Abstract
Shanxi Province hosts a rich diversity of traditional villages. From a river basin perspective, adherence to natural laws and the removal of administrative barriers are essential for reshaping the conservation paradigm. Using spatial analysis and multiscale geographically weighted regression, this study revealed the spatial patterns of 619 traditional villages and how environmental, socioeconomic, and historical–cultural factors shape the spatial heterogeneity. Villages clustered within the Yellow River Basin and the Haihe River Basin, forming an agglomeration belt and three high-density cores. Distance to rivers was a key factor in village siting, with 70.8% located within 3 km of the nearest river. Village density exhibited a U-shaped relationship with distance to roads, and an inverted U-shaped relationship with distance to county-level administrative centers. The interaction between intangible cultural heritage density and average annual precipitation showed the strongest explanatory power, with positive local regression coefficients exceeding 95% and 72%, respectively. Traditional villages constitute an evolving human–environment system in which water resources underpin spatial patterns and intangible cultural heritage sustains endogenous cultural vitality. These findings provide a theoretical framework for graded conservation and resource coordination at the river basin scale.
1. Introduction
Traditional villages retain a wealth of tangible and intangible cultural heritage (ICH), serving as important repositories of agrarian civilization. Since 2012, six batches comprising 8155 villages have been included in the List of China’s Traditional Villages, constituting the world’s largest and most comprehensive cluster for the protection of agricultural civilization heritage. However, with the rapid urbanization in China, village patterns have been undergoing accelerated transformation [1,2]. In February 2025, the State Council announced that approximately 1.5 million traditional villages had disappeared across China over the previous 40 years. The survival of traditional villages is faced with serious challenges, including the continuous decline of village vitality, the loss of originality, and barriers to cross-regional cooperative conservation caused by administrative divisions.
In response to these changes, a series of policy measures has been implemented at both national and local levels [3]. For instance, in 2018, the State Council issued the Strategic Plan for Rural Revitalization (2018–2022), which requires the integration of traditional village protection with rural revitalization. In 2021, the Department of Housing and Urban–Rural Development of Shanxi Province enacted the Regulations on the Protection of Traditional Villages in Shanxi Province. In 2022, the People’s Government of Shanxi Province issued the 14th Five-Year Plan for the Protection and Development of Famous Historical and Cultural Cities, Towns, Villages, and Traditional Villages in Shanxi Province. In 2024, the Ministry of Finance and the Ministry of Housing and Urban–Rural Development of the People’s Republic of China (PRC) launched a demonstration project for the concentrated and contiguous protection and utilization of traditional villages. One of the objectives of the project was to strengthen the protection of traditional villages and rural features, and address the relationships between tradition and modernity, as well as between inheritance and development.
These policy initiatives have laid an institutional foundation for the systematic conservation of traditional villages. However, although such frameworks offer policy support, further empirical insights are required to translate these initiatives into more effective and context-specific practices [4,5,6]. Within this context, analyzing the spatial patterns of traditional villages serves as a basis for identifying their distributional characteristics and regional differentiation. Building on this foundation, exploring the underlying mechanisms helps clarify how environmental conditions, socioeconomic dynamics, and historical contexts collectively shape these spatial patterns. Such an integrated understanding offers a crucial knowledge base for identifying conservation priorities, guiding spatial planning, and promoting differentiated yet coordinated protection across administrative boundaries.
Previous studies have laid a solid foundation for understanding traditional villages by examining aspects such as spatial distribution, influencing factors, landscape genes, digital conservation, and transportation accessibility [7,8,9,10,11,12]. Methodologically, tools such as kernel density estimation and spatial autocorrelation have proven effective in identifying spatial agglomerations, whereas the Geodetector is commonly employed to assess the relative importance of driving factors. However, these methods have inherent limitations when applied to in-depth mechanistic analyses within a river basin context. First, the Geodetector requires the subjective discretization of continuous data [13], a process that may substantially affect the stability of results and obscure subtle interaction effects. Second, and more importantly, traditional regression models (e.g., Ordinary Least Squares) typically adopt a global approach, assuming that the relationships among variables remain constant across space. This assumption fails to account for spatial heterogeneity, a fundamental attribute of both geographical phenomena and river basin systems, thereby limiting the model’s ability to capture local mechanisms accurately.
To address these methodological shortcomings, this study adopts two analytical techniques that provide a more nuanced and objective framework tailored to a river basin perspective. To diagnose the driving factors and their interactions, which tend to be intensified within integrated river basin systems, the Optimal Parameters-based Geographical Detector (OPGD) is employed. This approach mitigates the subjectivity inherent in the traditional Geodetector by algorithmically determining the optimal discretization scheme [14], thereby providing a robust foundation for identifying synergistic effects among factors such as topography and hydrology. To capture the spatial heterogeneity of driving mechanisms across diverse geographical settings, Multiscale Geographically Weighted Regression (MGWR) is applied. This method is particularly well suited for river basin analysis [15,16], as it allows each driving factor to operate at its own distinct spatial scale. This capability reveals how the influence of factors, such as elevation or road density, varies in both magnitude and spatial extent across different locations, thereby uncovering place-specific mechanisms that are often overlooked by traditional regression models.
The research scale extends from the national macroscale to the village microscale. Most previous studies, constrained by an administrative perspective, have often overlooked the geographical continuity and cultural integrity of the natural settings that sustain traditional villages as integrated human–environment systems [17,18,19]. In contrast, adopting a river basin perspective offers a more coherent framework for interpreting the spatial patterns of traditional villages for several interrelated reasons. First, as a physically coherent geographical unit, a river basin is characterized by relatively consistent topography, climate, and hydrological processes. These elements collectively create a shared environmental foundation for village siting and spatial organization, thereby reflecting a distinct logic of human–environment interaction [20]. Second, this perspective more accurately captures the coupling between village distribution and key environmental factors, such as water sources and terrain, helping to avoid the masking of local driving mechanisms that often occurs within administrative units [21]. Furthermore, because river basins have historically functioned as natural corridors for migration, trade, and cultural diffusion, they help to reconstruct the continuity of cultural space [22], mitigating the fragmentation imposed by political boundaries. Crucially, natural and social conditions change systematically from upstream to downstream within a river basin. This spatial continuity provides an effective framework for analyzing how driving factors, such as environmental constraints and urbanization, vary across space.
In the context of Shanxi Province, the river basin perspective holds particular significance. The province is characterized by pronounced topographic variation and an interlaced landscape, where the river basins dominated by the Yellow River, Fen River, and Sanggan River together form a complex hydrological network [23]. These basins not only reflect the environmental gradient from mountainous areas to basins but have also historically served as vital corridors for migration, trade, and cultural exchange, shaping the spatial trajectories of Jin merchant culture [24]. Therefore, adopting a river basin-based analytical framework helps to reveal both the spatial differentiation and cultural continuity of traditional villages in Shanxi, while also aligning with contemporary policy agendas that emphasize ecological conservation and regional development within the Yellow River Basin. Although several studies have explored Shanxi’s traditional villages from a river basin perspective [25], most have primarily focused on qualitative descriptions of architectural or cultural characteristics across different basins. These works have provided valuable insights into the regional diversity of traditional village landscapes; however, their analyses generally remain descriptive and lack systematic, quantitative investigation into the underlying spatial mechanisms and driving logics.
Building upon these foundations, the present study develops an integrated analytical framework to systematically examine the spatial organization of traditional villages in Shanxi Province. This framework is designed to decipher how environmental, socioeconomic, and historical–cultural factors interact and vary in their influence across space, thereby revealing the multi-scalar and spatially heterogeneous logic underlying village distribution. The analysis moves beyond administrative delineations by adopting a river basin perspective, which more accurately reflects the natural and cultural continuities shaping settlement patterns. Ultimately, the findings can not only support the demonstration project of concentrated and contiguous protection and utilization of traditional villages in Shanxi Province. They may also contribute to major national strategies, such as the Ecological Protection and High-quality Development of the Yellow River Basin, thereby promoting the integration of culture and tourism and facilitating the comprehensive revitalization of rural areas.
2. Materials and Methods
2.1. Study Area
The study area is Shanxi Province (34°36′–40°44′ N, 110°15′–114°32′ E), with a total area of 156,700 km2 (Figure 1). Shanxi borders Hebei Province to the east across the Taihang Mountains. To the west and south, it borders the Yellow River, across which lie Shaanxi and Henan Provinces. To the north, it borders the Nei Mongol Zizhiqu. The terrain is predominantly mountainous and hilly. The topography is higher in the northeast and lower in the southwest, with an average elevation of about 1150 m. The area experiences a temperate continental monsoon climate, with an average annual temperature of approximately 9.6 °C and an average annual precipitation of about 500 mm. In 2024, Shanxi’s gross domestic product (GDP) reached 2.549 trillion yuan.
Figure 1.
