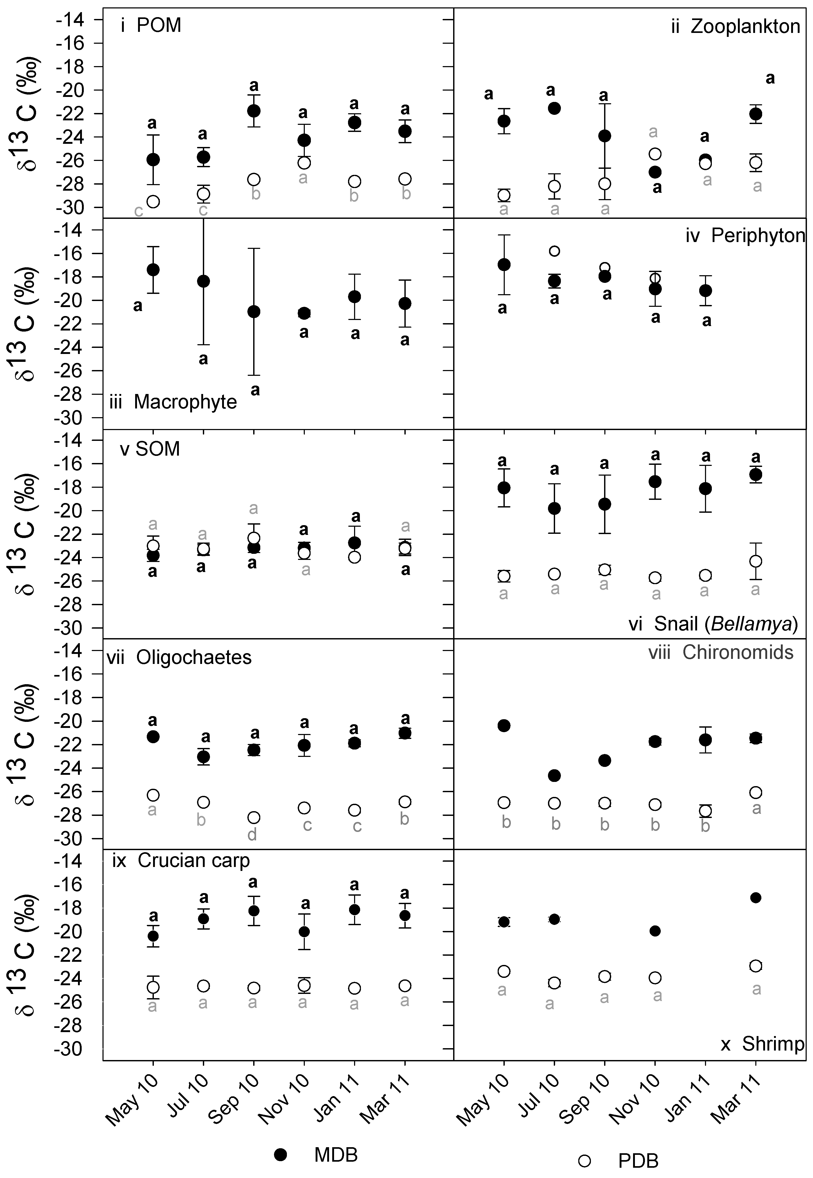
Furthermore, the δ13C and δ15N of basal food resources, invertebrates, and fish, except POM and oligochaetes of PDB, displayed no clear seasonal variation between the two basins (Bonferroni’s Multiple Comparison Test) (Figure 4 and Figure 5).
Figure 4.
Repeated measures of δ13C (‰) in food sources, invertebrates, and fish in MDB and PDB during the period April 2010 to March 2011. Gray and bold letters show the results of seasonal variation analysis using Bonferroni’s Multiple Comparison Test in PDB and MDB.
Figure 5.
Repeated measures of δ15N (‰) in food sources, invertebrates, and fish in MDB and PDB during the period April 2010 to March 2011. Gray and bold letters show the results of seasonal variation analysis using Bonferroni’s Multiple Comparison Test in PDB and MDB.
3.3. Basal Production Sources Fueling the Fish
The mixing model results suggest that macrophytes and associated periphyton contributed a large fraction of the basal sources to the fish diet in MDB, while POM contributed a large fraction in PDB (Figure 6).
Figure 6.
Mixing model estimates of the median proportion of fish diets from basal carbon resources in MDB and PDB based on MixSIR mixing models.
The median proportional contribution of POM to fish in MDB varied from 3% to 27%, while the contribution of POM varied from 46% to 79% in PDB (Figure 6). Periphyton contributed a large fraction of the basal production sources to fish in MDB, varying from 21% to 80%, while the contribution of submerged macrophytes varied from 3% to 53%. SOM also contributed carbon sources to fish in MDB, varying from 5% to 33% (Figure 6). Macrophyte and periphyton contributed 70% of the basal production sources to the most dominant fish (i.e., crucian carp). Macrophytes and periphyton also constituted a large fraction of the basal production sources to the omni-planktivorous white semiknife-carp (Hemiculter leucisculus), Rasborinus lineatus, and bitterling (Rhodeus sinensis Gunther) (Figure 6).
3.4. Diet of Crucian Carp
The body length of crucian carp was smaller in MDB than in PDB (Table 3). The gut content analysis revealed that the diet of crucian carp consisted mainly of vegetal matter (macrophytes and periphyton) and zooplankton (mainly cladocerans) in MDB, but including also snails, chironomids, and oligochaetes. In PDB, detritus dominated the diet (Table 3). In MDB, cladocerans, and to a lesser extent copepods and rotifers, contributed to the diet (Figure A3a in the Appendix A), but with a low percentage by weight (3.4%, range: 0.01%–14%, Figure A3b in the Appendix A) of the gut content.
Table 3.
Occurrence frequency of diet items in crucian carp guts in MDB and PDB in September and November 2010 (n = 14). Body length (BL): mean, range (cm).
