Next Article in Journal
Identification of Nitrate Sources in the Upper Reaches of Xin’an River Basin Based on the MixSIAR Model
Previous Article in Journal
Integrated Stochastic Framework for Drought Assessment and Forecasting Using Climate Indices, Remote Sensing, and ARIMA Modelling
 
 
Font Type:
Arial Georgia Verdana
Font Size:
Aa Aa Aa
Line Spacing:
Column Width:
Background:
Article

Physics-Assisted Deep Learning Model for Improved Construction Performance Monitoring of Cutter Suction Dredger

1
Research Center on Levee Safety & Disaster Prevention, Ministry of Water Resources, Zhengzhou 450003, China
2
State Key Laboratory of Hydraulic Engineering Intelligent Construction and Operation, Tianjin University, Tianjin 300350, China
*
Author to whom correspondence should be addressed.
Water 2025, 17(24), 3583; https://doi.org/10.3390/w17243583
Submission received: 30 October 2025 / Revised: 9 December 2025 / Accepted: 15 December 2025 / Published: 17 December 2025
(This article belongs to the Special Issue Water Engineering Safety and Management, 2nd Edition)

Abstract

Construction monitoring of cutter suction dredgers (CSD) is of great significance in ensuring dredging efficiency. However, existing models have not taken into account the physical constraints in the physical system of a CSD, which limits further improvements in prediction accuracy. To this end, this paper proposes a physics-assisted deep learning model for improved construction performance monitoring of CSD. The data-driven Lossu and the physics-driven Lossr are combined to form an improved physics-assisted loss function (PALF). And then, a physics-assisted deep learning (PADL) model incorporating PALF is developed to predict the construction productivity. In the case application, evaluation across three deep learning models confirms the feasibility and effectiveness of PALF for productivity prediction. The results show that the PALF-based PADL model achieves markedly improved prediction accuracy, reducing the mean absolute error by 20.33–54.33%. Across six training-set sizes (1000–11,000 samples), the improvement is larger in small-data scenarios, highlighting PADL’s strong low-sample robustness. The proposed model can effectively complement physical sensors in monitoring construction parameters and provide reliable decision support for assessing the operational state of CSDs.

1. Introduction

A cutter suction dredger (CSD) is an important piece of dredging equipment widely used in reclamation, waterway maintenance, and port dredging [1,2,3]. Because of its substantial physical system and complex construction environment, it is necessary to maintain continuous and stable monitoring during the construction process to ensure the efficient, stable, and safe operation of the CSD. Therefore, physical sensors are widely arranged in dredgers [4], and operators make corresponding operation adjustments according to the real-time monitoring parameters to ensure the efficient, stable, and safe operation of the CSD [5]. However, the physical sensors may be challenged by deviations and damage in the construction environment, and their maintenance interrupts the construction process and affects the time utilization of the dredgers. In addition, some monitoring instruments use hazardous radioactive sources, which may affect human health and the environment [6,7]. Therefore, a more environmentally friendly, safe, and reliable monitoring method is needed to make up for the limitations of the existing physical sensors and realize the auxiliary monitoring of dredging projects [8].
With the development of computer technology, many scholars use artificial intelligence technology to analyze monitoring data and achieve auxiliary management of projects [9]. Based on an optimal flow of real-time information, Skibniewski et al. [10] proposed a project management framework for dredging projects to enhance decision-making and overall control of project performance. By making full use of data such as physical models, sensors, and historical operation, the whole life cycle process of the physical model was demonstrated by mapping in virtual space, which provided a new way to control the construction process of a dredger [11,12]. A machine learning model was trained to establish a map between input data and output data [13,14,15]. Li et al. [16] proposed a virtual sensor structure of dredgers based on digital twin technology. Four algorithms, support vector regression (SVR), long short-term memory (LSTM), deep belief network (DBN), and extreme gradient boosting (XGBoost), were used to create virtual signals for construction parameters that are difficult to measure directly or for which the measuring instruments are radioactive, and the accuracy of this method reached over 90%. Wang et al. [17] proposed a prediction method comprising network regression based on the internal relationship between monitoring data, which made up for the construction discontinuity caused by damage to physical sensors. To optimize the dredging process, Tang et al. [18] proposed a complete construction monitoring scheme for a CSD, which controls the mud concentration and flow rate through the top knowledge system. However, this method needs to accumulate significant experimental data in its early stages. Wei et al. [19] proposed an intelligent control method for reamer traversing, and its operation skills were acquired through the interactions of the prediction network constructed by the previous drill data. However, this research only focused on the cutter traverse speed, while the cutter rotation speed and cutter angle also affect the mud excavation efficiency in practical projects. Through numerical simulation, Chen et al. [20] studied the impact of overflow and diffusion on the environment during the construction process, which provided a reference for cabin loading control during the construction process and was beneficial to the development of environmental protection for dredging projects. Based on an in-depth analysis of the loading curve of dredged soil and the optimization of dredger construction, Bai et al. [21] proposed methods of overflow loss prediction and loading cycle optimization, which avoided the waste of resources caused by excessive overflow loss. Li et al. [22] proposed a new method of selecting cycle characteristic parameters to evaluate their construction efficiency by studying the construction cycle of a CSD, which provided a new way for project managers to optimize the construction arrangement. To sum up, all the above studies provide various optimization methods for the control of the dredging engineering construction process, but the relationship between parameters in the physical model of a dredger needs to be further explored. The comprehensive application of physical knowledge and computer technology is an important way to realize the intelligent control of dredging engineering.
The dredger has many subsystems with complex structures. In the process of construction, many parameters influence each other. Among them, productivity and concentration are the important bases for adjusting construction parameters during dredging and are the important indicators for evaluating the benefits of dredging. Bai et al. [23] used four algorithms, random forest, K-nearest neighbors, naive bayes, and XGBoost, to predict the output of cutter suction dredgers, among which the XGBoost model had the best effect, with R2 exceeding 90%. To solve the problem that mud concentration data is needed for productivity prediction, Wang et al. [24] proposed a stacking model to accurately predict the output of dredgers without mud concentration. Among them, the XGBoost model and the Model Stacked Generalization model were recommended for their excellent performance. In addition, a hybrid integration algorithm based on multiple models was also used to predict the mud concentration and output of dredgers [25]. Bai et al. [26] proposed a virtual sensor of mud concentration based on the multilayer perceptron (MLP), convolutional neural network (CNN), gated recurrent unit (GRU), SVR, LSTM, and DBN algorithms, and Fu et al. [27] combined a backpropagation network neural network and the SVR algorithm to predict the productivity of cutter suction dredgers, with the determination coefficient R2 reaching 87.6. Compared with a single algorithm, hybrid ensemble learning can make the best use of the advantages of different algorithms, and the diversity and differences in basic models make the learning results more robust and accurate. The above research analyzes productivity and concentration based on various algorithms. However, the physical sensors installed on CSDs often operate in harsh and highly variable construction environments, making them susceptible to drift, damage, intermittent failure, and radiation-related safety concerns in some cases. Sensor malfunction can interrupt the construction process, reduce equipment utilization, and compromise monitoring continuity. These limitations highlight the need for an auxiliary monitoring approach that can provide reliable parameter estimation even when sensor data are noisy, incomplete, or temporarily unavailable.
Although previous studies have explored data-driven prediction models, virtual sensors based on digital twin concepts, and ensemble learning approaches for dredging parameter estimation, most existing methods remain purely data-driven. These models typically learn correlations from historical monitoring data but do not incorporate the inherent physical relationships that govern cutter excavation, mud transportation, and pipeline dynamics. As a result, they may struggle with limited data, exhibit reduced robustness under sensor degradation, and potentially produce predictions that deviate from the real physical behavior of CSD systems. Therefore, a key research gap lies in developing a monitoring framework that explicitly embeds physical constraints into the learning process rather than relying solely on sensor measurements or statistical correlations. In recent years, the integration of physical knowledge into machine learning models has attracted increasing attention in civil and hydraulic engineering. Representative approaches include physics-guided loss functions, physics-informed neural networks (PINNs), and soft-constraint learning frameworks, which embed governing equations, empirical laws, or domain-specific constraints directly into the training process. Such methods have been successfully applied to structural health monitoring, groundwater flow simulation, sediment transport prediction, and fluid–structure interaction problems, demonstrating improved robustness and physical interpretability compared with purely data-driven approaches. Despite these advances, most existing physics-integrated models rely on explicit differential equations or strong-form physical priors, which are difficult to establish for cutter suction dredgers due to the highly coupled, nonlinear, and data-dependent interactions among excavation, mud transport, and pipeline hydraulics. Moreover, existing PINN-type models are computationally intensive and unsuitable for real-time construction monitoring. Therefore, there remains a lack of lightweight, engineering-oriented frameworks that can incorporate the macroscopic physical relationships of CSDs while remaining compatible with operational monitoring data.
To address these limitations, this study introduces a physics-assisted loss function (PALF) that integrates both data-driven errors and physical model constraints into the training of deep learning algorithms. Unlike earlier virtual-sensor approaches or general machine-learning models that rely solely on observed data, the proposed PALF explicitly incorporates the productivity-related physical formulas of CSDs into the loss function, guiding the model toward physically consistent predictions. This integration enhances robustness under noisy or incomplete sensor data and significantly improves performance in small-sample scenarios. The resulting physics-assisted deep learning (PADL) models therefore offer a more reliable and physically interpretable framework for real-time construction monitoring of cutter suction dredgers. The rest of the paper is organized as follows: Section 2 analyzes the composition of the CSD physical system and the influence of its parameters in the construction process. In Section 3, the physical formula is used to improve the loss function in deep learning, and a prediction model of the construction parameters based on the enhanced loss function is proposed. The construction monitoring data of a cutter suction dredger is used to verify the effectiveness of the proposed method, and the model’s effects before and after improvement are compared and analyzed in Section 4. Finally, Section 5 summarizes the research results of this paper and proposes an improvement direction for the construction monitoring of CSDs.

