A New Practical Method to Simulate Flood-Induced Bridge Pier Scour—A Case Study of Mingchu Bridge Piers on the Cho-Shui River
Abstract
:1. Introduction
1.1. Field Instrument for Scour Depth Measurement
1.2. Hydrodynamic and Sediment Transport Modeling
2. Field Measurements, Procedures and Results
2.1. Site Description
2.2. Procedures of Scour Measurements
2.3. Results of Scour Measurements
2.4. Proposed General-Scour Computation Equation
3. Method for Bridge Scour Simulation
3.1. 2D Finite-Volume Hydraulic Model
- The model is suitable for modeling flow hydraulics involving irregular bed topography;
- Both steady or unsteady flows can be simulated;
- The solution is accurate and the numerical algorithm is efficient;
- An unstructured arbitrarily shaped mesh is used; and
- All flow regimes (i.e., subcritical, transcritical, and supercritical flows) can be resolved.
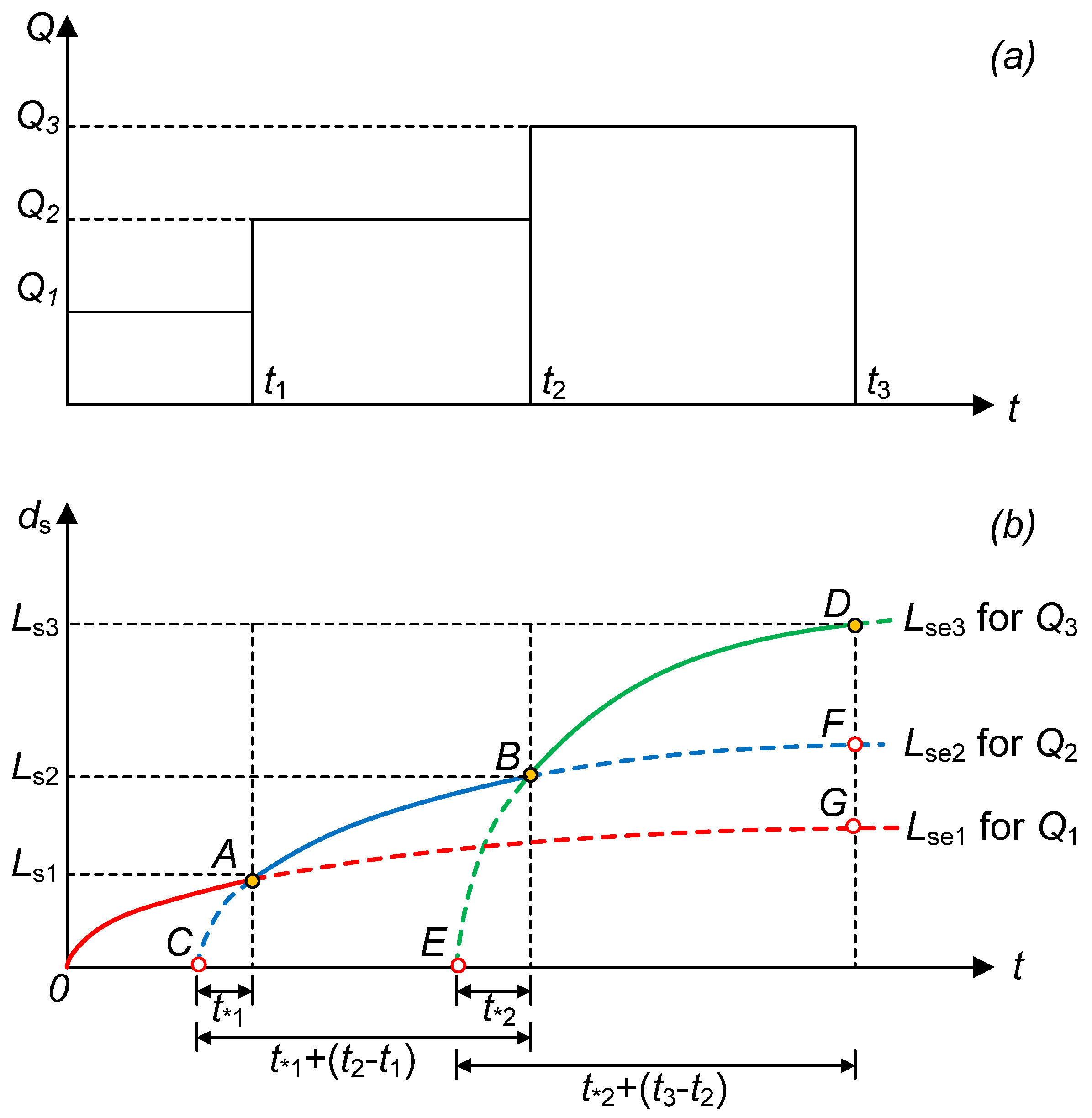
3.2. Local-Scour Computation Algorithm
- For the first flow discharge Q1 with duration t1, the evolution of the scour depth follows the OA curve under a steady flow condition. The cumulative scour depth is denoted as Ls1. If the duration of flow discharge Q1 is sufficiently long, the local scour hole may reach the equilibrium condition, and the corresponding scour depth is Lse1, where Lse1 > Ls1.
