Integrated Effects of Irrigation Amounts, Fertilizer Types, and Tillage Practices on Crop Growth, Yield, and Fruit Quality of Processing Tomato
Abstract
1. Introduction
2. Materials and Methods
2.1. Experimental Site and Design
2.2. Measurements and Data Processing
2.2.1. Soil and Crop Sampling
2.2.2. Fruit Yield and Quality
2.3. Data Analysis
3. Results
3.1. Soil’s Water Content, Salt, and Nitrogen
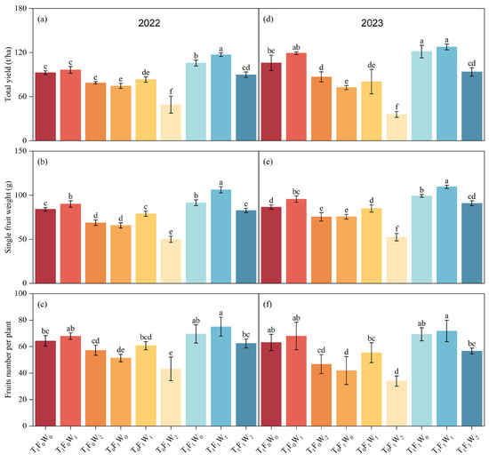
3.2. Crop Growth, Tomato Yield, and Fruit Quality
3.3. Interaction Effects Among Irrigation, Fertilization, and Tillage Practices
4. Discussion
5. Conclusions
Supplementary Materials
Author Contributions
Funding
Data Availability Statement
Acknowledgments
Conflicts of Interest
References
- Lahoz, I.; Perez-De-Castro, A.; Valcarcel, M.; Macua, J.I.; Beltran, J.; Rosello, S.; Cebolla-Cornejo, J. Effect of water deficit on the agronomical performance and quality of processing tomato. Sci. Hortic. 2016, 200, 55–65. [Google Scholar] [CrossRef]
- Ma, J.Y.; Chen, R.; Wen, Y.; Zhang, J.Z.; Yin, F.H.; Javed, T.; Zheng, J.L.; Wang, Z.H. Processing tomato (Lycopersicon esculentum Miller) yield and quality in arid regions through micro-nano aerated drip irrigation coupled with humic acid application. Agric. Water Manag. 2025, 308, 109317. [Google Scholar] [CrossRef]
- Zheng, R.Y.; Ren, Q.; Xie, Q.; Tan, J.W.; Huang, G.H. Spatial and temporal variability of irrigation water demand of processing tomato in the Northwest Arid Region of China. J. Irri. Drain. 2024, 43, 39–47. [Google Scholar]
- Zheng, R.Y.; Tan, J.W.; Huo, Z.L.; Huang, G.H. Effects of Ridge Planting on the Distribution of SoilWater-Salt-Nitrogen, Crop Growth, and Water Use Efficiency of Processing Tomatoes Under Different Irrigation Amounts. Water 2025, 17, 1738. [Google Scholar] [CrossRef]
- Ghannem, A.; Ben Aissa, I.; Majdoub, R. Effects of regulated deficit irrigation applied at different growth stages of greenhouse grown tomato on substrate moisture, yield, fruit quality, and physiological traits. Environ. Sci. Pollut. Res. 2021, 28, 46553–46564. [Google Scholar] [CrossRef]
- Kusçu, H.; Turhan, A.; Demir, A.O. The response of processing tomato to deficit irrigation at various phenological stages in a sub-humid environment. Agric. Water Manag. 2014, 133, 92–103. [Google Scholar] [CrossRef]
- Nangare, D.D.; Singh, Y.; Kumar, P.S.; Minhas, P.S. Growth, fruit yield and quality of tomato (Lycopersicon esculentum Mill.) as affected by deficit irrigation regulated on phenological basis. Agric. Water Manag. 2016, 171, 73–79. [Google Scholar] [CrossRef]
- Zheng, J.H.; Huang, G.H.; Jia, D.D.; Wang, J.; Mota, M.; Pereira, L.S.; Huang, Q.Z.; Xu, X.; Liu, H.J. Responses of drip irrigated tomato (Solanum lycopersicum L.) yield, quality and water productivity to various soil matric potential thresholds in an arid region of Northwest China. Agric. Water Manag. 2013, 129, 181–193. [Google Scholar] [CrossRef]