Location of study area. (a) China. The shaded pink area represents the administrative extent of Shanxi Province, the thick blue line delineates its provincial boundary, and the gray lines correspond to the administrative borders of neighboring provinces; (b) Location and distribution of villages in Shanxi Province. Red dots indicate the 619 traditional villages; gray dots indicate all administrative villages.
Shanxi is located in the central part of the Yellow River Basin and serves as the watershed divide between the Yellow River Basin and the Haihe River Basin. The rivers, recharged mainly by atmospheric precipitation, flow outward in all directions from within the province. The spatial division of river basins was based on the distribution of natural river systems in Shanxi and on The Rivers of Shanxi [26]. The Yellow River Basin, covering 97,100 km2 (62.2% of the province), mainly includes the Yellow River tributary Basins, the Fen River Basin, and the Qin River Basin. The Haihe River Basin, covering 59,100 km2 (37.8% of the province), primarily includes the upper reaches of the Sanggan River Basin, the Hutuo River Basin, and the Zhang River Basin. Influenced by terrain and climate, the rivers exhibit significant seasonal variation, high sediment content, and distinct dry and flood periods, with total water resources of approximately 12.38 billion m3.
2.2. Data Sources and Preprocessing
There are 28,197 administrative villages in Shanxi Province, including 27,898 village committees and 299 rural residential committees. The data are from the main data bulletin of the third National Agricultural census in Shanxi Province released by Shanxi Provincial Bureau of Statistics in March 2018. The data of traditional villages were obtained from the first to the sixth batches of the List of China’s Traditional Villages published by the Ministry of Housing and Urban–Rural Development of the PRC. The latitude and longitude coordinates were obtained using the Baidu Map Coordinate Picker System (https://lbs.baidu.com/maptool/getpoint (accessed on 23 September 2025)). The locations and counts of ICH were extracted from the National Intangible Cultural Heritage List published by the State Council, totaling 182 items in Shanxi Province. The points for prefecture-level cities and county-level administrative centers were obtained from the National Bureau of Statistics of China. All the above points were transformed into the WGS 1984 geographic coordinate system using ArcGIS 10.8 (Esri, Redlands, CA, USA), and then projected to CGCS2000_3_Degree_GK_Zone_37. The administrative boundaries were downloaded from the National Standard Map Service System (http://bzdt.ch.mnr.gov.cn (accessed on 23 September 2025)).
The environmental factors included the elevation (Elev), slope, slope aspect (Asp), average annual temperature (Temp), average annual precipitation (Precip), relative humidity (RH), normalized difference vegetation index (NDVI), and distance to rivers (Dist_Riv). The digital elevation model (DEM) was downloaded from the Geospatial Data Cloud (https://www.gscloud.cn (accessed on 23 September 2025)), at a spatial resolution of 30 m × 30 m. Raster data of slope and aspect, as well as the vector of the river systems, were extracted from the DEM. Raster data for temperature, precipitation, and relative humidity were obtained from the National Tibetan Plateau Scientific Data Center (https://data.tpdc.ac.cn (accessed on 23 September 2025)). NDVI was obtained from the Resource and Environmental Science Data Platform (https://www.resdc.cn (accessed on 23 September 2025)). The data period spanned 2019–2023, and multiyear means were calculated to represent multiyear conditions. All raster data were resampled to a uniform cell size using the Resample tool to ensure consistency in spatial analysis.
The socioeconomic factors included distance to roads (Dist_Rd), population density (Pop_Den), urbanization rate (Urban), per capita GDP (PC_GDP), and distance to county-level administrative centers (Dist_Admin). Vector data of the transportation network, including highways and railways, were obtained from OpenStreetMap (https://openstreetmap.org (accessed on 23 September 2025)). The proximity analysis tool in ArcGIS was used to calculate the distance from traditional villages to roads and county-level administrative centers. Population density data were derived from the 1 km resolution global gridded population dataset for 2020 by Liu et al. (2024) [27]. Per capita GDP data were obtained from the 1 km grid dataset for China by Zhao et al. (2017) [28], which was hosted on the LandScan platform (https://landscan.ornl.gov (accessed on 23 September 2025)). The urbanization rate was extracted from the Shanxi Statistical Yearbook. All the above data were standardized and linked to the 619 traditional village points via spatial joins in ArcGIS, ensuring that each village was assigned the corresponding attribute values from these raster and statistical layers for subsequent regression analysis (Figure A1).
2.3. Methods
2.3.1. Kernel Density Estimation
Kernel density estimation estimates spatial intensity by assigning a smooth kernel function (e.g., quadratic or Gaussian kernel) to each point or line feature, and summing their contributions to calculate the density at each location [29]. This method reveals spatial clustering patterns and the distributions of hot and cold spots within the data. Each kernel reaches its peak at the feature’s location and gradually decays to zero as the distance from the feature increases. A full explanation of the equation and variables used is provided in Table A1. This method effectively visualizes the natural clustering of villages along river corridors and within basins, revealing patterns that are fundamental to the river basin perspective.
2.3.2. Spatial Autocorrelation
Spatial autocorrelation measures how villages are distributed across space, identifying patterns of clustering or dispersion [30]. Global Moran’s I is used to assess overall clustering in the study area—a value closer to +1 indicates strong positive clustering, and −1 indicates strong negative clustering. Local Moran’s I is then used to identify local patterns, such as High–High clusters (dense villages surrounded by other dense areas) and Low–Low clusters (sparse villages surrounded by other sparse areas). The method also identifies outliers, such as High–Low (dense villages surrounded by sparse areas) and Low–High (sparse villages surrounded by dense areas). More details on the equation and variables are provided in Table A1. This method directly tests if village clusters follow the natural patterns of the river basin, rather than administrative boundaries.
2.3.3. Optimal Parameters-Based Geographical Detector
The Optimal Parameters-based Geographical Detector analysis was conducted in the R environment (version 4.3.1) to detect spatial heterogeneity and identify the underlying driving forces. The method mainly includes four detectors: the factor detector, interaction detector, risk zone detector, and ecological detector [31]. It is employed to quantify the contribution of various factors to the observed spatial distribution of villages. To illustrate, OPGD can determine whether environmental factors (e.g., elevation, precipitation) or socioeconomic factors (e.g., distance to roads, population density) exert a greater influence on village clustering in a study area. The strength of this relationship is measured by the q-value, which ranges from 0, indicating no explanatory power, to 1, representing perfect explanatory power. A detailed explanation of the methodology and its symbols is provided in Table A1. This method objectively quantifies how factors like hydrology and topography interact within a river basin.
2.3.4. Multiscale Geographically Weighted Regression
MGWR (Version 2.2, SPARC Lab, Arizona State University, Tempe, AZ, USA) is a spatial regression method used to model how the relationship between explanatory variables and village density varies across different locations [32]. Unlike geographically weighted regression (GWR), which uses a fixed bandwidth for all variables, MGWR allows the bandwidth to vary for each explanatory variable, enabling more flexibility in capturing local spatial differences. This method helps better understand how factors like distance to roads or precipitation have different influences in different areas of the study region. A full explanation of the method and its variables is provided in Table A1. This method directly models how the influence of drivers varies along the upstream–downstream continuum, capturing the spatial heterogeneity inherent to river basin systems.
3. Results
3.1. Spatial Distribution Characteristics of the Number of Traditional Villages
Table 1 shows that Shanxi Province had a total of 619 traditional villages. The Yellow River Basin had the largest number, with 428 villages (69.2%). The Haihe River Basin comprised 191 villages (30.8%). Among the sub-basins, the Qin River Basin had the most traditional villages (n = 180, 29.1%), followed by the Fen River Basin (n = 173, 28.0%). The Sushui River Basin contained only 6 traditional villages (1.0%).
Table 1.
Number of traditional villages across river basins in Shanxi Province.
A comparative analysis of the kernel density estimates presented in Figure 2 reveals a fundamental spatial relationship. While the distribution of all administrative villages, as shown in Figure 2a, displays a broad and relatively continuous pattern that reflects basic socio-ecological constraints, the traditional villages, as shown in Figure 2b, exhibit a more localized and clustered structure. This contrast highlights a distinct cultural logic underlying the formation and persistence of traditional villages, distinguishing them within the broader settlement framework. Specifically, village density revealed dense clustering in the southeast and high dispersion in the northwest, forming a spatial pattern of “one belt and three cores.” The agglomeration belt (Gaoping City–Zezhou County) was mainly located along the Fen, Qin, and Zhang River Basins. The three high-density cores were Jiexiu City–Pingyao County in the Fen River Basin, Xiyang County–Pingding County in the Hutuo River Basin, and Lin County–Liulin County in the Yellow River tributary Basins.
Figure 2.
Kernel density estimate of administrative villages (a) and traditional villages (b) distribution across river basins. Red shading shows the kernel density estimate of village locations, with darker areas indicating higher density. River basins are color-coded as follows: Orange represents the Yellow River tributary Basins; yellow represents the Sushui River Basin; light green represents the Fenhe River Basin; dark green represents the Qinhe River Basin; light purple represents the Sanggan River Basin; dark purple represents the Hutuo River Basin; light blue represents the Daqing River Basin; dark blue represents the Zhanghe River Basin.