2. Physical Composition and Construction Parameter Analysis

Due to the complicated construction environment in dredgers, it is necessary to monitor their construction parameters accurately and catch their current dredging status in a timely manner. However, CSD has many subsystems with complex structures, and the parameters of each system influence each other in the construction process. Only by precise coordination can an efficient and safe dredging task be completed. Accurate cooperation plays an important role in ensuring efficient and safe dredging. Therefore, only by fully understanding the physical relationship between the construction parameters of each subsystem can the operators accurately judge the current construction state and then adjust the construction parameters to achieve efficient and safe dredging.

2.1. Composition of CSD Physical System

The CSD excavation and mud-transport system consists of several physically coupled subsystems, including the cutter excavation unit, the mud pump and pipeline transportation system, and the positioning mechanism. Figure 1 shows the hull structure of the CSD. For the purpose of parameter prediction, only the physical interactions that affect excavation capacity and mud productivity directly are emphasized here. In particular, cutter rotation speed and cutter pressure jointly determine the soil cutting rate, while mud flow rate and density regulate the mass transportation capacity of the pipeline. These physical relationships constitute the core variables influencing productivity and are therefore the focus of the construction of the subsequent model.
During operation, the dredger adjusts its transverse position through controlled swinging around the spud poles, enabling the cutter to sweep the designated excavation width, as shown in Figure 2. The excavated mixture is then transported by the mud pump through the mud pipeline. While these operational steps describe the working mechanism of the dredger, only the physical quantities directly affecting excavation and pipeline transport, such as cutter motion, pump-induced flow, and mud density, are relevant to the modeling efforts of this study.

2.2. Relationship Between Construction Parameters

The key construction parameters exhibit clear physical coupling. Cutter rotation speed (n) and cutter pressure (Pc) collectively determine the cutting force applied to the soil, influencing the excavation rate. The mud flow velocity (Q) and mixture density ( ρ ) jointly determine the transported solid mass per unit time, forming the physical basis of productivity W Q ρ . Pump vacuum and pipeline pressure reflect hydraulic resistance and influence the achievable flow rate under different soil conditions. These quantitative relationships form the mechanistic background for incorporating physical constraints into the proposed model.
Data analysis in the construction process is regarded as an essential means to ensure dredging safety, improve dredging efficiency, and control dredging costs. With the increasing requirement for excavation accuracy, relevant manufacturers have successively developed monitoring instruments such as yield meters, dredging track displays, and draft loaders. A supervisory control and data acquisition (SCADA) system is an integrated monitoring and control system based on industrial control Ethernet technology, field bus technology, computer control technology, and intelligent instrumentation technology, which has the characteristics of synthesis, visualization, and digitalization. The SCADA can visually display the parameters of the cutter, underwater mud pump, traversing status, etc., providing real-time status updates for ship operators and alarming when necessary, as shown in Table 1. Figure 3 shows some construction monitoring data from a CSD. It can be seen from the figure that all the data fluctuate over the construction process, but the amplitude of the different parameters varies from each other. Some parameters have a slight fluctuation range, such as the “mud pump power”, while others have an extensive fluctuation range, and some parameters even have abnormal peaks or zero values for a while, which are caused by uncertain factors such as complex construction environments and unstable monitoring instruments. Take “working pressure of cutter” and “concentration” as examples. If hard rock is suddenly encountered during excavation, the rotation resistance of the cutter will increase, which will lead to a sudden increase in reamer pressure and a decrease in mud concentration. To some extent, the monitoring data reflects the current construction status of a dredger. Fully analyzing the physical meaning behind the data is helpful to adjust the construction parameters in a timely manner and achieve the management optimization of the construction process.
As an integrated system, the dredger’s regular operation requires the cooperation of various systems. In the excavation and transportation of mud, the cutter, mud pump, and pipeline models are the key concerns. The relationship between these sub-model parameters is shown in Figure 4. In the cutter model, parameters such as cutter speed, digging width, and cutting thickness determine the mud concentration and are then input into the mud pump model. In the mud pump model, it is necessary to choose the appropriate mud pump power according to the soil type and mud sand coefficient, which will also affect the mud velocity in the pipeline model. At the same time, the construction organization design parameters, such as pipeline length, pipeline diameter, and head loss, will affect the transportation of mud in the pipeline. When the mud concentration becomes too high, the required head of the mud pump will also increase. The pipeline model will feed back the result to the mud pump model, thus guiding the cutter model to reduce the traverse speed and reduce the mud concentration. To sum up, the sub-models of the cutter suction dredger influence and restrict each other, and only when the parameters of each model are coordinated can the dredging task be completed safely and efficiently.
To achieve the ideal excavation effect, drilling and other techniques are used to obtain soil information about the area to be excavated before formal construction begins. By comprehensively considering factors such as excavation section, dredger power, and mud unloading location, the designer specifies the excavation scheme of the project, including basic parameters such as dredging width, cutting thickness, and pipeline length, and these parameters generally remain unchanged during the construction process. However, some parameters, such as cutter rotation speed and cutter traverse speed, need to be adjusted by operators in time according to the real-time excavation status. Generally, when the rotation speed of the cutter becomes faster, the suction concentration of the mud will also increase. As the specific gravity of mud is greater than that of clear water, the output pressure of the mud pump will increase, resulting in an increase in the required suction head loss, and then the conveying flow of the mud pump will decrease. If the mud suction port is blocked, the degree of the vacuum gauge will increase abnormally. At this time, it is necessary for the operator to stop dredging quickly so that the mud pump is pumping clean water, and then further observe the pressure gauge and vacuum gauge. If necessary, the cutter bridge can be lifted to the water surface for cleaning. To sum up, the construction parameters influence each other and reflect the state of the construction operation. The analysis of monitoring data provides effective support for dredger operators to judge the construction state and make corresponding parameter adjustments.
In view of the massive monitoring data obtained by the physical sensors in CSD, data mining technologies such as machine learning are an effective means to mine hidden data relationships to assist in the monitoring of the construction status. However, in the process of model training, if all of the monitoring data are directly input into the model, computer resources and time will be wasted, resulting in a waste of resources. Therefore, selecting the features with high correlation with the target from the monitoring data as the input layer in the model training is necessary in the early stage. Common feature selection methods include the Lasso algorithm, Relief algorithm, SVM, maximum mutual information coefficient (MIC), etc. [28,29,30]. An excellent feature set can not only ensure prediction accuracy but also improve model training efficiency.
The selection of features for model construction follows the physical mechanisms governing the CSD excavation–transport process. Cutter speed, cutter pressure, flow velocity, and mud density are retained because they directly determine excavation rate and transported mass, which are the dominant contributors to productivity. Pump vacuum and pipeline pressure are included because they represent hydraulic resistance and strongly influence achievable flow. Variables that do not contribute meaningfully to these physical relationships, or do not affect productivity at a quantifiable scale, were excluded to maintain scientific coherence and avoid adding noise to the model.