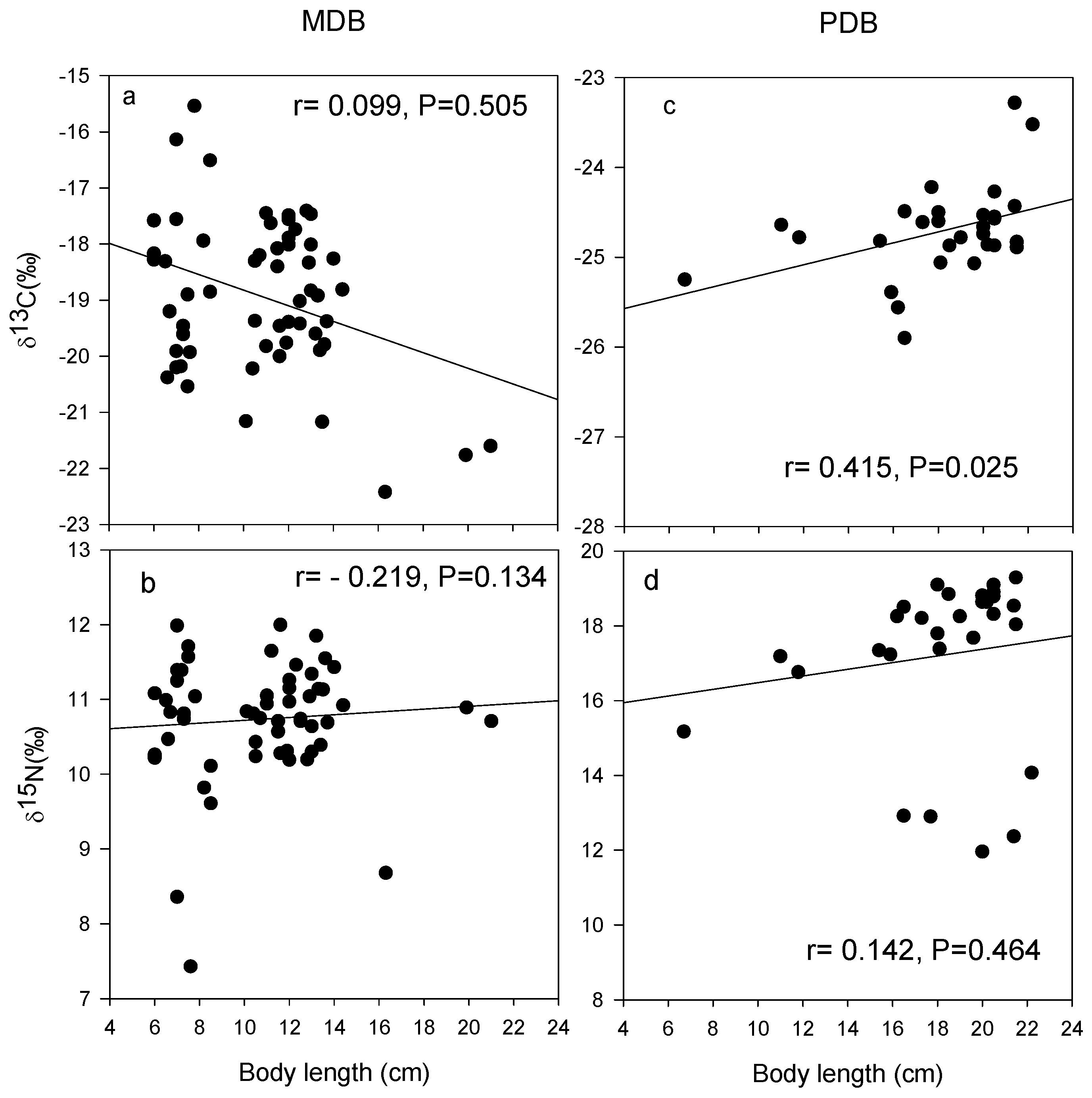
Crucian carp had a broad range of δ13C in MDB, with no significant change in δ13C with size (Figure A4a in the Appendix A). In contrast, in PDB crucian carp had a narrow range of δ13C and a significant change in δ13C with size (Figure A4c in the Appendix A), indicating a more benthic orientation with increasing size.
4. Discussion
Based on food web studies in temperate lakes [12], the diversity of resource-based niches and food web length are expected to increase when lakes shift from a turbid phytoplankton-dominated state to a macrophyte-dominated state, and this may potentially diminish the strength of the trophic cascade between fish and invertebrates. Abundant submerged macrophytes provide more basal food resources, structurally complex habitats, and physical refugia, all factors that reduce the strength of predator–prey interactions [12,31,32]. However, we found a shorter δ15N range in the macrophyte-dominated basin than in the phytoplankton-dominated basin and, accordingly, also that macrophytes and associated periphyton constituted a large fraction of the diet of the omni-benthivorous and omni-planktivorous fish. This helps to explain the high biomass of omnivorous fish observed in the macrophyte-dominated basin, which was actually higher than expected from similar studies of temperate lakes [20]. Plenty of cladocerans were found in the guts of the most dominant fish species (i.e., crucian carp), which may explain the low cladoceran biomass recorded also after restoration (Figure A1 in the Appendix A; and [37]).
Unexpectedly, we found lower TAtotal and CRtotal in MDB than in PDB. However, the higher values recorded in PDB reflected the isotopically heavy periphyton collected on stones near to the shore, resulting in elevated TAtotal and CRtotal of two rare highly 13C-enriched species (Radix sp. and a leech) restricted to the near-shore area (highlighted in Figure 2). If these data are omitted, TAtotal and CRtotal were higher in MDB. The isotope analyses suggest that fish and most of the invertebrate species confined largely to POM in PDB, indicating low niche diversification at the base of the food web [48,49]. By contrast, TAfish and CRfish were clearly higher in MDB than in PDB, likely reflecting enhanced niche diversification due to the higher availability of more basal food resources for grazers in MDB [31,32]. Overall, a greater range of basal resources allows for heterogeneous energy flow pathways, which may be an important factor for stabilizing food webs [49,56,57].