3.2. Spatial Distribution Characteristics of Traditional Village Types
Traditional villages in the Yellow River tributary Basins are significantly influenced by the landforms of the Loess Plateau, and most of them are located on the plateau and in the hilly areas, where earthen architecture is widely employed. Traditional residential forms are predominantly cave dwellings, exemplified by the terraced cave-dwelling settlement in Lijiashan Village, Lin County, Lüliang City. The architectural forms are characterized by a solid and rugged appearance, often featuring enclosed courtyards. The upper reaches of the Fen River Basin are characterized by mountainous and hilly terrain. In the middle and lower reaches, the watercourse gradually widens and the longitudinal gradient becomes gentle. Both sides of the river are gentle alluvial plains with many villages, represented by Jin merchant settlements from the Ming and Qing dynasties [33]. The brick-and-wood courtyard groups in Jingsheng Village, Lingshi County, Jiexiu City, exemplify commercial settlements, featuring narrow and elongated courtyards, a strict axial layout, and elaborate decoration. Villages along the Qin River Basin are situated in strategic terrain, primarily comprising Taihang fortresses constructed during the mid-to-late Ming dynasty to defend against border incursions and uprisings. Guoyu Village in Yangcheng County, Jincheng City, has a regular rectangular courtyard layout that balances density and openness. Brick-and-stone courtyards serve both residential and defensive functions.
Historically, the Sanggan River Basin served as a crossroads between the agrarian civilization of the Central Plains and the nomadic civilization of the north, and it also functioned as a strategic military stronghold [34]. Villages are predominantly concentrated in the Datong Basin and along the river valley plains of the Sanggan River Basin. The single-story brick-and-wood courtyard in Luozhenying Village, Datong City, illustrates how the transitional plain terrain has shaped local architectural forms. In the Hutuo River Basin, the river valley plain villages display pronounced fortress characteristics. The layout of high walls and narrow alleys in Cigouying Village, Fanshi County, Xinzhou City, reflects the defensive settlement pattern featuring compact courtyards and thick exterior walls. As a rainstorm-fed mountain river, the Zhang River Basin was historically unnavigable, and its villages are typically small in scale. These settlements predominantly follow nucleated or linear layouts, with most located on plains adjacent to river valleys or along ancient trade routes. The clustered stone-built courtyard groups in Yuejiazhai Village, Pingshun County, Changzhi City, demonstrate adaptive strategies for intensive resource use in mountainous river environments, combining two-story stone houses with cave dwellings.
3.3. Spatial Agglomeration Characteristics of Traditional Villages
Figure 3a shows that spatial autocorrelation analysis suggested traditional villages in both river basins were predominantly clustered (HH and LL), while outliers (HL and LH) were rare. The Yellow River Basin showed marked spatial heterogeneity. HH (35.5%) and LH (3.3%) were mainly concentrated in the southern section of the Qin River Basin (Table 2). LL (49.8%) was widely distributed across the Fen River Basin, the Sushui River Basin, and the Yellow River tributary Basins. In the middle reaches of the Fen River Basin near the main stem, a small number of HL (0.9%) occurred.
Figure 3.
Local spatial autocorrelation of traditional village density. (a) The Yellow River Basin; (b) The Haihe River Basin. Red points indicate High–High clusters; green points indicate Low–Low clusters; orange points indicate High–Low outliers; blue points indicate Low–High outliers.
Table 2.
Cluster and outlier type statistics of local spatial autocorrelation across river basins in Shanxi Province.
Figure 3b shows that the Haihe River Basin exhibited relatively high spatial continuity in settlement distribution. HH (49.2%) and LH (10.0%) were concentrated in the lower reaches of the Hutuo River Basin and the southern Zhang River Basin. LL (29.3%) was distributed across the Sanggan River Basin, the northern Hutuo River Basin, and the northern Zhang River Basin, and no HL was observed.
3.4. Quantitative Evaluation of the Influence of Environmental, Socioeconomic, and Historical–Cultural Factors on the Spatial Differentiation Patterns of Traditional Villages
3.4.1. Analysis of Influencing Factors
The selection of driving factors for traditional villages must recognize their distinct nature compared with non-traditional settlements. While the latter are primarily shaped by contemporary socioeconomic forces, traditional villages embody a complex legacy of long-term human–environment interaction in which historical and cultural heritage plays a formative role. Building on this premise and integrating insights from foundational studies [35,36,37], the analytical framework incorporates factors from three interrelated domains: environmental suitability, socioeconomic dynamics, and historical–cultural accumulation. This theoretical distinction is further substantiated by the contemporary socioeconomic realities of these villages. The economic livelihoods of communities in Shanxi’s traditional villages directly reflect their present-day functional dependencies. Shanxi Statistical Yearbook (2024) indicate that agriculture remains the principal livelihood, intrinsically linking these settlements to natural factors such as water availability and suitable terrain. Concurrently, the expansion of cultural tourism relies fundamentally on the historical–cultural heritage captured by the model. Therefore, to a considerable extent, the current economic functions and sustainability of traditional villages are not independent of but rather stem from the same foundational mechanisms that historically shaped their spatial distribution. This interdependence demonstrates that the analytical framework captures not only the historical genesis but also the ongoing vitality of these settlements.
These conceptual domains are translated into the following measurable variables:
The environmental factors included elevation, slope, aspect, average annual temperature, average annual precipitation, relative humidity, NDVI, and distance to rivers. The socioeconomic factors included distance to roads, population density, urbanization rate, per capita GDP, and distance to county-level administrative centers. The historical–cultural factor included ICH density (ICH_Den). These factors were designated as X1–X14. All spatial data were converted to the CGCS2000_3_Degree_GK_Zone_37 projected coordinate system and linked to 619 village points via spatial joins.
Table 3 presents the relationships between traditional villages and topographical factors. The average elevation of traditional villages was approximately 912 m, with an average slope of around 12.5°. Approximately 64.6% of traditional villages were situated at an elevation between 500 m and 1000 m, and 31.7% were located between 1000 m and 2000 m. This pattern aligns with the habitable elevation characteristics of settlements in the northern mountainous areas. Approximately 70.4% of traditional villages were located on slopes predominantly ranging from 5° to 35°. This siting pattern helps avoid both the flood risks associated with flat areas and the construction challenges arising from steep slopes. The numbers of traditional villages oriented toward the sunny side (90–270°) and the shady side (0–90°, 270–360°) across different aspects were nearly equal (ratio = 1 : 0.98), indicating no clear aspect preference in Shanxi Province.
Table 3.
Relationships between traditional villages and topographic factors.
Figure 4a–c show that most villages were located in areas with relatively high temperatures, abundant precipitation, and high humidity. The fitted curve further confirmed the positive association between village density and these climatic factors. Approximately 68.66% of the villages had an average annual temperature ranging from 10.5–13.5 °C. Additionally, about 92.25% of the villages had an average annual precipitation of 400 mm–700 mm, while nearly 96.45% had relative humidity exceeding 50%.
Figure 4.
Relationships between village density (dependent variable) and influencing factors (independent variables). Top: fitted curves of village density versus each factor; dark shading represents 95% confidence band; light shading represents 95% prediction band; the red dots represent the distribution of traditional villages across the factor intervals. Bottom: histograms of village count by factor intervals. The fitted curves align with the distributional patterns indicated by the histograms. (a) Average annual temperature; (b) Average annual precipitation; (c) Relative humidity; (d) Distance to rivers; (e) Distance to roads; (f) Distance to county-level administrative centers.
Figure 4d shows a nonlinear relationship between village density and distance to rivers, initially increasing and later decreasing. Nearly 70.8% of traditional villages were located within 3 km of a river, while only 9.7% were located more than 5 km away. This suggests that the distribution of traditional villages is highly dependent on water resources and people tend to settle near rivers.
Figure 4e shows that nearly 78.4% of traditional villages were located within 1 km of a road, while only 6.6% were situated more than 2 km away. Figure 4f shows that nearly 88.9% of villages were located within 30 km of county-level administrative centers. These results suggest that traditional villages in Shanxi Province are generally located near roads and county-level administrative centers. The fitted relationships between the two factors and village density differed, with distance to roads exhibiting a U-shaped trend and distance to county-level administrative centers showing an inverted U-shaped trend. This may be attributed to transportation accessibility, resource exchange, and the radiating influence of the administrative centers [38,39].
There was a significant spatial coupling between traditional villages and ICH. ICH was predominantly distributed in a belt-shaped pattern along the lower reaches of the Fen River Basin and the Qin River Basin, as well as the southern section of the Zhang River Basin (Figure 5). In the middle and upper reaches of the Fen River Basin, ICH exhibited a core concentration pattern with a gradual outward diffusion. Areas of high ICH density overlapped with areas of high village density, indicating that villages constitute an essential foundation for the continuity of ICH [40].