- When the flow discharge increases from Q1 to Q2, the evolution of the scour depth follows the AB curve under the steady flow condition. Point C represents the virtual origin for the scouring process associated with the discharge Q2. Because the scouring process can “memorize” the previous scour depth, and because Q2 > Q1, the time (t*,1) required for the scour depth to reach Ls1 is less than t1. The AB curve represents the corresponding evolution of the scour depth from t1 to t2.
- Similar to the calculation procedure (2), when the flow rate increases from Q2 to Q3 (> Q2), the evolution of the scour depth follows the BD curve under the steady flow condition. Likewise, Point E represents the virtual origin for the scouring process associated with the discharge Q3. Because Q3 > Q2, the time (t*,2) required for the scour depth to reach Ls2 is less than t*,1 + (t2 − t1). The BD curve indicates the corresponding evolution of the scour depth from t2 to t3.
- Repeat the preceding procedure until all of the subdivisions are completed.
- Obtain the temporal variation of scour depth under unsteady flow conditions.
3.3. Method for Simulating Total Scour-Depth Evolution
- Using the proposed 2D finite-volume hydraulic model to simulate the 2D flow field near the bridge piers, one obtains the hydraulic properties including the water levels, velocities, and water depths upstream of the bridge piers.
- The evolution of the general scour is obtained when these hydraulic properties are inputted to the proposed general-scour computation equation (i.e., Equation (5)).
- On the basis of the evolution of the general scour depth and the revised approach flow conditions, the local-scour computation algorithm, i.e., Equations (13)~(15), can be used to estimate the evolution of the local scour depth.
- The evolution of the total scour depth can be obtained by summing the general depth and local scour depth.
4. Hydraulic and Bridge Scour Simulations
4.1. Verification of Finite-Volume Hydraulic Model
4.2. Simulations of Total Scour-Depth Evolution
4.3. Scoured Bed Level-Discharge Relationship
5. Conclusions
- The “numbered-brick” method is a useful tool for measuring the total scour and general scour depth, especially for ephemeral/intermittent rivers even though it only can provide the maximum scour depth after a flood event. However, it should be noted that the stability of the pier may be threatened by digging around the pier foundation to place the bricks. To this end, extreme care must be taken when digging around the pier foundation. A dimensionless formula was established for calculating the general scour depth using the measured field data and based on the unit width peak flow discharge, sediment particle size and standard deviation of the particle size distribution. The dimensionless general scour formula gives a reasonably good prediction compared with the field data. The formula may be used for the assessment of general scour under a design flood with certain return period, and this information may be further used for the design of protection for bridge piers or the toe of levees.
- For practical engineering practices, the total scour depth at a bridge pier may be the sum of the general scour, contraction scour and local-pier scour depth. When the contraction scour is ignored, the total scour is then the sum of general scour and local scour. The percentage of flood induced short-term general scour is found to increase (percentage of local scour decreases) with the flow discharge. It may therefore be inferred that for high flow conditions, the contribution of general scour to the total scour is more important, thus rendering a careful monitoring of the evolution of general scour to be essential.
- For simulating the total scour evolution, this study proposed a straight-forward and accurate estimation method. The accuracy of the proposed method is verified from both short-term general scour and total pier-scour depth collected from field measurements. The satisfactory simulated results show that the method can be successfully used to evaluate the development of the total pier-scour depth. In future studies, this method can be coupled with hydro-meteorological modeling for bridge scour forecasting, which can be applied to a real-time bridge scour warning system. This development will provide bridge owners with a superior method to estimate the scoured bed level towards a rational approach for bridge closure decision with a higher level of confidence.