3. Monitoring Model Combining Physical Constraints with Deep Learning

Deep learning is a special machine learning method that uses a multi-layer perceptron to simulate the human brain to interpret data [31]. Because of its good adaptability and strong learning ability, it has been widely used in image recognition [32,33], natural language processing [34], speech recognition [35], etc. Recently, it has also been used by the dredging industry to analyze massive amounts of monitoring data. However, the training process for deep learning is like a black box, and it is difficult to reasonably explain the function selection of each layer and the function superposition rule between layers. Many physical formulas have been applied in practical projects by analyzing the physical system of CSD or summarizing the historical construction experience. We propose a physics-assisted loss function (PALF) by integrating these physical formulas into the loss function in model training and constructing a physics-assisted deep learning model (PADL) based on this loss function. The construction framework of the construction parameter prediction model, combining physical models and deep learning, is shown in Figure 5. The data-driven part constitutes Lossu in PALF, while the physical model-driven part constitutes Lossr in PALF. These two parts work together to assist the deep learning algorithm in the model training process. This method makes use of physical formulas to guide the results closer to real physical models in the training process, so as to obtain more accurate and reliable prediction results in engineering applications.

3.1. Loss Function of Traditional Deep Learning Model

There are many deep learning algorithms with different principles and advantages. In this article, three different kinds of deep learning algorithms, Long-Short Term Memory Network (LSTM), Multilayer Perceptron (MLP), and Deep Belief Network (DBN), are selected to create construction parameter prediction models. The structures of these algorithms are shown in Figure 6. LSTM is a particular type of RNN, which integrates the concept of time series into the design of network structure to solve the problems of gradient disappearance and gradient explosion in the process of long sequence training [36]. An LSTM unit consists of three multiplication gates, which control the retention and transmission of information. If the input gate is activated, the information from the new input data will be accumulated. MLP is a neural network designed to imitate the human brain, which consists of an input layer, one or more hidden layers, and an output layer. Except for the input node, each node is a neuron with a nonlinear activation function. The neurons in each hidden layer transform the value of the previous layer into the output value by weighting [37]. DBN is a tightly connected hierarchical structure formed by stacking a plurality of restricted Boltzmann machines (RBM). RBM is an unsupervised learning algorithm that includes two recurrent neural network layers: a visible layer and a hidden layer. Each layer contains a group of neurons or nodes [38].
To ensure a fair and representative evaluation, LSTM, MLP, and DBN were selected as the baseline algorithms based on their complementary modeling characteristics. LSTM is widely used for capturing temporal dependencies in sequential construction data, making it suitable for representing dynamic variations in cutter load and mud flow. MLP provides a nonlinear regression framework for learning multivariate relationships without temporal gating, which enables an assessment of purely data-driven nonlinear fitting capability. DBN, as a probabilistic graphical model with hierarchical feature extraction, has been successfully applied in construction monitoring tasks and serves as an effective benchmark for deep feature abstraction. These three models therefore cover recurrent, feed-forward, and deep generative learning paradigms, providing a comprehensive and interpretable comparison for evaluating the contribution of the proposed physics-assisted loss function. More complex hybrid models (e.g., CNN-LSTM or Transformer-based networks) were not selected to avoid confounding the analysis with additional architectural complexity, since our focus is to evaluate the effect of physical constraints rather than architectural variations.
As a crucial part of deep learning training, the loss function is used to measure the difference between the predicted value f(x) and the real value y of the model. The smaller the loss function, the better the model’s prediction performance. After inputting the training data, the model outputs the predicted value through forward propagation. Then the loss function will calculate the difference between the predicted value and the real value. Then, the model updates each parameter through back propagation to reduce the loss between the real and predicted values. Finally, the predicted value generated by the model gradually tends toward the real value to achieve its purpose, that being learning. Therefore, whether the loss function is reasonable or not directly determines the prediction performance of the supervised learning algorithm.
The selection of common loss functions for regression problems will be subject to many constraints, such as the choice of machine learning algorithm, whether there are outliers, the complexity of gradient descent, the difficulty of derivation, and the confidence of predicted values. The commonly used loss functions for regression problems are shown in Table 2.
MAE is an ordinary loss function, which is not only simple in form, but also can express the distance between a real value and a predicted value, and has good robustness to outliers. But it also has the problem that the residual error is not derivable when it is zero. The square loss function has been widely studied by researchers because of its advantages of convenient calculation, clear logic, accurate evaluation error, and its ability to produce a global optimal solution. Its evolution forms, including the MSE, RMSE, and L2 loss functions, are also increasingly relevant. At present, no loss function can perfectly handle all types of data. Still, choosing the loss function that matches the data required to solve the problem is crucial to improving the model’s prediction ability

3.2. Parameter Constraint Based on Physical Model

Before the rise in machine learning, many projects adopted physical models and theoretically driven physical formulas. After years of development, a wealth of empirical models has been accumulated. These physical formulas have been applied in practical projects and have achieved good results.
The cutter and pipeline models are the core sub-models of the CSD. Studying the working mechanism and parameter relationship of these two sub-models is helpful to understand the implied relationship between monitoring parameters, which is of great significance to the construction control and optimization of dredgers. For example, productivity is the focus of dredging projects, and many factors will affect the excavation productivity, such as soil type, cutter power, traversing winch power, etc. According to the construction principle of CSD in Section 2.1, the soil layer is cut mainly by the lateral swing of the cutter in the left and right directions. After completing a cycle of lateral swinging, the cutter will advance a step with the assistance of steel piles to excavate the soil ahead of it or increase the cutter depth to excavate deeper soil, as shown in Figure 7. Therefore, the calculation formula of mining productivity can be expressed as follows:
W 1 = 60 K D T ν
where W1 is the productivity of the reamer, m3/h; K is the digging coefficient of the cutter, which is related to factors such as the actual mud cutting area of the cutter, and generally takes 0.8~0.9; D is the advance distance of the cutter, m; T is the thickness of the cutter, m; and ν is the traverse speed of the cutter, m/min. A dimensional analysis confirms the consistency: DT represents the excavation area per revolution (m2), which, multiplied by rotation speed v (m/min), yields volume per minute (m3/min). The factor 60 converts this into m3/h. The coefficient K (dimensionless) accounts for non-ideal cutting, including soil fragmentation, cutter–soil detachment, and uneven density distribution. This expression is widely reported in dredging handbooks and has been validated in field operations.
In addition to the cutting productivity of the cutter, the matching pipeline transportation capacity of the mud pump is also essential. The pipeline suction and transportation productivity is mainly related to soil quality, mud pump characteristics, and pipeline characteristics, and its calculation formula is as follows:
W 2 = Q × ρ
where W2 is the suction productivity of the mud pump pipeline, m3/h, Q is the working flow of the mud pump pipeline, m3/h, and ρ is the mud concentration, %, calculated according to the volume concentration formula of undisturbed soil. For dredgers equipped with a flowmeter and densimeter, the mud concentration ρ can be converted according to the following equation:
ρ = γ m γ w γ s γ w × 100 %
where γ m is the density of mud, t/m3, γ s is the natural density of soil, t/m3, and γ w is the density of local water, t/m3.
In addition, many empirical formulas have been recognized and applied in engineering. For example, the output of the cutter suction dredger is usually calculated according to 15–20% of the clear water flow of the mud pump. These physical formulas provide a better basis for the optimization of the dredger construction process. For example, from the expression of pipeline suction and transportation productivity, it can be seen that flow rate and concentration are two decisive factors in dredger construction efficiency. To improve efficiency, on the one hand, we can start by increasing the transportation flow rate of the mud pump, and on the other hand, we can increase the mud concentration. For the operator of the dredger, it is of great significance to ensure the dredger pump’s stable flow output and select the cutter’s appropriate traversing speed to improve productivity.