Figure 5.
Kernel density estimate of ICH distribution across river basins.
3.4.2. Driving Mechanisms of Spatial Heterogeneity in Traditional Villages
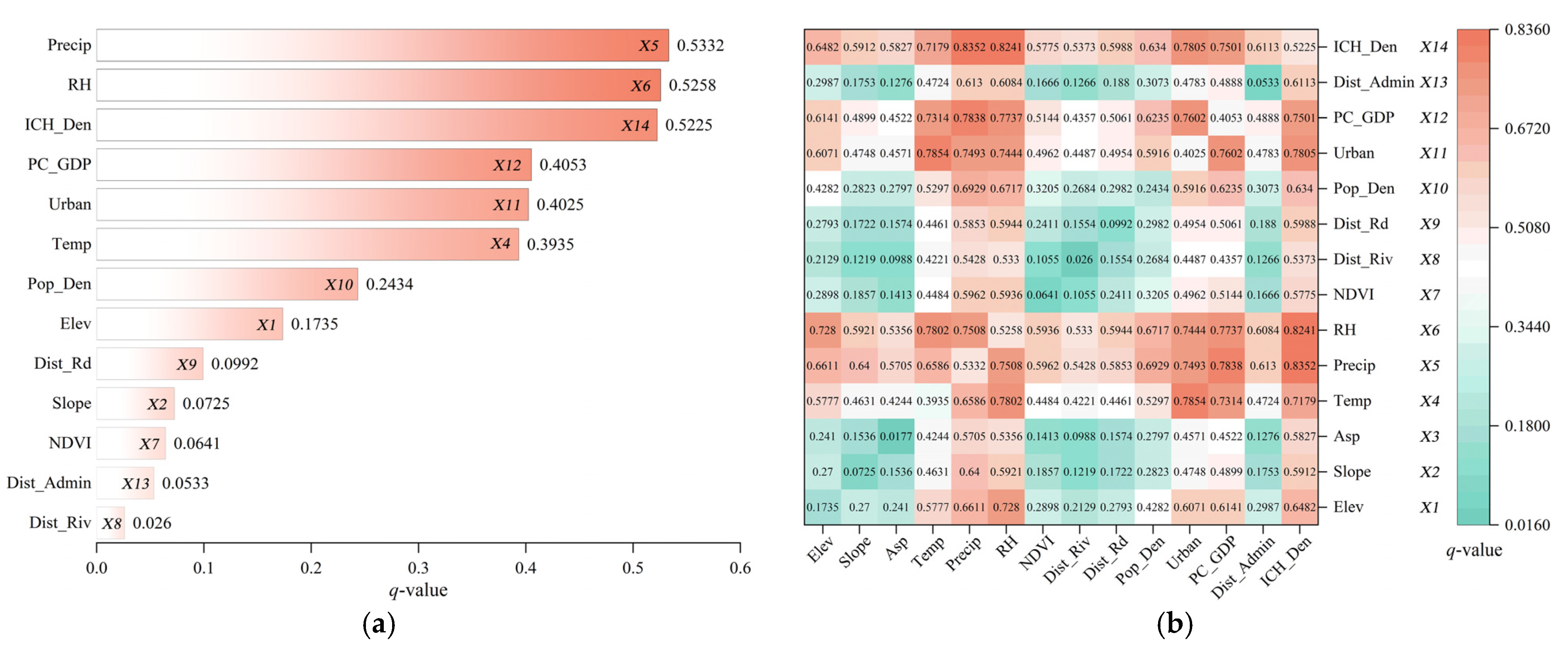
OPGD was applied to identify dominant factors, with the kernel density of traditional villages as the dependent variable and the aforementioned 14 factors as independent variables. The results indicated that all factors passed the 1% significance test except the aspect factor (X3). Figure 6a shows that, in the single-factor analysis, average annual precipitation (X5, q = 0.5332) exhibited the strongest explanatory power, followed by relative humidity (X6, q = 0.5258), and ICH density (X14, q = 0.5225). Environmental and historical–cultural factors demonstrated greater influence than socioeconomic factors. Figure 6b shows that the two-factor interactions exhibited a significant positive synergistic effect, with the strongest interaction between average annual precipitation and ICH density (q = 0.8352), followed by interactions between average annual precipitation and urbanization rate (q = 0.7854) and between relative humidity and per capita GDP (q = 0.7838).
Figure 6.
OPGD results for the spatial density of traditional villages. (a) Factor detector: q-value for each factor; longer bars indicate stronger explanatory power. Axes: x represents q, y represents factor. The color intensity (white to red) corresponds to the magnitude of the q-value. (b) Interaction detector: heatmap of pairwise interaction q-values; rows and columns: factors. Diagonal cells show single-factor q-values (as in panel a); off-diagonal cells show joint-effect q-values for Xi ∩ Xj computed with OPGD. The color scale encodes the magnitude of q, with red indicating higher explanatory power and cyan–blue indicating lower.
Nine key factors (elevation, slope, average annual precipitation, relative humidity, distance to rivers, distance to roads, urbanization rate, distance to county-level administrative centers, and ICH density) were selected based on multicollinearity tests (VIF < 5). Subsequently, MGWR was applied to further explore the effects of these factors on the spatial heterogeneity of traditional villages.
Environmental factors constitute the fundamental constraints on the spatial distribution of traditional villages. Table 4 reveals that 22.1% of the LRCs for elevation were positive, while 64.6% of all coefficients were significant (p < 0.05), suggesting a clear negative relationship (Figure 7a). The direction was determined by the dominant sign of the LRCs, and the strength was measured by the proportion of statistically significant coefficients. High positive LRCs values were mainly concentrated in the middle and lower reaches of the Fen and Qin River Basins, as well as in the lower reaches of the Yellow River tributary Basins. Shanxi Province is situated on the Loess Plateau, with an average elevation of approximately 1100 m. Villages are predominantly distributed across plains, terraces, and low- to mid-elevation hills. These areas feature flat terrain and fertile soil, providing favorable conditions for agricultural production and supporting the stable settlement of large populations. High-altitude areas can provide natural isolation for villages, reducing the impacts of warfare and modern development. However, such areas are also prone to soil erosion and landslides. In addition, cold climatic conditions and limited transportation access are unfavorable for the long-term development of villages.
Table 4.
Key factors LRCs statistical analysis based on MGWR.

Figure 7.
Dots represent traditional villages, colored according to their Local regression coefficients (LRCs). The five-pointed star indicates the representative case mentioned. Multiscale geographically weighted regression (MGWR)-derived LRCs for village density (dependent variable) across nine key factors (independent variables). A diverging color scheme indicates the coefficient sign: red for positive and cyan–blue for negative, with intensity proportional to magnitude. (a) Elevation; (b) Slope; (c) Average annual precipitation; (d) Relative humidity; (e) Distance to rivers; (f) Distance to roads; (g) Urbanization rate; (h) Distance to county-level administrative centers; (i) ICH density.
For slope, Figure 7b shows that 41.4% of the LRCs were positive, and only 2.4% of all coefficients were significant, indicating a slight negative effect. High positive values were mainly concentrated in the northern section of the Zhang River Basin, the middle reaches of the Fen River Basin, and the upper reaches of the Qin River Basin. Lower slopes facilitate agricultural cultivation and reduce transportation costs, but are more vulnerable to flooding. Excessive slopes increase the difficulty and cost of farmland cultivation and disrupt the continuity of road networks, which hinder the long-term development of villages [41]. The overall weak influence of slope, despite the mountainous setting of the Loess Plateau, suggests that traditional villages predominantly utilized and were constrained by the limited extent of gentle terrain within the major river basins, rather than the steep slopes themselves.
Figure 7c shows that 75.1% of the LRCs for average annual precipitation were positive, and 52.5% of all coefficients were significant, indicating a pronounced positive effect. High positive values were continuously concentrated in the middle and upper reaches of the Yellow River tributary Basins, the upper reaches of the Fen River Basin, and the northern section of the Hutuo River Basin. This pattern underscores that precipitation was not merely a background condition but the critical determinant for the viability of rain-fed agriculture, the historical economic foundation across the Loess Plateau. In these areas, the increase in village density directly tracks the gradient of water availability [42]. The distribution reflects a profound adaptation to a semi-arid environment, where communities clustered most densely in these sub-basins that reached the necessary threshold for sustaining stable dry-land farming. While settling near permanent water bodies was ideal, the widespread reliance on precipitation itself shaped a distinct “precipitation-centric” settlement logic, differentiating it from regions where river water was the sole primary source. Consequently, the extremities of precipitation did not just constrain distribution but actively defined the fertile band within the river basins where traditional village life could flourish.