Acknowledgments
Author Contributions
Conflicts of Interest
References
- Shirhole, A.M.; Holt, R.C. Planning for a comprehensive bridge safety assurance program. Transp. Res. Rec. 1991, 1290, 137–142. [Google Scholar]
- Hong, J.H.; Chiew, Y.M.; Lu, J.Y.; Lai, J.S.; Lin, Y.B. Case study: Houfong Bridge failure in Taiwan. J. Hydraul. Eng. 2012, 138, 186–199. [Google Scholar] [CrossRef]
- Lu, J.Y.; Hong, J.H.; Su, C.C.; Wang, C.Y.; Lai, J.S. Field measurements and simulation of bridge scour depth variations during floods. J. Hydraul. Eng. 2008, 134, 810–821. [Google Scholar] [CrossRef]
- Lu, J.Y. Experimental Study of Sediment Transport Relationships for the Lower Cho-Shui River after the 921 Chi-Chi Earthquake (2/2); Water Resources Planning Institute, Water Resources Agency, Ministry of Economic Affairs: Taichung, Taiwan, 2007. (In Chinese)
- Dodaro, G.; Tafarojnoruz, A.; Stefanucci, F.; Adduce, C.; Calomino, F.; Gaudio, R.; Sciortino, G. An experimental and numerical study on the spatial and temporal evolution of a scour hole downstream of a rigid bed. In Proceedings of the International Conference on Fluvial Hydraulics, River Flow, Lausanne, Switzerland, 3–5 September 2014; pp. 1415–1422.
- Yen, C.L.; Lai, J.S.; Chang, W.Y. Modeling of 3D flow and scouring around circular piers. Proc. Natl. Sci. Counc. A Phys. Sci. Eng. 2001, 25, 17–26. [Google Scholar]
- Nagata, N.; Hosoda, T.; Nakato, T.; Muramoto, Y. Three-dimensional numerical model for flow and bed deformation around river hydraulic structures. J. Hydraul. Eng. 2005, 131, 1074–1087. [Google Scholar] [CrossRef]
- Roulund, A.; Sumer, B.M.; Fredsoe, J.; Michelsen, J. Numerical and experimental investigation of flow and scour around a circular pile. J. Fluid Mech. 2005, 534, 351–401. [Google Scholar] [CrossRef]
- Guo, W.D.; Hong, J.H.; Lee, F.Z.; Lai, J.S. Bridge scour prediction using 2D hydraulic model with empirical equations—A case study of Shuangyuan Bridge piers on the Kao-Ping River. In Proceedings of the 6th World Conference on Structural Control and Monitoring, Barcelona, Spain, 15–17 July 2014.
- Pagliara, S.; Carnacina, I. Temporal scour evolution at bridge piers: Effect of wood debris roughness and porosity. J. Hydraul. Res. 2010, 48, 3–13. [Google Scholar] [CrossRef]
- Pagliara, S.; Carnacina, I. Influence of wood debris accumulation on bridge pier scour. J. Hydraul. Eng. 2011, 137, 254–261. [Google Scholar] [CrossRef]
- Su, C.C.; Lu, J.Y. Measurements and prediction of typhoon-induced short-term general scours in intermittent rivers. Nat. Hazards 2013, 66, 671–687. [Google Scholar] [CrossRef]
- Melville, B.W.; Coleman, S.E. Bridge Scour; Water Resources Publications: Highlands Ranch, CO, USA, 2000. [Google Scholar]
- Richardson, E.V.; Davis, S.R. Evaluating Scour at Bridges, 3rd ed.Rep. No. FHWA-IP-90-17, Hydraulic Engineering Circular No. 18 (HEC-18); U.S. Department of Transportation: Washington, DC, USA, 1995.
- Hong, J.H.; Chiew, Y.M.; Yeh, P.H. Comparisons of time-dependent pier-scour models under unsteady flow conditions. In Proceedings of the 7th International Scour and Erosion Conference, Perth, Australia, 2–4 December 2014.