Unlike the pattern observed in temperate lakes [12] and in subtropical Lake Taihu [34], we found a lower NRfish and NRtotal in MDB than in PDB, even though piscivorous fish, such as snakehead, were present. In MDB, snakehead and yellow catfish mainly fed on omnivorous fish, such as crucian carp and tilapia, which again fed mainly on periphyton and/or macrophytes (Table 3, and [19]). Crucian carp was one of the dominant fish species in MDB and gut content analysis revealed that macrophytes and/or periphyton and zooplankton, especially cladocerans, were consumed by all size classes (7 ≤ all < 15 cm). Similarly, both macrophytes and zooplankton were found in the guts of sharpbelly, crucian carp, topmouth gudgeon, and bitterling in a subtropical lake [21]. In contrast, the planktivores long tailed anchovy and icefish, preying primarily on copepods, shrimp, and juvenile fish [58,59], were at the top of the food web in PDB. Other studies have also shown enhanced feeding by omnivorous fish on organisms with low trophic positions in warm lakes (e.g., vegetal matter), leading to shorter food web length than in temperate lakes [14,60,61]. A modelling study indicates that omnivory at intermediate trophic levels reduces the top-down control by fish in tropical lakes and simultaneously reduces the chain length between fish and algae [62,63].
The observed higher MNNDfish, MNNDtotal, SDNNDfish, and SDNNDtotal values in MDB were expected as the submerged macrophytes with associated periphyton increased the availability of trophic niches [64,65], suggesting decreased trophic overlap. CDtotal was similar in the two basins (Table 2), but CDfish was lower in MDB and PDB, which is indicative of low fish trophic diversity in MDB. MDB was significantly less species-rich than PDB [20], and most of the omnivorous/planktivorous fish, such as crucian carp, common carp, tilapia, and bitterling, had similar diets (feeding on both macrophytes and invertebrates), which may the low CD value in MDB.
That macrophytes and periphyton constituted important food sources for consumers was not only evidenced by similar δ13C values, the mixing model results, and the gut content analysis, but also by the fact that alternative sources such as seston and sediment organic matter had much lower δ13C values than consumers. The higher δ13C of macroinvertebrates in the macrophyte-dominated basin concurs with Boll et al. [66] who studied a temperate Danish shallow lake that have shifted between the turbid and the clear state. The authors suggested that the observed increase in the δ13C of benthic macroinvertebrates and zooplankton δ13C reflected a change in δ13C in their preferred food sources as the δ13C of seston also became more positive when the lake shifted from a turbid phytoplankton-dominated to a clear macrophyte-dominated state. Our results point to the possibility that carbon from macrophytes and/or associated periphyton supplies consumers more directly as macrophytes, periphyton, or plant detritus dominated the gut content of fish in MDB (Table 3 and [19]). Several other studies suggest that the macrophyte-derived carbon supply to fish is higher in (sub)tropical lakes than in temperate lakes [16,34,67,68,69]. Moreover, a parallel study of zooplankton and bacterioplankton in the two basins strongly indicates that also zooplankton and bacterioplankton are mainly fueled by carbon from the benthic macrophyte-periphyton complex in MDB [40].
The low seasonal variations in the stable isotope signatures of food sources and consumers traced in our study seem to imply little seasonal variation in food selection, which contrasts the results of studies conducted in temperate and some subtropical systems [22,66,70,71,72]. The stable warm conditions in tropical lakes, including year-round occurrence of submerged macrophytes, and fish spawning may explain these differences. Moreover, the isotope composition of crucian carp showed little change with size (6–20 cm) in MDB, indicating low ontogenetic dietary shifts between 6 cm and 20 cm as otherwise often seen in size-structured fish populations (see review in Werner & Gilliam [73]). Size-related shifts in feeding efficiency of crucian carp have been demonstrated, and researches have shown that juvenile crucian carp (<3 cm) have a preference for zooplankton than adult fish [17,21,74]. In Huizhou West Lake, fish between 4 and 47 cm were caught in surveys using 10–40 mm mesh-sized nets, while juvenile zooplanktivorous crucian carp escaped capture. Thus, zooplanktivory may have been even stronger in the lake than implied by the gut analyses.
5. Conclusions
Our results show that the carbon in consumers mainly derived from POM in the phytoplankton-dominated basin and from macrophytes with associated periphyton in the macrophyte-dominated basin. Despite the low phytoplankton biomass in MDB, omnivorous fish may, therefore, maintain a high biomass [20] fueled by macrophyte and/or periphyton carbon. Their ability to feed also on invertebrates allows them to maintain a high predation pressure on zooplankton, explaining the low zooplankton density recorded in the macrophyte-dominated lake basin of Huizhou West Lake and likely in other tropical lakes as well, despite a low biomass of true zooplanktivorous fish. This dual effect (consumption of macrophytes and zooplankton) may reduce the chances of maintaining the clear water state at the prevailing nutrient levels in the lake, and regular removal of large crucian carp and also tilapia [19] may therefore be needed to maintain or establish a healthy ecosystem state.
Acknowledgments
The authors thank Anna de Kluijver, Xiufeng Zhang, Jinlei Yu, Fengwen Wang, Binghui Chen, Min Zhou, Xiao Yu, Shen Xu, Xiaohong Wu, Teng Miao, Ruyan Yue, Jinrun Hu, Dongmei Cheng, Huan Li, Weimin Rao, and Xuefeng Zhao for field and laboratory support and Anne Mette Poulsen for language assistance. This study was supported by the National Natural Science Foundation of China (Grant No. 31500378), Science and Technology support program of Hubei Province (No. 2015BCH329), the National Basic Research Program of China (No. 2012CB956100), the National Water Project Foundation of China (No. 2008ZX07211-003), the Fundamental Research Funds for the Central Universities, 973 plan preliminary studies of China (2014CB460601), and the International Science and Technology Cooperation Programme (2014DFE70070). Erik Jeppesen was supported by the MARS project (Managing Aquatic ecosystems and water Resources under multiple Stress) funded under the 7th EU Framework Programme, Theme 6 (Environment including Climate Change), Contract No. 603378 (http://www.mars-project.eu), ‘CLEAR’ (a Villum Kann Rasmussen Centre of Excellence project), and CRES.
Author Contributions
Jian Gao, Zhengwen Liu, Erik Jeppesen and Jiajia Ning conceived and designed the experiments; Ping Zhong analyzed the stable isotope samples; Jian Gao and Erik Jeppesen analyzed the data; Jian Gao, Erik Jeppesen and Zhengwen Liu led the writing of the paper to which all the other authors contributed.
Conflicts of Interest
The authors declare no conflict of interest.
Appendix A
Table A1.
