Feeding Characteristics of Crocodile Toothfish, Champsodon snyderi in the South Sea of Korea
Abstract
1. Introduction
2. Materials and Methods
2.1. Study Area and Sample Collection
2.2. Stomach Content Analysis
2.3. Trophic Level
2.4. Multivariate Analysis of Stomach Content Composition
3. Results
3.1. Environmental Variation
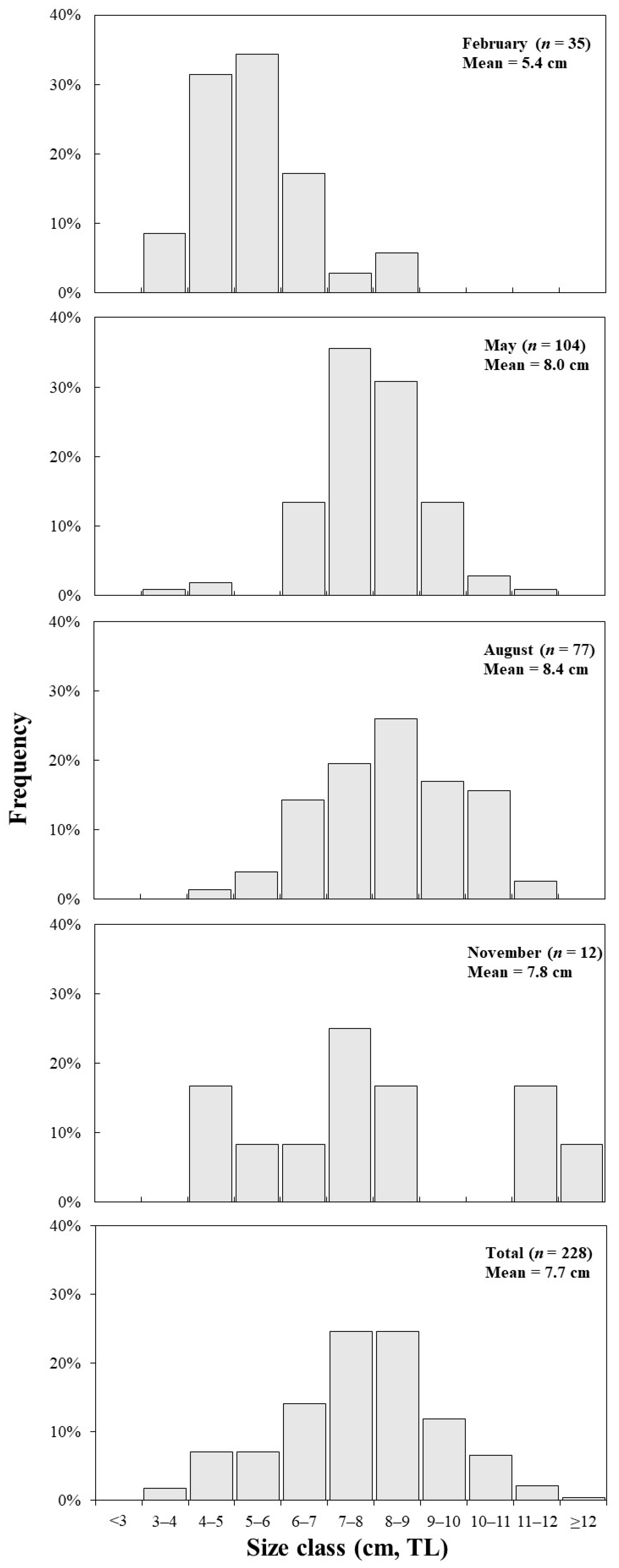
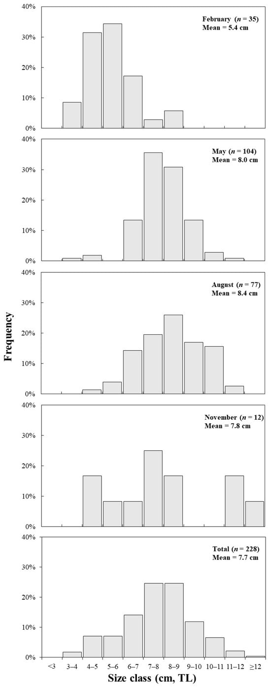
3.2. TL Distribution
3.3. Diet Composition and Trophic Level
3.4. Size-Class Differences in Diet Composition
3.5. Seasonal Variation in Diet Composition
3.6. Analysis of Feeding Patterns Based on Size Class and Season
4. Discussion
Author Contributions
Funding
Data Availability Statement
Acknowledgments
Conflicts of Interest
Abbreviations
| TL | total length |
| BW | body weight |
| %F | frequency of occurrence |
| %N | numerical percentage |
| %W | weight percentage |
| IRI | index of relative importance |
| CAP | canonical analysis of principal coordinates |
| PERMANOVA | permutational multivariate analysis of variance |
| KODC | Korea Oceanographic Data Center |
References
- Shephard, S.; Reid, D.G.; Greenstreet, S.P.R. Interpreting the large fish indicator for the Celtic Sea. ICES J. Mar. Sci. 2011, 68, 1963–1972. [Google Scholar] [CrossRef]
- Nemeth, D. Systematics and distribution of fishes of the family Champsodontidae (Teleostei: Perciformes), with descriptions of three new species. Copeia 1994, 2, 347–371. [Google Scholar] [CrossRef]
- Xu, Y.; Ma, L.; Sun, Y.; Li, X.; Wang, H.; Zhang, H. Spatial variation of demersal fish diversity and distribution in the East China Sea: Impact of the bottom branches of the Kuroshio Current. J. Sea Res. 2019, 144, 22–32. [Google Scholar] [CrossRef]
- Watson, W. Champsodontidae—Gapers. In The Larvae of Indo-Pacific Shorefishes; Leis, J.M., Trnski, T., Eds.; University of Hawaii Press: Honolulu, HI, USA, 1989; pp. 245–258. [Google Scholar]
- Yoo, J.M.; Kim, S.; Lee, E.K.; Kim, Y.U. Studies on the fish larvae community in the Sea around Cheju Island in November, 1986. J. Oceanol. Soc. Korea 1998, 3, 71–79. [Google Scholar]
- Morohoshi, Y.; Sasaki, K. Intensive cannibalism and feeding on bregmacerotids in Champsodon snyderi (Champsodontidae): Evidence for pelagic predation. Ichthyol. Res. 2003, 50, 387–390. [Google Scholar] [CrossRef]
- Yang, X.; Deng, Y.; Qin, J.; Luo, K.; Kang, B.; He, X.; Yan, Y. Dietary shifts in the adaptation to changing marine resources: Insights from a decadal study on greater lizardfish (Saurida tumbil) in the Beibu Gulf, South China Sea. Animal 2024, 14, 798. [Google Scholar] [CrossRef]