3.3. Prediction Model Integrated with Physical Formula

Traditional deep learning requires a large amount of monitoring data as training samples. However, there is a lack of application of the relationships between known parameters in the training process, which leads to an unavoidable waste of resources. To solve the above problems, this paper proposes a loss function, PALF, which combines a physical model with monitoring data:
P A L F = L o s s u + L o s s r
where Lossu is the data-driven part of the loss function, which indicates the monitoring data obtained by the physical sensor, and the common traditional loss function can be selected; Lossr is the constraint-driven part of the physical model in the loss function, which represents the functional relationship obtained by physical model analysis or the empirical formula summarized according to history. In the training process, not only should the error between the predicted value and the actual value be as small as possible, but also the model should try to meet the physical formula and match the real physical model. Since Lossu and Lossr represent different physical quantities and naturally operate on different numerical scales, directly summing the two terms may lead to imbalance during training. To address this issue, both loss components were normalized before being combined. In addition, a weighting coefficient λ was introduced to control the contribution of the physical constraint:
L oss P A L F = L o s s u + λ L o s s r
where L o s s u = 1 n i = 1 N W ^ i W i is the data-driven MAE with unit m3/h (productivity), and L o s s r = 1 N i = 1 N Q ^ i ρ ^ i Q i ρ i is the physics-based mass–flow deviation term with unit kg/s. Because these two terms operate on quantities with different physical dimensions and ranges, a weighting factor λ is required to balance their numerical contributions during optimization. The two loss components have different physical units: productivity W is measured in m3/h, whereas the transported mass flow Q ρ is measured in kg/s. Their magnitudes also differ by one to two orders of magnitude across operating conditions. Therefore, the two terms cannot be added directly without proper scaling. Introducing the coefficient λ ensures that the gradient contributions of the physical term remain comparable to those of the data-driven component and prevents numerical imbalance during training. The term Q ρ represents the transported solid mass per unit time, where the mud flow Q is measured in m3/s and the mixture density ρ in kg/m3, resulting in mass flow units (kg/s). Because CSD productivity is fundamentally determined by the rate at which excavated soil is transported through the pipeline, Q ρ provides a physically grounded approximation of the macroscopic trend of W. Although Q ρ is not identical to volumetric productivity due to variations in solid concentration and in situ bulk density, it captures the dominant dynamics governing the mud transport process. For consistency, Q ρ is linearly scaled to match the range of the supervised productivity target before being used in the loss function. Because Q ρ is an approximation of the true production mechanism, uncertainties arise from soil heterogeneity, variable solid concentration, pump efficiency, and sediment compaction. These factors introduce deviations between mass flow and actual volumetric output. To acknowledge this uncertainty, we interpret L o s s r not as a strict physical constraint but as a soft regularization promoting global consistency. Empirical observations indicate that the discrepancy between Q ρ and measured productivity typically lies within 10–20% under normal operating conditions. Therefore, Lossr stabilizes learning by providing a robust trend prior while allowing the data-driven component to capture local variations that the physical approximation cannot model.
The weighting parameter λ was selected using a sweep search over the range λ [ 0 , 10 ] . Very small values (e.g., 0.001) diminished the influence of the physical constraint, while overly large values (e.g., 0.5) caused the model to overfit the global trend W Q ρ and produced noticeable local deviations. The optimal value λ = 0.1 provided a balanced trade-off, preserving the global physical consistency while maintaining high local predictive fidelity. The results of the sweep confirm that PALF is stable across a reasonable range of λ values.
The PADL, composed of a deep learning algorithm and loss function PALF, is an effective auxiliary method for parameter monitoring of the dredging process. The improved loss function PALF makes full use of the physical relationship among the parameters of each subsystem in CSD. In the training process, physical formulas are used to guide the deep learning process to be more in line with the real physical situation and improve the reliability of its construction monitoring. When there is a problem with the physical sensor, the prediction model can make a real-time prediction according to the constraints of the physical model and other parameters. This method can assist the physical sensor to output stable and reliable virtual signals and maintain the continuity of output monitoring data.

4. Case Study

To verify the application of the PADL model in the construction monitoring of CSD, the cutter suction dredger “Tianda” in a harbor dredging project is taken as the research object. In the designed construction area, the original mud surface is about −11 m, which needs to be excavated to −14 m, and the engineering quantity is 402,000 m3. The soil quality is mainly clay, but many stones are prone to risks such as cutter file breaking or mud discharge pipe blockage. Therefore, stable and reliable construction monitoring technology is particularly important for ensuring construction safety and improving construction efficiency.

4.1. Data Preprocessing

To ensure data reliability, abnormal readings in the SCADA dataset were first removed. Outliers were identified using a combination of physical-range constraints and statistical deviation rules. Each construction parameter was constrained within its feasible physical interval—for example, cutter rotation speed, pump vacuum, and mud density were required to fall within equipment-specific allowable ranges. Measurements exceeding physical feasibility were discarded. In addition, abrupt spikes deviating more than three standard deviations from the local mean were treated as noise-induced anomalies and replaced using interpolation. This procedure prevents unrealistic sensor fluctuations from influencing the model. SCADA signals often contain short-term vibration-induced noise caused by mechanical oscillations and sediment heterogeneity. To improve signal stability, a moving-average smoothing filter with a small window size was applied to cutter pressure, flow velocity, and vacuum readings. This preserves the physical trend while reducing high-frequency noise that does not reflect actual construction dynamics. Missing measurements occurred intermittently due to sensor transmission delays or temporary communication failures. When the missing interval was shorter than a predefined threshold, linear interpolation was applied to reconstruct the continuous signal. For longer gaps, the affected segments were discarded to avoid introducing excessive uncertainty. This strategy ensures that the time-series structure is preserved without artificially distorting physical behavior.
In addition to cleaning the raw data, several features were supplemented based on physical considerations. Specifically, variables such as transported mass flow Q ρ and pressure–density-derived resistance indicators were added because they represent fundamental physical relationships governing mud transportation. These derived features are not arbitrary but are directly computed from physically meaningful combinations of measured parameters. Their inclusion enhances the physical completeness of the input space and allows the model to better capture mechanistic interactions that determine productivity. The overall pre-processing workflow, therefore, consisted of (1) physical-range filtering, (2) statistical outlier removal, (3) noise smoothing, (4) missing-data repair, and (5) physics-based derived feature construction. These steps ensured that the input data were both physically plausible and sufficiently smooth for deep learning model training.
The SCADA system arranged the dredger records into a set of 256-dimensional construction data every 8 s, including important control parameters such as “traverse speed”, “cutter working pressure”, and “mud pump pressure”. To improve the efficiency of model training in the later stage, the Lasso algorithm was used to select features with high contributions to the target parameters from the 256-dimensional data. Through correlation analysis, the features with high correlation were eliminated, as shown in Figure 8, and other features with high correlation were supplemented according to physical meaning. Finally, a feature set containing 11 features was selected: flow, cutter pressure, diesel engine speed, electric shaft generating voltage, concentration, transverse angle, winch oil pressure, mud pump power, current cumulative output, previous cumulative output, and cutter displacement. As construction progresses, productivity is closely related to the fluctuation of these construction parameters. Taking cutter pressure as an example, the cutter is the core dredging equipment of CSD. Only with excellent cutter performance and a large power reserve can high cutting efficiency be ensured. At the same time, the mud pump provides power for the transportation of mud, and a high-power mud pump can ensure the suction concentration remains at an optimal level. Understanding these factors affecting productivity is helpful in adjusting parameters in construction and achieving efficient dredging.