Fish community composition in MDB and PDB during April 2010–March 2011. W (%) and N (%) are annual mean percentage weight (g) and number of each species of the total catch, F (%) is the percentage frequency of occurrence of each species in all samplings (i.e., whether the species was present or not).
| Trophic Groups | Species | MDB | PDB | ||||
|---|---|---|---|---|---|---|---|
| N (%) | W (%) | F (%) | N (%) | W (%) | F (%) | ||
| Planktivores | Hypophthalmichthys molitrix Val. | 1.8 | 33.5 | 83.3 | |||
| Pseudorasbora parva | 1.1 | 0.3 | 66.7 | ||||
| Coilia grayii Richardson | 74.9 | 6.8 | 100.0 | ||||
| Leucosoma chinensis | 2.0 | 0.6 | 83.3 | ||||
| Omnivore-planktivores | Danioninae | 0.0 | 0.0 | 0.0 | 0 | 0 | 0 |
| Hemiculter leucisculus | 0.4 | 0.1 | 16.7 | 3.4 | 8.2 | 100.0 | |
| Rasborinus lineatus | 10.8 | 5.0 | 50.0 | 0 | 0 | 0 | |
| Rhodeus sinensis gunther | 1.8 | 0.1 | 33.3 | 0.1 | <0.1 | 16.7 | |
| Omnivore-benthivores | Squaliobarbus curriculus | 0.0 | 0.0 | 0.0 | 0.2 | 2.0 | 33.3 |
| Cirrhinus molitorella | 0.1 | 1.4 | 16.7 | 0.2 | 5.3 | 16.7 | |
| Oreochromis niloticus | 0.2 | 1.1 | 16.7 | 2.2 | 5.9 | 83.3 | |
| Carassius auratus | 80.6 | 61.5 | 100.0 | 2.8 | 19.6 | 100.0 | |
| Cyprinus carpio | 1.8 | 18.7 | 83.3 | 0.5 | 4.8 | 50 | |
| Hypostomus punctatus | 0.7 | 4.2 | 50 | ||||
| Onychosotoma gerlachi | 9.3 | 5.6 | 33.3 | ||||
| Piscivores | Pelteobagrus fulvidraco | 0.6 | 1.8 | 33.3 | 0.5 | 2.6 | 83.3 |
| Channa argus | 3.4 | 6.8 | 100.0 | 0 | 0 | 0 | |
| Ictalurus punctatus | 0.0 | 0.0 | 0.0 | 0 | 0 | 0 | |
| Herbivores | Ctenopharyngodon idellus | 0.2 | 3.4 | 16.7 | 0 | 0 | 0 |
Table A2.
Total annual average (tot. av.) carbon isotope ratios ±SD (δ13C) and nitrogen isotope ratios ±SD (δ15N) of analyzed basal carbon resources and consumers in a restored, macrophyte-dominated basin (MDB) and an unrestored, phytoplankton-dominated basin (PDB) of Huizhou West Lake. n = number of measurements over the year; p = significance level of differences between MDB and PDB as shown by paired t-tests or sign tests (* p < 0.05, ** p < 0.01). NS means non-signficant.
| Parameters | n | Tot. av. δ13C in MDB | Tot. av. δ13C in PDB | p | Tot. av. δ15N in MDB | Tot. av. δ15N in PDB | p |
|---|---|---|---|---|---|---|---|
| POM | 7,7 | −24.1 ± 1.5 | −27.9 ± 1.1 | ** | |||
| Macrophytes | 7,- | −17.8 ± 1.8 | - | 5.5 ± 1.2 | - | ||
| Periphyton | 7,3 | −19.2 ± 1.7 | −17.3 ± 1.1 | NS | 6.3 ± 2.2 | 13.7 ± 2.6 | ** |
| Phytoplankton | 7,7 | −28.8 ± 5.3 | −30.6 ± 5.4 | NS | |||
| Copepods | 7,5 | −24.1 ± 2.0 | −26.6 ± 1.3 | * | 8.3 ± 1.4 | 14.9 ± 2.3 | ** |
| Cladocerans | 1,4 | −24.0 | −28.4 ± 1.0 | - | 5.2 | 10.2 ± 1.5 | - |
| Total zooplankton | 7,7 | −23.7 ± 2.0 | −27.1 ± 1.3 | * | 8.2 ± 1.5 | 13.7 ± 2.5 | ** |
| Bellamya spp. | 6,6 | −18.3 ± 1.0 | −25.3 + 0.5 | ** | 7.7 ± 0.7 | 13.7 ± 0.4 | ** |
| Angulyagra polyzonata | 3,6 | −21.0 ± 1.1 | −25.7 ± 0.1 | ** | 7.7 ± 0.3 | 14.1 ± 0.5 | ** |
| Radix sp. | 2,2 | −16.5 ± 1.3 | −18.9 ± 1.5 | NS | 5.7 ± 0.4 | 13.7 ± 2.1 | ** |
| Pomacea canaliculata | -,2 | −25.7 ± 0.9 | - | 11.9 ± 0.6 | - | ||
| Anodonta spp. | 2,- | −22.6 ± 1.0 | - | 8.2 ± 0.4 | - | ||
| Shrimps | 4,4 | −18.8 ± 1.2 | −23.7 ± 0.6 | ** | 11.1 ± 0.5 | 17.0 ± 0.9 | ** |
| Dragonfly larvae | 2,- | −20.4 ± 1.4 | - | 8.9 ± 0.4 | - | ||
| Damselfly larvae | 4,2 | −19.7 ± 1.5 | −27.3 ± 0.1 | ** | 8.8 ± 0.4 | 13.8 ± 1.2 | ** |
| Crabs | -,4 | −23.4 ± 0.9 | - | 13.3 ± 1.7 | - | ||
| Leeches | -,1 | −19.0 | - | 14.1 | - | ||
| Oligochaeta | 6,6 | −22.0 ± 0.7 | −27.2 ± 0.7 | ** | 7.6 ± 0.6 | 14.8 ± 0.6 | ** |
| Chironomidae larvae | 6,6 | −22.2 ± 1.5 | −27.0 ± 0.5 | ** | 7.7 ± 0.8 | 14.4 ± 1.0 | ** |
| Hypophthalmichthys molitrix | -,3 | −24.5 ± 0.4 | - | 16.1 ± 0.6 | - | ||
| Pseudorasbora parva | -,4 | −24.9 ± 0.2 | - | 17.5 ± 0.3 | - | ||
| Coilia grayii Richardson | -,6 | −24.3 ± 0.3 | - | 19.2 ± 0.8 | - | ||
| Leucosoma chinensis | -,4 | −24.2 ± 0.4 | - | 19.3 ± 0.4 | - | ||
| Hemiculter leucisculus | 2,6 | −18.6 ± 0.2 | −24.0 ± 0.3 | ** | 10.9 ± 0.8 | 13.8 ± 1.0 | ** |
| Rasborinus lineatus | 3,- | −21.6 ± 1.3 | - | 11.5 ± 0.2 | - | ||
| Rhodeus sinensis gunther | 2, 2 | −18.4 ± 2.5 | −23.7 ± 0.7 | ** | 9.9 ± 0.5 | 14.3 ± 1.6 | ** |
| Squaliobarbus curriculus | -,2 | −25.5 ± 1.0 | - | 15.3 ± 0.9 | - | ||
| Cirrhinus molitorella | -,2 | −24.3 ± 1.0 | - | 13.9 ± 2.2 | - | ||
| Oreochromis niloticus | 2,5 | −18.3 ± 0.8 | −24.6 ± 0.8 | ** | 8.8 ± 0.3 | 14.1 ± 1.1 | ** |
| Carassius auratus | 6,6 | −19.1 ± 0.9 | −24.7 ± 0.1 | ** | 10.7 ± 0.4 | 17.6 ± 1.5 | ** |
| Cyprinus carpio | 5,2 | −19.8 ± 1.0 | −25.4 ± 0.2 | ** | 10.0 ± 0.5 | 16.9 ± 0.1 | ** |