- Jo, J.H.; Kim, D.G.; Kang, D.Y.; Kang, S.K.; Jeong, J.M.; Baeck, G.W. Feeding habits of the Glowbelly Acropoma japonicum in the South Sea of Korea. Korean J. Fish. Aquat. Sci. 2022, 55, 374–378. [Google Scholar]
- Jeong, J.M.; Lee, S.J.; Baeck, G.W. Feeding ecology of smallmouth Argentine Argentina kagoshimae in coastal waters of the South Sea, Korea. Korean J. Fish. Aquat. Sci. 2022, 55, 590–597. [Google Scholar]
- Sousa, W.P. The role of disturbance in natural communities. Annu. Rev. Ecol. Syst. 1984, 15, 353–391. [Google Scholar] [CrossRef]
- Hillebrand, H. On the generality of the latitudinal diversity gradient. Am. Nat. 2004, 163, 192–211. [Google Scholar] [CrossRef]
- Sunday, J.M.; Bates, A.E.; Dulvy, N.K. Thermal tolerance and the global redistribution of animals. Nat. Clim. Change 2012, 2, 686–690. [Google Scholar] [CrossRef]
- Campbell, A.H.; Marzinelli, E.M.; Vergés, A.; Coleman, M.A.; Steinberg, P.D. Towards restoration of missing underwater forests. PLoS ONE 2014, 9, e84106. [Google Scholar] [CrossRef]
- Pinsky, M.L.; Selden, R.L.; Kitchel, Z.J. Climate-driven shifts in marine species ranges: Scaling from organisms to communities. Annu. Rev. Mar. Sci. 2020, 12, 153–179. [Google Scholar] [CrossRef]
- Liu, Y.; Cheng, J. Analysis of the interrelation and seasonal variation characteristics of the spatial niche of dominant fishery species—A case study of the East China Sea. Biology 2024, 13, 751. [Google Scholar] [CrossRef] [PubMed]
- Xu, K.D.; Jin, H.W.; Lu, Z.H.; Pan, G.L.; Zhu, Z.J. Preliminary study on feeding ecology of Champsodon snyderi in the East China Sea region. Marine Sci. 2012, 36, 79–88, (In Chinese with English abstract). [Google Scholar]
- Froese, R.; Pauly, D. (Eds.) FishBase. World Wide Web Electronic Publication. Available online: https://www.fishbase.org (accessed on 30 June 2025).
- Gauzens, B.; Rosenbaum, B.; Kalinkat, G.; Boy, T.; Jochum, M.; Kortsch, S.; O’Gorman, E.J.; Brose, U. Flexible foraging behavior increases predator vulnerability to climate change. Nat. Clim. Change 2024, 14, 387–392. [Google Scholar] [CrossRef]
- Kaname, O. New Illustrated Encyclopedia of the Fauna of Japan; Hokuryu-Kan Publishing Co., Ltd.: Tokyo, Japan, 1988; pp. 1–803. [Google Scholar]
- Hong, S.Y. Marine Invertebrates in Korean Coasts; Academy Publishing Company: Seoul, Republic of Korea, 2006; pp. 1–479. [Google Scholar]