4.2. Establishment of Monitoring Model Integrating Physical Formula

Production energy is of great significance in evaluating dredging benefits. Dredgers’ construction and operation costs are relatively high, so it is necessary to keep productivity as high as possible to improve construction efficiency. Operators adjust the construction parameters according to the production capacity changes during the construction process. Therefore, this study adopts the proposed PADL model for timely and efficient auxiliary monitoring of production capacity. In the construction of the new loss function PALF, the data-driven part can choose the commonly used average absolute loss function, MAE. In the physical model-driven part, the output can be calculated according to Equation (2), which is the multiplication of concentration and flow. Therefore, the loss function PALF used in the productivity monitoring model can be expressed as follows:
L o s s _ f u n c t i o n = 1 n i = 1 n Y i f ( x i ) + 1 n i = 1 n Y i Q i ρ i
where Q i and ρ i are the monitoring values of the flow rate and concentration obtained dynamically by physical sensors. It should be noted that the flow and concentration change with time in the training process, which is not a fixed value. Therefore, the matching input data should be retrieved from the training set to keep the time consistent with the data on productivity and other characteristics.
The hyperparameters used in this study, including learning rate, batch size, LSTM hidden dimension, MLP layer width, and DBN structural depth, were determined through a combination of literature guidance and controlled trial-and-error tuning. Initial values were selected based on commonly adopted configurations in time-series prediction studies involving equipment monitoring. Subsequently, a series of small-scale validation experiments was conducted to examine model sensitivity to these hyperparameters. Parameters that consistently produced stable convergence and low validation error were retained. This sequential tuning strategy avoids overfitting to a single configuration while ensuring that the adopted hyperparameters are empirically reliable for the characteristics of CSD operational data.
Based on the above-improved loss function, three productivity prediction models, Physics-Assisted Long Short-Term Memory (PA_LSTM), Physics-Assisted Multilayer Perceptron (PA_MLP), and Physics-Assisted Deep Belief Network (PA_DBN), are constructed to verify the rationality and superiority of PALF in the monitoring of construction parameters. In addition, to verify the effect of the proposed new loss function PALF, three prediction models: LSTA, MLP, and DBN, are also built based on the commonly used loss function MAE. Among them, the LSTM model has a two-layer structure, and both MLP and DBN have two hidden layers. The input of the model is 11-dimensional time series monitoring data, and the output data is 1-dimensional productivity data. Moreover, the number of data groups can be set according to specific analysis problems. Generally, the more data in the training set, the better the training effect of the model will be. Table 3 shows the training parameters of each model.

4.3. Training Stability and Convergence Behavior

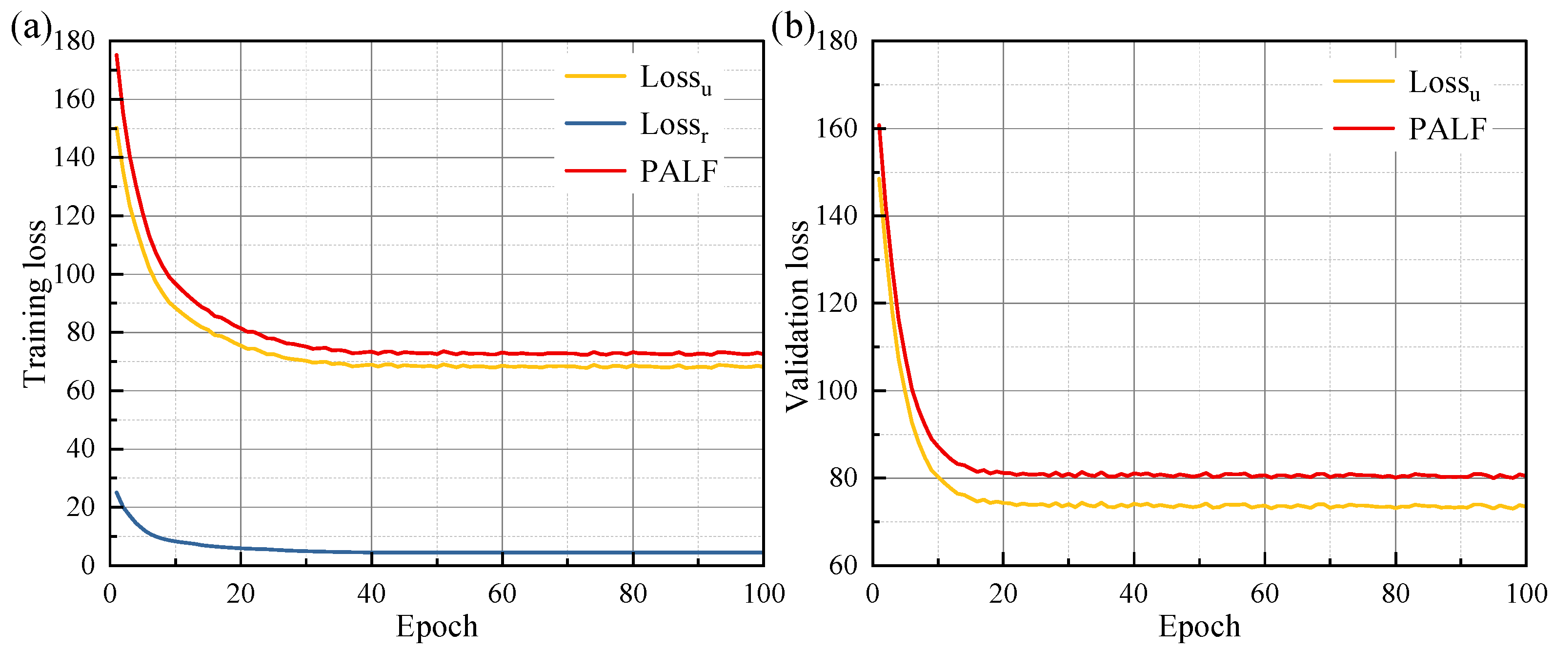
To further examine the effect of the proposed physics-assisted loss function on optimization behavior, the evolution of training and validation losses is illustrated in Figure 9. The training curves show that all three loss components—Lossu, Lossr, and the combined PALF—exhibit a rapid decrease during the first 10–15 epochs, followed by a gradual stabilization. This indicates that the model efficiently captures the dominant patterns in the data during early optimization and subsequently converges toward a stable solution. Lossr converges much faster and to a smaller magnitude than Lossu, which is expected because the physics-based constraint enforces a strong global trend with relatively low variance. The PALF curve consistently lies slightly above Lossu, reflecting the additive regularization effect of the physical term.
The validation curves demonstrate a similar trend: both Lossu and PALF decrease sharply at the beginning of training and remain stable across subsequent epochs without exhibiting divergence or oscillation. Importantly, the validation loss stays close to the training loss throughout the optimization process, suggesting that the introduction of PALF does not induce overfitting. Instead, the physical constraint contributes to smoother convergence and improved generalization by guiding the model toward physically plausible solutions.
Overall, these results confirm that PALF not only improves predictive accuracy but also enhances training stability. The model converges reliably, and the incorporation of the physics term does not hinder optimization; rather, it acts as a consistent regularizer that stabilizes learning dynamics.

4.4. Ablation Study on the Contribution of the Physical Term

To verify that the performance improvement of PALF is not coincidental, an ablation study was conducted by evaluating three loss configurations: (1) the data-driven loss only (Lossu), (2) the physics-based loss only (Lossr), and (3) the combined physics-assisted loss (PALF). The results are summarized in Table 4. The model trained with Lossu achieves relatively low MAE but shows noticeable fluctuations in transient segments, indicating limited physical consistency. In contrast, the model trained solely with Lossr reproduces the global trend accurately and attains a high R2 value, but exhibits larger local deviations because no data-driven supervision is applied. When the two losses are integrated in PALF, the model simultaneously benefits from the local accuracy of Lossu and the global physical regularity of Lossr, resulting in a significant reduction in MAE (20.33–54.33%). These findings confirm that the improvements introduced by PALF arise from the complementary effects of the physical constraints rather than random variations.