| Hypostomus punctatus | -,3 | −24.8 ± 0.3 | 16.6 ± 0.5 | - | |||
| Onychosotoma gerlachi | -,1 | −24.8 ± 1.0 | 14.2 ± 1.6 | - | |||
| Pelteobagrus fulvidraco | 2,- | −19.0 ± 1.3 | −24.6 ± 0.2 | ** | 12.0 ± 0.4 | 17.1 ± 1.2 | ** |
| Channa argus | 6,- | −18.0 ± 0.7 | 12.3 ± 0.9 | - | |||
| Ctenopharyngodon idellus | 1,- | −18.5 ± 0.3 | 8.5 ± 0.1 | - |
Figure A1.
Mean biomass and relative percentage of crustacean zooplankton taxa in MDB and PDB during the period April 2010–March 2011.
Figure A1.
Mean biomass and relative percentage of crustacean zooplankton taxa in MDB and PDB during the period April 2010–March 2011.

Figure A2.
Biomass dynamics of crustacean zooplankton in MDB and PDB during the period April 2010–March 2011.
Figure A2.
Biomass dynamics of crustacean zooplankton in MDB and PDB during the period April 2010–March 2011.

Figure A3.
Box plot (median, box 25, and 75 percentiles, whisker min to max) of No. of zooplankton in the gut content of crucian carp (a) and the wet weight % of the diet in MDB (n = 14) (b).
Figure A3.
Box plot (median, box 25, and 75 percentiles, whisker min to max) of No. of zooplankton in the gut content of crucian carp (a) and the wet weight % of the diet in MDB (n = 14) (b).

Figure A4.
Relationship between crucian carp length and δ13C (a, c) and δ15N (b, d) values in MDB and PDB.
Figure A4.
Relationship between crucian carp length and δ13C (a, c) and δ15N (b, d) values in MDB and PDB.

References
- Van Donk, E.; Grimm, M.P.; Gulati, R.D.; Breteler, J.P.G.K. Whole-lake food-web manipulation as a means to study community interactions in a small ecosystem. Hydrobiologia 1990, 200, 275–289. [Google Scholar] [CrossRef]
- Meijer, M.L.; de Boois, I.; Scheffer, M.; Portielje, R.; Hosper, H. Biomanipulation in shallow lakes in the Netherlands: An evaluation of 18 case studies. Hydrobiologia 1999, 408, 13–30. [Google Scholar] [CrossRef]
- Backer, S.D.; Teissier, S.; Triest, L. Stabilizing the clear-water state in eutrophic ponds after biomanipulation: Submerged vegetation versus fish recolonization. Hydrobiologia 2012, 689, 161–176. [Google Scholar] [CrossRef]
- Moss, B. Engineering and biological approaches to the restoration from eutrophication of shallow lakes in which aquatic plant communities are important components. Hydrobiologia 1990, 200–201, 367–377. [Google Scholar] [CrossRef]
- Scheffer, M.; Hosper, S.H.; Meijer, M.L.; Moss, B.; Jeppesen, E. Alternative equilibria in shallow lakes. Trends Ecol. Evol. 1993, 8, 275–279. [Google Scholar] [CrossRef]
- Schriver, P.; Bøgestrand, J.; Jeppesen, E.; Søndergaard, M. Impact of submerged macrophytes on fish-zooplankton-phytoplankton interactions: Large-scale enclosure experiments in a shallow eutrophic lake. Freshw. Biol. 1995, 33, 255–270. [Google Scholar] [CrossRef]
- Jeppesen, E.; Søndergaard, M.; Søndergaard, M.; Christoffersen, K. The Structuring Role of Submerged Macrophytes in Lakes; Springer: New York, NY, USA, 1998. [Google Scholar]
- Jeppesen, E.; Lauridsen, T.L.; Mitchell, S.F.; Christoffersen, K.; Burns, C.W. Trophic structure in the pelagial of 25 shallow New Zealand lakes: Changes along nutrient and fish gradients. J. Plankton Res. 2000, 22, 951–968. [Google Scholar] [CrossRef]
- Jeppesen, E.; Peder Jensen, J.; Søndergaard, M.; Lauridsen, T.; Landkildehus, F. Trophic structure, species richness and biodiversity in Danish lakes: Changes along a phosphorus gradient. Freshw. Biol. 2000, 45, 201–218. [Google Scholar] [CrossRef]
- Jeppesen, E.; Søndergaard, M.; Mazzeo, N.; Meerhoff, M.; Branco, C.; Huszar, V.; Scasso, F. Lake restoration and biomanipulation in temperate lakes: Relevance for subtropical and tropical lakes. In Restoration and Management of Tropical Eutrophic Lakes; Reddy, M.V., Ed.; Science Publishers Inc.: Enfield, NH, USA, 2005; pp. 331–359. [Google Scholar]
- Genkai-Kato, M. Macrophyte refuges, prey behaviour and trophic interactions: Consequences for lake water clarity. Ecol. Lett. 2007, 10, 105–114. [Google Scholar] [CrossRef] [PubMed]
- Rawcliffe, R.; Sayer, C.D.; Woodward, G.; Grey, J.; Davidson, T.A.; Iwan Jones, J. Back to the future: Using palaeolimnology to infer long-term changes in shallow lake food webs. Freshw. Biol. 2010, 55, 600–613. [Google Scholar] [CrossRef]
- Sentis, A.; Gémard, C.; Jaugeon, B.; Boukal, D.S. Predator diversity and environmental change modify the strengths of trophic and non-trophic interactions. Glob. Chang. Biol. 2016, 1–12. [Google Scholar] [CrossRef]