- Hyslop, E.J. Stomach contents analysis: A review of methods and their application. J. Fish. Biol. 1980, 17, 411–429. [Google Scholar] [CrossRef]
- Pinkas, L.; Oliphant, M.S.; Iverson, I.L.K. Food Habits of Albacore, Bluefin Tuna, and Bonito in California Waters. Fish Bulletin 152 1970, 1–105. Available online: https://escholarship.org/uc/item/7t5868rd (accessed on 30 June 2025).
- Cortés, E. Standardized diet compositions and trophic levels of sharks. ICES J. Mar. Sci. 1999, 56, 707–717. [Google Scholar] [CrossRef]
- Pauly, D.; Trites, A.W.; Capuli, E.; Christensen, V. Diet composition and trophic levels of marine mammals. ICES J. Mar. Sci. 1998, 55, 467–481. [Google Scholar] [CrossRef]
- Ebert, D.A.; Bizzarro, J.J. Standardized diet compositions and trophic levels of skates (Chondrichthyes: Rajiformes: Rajoidei). Environ. Biol. Fish. 2007, 80, 221–237. [Google Scholar] [CrossRef]
- Anderson, M.J.; Gorley, R.N.; Clarke, K.R. PERMANOVA + for PRIMER: Guide to Software and Statistical Methods; PRIMER-E: Plymouth, UK, 2008. [Google Scholar]
- Brett, J.R.; Groves, T.D.D. Physiological energetics. Fish Physiol. 1979, 8, 279–352. [Google Scholar]
- Budnikova, L.L.; Blokhin, S.A. Food contents of the eastern gray whale Eschrichtius robustus Lilljeborg, 1861 in the Mechigmensky bay of the Bering Sea. Russ. J. Mar. Biol. 2012, 38, 149–155. [Google Scholar] [CrossRef]
- Padovani, L.N.; Viñas, M.D.; Sánchez, F.; Mianzan, H. Amphipod-supported food web: Themisto gaudichaudii, a key food resource for fishes in the Southern Patagonian Shelf. J. Sea Res. 2012, 67, 85–90. [Google Scholar] [CrossRef]
- Blanchard, A.L.; Demchenko, N.L.; Aerts, L.A.M.; Yazvenko, S.B.; Ivin, V.V.; Shcherbakov, I.; Melton, H.R. Prey biomass dynamics in gray whale feeding areas adjacent to Northeastern Sakhalin (the Sea of Okhotsk), Russia, 2001–2015. Mar. Environ. Res. 2019, 145, 123–136. [Google Scholar] [CrossRef]
- Daly, E.A.; Brodeur, R.D.; Morgan, C.A.; Burke, B.J.; Huff, D.D. Prey selectivity and diet partitioning of juvenile salmon in coastal waters in relation to prey biomass and implications for salmon early marine survival. Nor. Pac. Anadromous Fish Comm. Tech. Rep. 2021, 17, 53–56. [Google Scholar] [CrossRef]
- Havermans, C.; Auel, H.; Hagen, W.; Held, C.; Ensor, N.S.; Tarling, G.A. Chapter Two-Predatory zooplankton on the move: Themisto amphipods in high-latitude marine pelagic food webs. Adv. Mar. Biol. 2019, 82, 51–92. [Google Scholar]