- Cui, J.T.; Shao, G.C.; Lu, J.; Keabetswe, L.; Hoogenboom, G. Yield, quality and drought sensitivity of tomato to water deficit during different growth stages. Sci. Agric. 2020, 77, e20180390. [Google Scholar] [CrossRef]
- Sinkora, M.; Fanciullino, A.-L.; Page, D.; Giovinazzo, R.; Lanoe, L.; Boas, A.V.; Bertin, N. Tomato puree quality from field to can: Effects of water and nitrogen-saving strategies. Eur. J. Agron. 2023, 149, 126891. [Google Scholar] [CrossRef]
- Zhang, H.M.; Xiong, Y.W.; Huang, G.H.; Xu, X.; Huang, Q.Z. Effects of water stress on processing tomatoes yield, quality and water use efficiency with plastic mulched drip irrigation in sandy soil of the Hetao Irrigation District. Agric. Water Manag. 2017, 179, 205–214. [Google Scholar] [CrossRef]
- Lu, J.; Shao, G.C.; Cui, J.T.; Wang, X.J.; Keabetswe, L. Yield, fruit quality and water use efficiency of tomato for processing under regulated deficit irrigation: A meta-analysis. Agric. Water Manag. 2019, 222, 301–312. [Google Scholar] [CrossRef]
- De Pascale, S.; Maggio, A.; Orsini, F.; Barbieri, G. Cultivar, soil type, nitrogen source and irrigation regime as quality determinants of organically grown tomatoes. Sci. Hortic. 2016, 199, 88–94. [Google Scholar] [CrossRef]
- Cheng, M.H.; Wang, H.D.; Fan, J.L.; Xiang, Y.Z.; Tang, Z.J.; Pei, S.Z.; Zeng, H.L.; Zhang, C.; Dai, Y.L.; Li, Z.J.; et al. Effects of nitrogen supply on tomato yield, water use efficiency and fruit quality: A global meta-analysis. Sci. Hortic. 2021, 290, 110553. [Google Scholar] [CrossRef]
- Li, H.H.; Liu, H.; Gong, X.W.; Li, S.; Pang, J.; Chen, Z.F.; Sun, J.S. Optimizing irrigation and nitrogen management strategy to trade off yield, crop water productivity, nitrogen use efficiency and fruit quality of greenhouse grown tomato. Agric. Water Manag. 2021, 245, 106570. [Google Scholar] [CrossRef]
- Wang, C.X.; Gu, F.; Chen, J.L.; Yang, H.; Jiang, J.J.; Du, T.S.; Zhang, J.H. Assessing the response of yield and comprehensive fruit quality of tomato grown in greenhouse to deficit irrigation and nitrogen application strategies. Agric. Water Manag. 2015, 161, 9–19. [Google Scholar] [CrossRef]
- Liu, E.; Zhou, J.; Yang, X.; Jin, T.; Zhao, B.Q.; Li, L.L.; Wen, Y.C.; Soldatova, E.; Zamanian, K.; Gopalakrishnan, S.; et al. Long-term organic fertilizer-induced carbonate neoformation increases carbon sequestration in soil. Environ. Chem. Lett. 2023, 21, 663–671. [Google Scholar] [CrossRef]
- Ren, F.L.; Sun, N.; Misselbrook, T.; Wu, L.H.; Xu, M.G.; Zhang, F.S.; Xu, W. Responses of crop productivity and reactive nitrogen losses to the application of animal manure to China’s main crops: A meta-analysis. Sci. Total Environ. 2022, 850, 158064. [Google Scholar] [CrossRef] [PubMed]
- Wu, G.; Yang, S.; Luan, C.S.; Wu, Q.; Lin, L.L.; Li, X.X.; Che, Z.; Zhou, D.B.; Dong, Z.R.; Song, H. Partial organic substitution for synthetic fertilizer improves soil fertility and crop yields while mitigating N2O emissions in wheat-maize rotation system. Eur. J. Agron. 2023, 154, 127077. [Google Scholar] [CrossRef]