- Iglesias, C.; Meerhoff, M.; Johansson, L.S.; González-Bergonzoni, I.; Mazzeo, N.; Pacheco, J.P.; Teixeira-de Mello, F.; Goyenola, G.; Lauridsen, T.L.; Søndergaard, M.; et al. Stable isotope analysis confirms substantial differences between subtropical and temperate shallow lake food webs. Hydrobiologia 2016, 784, 111–113. [Google Scholar] [CrossRef]
- Clements, K.D.; Raubenheimer, D.; Choat, J.H. Nutritional ecology of marine herbivorous fishes: Ten years on. Funct. Ecol. 2009, 23, 79–92. [Google Scholar] [CrossRef]
- González-Bergonzoni, I.; Meerhoff, M.; Davidson, T.A.; Teixeira-de Mello, F.; Baattrup-Pedersen, A.; Jeppesen, E. Meta-analysis shows a consistent and strong latitudinal pattern in fish omnivory across ecosystems. Ecosystems 2012, 15, 492–503. [Google Scholar] [CrossRef]
- Penttinen, O.P.; Holopainen, I.J. Seasonal feeding activity and ontogenetic dietary shifts in crucian carp, Carassius carassius. Environ. Biol. Fishes 1992, 33, 215–221. [Google Scholar] [CrossRef]
- Doupé, R.G.; Knott, M.J.; Schaffer, J.; Burrows, D.W.; Lymbery, A.J. Experimental herbivory of native Australian macrophytes by the introduced Mozambique tilapia Oreochromis mossambicus. Aust. Ecol. 2010, 35, 24–30. [Google Scholar] [CrossRef]
- Rao, W.; Ning, J.; Zhong, P.; Jeppesen, E.; Liu, Z. Size-dependent feeding of omnivorous Nile tilapia in a macrophyte-dominated lake: Implications for lake management. Hydrobiologia 2015, 749, 125–134. [Google Scholar] [CrossRef]
- Gao, J.; Liu, Z.; Jeppesen, E. Fish community assemblages changed but biomass remained similar after lake restoration by biomanipulation in a Chinese tropical eutrophic lake. Hydrobiologia 2014, 724, 127–140. [Google Scholar] [CrossRef]
- Yu, J.; Liu, Z.; He, H.; Zhen, W.; Guan, B.; Chen, F.; Li, K.Y.; Zhong, P.; Teixeira-de Mello, F.; Jeppesen, E. Submerged macrophytes facilitate dominance of omnivorous fish in a subtropical shallow lake: Implications for lake restoration. Hydrobiologia 2016, 775, 97–107. [Google Scholar] [CrossRef]
- Mao, Z.G.; Gu, X.H.; Zeng, Q.F.; Gu, X.K.; Li, X.G.; Wang, Y.P. Production sources and food web of a macrophyte-dominated region in Lake Taihu, based on gut contents and stable isotope analyses. J. Gt. Lake Res. 2014, 40, 656–665. [Google Scholar] [CrossRef]
- Blindow, I.; Andersson, G.; Hargeby, A.; Johansson, S. Long-term pattern of alternative stable states in two shallow eutrophic lakes. Freshw. Biol. 1993, 30, 159–167. [Google Scholar] [CrossRef]
- Meerhoff, M.; Clemente, J.M.; Teixeira-de Mello, F.; Iglesias, C.; Pedersen, A.R.; Jeppesen, E. Can warm climate-related structure of littoral predator assemblies weaken the clear water state in shallow lakes? Glob. Chang. Biol. 2007, 13, 1888–1897. [Google Scholar] [CrossRef]
- Jeppesen, E.; Meerhoff, M.; Holmgren, K.; González-Bergonzoni, I.; Teixeira-de Mello, F.; Declerck, S.A.J.; De Meester, L.; Søndergaard, M.; Lauridsen, T.L.; Bjerring, R.; et al. Impacts of climate warming on lake fish community structure and potential effects on ecosystem function. Hydrobiologia 2010, 646, 73–90. [Google Scholar] [CrossRef]
- Blancher, E.C., II. Zooplankton-trophic state relationships in some north and central Florida lakes. Hydrobiologia 1984, 109, 251–263. [Google Scholar] [CrossRef]
- Pinto-Coelho, R.; Pinel-Alloul, B.; Méthot, G.; Havens, K.E. Crustacean zooplankton in lakes and reservoirs of temperate and tropical regions: Variation with trophic status. Can. J. Fish. Aquat. Sci. 2005, 62, 348–361. [Google Scholar] [CrossRef]
- Shapiro, J.; Wright, D.I. Lake restoration by biomanipulation: Round Lake, Minnesota, the first two years. Freshw. Biol. 1984, 14, 371–383. [Google Scholar]
- Carpenter, S.R.; Kitchell, J.F.; Hodgson, J.R. Cascading trophic interactions and lake productivity. BioScience 1985, 35, 634–639. [Google Scholar] [CrossRef]
- Mcqueen, D.J.; Post, J.R.; Mills, E.L. Trophic relationships in freshwater pelagic ecosystems. Can. J. Fish. Aquat. Sci. 1986, 43, 1571–1581. [Google Scholar] [CrossRef]
- Lodge, D.M. Macrophyte-gastropod associations: Observations and experiments on macrophyte choice by gastropods. Freshw. Biol. 1985, 15, 695–708. [Google Scholar] [CrossRef]
- Diehl, S. Fish predation and benthic community structure: The role of omnivory and habitat complexity. Ecology 1992, 73, 1646–1661. [Google Scholar] [CrossRef]
- Vadeboncoeur, Y.; Jeppesen, E.; Vander Zanden, M.J.; Schierup, H.H.; Christoffersen, K.; Lodge, D.M. From Greenland to green lakes: Cultural eutrophication and the loss of benthic pathways in lakes. Limnol. Oceanogr. 2003, 48, 1408–1418. [Google Scholar] [CrossRef]
- Xu, J.; Wen, Z.; Ke, Z.; Zhang, M.; Zhang, M.; Guo, N.; Hansson, L.-A.; Xie, P. Contrasting energy pathways atthe community level as a consequence of regime shifts. Oecologia 2014, 175, 231–241. [Google Scholar] [CrossRef] [PubMed]