- Seo, J.Y.; Choi, J.W. The macrozoobenthic community at the expected sand excavation area in the Southern continental shelf of Korea. J. Korean Soc. Oceanogr. 2010, 15, 68–71. [Google Scholar]
- Kim, K.W.; Choi, J.H.; Shin, S.Y.; Kim, J.; Kim, Y.H. Amphipod (Crustacea: Malacostraca) fauna of the continental shelf region in the Southern Sea of Korea. J. Species Res. 2024, 13, 159–177. [Google Scholar]
- Choi, C.H.; Kim, H.J.; Lee, J.H.; Baeck, G.W. Diet composition and trophic level of bluefin searobin, Chelidonichthys spinosusin in the South Sea of Korea. J. Korean Soc. Fish. Ocean Technol. 2024, 60, 397–404. [Google Scholar] [CrossRef]
- Park, W.G.; Ma, C.W.; Hong, S.Y.; Lee, K.W. Distribution and abundance of planktonic shrimps in the southern sea of Korea during 1987–1991. Fish. Aquat. Sci. 2009, 12, 240–248. [Google Scholar] [CrossRef][Green Version]
- Brusca, R.C.; Brusca, G.J. Invertebrates; Sinauer Associates: Sunderland, MA, USA, 1990. [Google Scholar]
- Smith, J.L.B. The Sea Fishes of Southern Africa; Central News Agency: Cape Town, South Africa, 1953. [Google Scholar]
- Pauly, D.; Christensen, V.; Dalsgaard, J.; Froese, R.; Torres, F. Fishing down marine food webs. Science 1998, 279, 860–863. [Google Scholar] [CrossRef]
- Pauly, D.; Palomares, M.L. Approaches for dealing with three sources of bias when studying the fishing down marine food web phenomenon. In Fishing Down the Mediterranean Food Webs? Durand, F., Ed.; CIESM Workshop Series 12; CIESM: La Condamine, Monaco, 2000; pp. 61–66. [Google Scholar]
- Kim, D.G.; Seong, G.C.; Jin, S.Y.; Soh, H.Y.; Baeck, G.W. Diet composition and trophic level of jack mackerel, Trachurus japonicus, in the South Sea of Korea. J. Korean Soc. Fish. Ocean Technol. 2021, 57, 117–126. [Google Scholar] [CrossRef]
- Seong, G.C.; Kim, D.G.; Jin, S.Y.; Soh, H.Y.; Baeck, G.W. Diet composition of the chub mackerel Scomber japonicus in the coastal waters of the South Sea of Korea. Korean J. Fish. Aquat. Sci. 2021, 54, 73–79. [Google Scholar]
- Park, H.S.; Song, S.H.; Jeong, J.M.; Yang, J.H.; Kim, C.S. Comparison of the feeding characteristics of chub mackerel Scomber japonicus in Jeju Island and the Yellow Sea of Korea. Water 2025, 17, 1804. [Google Scholar] [CrossRef]
- Brown-Vuillemin, S.; Barreau, T.; Caraguel, J.M.; Iglésias, S.P. Trophic ecology and ontogenetic diet shift of the blue skate (Dipturus cf. flossada). J. Fish Biol. 2020, 97, 515–526. [Google Scholar] [CrossRef] [PubMed]