- Bai, J.Z.; Song, J.J.; Chen, D.Y.; Zhang, Z.H.; Yu, Q.; Ren, G.X.; Han, X.H.; Wang, X.J.; Ren, C.J.; Yang, G.H.; et al. Biochar combined with N fertilization and straw return in wheat-maize agroecosystem: Key practices to enhance crop yields and minimize carbon and nitrogen footprints. Agric. Ecosyst. Environ. 2023, 347, 108366. [Google Scholar] [CrossRef]
- Jia, R.; Zhou, J.; Chu, J.C.; Shahbaz, M.; Yang, Y.D.; Jones, D.L.; Zang, H.D.; Razavi, B.S.; Zeng, Z.H. Insights into the associations between soil quality and ecosystem multifunctionality driven by fertilization management: A case study from the North China Plain. J. Clean. Prod. 2022, 362, 132265. [Google Scholar] [CrossRef]
- Rajanna, G.A.; Dass, A.; Suman, A.; Babu, S.; Venkatesh, P.; Singh, V.K.; Upadhyay, P.K.; Sudhishri, S. Co-implementation of tillage, irrigation, and fertilizers in soybean: Impact on crop productivity, soil moisture, and soil microbial dynamics. Field Crops Res. 2022, 288, 108672. [Google Scholar] [CrossRef]
- Rajanna, G.A.; Dass, A.; Singh, V.K.; Choudhary, A.K.; Paramesh, V.; Babu, S.; Upadhyay, P.K.; Sannagoudar, M.S.; Ajay, B.C.; Viswanatha Reddy, K. Energy and carbon budgeting in a soybean–wheat system in different tillage, irrigation and fertilizer management practices in South-Asian semi-arid agroecology. Eur. J. Agron. 2023, 148, 126877. [Google Scholar] [CrossRef]
- Zhang, G.X.; Zhang, Y.; Zhao, D.H.; Liu, S.J.; Wen, X.X.; Han, J.; Liao, Y.C. Quantifying the impacts of agricultural management practices on the water use efficiency for sustainable production in the Loess Plateau region: A meta-analysis. Field Crops Res. 2023, 291, 108787. [Google Scholar] [CrossRef]
- Zhang, L.; Zhang, F.; Zhang, K.P.; Liao, P.; Xu, Q. Effect of agricultural management practices on rice yield and greenhouse gas emissions in the rice-wheat rotation system in China. Sci. Total Environ. 2024, 916, 170307. [Google Scholar] [CrossRef]
- Ren, D.Y.; Xu, X.; Hao, Y.Y.; Huang, G.H. Modeling and assessing field irrigation water use in a canal system of Hetao, upper Yellow River basin: Application to maize, sunflower and watermelon. J. Hydrol. 2016, 532, 122–139. [Google Scholar] [CrossRef]
- Li, Y.; Herbst, M.; Chen, Z.J.; Chen, X.G.; Xu, X.; Xiong, Y.W.; Huang, Q.Z.; Huang, G.H. Long term response and adaptation of farmland water, carbon and nitrogen balances to climate change in arid to semi-arid regions. Agric. Ecosyst. Environ. 2024, 364, 108882. [Google Scholar] [CrossRef]
- Li, C.J.; Xiong, Y.W.; Cui, Z.; Huang, Q.Z.; Xu, X.; Han, W.G.; Huang, G.H. Effect of irrigation and fertilization regimes on grain yield, water and nitrogen productivity of mulching cultivated maize (Zea mays L.) in the Hetao Irrigation District of China. Agric. Water Manag. 2020, 232, 106065. [Google Scholar] [CrossRef]
- Favati, F.; Lovelli, S.; Galgano, F.; Miccolis, V.; Di Tommaso, T.; Candido, V. Processing tomato quality as affected by irrigation scheduling. Sci. Hortic. 2009, 122, 562–571. [Google Scholar] [CrossRef]