4.5. Analysis and Discussion of the Results

To verify the effect of applying the loss function PALF in construction monitoring, three deep learning models, PA_LSTM, PA_MLP, and PA_DBN, are used to predict the productivity of the dredger. At the same time, the prediction model based on the common loss function MAE is selected as the comparison model, and the goodness of fit R2 and the MAE are chosen as the evaluation indices of the prediction effect. To ensure the comparability of the experimental results, the three different models use the same 10,000-group dataset, and the ratio of the training dataset to the test set is 8:2. The selection of the sequence length used for model input is guided by the temporal dependency characteristics of cutter suction dredger operations. Productivity and hydraulic responses exhibit short-range temporal continuity, wherein cutter rotation speed, pump vacuum, and mud flow fluctuate smoothly within a limited time horizon. To capture these dependencies, the sequence length was tested across several candidate window sizes, and the chosen value represents the best trade-off between temporal context and computational efficiency. A shorter window may fail to capture the evolution of excavation dynamics, while an excessively long window introduces redundant information and noise. Therefore, the adopted sequence length ensures that the model effectively learns meaningful temporal patterns that influence productivity while maintaining training stability. The results illustrate that the three models before and after the improvement are generally effective in the prediction of cutter suction dredgers’ output, with R2 above 0.90.
Figure 10 reports pointwise absolute errors on the test set. For each backbone (LSTM, MLP, DBN), the PALF-based variant (PA_LSTM, PA_MLP, PA_DBN) achieves lower errors than its MAE-based counterpart, indicating superior predictive performance. Among the three backbones, the LSTM family attains the smallest errors and the DBN family the largest. Quantitatively, the MAE is reduced from 32.22 to 25.67 for the LSTM models, from 62.36 to 36.81 for the MLP models, and from 199.54 to 91.12 for the DBN models, corresponding to improvements of 20.33%, 40.97%, and 54.33%, respectively.
Figure 11 contrasts sequence-level predictions for the LSTM backbone trained with three loss designs: an MAE-based loss (Lossu), a physics-based loss (PF in the legend, i.e., Lossr), and the combined physics-assisted loss PALF. The PALF model follows the ground-truth trajectory more closely in both steady segments and rapid transients; the Lossu model captures the overall level but lags around abrupt changes, whereas the Lossr model preserves the global trend while exhibiting larger local deviations. The zoom-in panels highlight PALF’s smaller phase lag and local discrepancies, consistent with the error reductions observed in Figure 10. In an ablation not shown in the figure, training with Lossr alone attains R2 = 0.98, confirming the guiding role of the physical constraints, while PALF delivers the best local fidelity. The high R2 value obtained by the physics-only loss (Lossr) can be attributed to its reliance on the global mass–flow relationship Q ρ , which dominates the overall trend of productivity. Because this physical relation reflects the primary macroscopic mechanism governing mud transport, predictions generated under Lossr tend to follow the correct global trajectory, resulting in strong consistency at the trend level. However, Lossr does not incorporate local error supervision and therefore cannot adjust for short-term fluctuations caused by variations in cutter load, pump dynamics, or sediment heterogeneity. Consequently, while Lossr achieves high R2 through accurate trend preservation, it exhibits larger local deviations, highlighting the necessity of combining physical constraints with data-driven loss terms as in PALF.
Figure 12 evaluates data efficiency by comparing LSTM and PA_LSTM across training-set sizes from 1000 to 11,000 samples. The bars (left axis) report test-set MSE, and the line (right axis) shows the relative improvement of PA_LSTM over LSTM. PA_LSTM consistently reduces errors at all sizes, with improvements of 35.62%, 28.71%, 25.33%, 18.65%, 17.10%, and 13.97% as the training size increases from 1000 to 11,000, indicating the largest gains in the small-data regime.
Figure 13 further visualizes, for each training size, the sequence predictions and the predicted-versus-true scatter plots. Across 1000–11,000 samples, PALF-based predictions remain closely aligned with the measured trajectories and exhibit tight predicted-true agreement, with overall R2 > 0.90. The qualitative pattern echoes Figure 12: the performance gap is most pronounced at 1000 samples and narrows as more data become available. The decreasing percentage improvement as sample size increases can be explained by the stabilizing influence of the physical constraints in low-data regimes. When only limited training samples are available, purely data-driven models tend to underfit and may learn spurious correlations caused by noise or short-term fluctuations. In contrast, the physics-based component of PALF introduces a strong structural prior through the global productivity relationship W Q ρ , which guides learning toward physically meaningful solutions even when data are sparse. This constraint reduces hypothesis space complexity, improves parameter identifiability, and stabilizes gradients during training. As the dataset grows, the data-driven component of the baseline models becomes more capable of capturing the underlying patterns independently, and the marginal benefit of the physical prior naturally diminishes. Nevertheless, PALF maintains consistent advantages in terms of prediction smoothness and physical coherence, especially in transient operating conditions.
In addition to numerical improvements, the reduction in prediction error achieved by PALF has clear engineering significance for cutter suction dredger operations. A lower MAE in productivity estimation enables more accurate assessment of excavation progress, allowing operators to anticipate underperformance or overload conditions in advance. This improves decision-making regarding cutter rotation speed, pump vacuum adjustments, and mud-transport settings. Furthermore, stable and physically consistent predictions reduce the likelihood of pipeline blockage, excessive cutter wear, and sudden pump overload events, all of which are highly sensitive to deviations in flow and density predictions. By improving reliability in real-time monitoring, PALF supports more efficient project scheduling, minimizes unplanned downtime, and enhances overall operational safety.
From an operational perspective, even a 5–10% reduction in MAE translates to significantly more stable control of mud concentration and pumping load. Since CSD productivity is directly linked to flow Q, mixture density ρ , and cutter–soil interaction, small prediction errors may accumulate into substantial deviations in daily project output. The improved prediction accuracy provided by PALF, therefore, helps maintain production targets, reduces the frequency of corrective actions by the crew, and enhances the economic efficiency of dredging construction.
Real-time monitoring of key parameters is an important way to achieve efficient dredging and safe construction. The above research shows that the monitoring method combining physical formula and deep learning has a good prediction effect. Compared with the traditional loss function, the improved loss function PALF can better exert the prior knowledge in the physical model, thus improving the accuracy of model prediction and providing more accurate and effective auxiliary monitoring for the construction control of CSD.

5. Conclusions

Based on the CSD construction monitoring data, this paper proposed a construction monitoring model combining physical and deep learning. A physical formula was introduced into the traditional loss function to guide the training process. Compared with the model based on the traditional loss function, the PADL performed better in predicting the construction parameters, which is conducive to auxiliary construction monitoring. The contributions of this paper are listed as follows:
(1) An improved loss function that combines the data-driven Lossu with the physical model-driven Lossr is proposed. By analyzing the physical system of CSD and the relationship between parameters in the construction process, the physical formula is integrated into the traditional loss function to build PALF. The improved loss function makes full use of the prior knowledge based on the physical model, which can guide the model closer to the real physical situation in the training process.
(2) Based on the improved loss function PALF, three deep learning models, PA_LSTM, PA_MLP, and PA_DBN, are established to predict the productivity that is of concern in construction. The results show that these three PADL models have better prediction effects than those based on the traditional loss function, with R2 above 0.9 and MAE optimized by 20.33%, 40.97%, and 54.33%, respectively.
(3) The prediction effect of the PA_LSTM model is studied when different loss functions are adopted. The results show that the loss function based only on the physical formula part, Lossr, can still play an important role in the model training process, with R2 reaching 0.98. However, the model’s prediction accuracy with PALF is higher, and its MAE is optimized by 23.62% and 34.60% compared with models only using Lossr or Lossu, respectively.
(4) By using training sets with different data samples from 1000 to 11,000 groups, the prediction effect of PA_LSTM under different data samples is studied. The results show that with the decrease in the training data sizes, the optimization effect of the PADL is more obvious. Even with a small amount of training data of 1000 groups, the model still performed well, with R2 above 0.94, verifying the advantages of PALF in a smaller data set in model training.
Although PALF shows strong predictive performance, several limitations remain. Its applicability is constrained by its need for explicit and differentiable physical formulas. While productivity can be approximated by the macroscopic relation W Q ρ , many other CSD parameters—such as cutter torque, pump efficiency, or pipeline friction—lack suitable analytical expressions for direct use in a loss function. This restricts the generalizability of PALF to variables with well-understood or analytically representable physics. Extending PALF to broader operational parameters may require surrogate physical models or hybrid formulations to handle complex soil–water–mechanical interactions and to balance physical constraints with data-driven flexibility.
Future research may focus on introducing adaptive weighting schemes that dynamically adjust the contribution of the physical and data-driven terms during training, enabling PALF to better accommodate varying construction conditions. Another promising direction involves real-time deployment on operational CSD platforms, where the integration of physics-aware prediction could support intelligent control, early-warning mechanisms, and on-site decision-making. Additionally, exploring multi-parameter joint modeling, refined physical constraints, and uncertainty quantification would further enhance the robustness and applicability of the proposed framework.

Author Contributions

Conceptualization, R.L.; methodology, R.L.; validation, Y.C.; investigation, Q.R.; data curation, G.Y.; writing—original draft preparation, R.L.; writing—review and editing, R.L. and K.S. All authors have read and agreed to the published version of the manuscript.

Funding

This research was jointly funded by the National Natural Science Foundation of China (Grant No. 52409170), the Open Fund of Research Center on Levee Safety & Disaster Prevention (Grant No. LSDP202403), the China Postdoctoral Science Foundation (Grant Nos. 2023M732604 and 2023TQ0239), and the National Science and Technology Major Project (Grant No. 2024ZD1000402).

Data Availability Statement

The data presented in this study are available on request from the corresponding author due to privacy and confidentiality restrictions.

Conflicts of Interest

The authors declare no conflicts of interest.