Figure 7d shows that 72.4% of the LRCs for relative humidity were positive, and 6.0% of all coefficients were significant, indicating a weak positive effect. In the middle and lower reaches of the Qin River Basin and the southern section of the Zhang River Basin, increases in relative humidity were significantly associated with higher village density. Within the arid to semi-arid context of the Loess Plateau, humidity acted not as a primary driver but as a critical secondary buffer. Its positive influence is most intelligible in synergy with other factors: in these specific basins, adequate humidity mitigated the chronic risk of loess drying and cracking, directly enhancing the durability of the earth architecture that defines these villages’ material heritage. Furthermore, it supported a more reliable micro-climate for agriculture by reducing soil moisture evaporation. Thus, while seldom the sole reason for settlement, localized humidity provided a decisive comparative advantage by reducing environmental stress on both the built structures and the farmlands that sustained the community, explaining its subtle but spatially concentrated positive role.
Figure 7e illustrates that 69.5% of the LRCs for distance to rivers were positive, and 25.0% of all coefficients were significant, indicating a moderate positive effect. High positive values were clustered in the middle reaches of the Yellow River tributary Basins, the middle and upper reaches of the Fen River Basin, the Hutuo River Basin, the northern section of the Zhang River Basin, and the middle and lower reaches of the Qin River Basin. This pattern reveals a sophisticated settlement strategy that transcends a simplistic “water-centric” narrative and enters the realm of risk management. The preliminary quantitative analysis demonstrates a nonlinear relationship: village density peaks not immediately adjacent to rivers, but within a “sweet spot” of approximately 2–5 km. This optimal band, also reflected in the clustered high LRCs values across multiple basins, allowed settlements to maintain accessible proximity for irrigation and domestic use while strategically mitigating the dual threats of flooding and historical military conflicts that plagued immediately riparian zones [43]. Thus, the “moderate positive effect” of distance does not contradict the importance of water; rather, it quantifies the intentional offset that balanced resource access with long-term safety. This nuanced trade-off represents a core principle of traditional human–environment adaptation on the Loess Plateau, where villages were positioned not at the water’s edge, but within its “sphere of influence” yet beyond its “zone of immediate danger”.
Socioeconomic factors are external drivers of the spatial distribution of traditional villages. Figure 7f shows that the positive LRCs for distance to roads accounted for 30.9%, and the proportion of significant coefficients was 17.8%, indicating a moderate negative effect. High positive values were mainly clustered in the northern section of the Sanggan River Basin, with some scattered across the middle reaches of the Fen River Basin, the lower reaches of the Qin River Basin, and the southern section of the Zhang River Basin. These areas prospered along ancient transportation routes such as the Shanxi Merchants’ Road, the Eight Xings of the Taihang Mountains, and the Ming–Qing post roads [44]. In the northern Sanggan River Basin, a region shaped by historic trade routes, modern road access reinforces path-dependent prosperity, as exemplified by Deshengbao Village’s success in cultural tourism. However, the significant negative coefficients concentrated in the lower Qin River Basin uncover a more concerning dynamic: improved connectivity serves as a direct conduit for cultural homogenization. Here, roads facilitate not only the inflow of tourists but also of external cultural models and construction materials, which systematically supplant local vernacular styles and fragment traditional landscapes. This process directly threatens the cultural distinctiveness that underpins both the identity and sustainability of these villages.
Figure 7g shows that the positive LRCs for urbanization rate was 37.0%, and the proportion of significant coefficients was 22.5%, indicating an overall negative effect. High positive values were observed in tourism-oriented villages in the middle and lower reaches of the Qin River Basin and the northern and middle sections of the Zhang River Basin. In tourism hubs like Yincheng ancient town in Changzhi City, urbanization provides vital infrastructure and markets. Yet, beyond these clusters, its predominant effect is one of systemic hollowing out. The significant negative coefficients demonstrate that urban expansion acts as a powerful siphon, drawing away the younger generation and destabilizing local economies [45,46,47]. This exodus severs the intergenerational transmission of ICH and erodes the social fabric, leading to a critical loss of custodians for both tangible and intangible heritage. The sustainability threat here is not merely physical encroachment, but the collapse of the socio-cultural community itself.
Figure 7h shows that the positive LRCs for distance to county-level administrative centers accounted for 70.5%, and the proportion of significant coefficients was 50.7%, indicating a marked positive effect. The southern section of the Zhang River Basin was a cluster of high positive values, while the lower reaches of the Qin River Basin form a cluster of high negative values. This pattern highlights a paradox of proximity. In remote areas like Hongni Village, distance provides a natural buffer, preserving heritage from direct development pressure. Conversely, villages like Xifeng Village in the Qin River Basin epitomize a “policy shadow” effect. Situated at an intermediate distance, they are too close to avoid resource drain to urban centers, yet too peripheral to attract targeted conservation investments or effective policy support. This institutional marginalization results in physical decay and population decline, not due to a lack of heritage value, but because of a systemic failure in the allocation of preservation resources, posing a fundamental threat to their long-term persistence [48].
Historical–cultural factors are intrinsic drivers of the spatial distribution of traditional villages. Figure 7i shows that the positive LRCs for ICH density accounted for 95.0%, and the proportion of significant coefficients was 89.8%, indicating a strong positive effect. Two clusters of high positive values were evident in the middle and lower reaches of the Qin River Basin and the southern section of the Hutuo River Basin. Traditional villages serve as both the tangible carriers and communication platforms of ICH, while ICH enriches these villages with profound cultural connotations [49]. This finding is exemplified by Dayang Town in the middle Qin River Basin, where the ICH of traditional handmade needle-making is actively revitalized. Here, the preserved Ming–Qing street pattern and courtyards are not mere relics but functional spaces for workshops and cultural performances. This synergy between tangible heritage and ICH practice demonstrates a core mechanism for sustainability: it transforms cultural assets into the foundation for a tourism-oriented economy, directly generating livelihoods and ensuring the community’s ongoing role as a cultural custodian.
4. Conclusions and Discussion
4.1. The Human–Environment–Culture Nexus
The formation and sustainability of traditional villages in Shanxi can be interpreted as a stepwise evolutionary process that begins with the foundational role of water resources, fostering long-term settlement continuity. This enduring settlement, in turn, enabled the gradual accumulation of ICH, a process that ultimately laid the foundation for contemporary village revitalization. Water resources served as the essential prerequisite for the initial establishment and stability of settlements. The long-term stability afforded by this environmental foundation created the conditions for the gradual maturation of rich ICH over generations. In the contemporary context, this accumulated cultural capital has become the cornerstone of cultural tourism and endogenous development, driving the final stage of revitalization. This framework moves beyond a static enumeration of factors to offer a dynamic and causal understanding of how traditional villages operate as evolving human–environment systems.
This evolutionary logic is empirically grounded in the macro-scale patterns we identified. Traditional villages in Shanxi exhibit a clustered spatial distribution, with a significantly higher density in the Yellow River Basin (69.15%) than in the Haihe River Basin (30.85%), forming a distinct “one belt and three cores” pattern. This macro structure is underpinned by a precise environmental adaptation, with the vast majority of villages located at elevations of 500–1000 m, on slopes of 5–35°, and within a 3 km buffer of rivers, demonstrating a settlement logic that prioritized agricultural suitability, water security, and natural defense. This macro-level disparity prompted a more granular investigation into whether the underlying drivers of village distribution also diverged between and within these two major basins. Water resources shape the spatial pattern of villages, and ICH strengthens the endogenous vitality of villages. This human–environment interaction mechanism provides a theoretical basis for integrated river basin management in Shanxi Province.
The spatial differentiation is driven by the synergistic interaction of “environmental constraining, socioeconomic boosting, and historical–cultural endogenous driving.” OPGD results pinpoint average annual precipitation, relative humidity, and ICH density as the factors with the highest individual explanatory power, with the interaction between precipitation and ICH density showing the strongest effect (q = 0.8352). The spatial patterns of traditional villages identified in this study are the product of a complex interplay between this historical legacy and contemporary dynamics.
To further explore the historical dynamics, a temporal evolution analysis was first conducted. As detailed in Table A2, the vast majority (69.3%) of the 619 villages in Shanxi originated during the Ming–Qing transition period. The spatiotemporal trajectory of this development, visualized through Standard Deviational Ellipse and Mean Center analyses across five historical periods (Figure A2), reveals a distinct evolutionary pattern. The distribution center of villages shifted from a relatively dispersed pattern during the Ming Dynasty toward a marked concentration within the core Fen and Qin River basins. This shift occurred during the Ming–Qing transition—the peak period of village formation. The emergence of this distinct core region was primarily driven by Shanxi’s strategic river-network geography, which positioned the province as a critical trade corridor. This setting enabled Jin merchants to establish extensive commercial networks, and the repatriated wealth from these ventures financed the construction of elaborate residential complexes in their hometowns, thereby fostering the observed prosperity and spatial clustering of villages. Subsequently, from the Qing Dynasty to the modern era, the mean center exhibited a southward and eastward shift, accompanied by an expansion of the SDE. This indicates a renewed trend of dispersion, likely influenced by subsequent socioeconomic developments beyond the core historical trading networks.