- Xu, D.; Cai, Y.; Jiang, H.; Wu, X.; Leng, X.; An, S. Variations of food web structure and energy availability of shallow lake with long-term eutrophication: A case study from lake Taihu, China. Clean Soil Air Water 2016, 44, 1306–1314. [Google Scholar] [CrossRef]
- Jeppesen, E.; Søndergaard, M.; Lauridsen, T.L.; Davidson, T.A.; Liu, Z.; Mazzeo, N.; Trochine, C.; Özkan, K.; Jensen, H.S.; Trolle, D.; et al. Biomanipulation as a restoration tool to combat eutrophication: Recent advances and future challenges. Adv. Ecol. Res. Glob. Chang. Multispecies Syst. 2012, 47, 411–487. [Google Scholar]
- Liu, Z.; Zhong, P.; Zhang, X.F.; Ning, J.; Larsen, S.E.; Jeppesen, E. Successful restoration of a tropical shallow eutrophic lake: Strong bottom-up but weak top-down effects recorded. In Australia–China Wetland Network Research Partnership, Proceedings of the Australia–China Wetland Network Research Partnership Symposium, Nanjing, China, 23–28 March 2014; Kattel, G., Ed.; Collaborative Research Network, Federation University Australia: Mt. Helen, Australia, 2014; pp. 78–86. [Google Scholar]
- Jeppesen, E.; Jensen, J.P.; Søndergaard, M.; Fenger-Grøn, M.; Bramm, M.E.; Sandby, K.; Møller, P.H.; Rasmussen, H.U. Impact of fish predation on cladoceran body weight distribution and zooplankton grazing in lakes during winter. Freshw. Biol. 2004, 49, 432–447. [Google Scholar] [CrossRef]
- Li, C.H. Eutrophication and Restoration of Huizhou West Lake; Guangdong Science Press: Guangdong, China, 2009. (In Chinese) [Google Scholar]
- De Kluijver, A.; Ning, J.; Liu, Z.; Jeppesen, E.; Middelburg, J.J. Macrophyte and periphyton carbon subsidies to bacterioplankton and zooplankton in a shallow, eutrophic lake in tropical China. Limnol. Oceanogr. 2015, 60, 375–385. [Google Scholar] [CrossRef]
- Jin, X.C.; Tu, Q.Y. The Standard Methods for Observation and Analysis in Lake Eutrophication, 2nd ed.; Chinese Environmental Science Press: Beijing, China, 1990. (In Chinese) [Google Scholar]
- American Public Health Association (APHA). Standard Methods for the Examination of Water and Wastewater, 20th ed.; APHA: Washington, DC, USA, 1998. [Google Scholar]
- Pan, J.H.; Zhong, L.; Zheng, C.Y.; Wu, H.L.; Liu, J.H. The Freshwater Fishes of Guangdong Province; Guangdong Science Technology Press: Guangzhou, China, 1991. (In Chinese) [Google Scholar]
- Wang, J.J. Fauna Sinica, Rotifer; Science Press, Academia Sinica: Beijing, China, 1965. (In Chinese) [Google Scholar]
- Chiang, S.C.; Du, N.S. Fauna Sinica, Crustacea, Freshwater Cladocera; Science Press, Academia Sinica: Beijing, China, 1979. (In Chinese) [Google Scholar]
- Sheng, J.R. Fauna Sinica, Crustacea, Freshwater Copepoda; Science Press, Academia Sinica: Beijing, China, 1979. [Google Scholar]
- Huang, X.F. Survey, Observation and Analysis of Lake Ecology Standards; Press China: Beijing, China, 1999. (In Chinese) [Google Scholar]
- Layman, C.A.; Arrington, D.A.; Montaña, C.G.; Post, D.M. Can stable isotope ratios provide for community wide measures of trophic structure? Ecology 2007, 88, 42–48. [Google Scholar] [CrossRef]
- Layman, C.A.; Quattrochi, J.P.; Peyer, C.M.; Allgeier, J.E. Niche width collapse in a resilient top predator following ecosystem fragmentation. Ecol. Lett. 2007, 10, 937–944. [Google Scholar] [CrossRef] [PubMed]
- Jackson, A.L.; Inger, R.; Parnell, A.C.; Bearhop, S. Comparing isotopic niche widths among and within communities: SIBER–Stable Isotope Bayesian Ellipses in R. J. Anim. Ecol. 2011, 80, 595–602. [Google Scholar] [CrossRef] [PubMed]
- Layman, C.A.; Araujo, M.S.; Boucek, R.; Hammerschlag-Peyer, C.M.; Harrison, E.; Jud, Z.R.; Matich, P.; Rosenblatt, A.E.; Vaudo, J.J.; Yeager, L.A. Applying stable isotopes to examine food-web structure: An overview of analytical tools. Biol. Rev. 2012, 87, 545–562. [Google Scholar] [CrossRef] [PubMed]
- Moore, J.W.; Semmens, B.X. Incorporating uncertainty and prior information into stable isotope mixing models. Ecol. Lett. 2008, 11, 470–480. [Google Scholar] [CrossRef] [PubMed]
- Jackson, A.L.; Inger, R.; Bearhop, S.; Parnell, A. Erroneous behaviour of MixSIR, a recently published Bayesian isotope mixing model: A discussion of Moore and Semmens (2008). Ecol. Lett. 2009, 12, E1–E5. [Google Scholar] [CrossRef] [PubMed]
- Semmens, B.X.; Moore, J.W.; Ward, E.J. Improving Bayesian isotope mixing models: A response to Jackson et al. (2009). Ecol. Lett. 2009, 12, E6–E8. [Google Scholar] [CrossRef] [PubMed]
- Post, D.M. Using stable isotopes to estimate trophic position: Models, methods, and assumptions. Ecology 2002, 83, 703–718. [Google Scholar] [CrossRef]