References

  1. Wei, C.Y.; Wei, Y.; Ji, Z. Model predictive control for slurry pipeline transportation of a cutter suction dredger. Ocean Eng. 2021, 227, 108893. [Google Scholar] [CrossRef]
  2. Guo, Q.C.; Lu, Q. Study on scale and effect of river dredging aiming at reducing flood level. J. Hydraul. Eng. 2022, 53, 496–503. [Google Scholar] [CrossRef]
  3. Todd, V.L.G.; Todd, I.B.; Gardiner, J.C.; Morrin, E.C.N.; MacPherson, N.A.; DiMarzio, N.A.; Thomsen, F. A review of impacts of marine dredging activities on marine mammals. ICES J. Mar. Sci. 2014, 72, 328–340. [Google Scholar] [CrossRef]
  4. Damen. Damen Launches a New Range of Non-Radioactive Density Meters. Available online: https://www.damen.com/insights-center/news/damen-launches-a-new-range-of-non-radioactive-density-meters (accessed on 3 June 2019).
  5. Tang, J.Z.; Wang, Q.F. Online fault diagnosis and prevention expert system for dredgers. Expert Syst. Appl. 2008, 34, 511–521. [Google Scholar] [CrossRef]
  6. Hanus, R.; Petryka, L.; Zych, M. Velocity measurement of the liquid–solid flow in a vertical pipeline using gamma-ray absorption and weighted cross-correlation. Flow Meas. Instrum. 2014, 40, 58–63. [Google Scholar] [CrossRef]
  7. Lord, C.J. Offshore developments that minimize environmental impact. J. Constr. Div. 1974, 100, 159–170. [Google Scholar] [CrossRef]
  8. Johnson, K.D.; Tatum, C.B. Technology in marine construction firms. J. Constr. Eng. Manag. 1993, 119, 148–162. [Google Scholar] [CrossRef]
  9. Gondia, A.; Siam, A.; El-Dakhakhni, W.; Nassar, A.H. Machine learning algorithms for construction projects delay risk prediction. J. Constr. Eng. Manag. 2020, 146, 04019085. [Google Scholar] [CrossRef]
  10. Skibniewski, M.J.; Vecino, G.A. Web-based project management framework for dredging projects. J. Manag. Eng. 2012, 28, 127–139. [Google Scholar] [CrossRef]
  11. Lu, Y.Q.; Liu, C.; Wang, K.I.K.; Huang, H.Y.; Xu, X. Digital Twin-driven smart manufacturing: Connotation, reference model, applications and research issues. Robot. Comput. Integr. Manuf. 2020, 61, 101837. [Google Scholar] [CrossRef]
  12. Boje, C.; Guerriero, A.; Kubicki, S.; Rezgui, Y. Towards a semantic Construction Digital Twin: Directions for future research. Autom. Constr. 2020, 114, 103179. [Google Scholar] [CrossRef]
  13. Liu, J.J.; Luo, H.B.; Liu, H. Deep learning-based data analytics for safety in construction. Autom. Constr. 2022, 140, 104302. [Google Scholar] [CrossRef]
  14. Pal, A.; Hsieh, S.H. Deep-learning-based visual data analytics for smart construction management. Autom. Constr. 2021, 131, 103892. [Google Scholar] [CrossRef]
  15. Sakhakarmi, S.; Arteaga, C.; Cho, C.; Park, J. Scaffold safety analysis: Focusing on deep learning. In Proceedings of the Construction Research Congress 2020, Tempe, AZ, USA, 8–10 March 2020; American Society of Civil Engineers: Reston, VA, USA, 2020; pp. 218–225. [Google Scholar] [CrossRef]
  16. Li, M.C.; Lu, Q.R.; Bai, S.; Zhang, M.X.; Tian, H.J.; Qin, L. Digital twin-driven virtual sensor approach for safe construction operations of trailing suction hopper dredger. Autom. Constr. 2021, 132, 103961. [Google Scholar] [CrossRef]
  17. Wang, B.; Fan, S.D.; Chen, Y.; Zheng, L.Y.; Zhu, H.H.; Fang, Z.L.; Zhang, M. The replacement of dysfunctional sensors based on the digital twin method during the cutter suction dredger construction process. Measurement 2022, 189, 110523. [Google Scholar] [CrossRef]
  18. Tang, J.Z.; Wang, Q.F.; Zhong, T.Y. Automatic monitoring and control of cutter suction dredger. Autom. Constr. 2009, 18, 194–203. [Google Scholar] [CrossRef]
  19. Wei, C.Y.; Bai, H.N.; Wei, Y.; Ji, Z.; Liu, Z.H. Learning manipulation skills with demonstrations for the swing process control of dredgers. Ocean Eng. 2022, 246, 110545. [Google Scholar] [CrossRef]
  20. Chen, Q.Y.; He, Y.P.; Xiong, T.; Li, M.Z.; Liu, W.H. Study on the dynamic characteristics of the overflow advection and diffusion of trailing suction hopper dredgers based on CFD. Ocean Eng. 2022, 252, 111263. [Google Scholar] [CrossRef]
  21. Bai, S.; Li, M.; Lu, Q.; Tian, H.; Qin, L. Global time optimization method for dredging construction cycles of trailing suction hopper dredger based on Grey System Model. J. Constr. Eng. Manag. 2022, 148, 04021198. [Google Scholar] [CrossRef]
  22. Li, M.C.; Kong, R.; Han, S.; Tian, G.P.; Qin, L. Novel method of construction-efficiency evaluation of cutter suction dredger based on real-time monitoring data. J. Waterw. Port Coast. Ocean Eng. 2018, 144, 05018007. [Google Scholar] [CrossRef]
  23. Bai, S.; Li, M.C.; Kong, R.; Han, S.; Li, H.; Qin, L. Data mining approach to construction productivity prediction for cutter suction dredgers. Autom. Constr. 2019, 105, 102833. [Google Scholar] [CrossRef]
  24. Wang, B.; Fan, S.D.; Jiang, P.; Xing, T.; Fang, Z.L.; Wen, Q. Research on predicting the productivity of cutter suction dredgers based on data mining with model stacked generalization. Ocean Eng. 2020, 217, 108001. [Google Scholar] [CrossRef]
  25. Bai, S.; Li, M.C.; Song, L.G.; Ren, Q.B.; Qin, L.; Fu, J.K. Productivity analysis of trailing suction hopper dredgers using stacking strategy. Autom. Constr. 2021, 122, 103470. [Google Scholar] [CrossRef]
  26. Bai, S.; Li, M.C.; Lu, Q.R.; Fu, J.K.; Li, J.F.; Qin, L. A new measuring method of dredging concentration based on hybrid ensemble deep learning technique. Measurement 2022, 188, 110423. [Google Scholar] [CrossRef]
  27. Fu, J.K.; Tian, H.J.; Song, L.G.; Li, M.C.; Bai, S.; Ren, Q.B. Productivity estimation of cutter suction dredger operation through data mining and learning from real-time big data. Eng. Constr. Archit. Manag. 2021, 28, 2023–2041. [Google Scholar] [CrossRef]
  28. Zhu, J.S.; Wang, Y.L. Feature selection and deep learning for deterioration prediction of the bridges. J. Perform. Constr. Facil. 2021, 35, 04021078. [Google Scholar] [CrossRef]
  29. Saitta, S.; Kripakaran, P.; Raphael, B.; Smith, I.F. Feature selection using stochastic search: An application to system identification. J. Comput. Civ. Eng. 2010, 24, 3–10. [Google Scholar] [CrossRef][Green Version]
  30. Aydın, B.; Yağuzluk, S.; Açıkkar, M. Prediction of landslide tsunami run-up on a plane beach through feature selected MLP-based model. J. Ocean Eng. Sci. 2024, 9, 222–231. [Google Scholar] [CrossRef]
  31. LeCun, Y.; Bengio, Y.; Hinton, G. Deep learning. Nature 2015, 521, 436–444. [Google Scholar] [CrossRef]
  32. Zhang, Y.; Li, M.C.; Han, S.; Ren, Q.B.; Shi, J. Intelligent identification for rock-mineral microscopic images using ensemble machine learning algorithms. Sensors 2019, 19, 3914. [Google Scholar] [CrossRef]
  33. Xiao, B.; Wang, Y.H.; Kang, S.C. Deep learning image captioning in construction management: A feasibility study. J. Constr. Eng. Manag. 2022, 148, 04022049. [Google Scholar] [CrossRef]
  34. Tian, D.; Li, M.C.; Shi, J.; Shen, Y.; Han, S. On-site text classification and knowledge mining for large-scale projects construction by integrated intelligent approach. Adv. Eng. Inform. 2021, 49, 101355. [Google Scholar] [CrossRef]
  35. Mao, J.H.; Wang, C.Y.; Guo, Y.H.; Xu, G.A.; Cao, S.F.; Zhang, X.W.; Bi, Z.X. A novel model for voice command fingerprinting using deep learning. J. Inf. Secur. Appl. 2022, 65, 103085. [Google Scholar] [CrossRef]
  36. Greff, K.; Srivastava, R.K.; Koutník, J.; Steunebrink, B.R.; Schmidhuber, J. LSTM: A search space odyssey. IEEE Trans. Neural Netw. Learn. Syst. 2017, 28, 2222–2232. [Google Scholar] [CrossRef]
  37. Prodregosa, F. Scikit-learn: Machine learning in python. J. Mach. Learn. Res. 2011, 12, 2825–2830. [Google Scholar] [CrossRef]
  38. Schmidhuber, J. Deep learning in neural networks: An overview. Neural Netw. 2015, 61, 85–117. [Google Scholar] [CrossRef]
Figure 1. Schematic diagram of the hull structure and the mud pipe route of CSD.
Figure 1. Schematic diagram of the hull structure and the mud pipe route of CSD.
Water 17 03583 g001
Figure 2. Schematic diagram of the transverse swing of the cutter and the excavation route during dredging.
Figure 2. Schematic diagram of the transverse swing of the cutter and the excavation route during dredging.
Water 17 03583 g002
Figure 3. Comparison of the variation trends of construction parameters monitored by physical sensors arranged on dredgers.
Figure 3. Comparison of the variation trends of construction parameters monitored by physical sensors arranged on dredgers.
Water 17 03583 g003
Figure 4. Interaction of some parameters among cutter, mud pump, and pipeline models.
Figure 4. Interaction of some parameters among cutter, mud pump, and pipeline models.
Water 17 03583 g004
Figure 5. Framework of construction parameter prediction model integrating physical models and deep learning.
Figure 5. Framework of construction parameter prediction model integrating physical models and deep learning.
Water 17 03583 g005
Figure 6. Schematic diagram of LSTM, MLP, and DBN algorithms.
Figure 6. Schematic diagram of LSTM, MLP, and DBN algorithms.
Water 17 03583 g006
Figure 7. Side view and front view of process of cutting mud layer with cutter during construction.
Figure 7. Side view and front view of process of cutting mud layer with cutter during construction.
Water 17 03583 g007
Figure 8. Correlation between the selected features.
Figure 8. Correlation between the selected features.
Water 17 03583 g008
Figure 9. Loss evolution across epochs: (a) training loss curves; (b) validation loss curves.
Figure 9. Loss evolution across epochs: (a) training loss curves; (b) validation loss curves.
Water 17 03583 g009
Figure 10. Absolute error between predicted value and real value of different models.
Figure 10. Absolute error between predicted value and real value of different models.
Water 17 03583 g010
Figure 11. Comparison of prediction effects of PA_LSTM model under different loss functions.
Figure 11. Comparison of prediction effects of PA_LSTM model under different loss functions.
Water 17 03583 g011
Figure 12. Optimization effects of models with different training sample sizes.
Figure 12. Optimization effects of models with different training sample sizes.
Water 17 03583 g012
Figure 13. Comparison of prediction effects of models with different training sample sizes.
Figure 13. Comparison of prediction effects of models with different training sample sizes.
Water 17 03583 g013
Table 1. Construction monitoring data of CSD.
Table 1. Construction monitoring data of CSD.
Number12345255256
NameCutter Depth
(m)
Cutter Travel Speed (rmp)Cutter
Pressure (bar)
Flow (m3/s)Density (t/m3)Pump
Vaccum (bar)
Pump Power (kW)
0:00:0111.6631.68124.075.881.17−0.64625.28
0:00:0911.6927.77130.165.911.16−0.63624.40
0:00:1711.6826.79130.975.911.18−0.61631.69
0:00:2511.6829.74111.995.881.16−0.59616.40
0:00:3311.6929.76111.995.841.16−0.58635.53
0:00:4111.6930.66109.925.841.18−0.59618.03
0:00:4911.6629.70109.115.811.17−0.59643.14
0:00:5711.6930.70112.915.781.16−0.58637.44
0:01:0511.6827.79123.155.831.15−0.58647.82
0:01:1311.6827.76109.575.831.15−0.59630.67
0:01:2111.6829.69111.875.801.16−0.60609.73
5:48:4111.5629.72113.605.581.21−0.64615.17
5:48:4911.5531.69115.785.531.20−0.64642.44
Maximun11.7131.69158.236.191.21−0.58647.82
Minimum9.1426.79107.165.531.16−0.73608.16
Average11.4329.30120.475.821.17−0.61626.23
Table 2. Common loss functions.
Table 2. Common loss functions.
NameLoss Function
Mean Absolute Error (MAE) L o s s = 1 n i = 1 n Y i f ( x i )
Mean Squared Error (MSE) L o s s = 1 n i = 1 n Y i f ( x i ) 2
Root Mean Square Error (RMSE) L o s s = 1 n i = 1 n Y i f ( x i ) 2
Mean Absolute Percentage Error (MAPE) L o s s = 1 n i = 1 n Y i f ( x i ) f ( x i ) × 100
Note: where n is the number of data sets, Y i is the predicted value in the training process, and f ( x i ) is the monitored value in the construction process.
Table 3. Parameter settings of models.
Table 3. Parameter settings of models.
AlgorithmParameter Setting
PA_LSTMEpochs = 100, batch_size = 50, learningrate = 0.01, decay1 = 0.0001, sequence_len = 20, activation = “relu”, optimizer = “adam”
PA_MLPEpochs = 100, batch_size = 50, hidden_layer_sizes = [100, 32], learning_rate_init = 0.001, power_t = 0.5, max_iter = 50, alpha = 0.001, activation = ‘relu’, solver = ‘adam’
PA_DBNEpochs = 100, batch_size = 800, epoch_pretrain = 10, epoch_finetune = 200, hidden_units = [160, 70], optimizer = “adam”
Table 4. Ablation study of loss components and their impact on prediction performance.
Table 4. Ablation study of loss components and their impact on prediction performance.
Model VariantLoss TermMAE (m3/h)R2
MAE-onlyLossu32.220.93
Physics-onlyLossr91.120.98
PALFLossu + λLossr25.670.96
Note: Boldface indicates the best performance.
Disclaimer/Publisher’s Note: The statements, opinions and data contained in all publications are solely those of the individual author(s) and contributor(s) and not of MDPI and/or the editor(s). MDPI and/or the editor(s) disclaim responsibility for any injury to people or property resulting from any ideas, methods, instructions or products referred to in the content.