However, this historically formed spatial template has been subsequently reconfigured by the powerful forces of modernization and urbanization. The development of modern infrastructure (particularly railway and highway systems that often followed new corridors) and urban expansion together introduced new economic opportunities and land-use pressures.
4.2. Regional Contrasts
To situate these findings within a broader context, a comparative analysis was conducted with traditional villages in the water-rich basins of Fujian [50] and along the cultural corridor of the Ancient Tea–Horse Road in Longnan, Gansu [51]. As summarized in Table A3, this comparison confirms that the proposed framework (environmental, socioeconomic, historical–cultural) captures the universal drivers across diverse geographical settings. More importantly, it delineates the unique configuration of Shanxi’s villages—characterized by a risk-averse water relationship with water and endogenous cultural development on the Loess Plateau, which contrasts sharply with the distributed integration in humid Fujian and the externally oriented linkage along the trade route in Longnan. This underscores that effective conservation strategies must be tailored to these distinct socio-ecological signatures.
4.3. The River Basin Management Framework
MGWR results provide the fine-scale diagnostic for these tailored strategies, revealing that ICH density, average annual precipitation, and relative humidity significantly influenced the spatial differentiation of traditional villages. ICH density showed an overwhelmingly strong positive effect (95.0% of LRCs positive), particularly in the middle and lower reaches of the Qin River Basin and the southern section of the Hutuo River Basin. Average annual precipitation also exhibited a pronounced positive association (75.1% of LRCs positive) in key water-nurturing zones, while relative humidity demonstrated a positive influence (72.4% of LRCs positive) in specific basins. These hydrological factors constituted fundamental constraints on village sustainability.
Building on this nuanced understanding, a river basin-based management framework is proposed, comprising three core strategies designed to address the specific socio-ecological configurations identified by the model.
4.3.1. Establish River Basin Ecological Functional Zones for Coordinated Conservation
This strategy directly addresses the spatially clustered environmental drivers (elevation, precipitation, and distance to rivers). Rather than managing by administrative units, it recommends designating cross-jurisdictional functional zones based on dominant MGWR patterns:
- (1)
- Designate “Water-Nurturing Zones” in upper basins (e.g., the upper Fen River), where MGWR indicates a strong positive effect of precipitation on village density. In these areas, it is recommended to implement “Source Conservation and Precision Water-Shedding Agriculture” policies to protect the hydrological regime that underpins the viability of downstream villages.
- (2)
- Establish “Risk-Buffer Belts” in mid-basin areas (e.g., the middle Fen and Qin Rivers), where MGWR identifies clusters of positive LRCs values for distance to rivers, quantifying the historically optimal settlement range of 2–5 km. It is suggested to legally establish “Riparian Ecological Buffers” to institutionalize this empirically derived flood-mitigation logic.
4.3.2. Implement Differentiated Zoning for Cultural–Ecological Resilience
This strategy directly responds to the contrasting spatial effects of socioeconomic drivers (roads, urbanization) and the historical–cultural driver (ICH). It involves developing a river basin-scale cultural zoning framework that designates:
- (1)
- Designate “Cultural–Economic Corridors” in areas such as the northern Sanggan River, where road accessibility exhibits a positive association with cultural vitality. These corridors aim to build upon historical connectivity by guiding tourism and economic development along these routes, transforming inherited advantages into sustainable growth.
- (2)
- Establish “Cultural Core Zones” in the heartlands of ICH, such as the middle–lower Qin River Basin, where ICH density exerts a notably strong positive effect. Policies should prioritize investment in ICH-based endogenous development to ensure that economic activities remain grounded in and reinforce local cultural capital.
- (3)
- Establish “Cultural Protection Zones” in vulnerable areas such as the lower Qin River Basin, where MGWR identifies strong negative impacts of roads and urbanization. These zones require strict vernacular landscape management and controlled development to protect traditional landscapes from the homogenizing pressures of large-scale economic expansion.
4.3.3. Create a Cross-Jurisdictional “Policy Shadow” Remediation Mechanism
This strategy directly addresses the critical institutional issue, revealed by the MGWR model, of the systematic marginalization of villages left in a “policy shadow. These villages, often located at intermediate distances from administrative centers (as indicated by strong negative LRCs in areas such as the lower Qin River Basin), are close enough to experience resource drain yet too peripheral to attract targeted support. To address this issue, it is recommended to establish a river basin-level “Traditional Village Revitalization Fund” together with a cross-county coordination platform. This mechanism would enable the strategic allocation of resources according to the preservation pressures identified by MGWR, thereby overcoming traditional place-blind fiscal allocation and ensuring that the most vulnerable and overlooked villages receive the investment they most need.
4.4. Community Participation and Vitality
The successful implementation of river basin strategies fundamentally depends on the active participation and empowerment of local communities. As the primary custodians and practitioners of ICH, residents are not merely beneficiaries of conservation efforts but key agents sustaining the living culture that defines these villages. This principle aligns with national policies that emphasize protection through government guidance, interdepartmental coordination, villagers’ participation, and broader social involvement. Similarly, provincial policies advocate establishing participatory mechanisms that enable democratic decision-making, management, and oversight by local residents. Therefore, it is imperative to move beyond a top-down governance model toward a co-creation approach. Such an approach fosters joint decision-making and shared benefits, positioning communities as central partners throughout the conservation process—from planning and management to the stewardship of cultural landscapes and the development of tourism initiatives.
Establishing multi-stakeholder platforms that integrate community voices with administrative governance across basin units is essential to ensuring that conservation efforts remain culturally sensitive, locally supported, and sustainable. Ultimately, integrating community participation in this manner transforms conservation from a technical intervention focused solely on physical spaces into a dynamic process that sustains the socio-cultural vitality of traditional villages, ensuring that they remain lived-in communities rather than static museums.
4.5. Limitations and Future Research Directions
While this study offers a high-resolution and spatially explicit diagnosis of the factors shaping traditional villages, several limitations should be acknowledged. The application of the MGWR model, although powerful in capturing local spatial heterogeneity, is affected by the sample size and spatial extent of the study area. The statistically weaker or non-significant relationships observed for certain factors (e.g., slope and relative humidity) may partly result from the relatively uniform distribution of these variables within the specific context of Shanxi Province. Another possible explanation is that their influence is subordinate to the dominant drivers of water availability and cultural heritage, such as precipitation and ICH density. Consequently, the explanatory power of these factors (e.g., lower q-values or proportions of significant LRCs) should be interpreted as indicating their relative contribution within this specific regional system rather than as an absolute measure of importance.
Future research could benefit from expanding the spatial scope to encompass multiple provinces or even the entire Yellow River Basin. A larger and more environmentally diverse sample would allow for a more robust statistical distinction among correlated variables (e.g., disentangling precipitation from humidity) and could help reveal how the operational scales of different drivers vary across broader geographical gradients. Such a multi-scale comparative approach would further validate the transferability of the proposed diagnostic framework and enhance our understanding of the hierarchical structure of factors influencing the distribution of traditional settlements.
Author Contributions
Conceptualization, S.H. and J.H.; methodology, S.H. and J.H.; software, S.H.; validation, J.W., B.d.F. and I.D.S.; formal analysis, S.H. and J.W.; data curation, B.d.F. and I.D.S.; writing—original draft preparation, S.H.; writing—review and editing, S.H., J.W., J.H., B.d.F. and I.D.S.; visualization, S.H. and B.d.F.; supervision, J.W. and J.H.; project administration, J.H.; funding acquisition, J.W. All authors have read and agreed to the published version of the manuscript.
Funding
The research was funded by the National Social Science Fund of China (No. 23VJXG030), Basic Research Project of Shanxi Province (No. 202203021222134) and Philosophy and Social Sciences Planning Project of Shanxi Province (No. 2023YY046).
Data Availability Statement
The original contributions presented in this study are included in the article. Further inquiries can be directed to the corresponding author.
Conflicts of Interest
The authors declare no conflicts of interest.
Appendix A
Table A1.
Spatial analysis methods and equations.
Table A1.
Spatial analysis methods and equations.
| Method | Equation | Description of Symbols |
|---|---|---|
| Kernel Density Estimation | n is the total number of traditional villages in the study area; h is the bandwidth is the kernel function; (x−xi) denotes the distance between the density estimation point x and the traditional village point xi. | |
| Spatial Autocorrelation | n is the total number of traditional villages in the study area; xi and xj are the attribute values of the ith and jth traditional villages, respectively; is the overall mean of the attribute; wij is the spatial weight between the ith and jth traditional villages. | |
| Optimal Parameters-Based Geographical Detector (OPGD) | h is the number of strata of the factor; Nh is the number of traditional villages in hth stratum; N is the total number of traditional villages in the study area; is the variance of the dependent variable in hth stratum; is the total variance; SSW and SST denote the within-stratum and total sums of variances, respectively. | |
| Multiscale Geographically Weighted Regression (MGWR) | (ui, vi) denotes the coordinates of the ith traditional village; Yi is the observed value of the ith traditional village; Xij denotes the observed value of the jth independent variable of the ith traditional village; βbwj denotes the local regression coefficients (LRCs) of the influencing factors under the optimal bandwidth condition; βbw0 denotes the intercept term at location (ui, vi); bwj and bw0 refer to the optimal bandwidths for the jth influencing factor and the intercept, respectively; Ei denotes the independent random error term for the ith traditional village. |
Table A2.