- Rooney, N.; Mccann, K.; Gellner, G.; Moore, J.C. Structural asymmetry and the stability of diverse food webs. Nature 2006, 442, 265–269. [Google Scholar] [CrossRef] [PubMed]
- Wolkovich, E.M.; Allesina, S.; Cottingham, K.L.; Moore, J.C.; Sandin, S.A.; De Mazancourt, C. Linking the green and brown worlds: The prevalence and effect of multichannel feeding in food webs. Ecology 2014, 12, 3376–3386. [Google Scholar] [CrossRef]
- Liu, Z. Diet of the zooplanktivorous icefish neosalanx pseudotaihuensis Zhang. Hydrobiologia 2001, 459, 51–56. [Google Scholar] [CrossRef]
- Sha, Y.C.; Su, G.H.; Zhang, P.Y.; Zhang, H.; Xu, J. Diverse dietary strategy of lake anchovy coilia ectenes taihuensis in lakes with different trophic status. J. Ichthyol. 2015, 55, 866–873. [Google Scholar] [CrossRef]
- Beisner, B.E.; Mccauley, E.; Wrona, F.J. The influence of temperature and food chain length on plankton predator prey dynamics. Can. J. Fish. Aquat. Sci. 1997, 54, 586–595. [Google Scholar]
- Petchey, O.L.; Mcphearson, P.T.; Casey, T.M.; Morin, P.J. Environmental warming alters food-web structure and ecosystem function. Nature 1999, 402, 69–72. [Google Scholar] [CrossRef]
- Pujoni, D.G.F.; Maia-Barbosa, P.M.; Fragoso, C.R.; Nes, E.H.V. Effects of food web complexity on top-down control in tropical lakes. Ecol. Mod. 2016, 320, 358–365. [Google Scholar] [CrossRef]
- Woodland, R.J.; Evrand, V.; Clarke, R.H.; Cook, P.L.M. Niche-dependent trophic position distributions among primary, secondary and tertiary consumers. Oikos 2016, 125, 556–565. [Google Scholar] [CrossRef]
- Tessier, C.; Cattaneo, A.; Pinel-Alloul, B.; Galanti, G.; Morabito, G. Biomass, composition and size structure of invertebrate communities associated to different types of aquatic vegetation during summer in Lago di Candia (Italy). J. Limnol. 2004, 63, 190–198. [Google Scholar] [CrossRef]
- Cremona, F.; Planas, D.; Lucotte, M. Biomass and composition of macroinvertebrate communities associated with different types of macrophyte architectures and habitats in a large fluvial lake. Fundam. Appl. Limnol./Arch. Hydrobiol. 2008, 171, 119–130. [Google Scholar] [CrossRef]
- Boll, T.; Johansson, L.S.; Lauridsen, T.L.; Landkildehus, F.; Davidson, T.A.; Søndergaard, M.; Andersen, F.; Jeppesen, E. Changes in benthic macroinvertebrate abundance and lake isotope (C, N) signals following biomanipulation: An 18-year study in shallow Lake Vaeng, Denmark. Hydrobiologia 2012, 686, 135–145. [Google Scholar] [CrossRef]
- Wootton, J.T.; Oemke, M.P. Latitudinal differences in fish community trophic structure, and the role of fish herbivory in a Costa Rican stream. Environ. Biol. Fishes 1992, 35, 311–319. [Google Scholar] [CrossRef]
- Ibañez, C.; Belliard, J.; Hughes, R.M.; Irz, P.; Kamdem-Toham, A.; Lamouroux, N.; Tedesco, P.A.; Oberdorff, T. Convergence of temperate and tropical stream fish assemblages. Ecography 2009, 32, 658–670. [Google Scholar] [CrossRef]
- Mendonça, R.; Kosten, S.; Lacerot, G.; Mazzeo, N.; Roland, F.; Ometto, J.P.; Paz, E.A.; Bove, C.P.; Bueno, N.C.; Gomes, J.H.C. Bimodality in stable isotope composition facilitates the tracing of carbon transfer from macrophytes to higher trophic levels. Hydrobiologia 2013, 710, 205–218. [Google Scholar] [CrossRef]
- Yoshioka, T.; Wada, E.; Hayashi, H. A stable isotope study on seasonal food web dynamics in a eutrophic lake. Ecology 1994, 75, 835–846. [Google Scholar] [CrossRef]
- Tarvainen, M.; Vuorio, K.; Sarvala, J. The diet of ruffe Gymnocephalus cernuus (L.) in northern lakes: New insights from stable isotope analyses. J. Fish Biol. 2008, 72, 1720–1735. [Google Scholar] [CrossRef]
- Guzzo, M.M.; Haffner, G.D.; Sorge, S.; Rush, S.A.; Fisk, A.T. Spatial and temporal variabilities of δ13C and δ15N within lower trophic levels of a large lake: Implications for estimating trophic relationships of consumers. Hydrobiologia 2011, 675, 41–53. [Google Scholar] [CrossRef]
- Werner, E.E.; Gilliam, J.F. The ontogenetic niche and species interactions in size-structured populations. Ann. Rev. Ecol. Syst. 1984, 15, 393–426. [Google Scholar] [CrossRef]
- Paszkowski, C.A.; Tonn, W.M.; Holopainen, I.J. An experimental study of body size and food size relations in crucian carp, Carassius carassius. Environ. Biol. Fishes 1989, 24, 275–286. [Google Scholar] [CrossRef]
© 2017 by the authors; licensee MDPI, Basel, Switzerland. This article is an open access article distributed under the terms and conditions of the Creative Commons Attribution (CC BY) license (http://creativecommons.org/licenses/by/4.0/).