- Takacs, S.; Pek, Z.; Csanyi, D.; Daood, H.G.; Szuvandzsiev, P.; Palotas, G.; Helyes, L. Influence of water stress levels on the yield and lycopene content of tomato. Water 2020, 12, 2165. [Google Scholar] [CrossRef]
- Caseiro, M.; Ascenso, A.; Costa, A.; Creagh-Flynn, J.; Johnson, M.; Simoes, S. Lycopene in human health. LWT-Food Sci. Technol. 2020, 127, 109323. [Google Scholar] [CrossRef]
- Wang, X.K.; Yun, J.; Shi, P.; Li, Z.B.; Li, P.; Xing, Y.Y. Root growth, fruit yield and water use efficiency of greenhouse grown tomato under different irrigation regimes and nitrogen levels. J. Plant Growth Regul. 2019, 38, 400–415. [Google Scholar] [CrossRef]
- Xing, Y.Y.; Zhang, T.; Jiang, W.T.; Li, P.; Shi, P.; Xu, G.; Cheng, S.D.; Cheng, Y.T.; Fan, Z.; Wang, X.K. Effects of irrigation and fertilization on different potato varieties growth, yield and resources use efficiency in the Northwest China. Agric. Water Manag. 2021, 261, 107351. [Google Scholar] [CrossRef]
- Zhai, L.C.; Wang, Z.B.; Zhai, Y.C.; Zhang, L.H.; Zheng, M.J.; Yao, H.P.; Lv, L.H.; Shen, H.P.; Zhang, J.T.; Yao, Y.R.; et al. Partial substitution of chemical fertilizer by organic fertilizer benefits grain yield, water use efficiency, and economic return of summer maize. Soil Till. Res. 2021, 217, 105287. [Google Scholar] [CrossRef]
- Jiang, M.H.; Dong, C.; Bian, W.P.; Zhang, W.B.; Wang, Y. Effects of different fertilization practices on maize yield, soil nutrients, soil moisture, and water use efficiency in northern China based on a meta-analysis. Sci. Rep. 2024, 14, 6480. [Google Scholar] [CrossRef]
- Qaswar, M.; Huang, J.; Ahmed, W.; Li, D.S.; Liu, S.J.; Zhang, L.; Cai, A.D.; Liu, L.S.; Xu, Y.M.; Gao, J.S.; et al. Yield sustainability, soil organic carbon sequestration and nutrients balance under long-term combined application of manure and inorganic fertilizers in acidic paddy soil. Soil Till. Res. 2020, 198, 104569. [Google Scholar] [CrossRef]
- Liu, S.B.; Wang, J.Y.; Pu, S.Y.; Blagodatskaya, E.; Kuzyakov, Y.; Razavi, B.S. Impact of manure on soil biochemical properties: A global synthesis. Sci. Total Environ. 2020, 745, 141003. [Google Scholar] [CrossRef]
- Yu, Y.Y.; Turner, N.C.; Gong, Y.H.; Li, F.M.; Fang, C.; Ge, L.J.; Ye, J.S. Benefits and limitations to straw- and plastic-film mulch on maize yield and water use efficiency: A meta-analysis across hydrothermal gradients. Eur. J. Agron. 2018, 99, 138–147. [Google Scholar] [CrossRef]
- Wang, Q.; Song, X.Y.; Li, F.C.; Hu, G.R.; Liu, Q.L.; Zhang, E.H.; Wang, H.L.; Davies, R. Optimum ridge-furrow ratio and suitable ridge-mulching material for Alfalfa production in rainwater harvesting in semi-arid regions of China. Field Crops Res. 2015, 180, 186–196. [Google Scholar] [CrossRef]
- Lv, S.Q.; Li, J.; Yang, Z.Y.; Yang, T.; Li, H.T.; Wang, X.F.; Peng, Y.; Zhou, C.J.; Wang, L.Q.; Abdo, A.I. The field mulching could improve sustainability of spring maize production on the Loess Plateau. Agric. Water Manag. 2023, 279, 108156. [Google Scholar] [CrossRef]