Statistics of the number of traditional villages in different periods of time.
Table A2.
Statistics of the number of traditional villages in different periods of time.
| Time Period | Number of Traditional Villages | Percentage (%) |
|---|---|---|
| Ming Dynasty | 63 | 10.2 |
| Late Ming to Qing | 20 | 3.2 |
| The transition between Ming and Qing dynasties | 429 | 69.3 |
| Qing Dynasty | 97 | 15.7 |
| Qing Dynasty to Republic of China and modern times | 10 | 1.6 |
Table A3.
Comparative Analysis of Traditional Villages Across River Basins.
Table A3.
Comparative Analysis of Traditional Villages Across River Basins.
| Dimension | Fujian (Humid Water-Networked Basins) | Shanxi (Semi-Arid Loess Plateau Basins) | Longnan (Cultural Corridor Basins) | Core Insight |
|---|---|---|---|---|
| Human–Water Relationship | Clustering along low-order streams for direct access. | Aggregating at an optimal distance to balance use and flood risk. | Adaptation to complex topography near water. | Shanxi’s logic is defined by water-risk balancing in a water-constrained environment, unlike Fujian’s direct integration. |
| Cultural Driver | Local agrarian and clan culture. | Endogenous ICH Accumulation (e.g., Dayang Town’s needle-making). | External Linkage via the Ancient Tea–Horse Road trade. | Shanxi’s vitality stems from endogenous cultural capital, contrasting with Longnan’s external exchange-driven model. |
| Spatial Pattern | Reticular/Network-like. | Clustered | Linear along the ancient road. | The clustered pattern in Shanxi is a spatial manifestation of its unique endogenous cultural and risk-averse drivers. |
| Conservation Implication | Protect watershed integrity and inter-village collaboration. | Reinforce the water–soil–ICH synergy and enact spatially tailored revitalization. | Restore the linear cultural corridor and node functions. | Conservation in Shanxi must target its specific socio-ecological configuration, requiring precise, MGWR-informed strategies. |
Figure A1.
Research framework.
Figure A2.
Spatiotemporal evolution of traditional villages in Shanxi Province. The plus symbols (+) denote the mean centers, and the ellipses represent the Standard Deviational Ellipses (SDE) for traditional villages across five historical periods. Traditional villages from each period are overlaid as colored dots. The color scheme corresponds to the following historical periods: Ming Dynasty (red), Late Ming to Qing (orange), The transition between Ming and Qing dynasties (green), Qing Dynasty (blue), and Qing Dynasty to Republic of China and modern times (purple). The colors of the dots, plus symbols, and ellipses are consistent within each respective period.
References
- Zhang, R.; Li, H.; Yuan, Y. Analyzing Space-Time Evolution of Rural Transition in a Rapidly Urbanizing Region: A Case Study of Suzhou, China. J. Geogr. Sci. 2022, 32, 1343–1356. [Google Scholar] [CrossRef]
- Lin, L.; Du, C.; Yao, Y.; Gui, Y. Dynamic Influencing Mechanism of Traditional Settlements Experiencing Urbanization: A Case Study of Chengzi Village. J. Clean. Prod. 2021, 320, 28. [Google Scholar] [CrossRef]
- Zhou, Y.; Gu, H. Enhancing Rural Resilience Through the Rural Revitalisation Strategy in Rural China: Evidence from Wushi Village, Hunan Province. J. Rural Stud. 2025, 113, 103493. [Google Scholar] [CrossRef]
- Wang, Z.; Qiao, J.; Wang, G.; Zhu, Q.; Wang, W.; Feng, Y. Spatiotemporal Patterns, Regional Differences, and Formation Mechanisms of Demonstration Villages and Towns in China. J. Rural Stud. 2025, 117, 103644. [Google Scholar] [CrossRef]
- Bi, S.; Du, J.; Tian, Z.; Zhang, Y. Investigating the Spatial Distribution Mechanisms of Traditional Villages from the Human Geography Region: A Case Study of Jiangnan, China. Ecol. Inform. 2024, 81, 15. [Google Scholar] [CrossRef]
- Wu, S.; Di, B.; Ustin, S.L.; Stamatopoulos, C.A.; Li, J.; Zuo, Q.; Wu, X.; Ai, N. Classification and Detection of Ddominant Factors in Geospatial Patterns of Traditional Settlements in China. J. Geogr. Sci. 2022, 32, 873–891. [Google Scholar] [CrossRef]
- Ma, Y.; Zhang, Q.; Huang, L. Spatial Distribution Characteristics and Influencing Factors of Traditional Villages in Fujian Province, China. Humanit. Soc. Sci. Commun. 2023, 10, 883. [Google Scholar] [CrossRef]
- Cao, H.; Kim, E. Analysis of Influencing Factors on Spatial Distribution Characteristics of Traditional Villages in the Liaoxi Corridor. Land 2025, 14, 1572. [Google Scholar] [CrossRef]
- Li, G.; Chen, B.; Zhu, J.; Sun, L. Traditional Village Research Based on Culture-Landscape Genes: A Case of Tujia Traditional Villages in Shizhu, Chongqing, China. J. Asian Archit. Build. Eng. 2024, 23, 325–343. [Google Scholar] [CrossRef]
- Huang, Z.M.; Liang, Y.M. Digital Protection and Inheritance of Ancient Villages in Southwest Minority Areas Under the Strategy of Rural Revitalization. Technol. Forecast. Soc. Change 2020, 160, 120238. [Google Scholar] [CrossRef]
- Dong, B.; Zhang, M.; Wang, H.; Wu, J. Study on the Interaction Mechanism among Spatial Patterns of Traditional Villages and Tourism Attractiveness and Accessibility in Guizhou Province. Sci. Rep. 2025, 15, 10365. [Google Scholar] [CrossRef] [PubMed]
- Yang, R.; Xu, Q.; Xu, X.; Chen, Y. Rural Settlement Spatial Patterns and Effects: Road Traffic Accessibility and Geographic Factors in Guangdong Province, China. J. Geogr. Sci. 2019, 29, 213–230. [Google Scholar] [CrossRef]
- Long, T.; Ișık, C.; Yan, J.; Zhong, Q. Promoting the sustainable development of traditional villages: Exploring the comprehensive assessment, spatial and temporal evolution, and internal and external impacts of traditional village human settlements in hunan province. Heliyon 2024, 10, e32439. [Google Scholar] [CrossRef]
- Wang, S.; Li, Z.; Long, Y.; Yang, L.; Ding, X.; Sun, X.; Chen, T. Impacts of urbanization on the spatiotemporal evolution of ecological resilience in the Plateau Lake Area in Central Yunnan, China. Ecol. Indic. 2024, 160, 111836. [Google Scholar] [CrossRef]
- Gao, S.; Wang, J.; Liu, S.; Xu, X.; Liao, Y.; Zhang, Z.; Sun, T. Spatio-Temporal Evolution Characteristics and Influencing Factors of Traditional Villages in the Qiantang River Basin Based on Historical Geographic Information. npj Herit. Sci. 2025, 13, 15. [Google Scholar] [CrossRef]
- Rong, Y.; Li, K.; Guo, J.; Zheng, L.; Luo, Y.; Yan, Y.; Wang, C.; Zhao, C.; Shang, X.; Wang, Z. Multi-scale spatio-temporal analysis of soil conservation service based on MGWR model: A case of Beijing-Tianjin-Hebei, China. Ecol. Indic. 2022, 139, 108946. [Google Scholar] [CrossRef]
- Chen, L.; Zhong, Q.; Li, Z. Analysis of Spatial Characteristics and Influence Mechanism of Human Settlement Suitability in Traditional Villages Based on Multi-scale Geographically Weighted Regression Model: A Case Study of Hunan Province. Ecol. Indic. 2023, 154, 16. [Google Scholar] [CrossRef]
- Ma, H.; Tong, Y. Spatial Differentiation of Traditional Villages Using ArcGIS and GeoDa: A Case Study of Southwest China. Ecol. Inform. 2022, 68, 101416. [Google Scholar] [CrossRef]
- Tang, C.; Yang, Y.; Liu, Y.; Xiao, X. Comprehensive Evaluation of the Cultural Inheritance Level of Tourism-Oriented Traditional Villages: The Example of Beijing. Tour. Manag. Perspect. 2023, 48, 101166. [Google Scholar] [CrossRef]
- Chen, J.; Liu, D.; Zhou, Y.; Zhu, A.; Xiao, P. Spatial patterns and drivers of traditional villages in the Jialing River Basin. Econ. Geogr. 2018, 38, 148–153. [Google Scholar] [CrossRef]