- Lai, J.S.; Guo, W.D.; Lin, G.F.; Tan, Y.C. A well-balanced upstream flux-splitting finite-volume scheme for shallow-water flow simulations with irregular bed topography. Int. J. Numer. Methods Fluids 2010, 62, 927–944. [Google Scholar] [CrossRef]
- Guo, W.D.; Lai, J.S.; Lin, G.F.; Lee, F.Z.; Tan, Y.C. Finite volume multi-stage scheme for advection-diffusion modeling in shallow water flow. J. Mech. 2011, 27, 415–430. [Google Scholar] [CrossRef]
- Guo, W.D.; Yang, T.H.; Chang, Y.C.; Shih, D.S.; Chen, C.H.; Ho, J.Y.; Lee, K.T.; Lin, G.F.; Hsiao, L.F.; Lee, C.S. Real-time scour depth predicting system based on ensemble quantitative precipitation forecast. In Proceedings of the 35th IAHR World Congress, Chengdu, China, 8–13 September 2013.
- Shen, H.W.; Schneider, V.R.; Karaki, S.S. Mechanics of Local Scour; Pub. No. CER66-HWS22; Colorado State University, Civil Engineering Department: Fort Collins, CO, USA, 1966. [Google Scholar]
- Hjorth, P. A Stochastic model of progressive scour. In Proceedings of the International Symposium on Stochastic Hydraulics, University of Lund, Lund, Sweden, 2–4 August 1977.
- Yanmaz, A.M.; Altinbilek, H.D. Study of time-dependent local scour around bridge piers. J. Hydraul. Eng. 1991, 117, 1247–1268. [Google Scholar] [CrossRef]
- Kothyari, U.C.; Garde, R.J.; Ranga, R.K.G. Temporal variation of scour around circular bridge piers. J. Hydraul. Eng. 1992, 118, 1091–1106. [Google Scholar] [CrossRef]
- Melville, B.W.; Chiew, Y.M. Time scale for local scour at bridge piers. J. Hydraul. Eng. 1999, 125, 59–65. [Google Scholar] [CrossRef]
- Mia, M.F.; Nago, H. Design model of time-dependent local scour at circular bridge pier. J. Hydraul. Eng. 2003, 129, 420–427. [Google Scholar] [CrossRef]
- Chang, W.Y.; Lai, J.S.; Yen, C.L. Evolution of scour depth at circular bridge piers. J. Hydraul. Eng. 2004, 130, 905–913. [Google Scholar] [CrossRef]
- Oliveto, G.; Hager, W.H. Further results to time-dependent local scour at bridge elements. J. Hydraul. Eng. 2005, 131, 97–105. [Google Scholar] [CrossRef]
- Gaudio, R.; Grimaldi, C.; Tafarojnoruz, A.; Calomino, F. Comparison of formulae for the prediction of scour depth at piers. In Proceedings of the First European IAHR Congress, Edinburgh, UK, 4–6 May 2010; p. 6.
- Gaudio, R.; Tafarojnoruz, A.; de Bartolo, S. Sensitivity analysis of bridge pier scour depth predictive formulae. J. Hydroinform. 2013, 15, 939–951. [Google Scholar] [CrossRef]
- Laursen, E.M. Scour at Bridge Crossings; Bulletin No. 8; Iowa Highway Research Board: Ames, IA, USA, 1958. [Google Scholar]
- Shen, H.W.; Schneider, V.R.; Karaki, S.S. Local scour around bridge piers. J. Hydraul. Div. 1969, 95, 1919–1940. [Google Scholar]
- Jain, S.C.; Fischer, E.E. Scour around Bridge Piers at High Froude Numbers; Report No. FH-WA-RD-79–104; Federal Highway Administration, U.S. Department of Transportation: Washington, DC, USA, 1980.