- Valcarcel, M.; Lahoz, I.; Campillo, C.; Marti, R.; Leiva-Brondo, M.; Rosello, S.; Cebolla-Cornejo, J. Controlled deficit irrigation as a water-saving strategy for processing tomato. Sci. Hortic. 2019, 261, 108972. [Google Scholar] [CrossRef]
- Eisenbach, L.D.; Folina, A.; Zisi, C.; Roussis, I.; Tabaxi, I.; Papastylianou, P.; Kakabouki, I.; Efthimiadou, A.; Bilalis, D.J. Effect of biocyclic humus soil on yield and quality parameters of processing tomato (Lycopersicon esculentum Mill.). Sci. Hortic. 2019, 76, 47–52. [Google Scholar]
- Bilalis, D.; Krokida, M.; Roussis, I.; Papastylianou, P.; Travlos, I.; Cheimona, N.; Dede, A. Effects of organic and inorganic fertilization on yield and quality of processing tomato (Lycopersicon esculentum Mill.). Folia Hortic. 2018, 30, 321–332. [Google Scholar] [CrossRef]










| Treatment | Description |
|---|---|
| T1F0W0 | Full irrigation, ridge planting, and synthetic fertilizer only. |
| T1F0W1 | 20% reduced amount of full irrigation (mild water deficit), ridge planting, and synthetic fertilizer only. |
| T1F0W2 | 40% reduced amount of full irrigation (moderate water deficit), ridge planting, and synthetic fertilizer only. |
| T0F1W0 | Full irrigation, flat planting, and partial substitution of 50% synthetic fertilizer with manure fertilizer. |
| T0F1W1 | 20% reduced amount of full irrigation (mild water deficit), flat planting, and partial substitution of 50% synthetic fertilizer with manure fertilizer. |
| T0F1W2 | 40% reduced amount of full irrigation (moderate water deficit), flat planting, and partial substitution of 50% synthetic fertilizer with manure fertilizer. |
| T1F1W0 | Full irrigation, ridge planting, and partial substitution of 50% synthetic fertilizer with manure fertilizer. |
| T1F1W1 | 20% reduced amount of full irrigation (mild water deficit), ridge planting, and partial substitution of 50% synthetic fertilizer with manure fertilizer. |
| T1F1W2 | 40% reduced amount of full irrigation (moderate water deficit), ridge planting, and partial substitution of 50% synthetic fertilizer with manure fertilizer. |
| Year | Treatment | Soluble Solid Content % | Lycopene Content mg/100 g | Vitamin C Content mg/100 g | Fruit Firmness kg/cm2 | Soluble Sugar Content % | Titratable Acidity g/kg |
|---|---|---|---|---|---|---|---|
| 2022 | T1F0W0 | 4.67 ± 0.15 f | 23.94 ± 2.18 de | 13.46 ± 1.28 e | 1.67 ± 0.12 f | 1.67 ± 0.33 d | 2.24 ± 0.36 d |
| T1F0W1 | 5.07 ± 0.25 e | 27.27 ± 2.37 cd | 17.02 ± 1.15 cd | 2.23 ± 0.25 cde | 1.97 ± 0.21 cd | 2.74 ± 0.25 c | |
| T1F0W2 | 5.47 ± 0.21 cd | 31.10 ± 3.55 abc | 18.89 ± 0.29 bc | 2.70 ± 0.1 b | 2.41 ± 0.36 bc | 3.45 ± 0.37 b | |
| T0F1W0 | 5.13 ± 0.12 e | 20.82 ± 3.10 e | 12.72 ± 1.44 e | 1.83 ± 0.15 ef | 2.31 ± 0.33 bc | 2.21 ± 0.13 d | |
| T0F1W1 | 5.53 ± 0.15 bcd | 27.51 ± 3.35 bcd | 15.68 ± 1.63 de | 2.30 ± 0.26 bcd | 2.73 ± 0.16 b | 2.96 ± 0.05 c | |
| T0F1W2 | 5.83 ± 0.15 ab | 29.01 ± 2.66 bcd | 18.67 ± 0.90 bc | 2.67 ± 0.15 b | 3.45 ± 0.15 a | 3.42 ± 0.23 b | |