- Wang, W.; Liu, A.; Xu, X. The Spatio-Temporal Evolution and Sustainable Development Strategy of Huizhou’s Traditional Villages in the Xin’an River Basin. Land 2025, 14, 102. [Google Scholar] [CrossRef]
- Wang, X.; Zhang, T.; Duan, L.; Liritzis, I.; Li, J. Spatial Distribution Characteristics and Influencing Factors of Intangible Cultural Heritage in the Yellow River Basin. J. Cult. Herit. 2024, 66, 254–264. [Google Scholar] [CrossRef]
- Wen, C.; Hou, Q. Historical changes and spatial relations of cultural memory in Shanxi Province from the perspective of heritage. J. Arid Land Resour. Environ. 2024, 38, 191–200. [Google Scholar]
- Li, X.; Wang, Y.; Cai, Y.; Hu, H.; Xiao, W. Spatiotemporal heterogeneity of ecosystem services in the context of policy intervention in Shanxi Province. Environ. Sustain. Indic. 2025, 28, 100975. [Google Scholar] [CrossRef]
- Ma, Y.; Wang, J.; An, J. Spatial distribution and settlement characteristics of traditional villages in Shanxi Province from a river-basin perspective. J. Taiyuan Univ. Technol. 2021, 52, 638–644. [Google Scholar] [CrossRef]
- Li, Y.; Pan, J. The Rivers of Shanxi; Science Press: Beijing, China, 2004; p. 507. [Google Scholar]
- Liu, L.; Cao, X.; Li, S.; Jie, N. A 31-year (1990–2020) global gridded population dataset generated by cluster analysis and statistical learning. Sci. Data 2024, 11, 124. [Google Scholar] [CrossRef]
- Zhao, N.; Liu, Y.; Cao, G.; Samson, E.L.; Zhang, J. Forecasting China’s GDP at the pixel level using nighttime lights time series and population images. GIScience Remote Sens. 2017, 54, 407–425. [Google Scholar] [CrossRef]
- Chen, Z.; Yang, H.; Lin, Y.; Xie, J.; Xie, Y.; Ding, Z. Exploring the Association Between the Built Environment and Positive Sentiments of Tourists in Traditional Villages in Fuzhou, China. Ecol. Inform. 2024, 80, 15. [Google Scholar] [CrossRef]
- Wang, S.; Tian, Q.; Chen, X.; Zhang, Q.; Deng, F.; Arif, M. Study of the Evolving Relationship Between Tourism Development and Cultural Heritage Landmarks in the Eight Chengyang Scenic Villages in China. Ecol. Indic. 2024, 167, 14. [Google Scholar] [CrossRef]
- Niu, Y.; Wang, Y. Spatial coupling mechanisms of traditional villages and intangible cultural heritage in the Haihe River Basin. J. Arid Land Resour. Environ. 2025, 39, 119–129. [Google Scholar] [CrossRef]
- Niu, Y.; Wang, Y. MGWR-based spatial differentiation and drivers of traditional villages in the Taihang Mountains. J. Arid Land Resour. Environ. 2024, 38, 87–96. [Google Scholar]
- Li, Z. Spatiotemporal dynamics and formation drivers of historic villages in the Fen River Basin. Econ. Geogr. 2019, 39, 207–214+231. [Google Scholar] [CrossRef]
- Wang, J.; Tang, L. Terroir and vernacular architecture of the Jin Region. Archit. Herit. 2021, 2, 1–11. [Google Scholar] [CrossRef]
- Hou, X.; Zhang, J.; Zhang, T.; Niu, J.; Zhao, L.; Nie, Z.; Wu, Z. Characteristics and influencing factors of spatial distribution of rural settlements in Jincheng City. J. Hainan Norm. Univ. (Nat. Sci.) 2024, 37, 234–240. [Google Scholar] [CrossRef]
- Shan, Y.; Li, H.; Zhang, J.; Tang, L.; Guo, J.; Wang, G.; Wang, J.; Zhang, H.; Zheng, H. The spatial-temporal evolution of rural settlement distribution pattern and its driving forces in the Yellow River Basin under the rural revitalization context. Bull. Surv. Mapp. 2024, 1, 96–101. [Google Scholar] [CrossRef]
- Cai, H.; Yu, J.; Guo, Y. Spatial and Temporal Distribution and Evolution of Traditional Villages in Xin’an River Basin of China Based on Geographic Detection and Remote Sensing Technology. Ecol. Indic. 2025, 171, 10. [Google Scholar] [CrossRef]
- Zhang, J.; Guan, C.; Zhang, L.; Yu, Z.; Ye, C.; Zhu, C.; Li, S.; Wang, K.; Gan, M. Spatial Identification and Evaluation of Rural Vitality from a Function-Element-Flow Perspective: Evidence of Lin’an District in Hangzhou, China. J. Geogr. Sci. 2024, 34, 1228–1250. [Google Scholar] [CrossRef]
- Chen, H.; Xiao, D.; Li, J.; Liu, Y. Study on the Distribution Characteristics and Formation Mechanism of Traditional Village Names in Southeast Guizhou. npj Herit. Sci. 2025, 13, 263. [Google Scholar] [CrossRef]
- Xue, Q.; Huang, Y. The Spatial Relationship and Influence Mechanism of Traditional Villages and Intangible Cultural Heritage: A Case Study of the Upper Reaches of the Yellow River Basin. Humanit. Soc. Sci. Commun. 2025, 12, 142. [Google Scholar] [CrossRef]
- Zhang, Y.; Han, N.; Zhang, B.; Lu, C.; Yang, M.; Zhai, F.; Li, H. Spatial and Temporal Distribution Characteristics and Evolution of Traditional Villages in the Qihe River Basin of China. Sci. Rep. 2025, 15, 10077. [Google Scholar] [CrossRef]
- Bian, J.; Chen, W.; Zeng, J. Spatial Distribution Characteristics and Influencing Factors of Traditional Villages in China. Int. J. Environ. Res. Public Health 2022, 19, 4627. [Google Scholar] [CrossRef]
- Wang, Z.; Zhu, J.; Wu, Z. Study on the Spatial Distribution Characteristics of Traditional Vllages and Their Response to the Water Network System in the Lower Yangtze River Basin. Sci. Rep. 2024, 14, 22586. [Google Scholar] [CrossRef]
- Zhang, T.; Chen, X.; Liu, T. Linear Cultural Heritage Eco-Cultural Spatial System: A Case Study of the Great Tea Route in Shanxi. Front. Archit. Res. 2025, 14, 1063–1075. [Google Scholar] [CrossRef]
- Tang, C.; Liu, Y.; Wan, Z.; Liang, W. Evaluation System and Influencing Paths for the Integration of Culture and Tourism in Traditional Villages. J. Geogr. Sci. 2023, 33, 2489–2510. [Google Scholar] [CrossRef]
- Tang, H.; Liu, X.; Li, J.; Wang, H. Study on the Conservation and Renewal of Traditional Rural Tourism Spaces: A Perspective Based on Tourists’ Revisit Intention. J. Clean. Prod. 2025, 499, 15. [Google Scholar] [CrossRef]
- Su, M.; Sun, Y.; Min, Q.; Jiao, W. A Community Livelihood Approach to Agricultural Heritage System Conservation and Tourism Development: Xuanhua Grape Garden Urban Agricultural Heritage Site, Hebei Province of China. Sustainability 2018, 10, 361. [Google Scholar] [CrossRef]
- Gao, W.; Zhuo, X.; Xiao, D. Spatial Patterns, Factors, and Ethnic Differences: A Study on Ethnic Minority Villages in Yunnan, China. Heliyon 2024, 10, 18. [Google Scholar] [CrossRef]
- Liu, S.; Ge, J.; Bai, M.; Yao, M.; He, L.; Chen, M. Toward Classification-Based Sustainable Revitalization: Assessing the Vitality of Traditional Villages. Land Use Policy 2022, 116, 106060. [Google Scholar] [CrossRef]
- Hu, K.; Lin, W.; Fan, L.; Yang, S.; Zhang, T. Spatial Differentiation and Influencing Factors of Traditional Villages in Fujian, China: A Watershed Perspective. Sustainability 2024, 16, 4787. [Google Scholar] [CrossRef]
- Yang, L.; He, K.; Ding, F.; Chen, S. Study on the conservation value of traditional villages along the Ancient Tea Horse Road in Longnan. Intell. Build. Smart City 2021, 10, 27–28. [Google Scholar]
Disclaimer/Publisher’s Note: The statements, opinions and data contained in all publications are solely those of the individual author(s) and contributor(s) and not of MDPI and/or the editor(s). MDPI and/or the editor(s) disclaim responsibility for any injury to people or property resulting from any ideas, methods, instructions or products referred to in the content. |
© 2025 by the authors. Licensee MDPI, Basel, Switzerland. This article is an open access article distributed under the terms and conditions of the Creative Commons Attribution (CC BY) license (https://creativecommons.org/licenses/by/4.0/).