- Baeck, G.W.; Park, J.M.; Huh, S.H.; Kim, H.J.; Jeong, J.M. Feeding habits of kammal thryssa, Thryssa kammalensis (Bleeker, 1849) in the coastal waters of Gadeok-do, Korea. Anim. Cells. Syst. 2014, 18, 154–159. [Google Scholar] [CrossRef]
- Son, S.H.; Jeong, J.M.; Kim, H.J.; Kim, K.R.; Baeck, G.W. Feeding habits of the pacific herring Clupea pallasii in the coastal waters of the East Sea, Korea. Korean J. Fish. Aquat. Sci. 2022, 55, 224–228. [Google Scholar]
- Lorz, H.V.; Pearcy, W.G. Distribution of hyperiid amphipods off the Oregon Coast. J. Fish. Res. Board Can. 1975, 32, 1442–1447. [Google Scholar] [CrossRef]
- Jeong, S.J.; Yu, O.H.; Suh, H.L. Seasonal variation and feeding habits of amphipods inhabiting Zostera marina beds in Gwangyang Bay, Korea. J. Korean Fish. Soc. 2004, 37, 122–128. [Google Scholar]
- Lavaniegos, B.E.; Hereu, C.M. Seasonal variation in hyperiid amphipods and influence of mesoscale structures off Baja California. Mar. Ecol. Prog. Ser. 2009, 394, 137–152. [Google Scholar] [CrossRef]
- Chen, Y.A.; Chang, F.H.; Tao, H.H.; Hsieh, C.H. Seasonal variation of euphausiid life stage and taxonomic composition near the upwelling site Northeast of Taiwan. Cont. Shelf Res. 2023, 269, 105–135. [Google Scholar] [CrossRef]
- Lee, B.R. Distribution of Euphausiids and Population Structure of Euphausia pacifica in Korea Waters. Ph.D. Dissertation, Pukyong National University, Busan, Republic of Korea, 2021. [Google Scholar]
- Seo, Y.I.; Lee, J.H.; Oh, T.Y.; Lee, J.B.; Choi, Y.M.; Lee, D.W. Distribution and seasonal variations of fisheries resources captured by the beam trawl in Namhae Island, Korea. J. Kor. Soc. Fish. Tech. 2013, 49, 419–431. [Google Scholar] [CrossRef]
- Mauchline, J. The Biology of Mysids and Euphausiids. Advances in Marine Biology; Academic Press: London, UK; New York, NY, USA, 1980; Volume 18, pp. 1–681. [Google Scholar]
- Dauvin, J.C. Overview of predation by birds, cephalopods, fish and marine mammals on marine benthic amphipods. J. Mar. Sci. Eng. 2024, 12, 403. [Google Scholar] [CrossRef]
- Brewer, D.T.; Blaber, S.J.M.; Salini, J.P. Predation on penaeid prawns by fishes in Albatross Bay, Gulf of Carpentaria. Mar. Biol. 1991, 109, 231–240. [Google Scholar] [CrossRef]







| Group | Trophic Level |
|---|---|
| Amphipoda | 2.53 |
| Bathynellacea | 2.27 |
| Brachyura | 2.41 |
| Copepoda | 2.27 |
| Euphausiacea | 2.22 |
| Macrura | 2.41 |
| Mysidacea | 2.25 |
| Cephalopoda | 3.20 |
| Pisces | 3.06 |
| Prey Organisms | %F | %N | %W | IRI | %IRI | |
|---|---|---|---|---|---|---|
| Trophic Level | 3.47 | |||||