Share and Cite

MDPI and ACS Style

Liu, R.; Yu, G.; Shi, K.; Chen, Y.; Ren, Q. Physics-Assisted Deep Learning Model for Improved Construction Performance Monitoring of Cutter Suction Dredger. Water 2025, 17, 3583. https://doi.org/10.3390/w17243583

AMA Style

Liu R, Yu G, Shi K, Chen Y, Ren Q. Physics-Assisted Deep Learning Model for Improved Construction Performance Monitoring of Cutter Suction Dredger. Water. 2025; 17(24):3583. https://doi.org/10.3390/w17243583

Chicago/Turabian Style

Liu, Ruizhe, Guoqing Yu, Kunpeng Shi, Yong Chen, and Qiubing Ren. 2025. "Physics-Assisted Deep Learning Model for Improved Construction Performance Monitoring of Cutter Suction Dredger" Water 17, no. 24: 3583. https://doi.org/10.3390/w17243583

APA Style

Liu, R., Yu, G., Shi, K., Chen, Y., & Ren, Q. (2025). Physics-Assisted Deep Learning Model for Improved Construction Performance Monitoring of Cutter Suction Dredger. Water, 17(24), 3583. https://doi.org/10.3390/w17243583

Note that from the first issue of 2016, this journal uses article numbers instead of page numbers. See further details here.

Article Metrics

Back to TopTop