| T1F1W0 | 5.30 ± 0.10 de | 30.26 ± 1.54 bc | 17.19 ± 1.73 cd | 2.17 ± 0.25 de | 2.46 ± 0.34 bc | 2.76 ± 0.15 c | |
| T1F1W1 | 5.63 ± 0.15 bc | 32.63 ± 2.66 ab | 19.57 ± 0.82 ab | 2.63 ± 0.32 bc | 3.30 ± 0.31 a | 3.46 ± 0.10 b | |
| T1F1W2 | 6.00 ± 0.17 a | 35.60 ± 2.87 a | 21.17 ± 0.66 a | 3.10 ± 0.30 a | 3.63 ± 0.30 a | 4.14 ± 0.22 a | |
| 2023 | T1F0W0 | 4.87 ± 0.15 f | 19.54 ± 2.47 de | 11.52 ± 1.16 d | 1.77 ± 0.06 e | 1.62 ± 0.11 d | 2.32 ± 0.13 e |
| T1F0W1 | 5.27 ± 0.12 e | 21.31 ± 1.96 d | 16.57 ± 1.18 bc | 2.53 ± 0.15 d | 1.81 ± 0.17 d | 2.85 ± 0.06 d | |
| T1F0W2 | 6.27 ± 0.06 b | 27.77 ± 3.57 bc | 17.96 ± 1.01 b | 2.90 ± 0.10 c | 2.29 ± 0.19 bc | 3.88 ± 0.09 b | |
| T0F1W0 | 5.27 ± 0.15 e | 16.92 ± 2.63 e | 11.62 ± 1.43 d | 2.30 ± 0.10 d | 1.75 ± 0.13 cd | 2.45 ± 0.05 e | |
| T0F1W1 | 5.70 ± 0.10 d | 23.64 ± 2.60 cd | 15.34 ± 0.70 c | 2.57 ± 0.21 d | 2.50 ± 0.25 b | 3.38 ± 0.25 c | |
| T0F1W2 | 6.10 ± 0.10 b | 27.63 ± 1.34 bc | 17.16 ± 1.02 bc | 2.90 ± 0.10 c | 3.27 ± 0.17 a | 3.74 ± 0.17 b | |
| T1F1W0 | 5.43 ± 0.12 e | 28.83 ± 1.76 b | 15.51 ± 1.56 c | 2.97 ± 0.25 c | 2.32 ± 0.29 bc | 2.96 ± 0.09 d | |
| T1F1W1 | 5.90 ± 0.10 c | 30.29 ± 1.72 b | 18.27 ± 1.77 ab | 3.43 ± 0.15 b | 2.77 ± 0.31 b | 3.64 ± 0.10 b | |
| T1F1W2 | 6.47 ± 0.06 a | 34.52 ± 2.94 a | 20.31 ± 0.87 a | 4.80 ± 0.26 a | 3.24 ± 0.15 a | 4.42 ± 0.17 a |
Disclaimer/Publisher’s Note: The statements, opinions and data contained in all publications are solely those of the individual author(s) and contributor(s) and not of MDPI and/or the editor(s). MDPI and/or the editor(s) disclaim responsibility for any injury to people or property resulting from any ideas, methods, instructions or products referred to in the content. |
© 2026 by the authors. Licensee MDPI, Basel, Switzerland. This article is an open access article distributed under the terms and conditions of the Creative Commons Attribution (CC BY) license.
Share and Cite
Zheng, R.; Tan, J.; Huang, G.; Huo, Z. Integrated Effects of Irrigation Amounts, Fertilizer Types, and Tillage Practices on Crop Growth, Yield, and Fruit Quality of Processing Tomato. Water 2026, 18, 123. https://doi.org/10.3390/w18010123
Zheng R, Tan J, Huang G, Huo Z. Integrated Effects of Irrigation Amounts, Fertilizer Types, and Tillage Practices on Crop Growth, Yield, and Fruit Quality of Processing Tomato. Water. 2026; 18(1):123. https://doi.org/10.3390/w18010123
Chicago/Turabian StyleZheng, Ruyue, Junwei Tan, Guanhua Huang, and Zailin Huo. 2026. "Integrated Effects of Irrigation Amounts, Fertilizer Types, and Tillage Practices on Crop Growth, Yield, and Fruit Quality of Processing Tomato" Water 18, no. 1: 123. https://doi.org/10.3390/w18010123
APA StyleZheng, R., Tan, J., Huang, G., & Huo, Z. (2026). Integrated Effects of Irrigation Amounts, Fertilizer Types, and Tillage Practices on Crop Growth, Yield, and Fruit Quality of Processing Tomato. Water, 18(1), 123. https://doi.org/10.3390/w18010123