| Amphipoda | 66.7 | 64.1 | 13.7 | 5188.5 | 58.2 | |
| Gammaridae | 0.8 | 0.6 | + | |||
| Themisto sp. | 65.1 | 62.6 | 12.9 | |||
| Unidentified Amphipoda | 0.8 | 0.9 | 0.8 | |||
| Bathynellacea | 0.8 | 0.4 | + | 0.3 | + | |
| Brachyura | 0.8 | 0.2 | 0.3 | 0.3 | + | |
| Caridea | 42.6 | 17.5 | 58.7 | 3250.3 | 36.5 | |
| Leptochela sydniensis | 12.4 | 6.3 | 17.2 | |||
| Unidentified Caridea | 30.2 | 11.2 | 41.6 | |||
| Copepoda | 0.8 | 0.2 | + | 0.2 | + | |
| Euphausiacea | 14.7 | 15.7 | 14.0 | 436.4 | 4.9 | |
| Euphausia spp. | 14.7 | 15.7 | 14.0 | |||
| Mysidacea | 3.9 | 0.9 | 0.8 | 6.5 | 0.1 | |
| Cephalopoda | 1.6 | 0.4 | 7.6 | 12.4 | 0.1 | |
| Euprymna morsei | 0.8 | 0.2 | 3.1 | |||
| Unidentified Cephalopoda | 0.8 | 0.2 | 4.5 | |||
| Pisces | 3.1 | 0.7 | 4.8 | 17.3 | 0.2 | |
| Total | 100.0 | 100.0 | 8912.3 | 100.0 | ||
| Source | df | SS | MS | Pseudo-F | p |
|---|---|---|---|---|---|
| Season | 3 | 2304.1 | 768.02 | 0.73271 | 0.611 |
| Size | 2 | 5109.8 | 2554.9 | 2.4374 | 0.073 |
| Season × Size | 4 | 11,815 | 2953.8 | 2.818 | 0.02 |
Disclaimer/Publisher’s Note: The statements, opinions and data contained in all publications are solely those of the individual author(s) and contributor(s) and not of MDPI and/or the editor(s). MDPI and/or the editor(s) disclaim responsibility for any injury to people or property resulting from any ideas, methods, instructions or products referred to in the content. |
© 2026 by the authors. Licensee MDPI, Basel, Switzerland. This article is an open access article distributed under the terms and conditions of the Creative Commons Attribution (CC BY) license.
Share and Cite
Park, H.S.; Kim, H.J.; Baeck, G.W.; Jeong, J.M. Feeding Characteristics of Crocodile Toothfish, Champsodon snyderi in the South Sea of Korea. Water 2026, 18, 258. https://doi.org/10.3390/w18020258
Park HS, Kim HJ, Baeck GW, Jeong JM. Feeding Characteristics of Crocodile Toothfish, Champsodon snyderi in the South Sea of Korea. Water. 2026; 18(2):258. https://doi.org/10.3390/w18020258
Chicago/Turabian StylePark, Hyun Sol, Hyeon Ji Kim, Gun Wook Baeck, and Jae Mook Jeong. 2026. "Feeding Characteristics of Crocodile Toothfish, Champsodon snyderi in the South Sea of Korea" Water 18, no. 2: 258. https://doi.org/10.3390/w18020258
APA StylePark, H. S., Kim, H. J., Baeck, G. W., & Jeong, J. M. (2026). Feeding Characteristics of Crocodile Toothfish, Champsodon snyderi in the South Sea of Korea. Water, 18(2), 258. https://doi.org/10.3390/w18020258