- Ferraro, D.; Tafarojnoruz, A.; Gaudio, R.; Cardoso, A.H. Effects of pile cap thickness on the maximum scour depth at a complex pier. J. Hydraul. Eng. 2013, 139, 482–491. [Google Scholar] [CrossRef]


















| River | Site | Flood Event | Qp (m3/s) | B (m) | qp (m2/s) | S | d50 (mm) | Gs (m) | Bed Features | Remark |
|---|---|---|---|---|---|---|---|---|---|---|
| Cho-Shui River | Mingchu Bridge | 1. Typhoon Dujuan (September 2003) | 2146 | 247 | 8.69 | 0.01 | 35 | 2.1 | Gravel bed | Lu et al. [3] |
| 2. Typhoon Mindulle (July 2004) | 7250 | 275 | 21.54 | 0.01 | 35 | 6 | Lu et al. [3] | |||
| 3. Typhoon Soulik (July 2013) | 7285 | 300 | 24.28 | 0.007 | 37.73 | 3.80 | Gravel/sand bed | Current study | ||
| 4. Monsoon (May 2014) | 1446 | 148.5 | 9.74 | 0.00518 | 1.52 | 1.82 | Current study | |||
| 5. Typhoon Matmo (July 2014) | 4980 | 150.4 | 33.1 | 0.00518 | 1.52 | 3.25 | Current study | |||
| Silo Bridge | 6. Typhoon Dujuan (September 2003) | 2268 | 506 | 4.48 | 0.001 | 2 | 1.2 | Sand bed | Lu et al. [3] | |
| 7. Typhoon Mindulle (July 2004) | 8050 | 758 | 10.62 | 0.001 | 2 | 1.65 | Lu et al. [3] | |||
| Da-Chia River | Houfeng Bridge | 8. Typhoon Sinlaku (September 2008) | 5410 | 230 | 23.52 | 0.011 | 136 | 1.56 | Gravel bed | Su and Lu [12] |
| Dachia Highway Bridge | 9. Typhoon Morakot (August 2009) | 4225 | 400 | 10.56 | 0.011 | 96 | 4.5 | Su and Lu [12] |
| Events | Two Criteria | |
|---|---|---|
| Eηp (%) | ETp (h) | |
| Monsoon (May, 2014) | 0.0057 | 0 |
| Typhoon Matmo (July, 2014) | 0.0521 | 1 |
| Variables | Monsoon (May, 2014) | Typhoon Matmo (July, 2014) | ||||
|---|---|---|---|---|---|---|
| Qp (m3/s) | 1446 | 4980 | ||||
| Measured | Simulated | Error (%) | Measured | Simulated | Error (%) | |
| Gs (m) | 1.815 | 1.881 | 3.64 | 3.245 | 3.137 | −3.33 |
| LS (m) | 0.770 | 0.707 | −8.18 | 0.880 | 1.362 | 54.77 |
| Ts (m) | 2.585 | 2.588 | 0.12 | 4.125 | 4.499 | 9.07 |
| Gs/Ts | 0.70 | 0.73 | 4.29 | 0.79 | 0.70 | −11.39 |
| Ls/Ts | 0.30 | 0.27 | 10.00 | 0.21 | 0.30 | 42.86 |
© 2016 by the authors; licensee MDPI, Basel, Switzerland. This article is an open access article distributed under the terms and conditions of the Creative Commons Attribution (CC-BY) license (http://creativecommons.org/licenses/by/4.0/).
Share and Cite
Hong, J.-H.; Guo, W.-D.; Chiew, Y.-M.; Chen, C.-H. A New Practical Method to Simulate Flood-Induced Bridge Pier Scour—A Case Study of Mingchu Bridge Piers on the Cho-Shui River. Water 2016, 8, 238. https://doi.org/10.3390/w8060238
Hong J-H, Guo W-D, Chiew Y-M, Chen C-H. A New Practical Method to Simulate Flood-Induced Bridge Pier Scour—A Case Study of Mingchu Bridge Piers on the Cho-Shui River. Water. 2016; 8(6):238. https://doi.org/10.3390/w8060238
Chicago/Turabian StyleHong, Jian-Hao, Wen-Dar Guo, Yee-Meng Chiew, and Cheng-Hsin Chen. 2016. "A New Practical Method to Simulate Flood-Induced Bridge Pier Scour—A Case Study of Mingchu Bridge Piers on the Cho-Shui River" Water 8, no. 6: 238. https://doi.org/10.3390/w8060238
APA StyleHong, J.-H., Guo, W.-D., Chiew, Y.-M., & Chen, C.-H. (2016). A New Practical Method to Simulate Flood-Induced Bridge Pier Scour—A Case Study of Mingchu Bridge Piers on the Cho-Shui River. Water, 8(6), 238. https://doi.org/10.3390/w8060238
