Assessing the Impact of Hydropower to Multipurpose Dam Reoperation on Downstream Hydrology and Water Quality
Abstract
1. Introduction
2. Materials and Methods
2.1. Study Area
2.2. Workflow and Analytical Framework
2.3. Data Collection and Preprocessing
2.3.1. Downstream Discharge Data
2.3.2. Downstream Water Quality Data
2.4. Flow Regime Analysis
2.5. Water Quality Analysis
2.5.1. National Water Quality Standards
2.5.2. Real Time Water Quality Index
3. Results and Discussion
3.1. Non-Release Days Before and After Multipurpose Operation
3.2. Flow Regime Before and After Multipurpose Operation
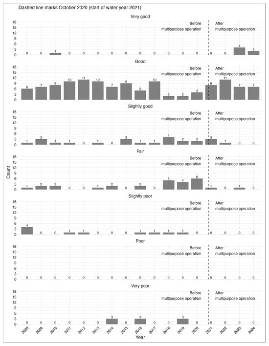
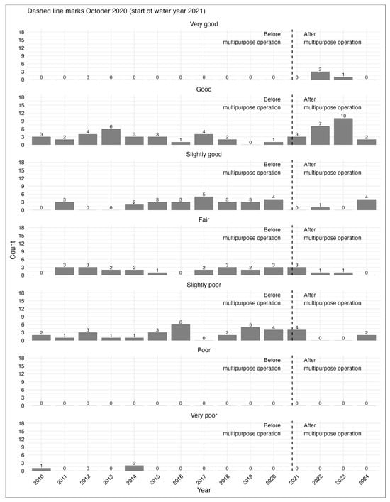
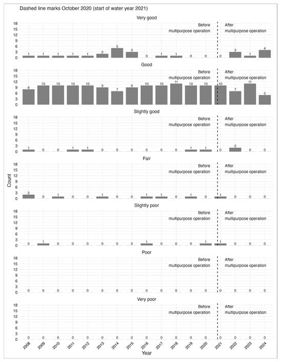
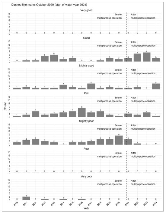
3.3. Water Quality Before and After Multipurpose Operation
3.3.1. Evaluation Based on National Water Quality Standards
3.3.2. Evaluation Based on RTWQI
4. Conclusions
Author Contributions
Funding
Data Availability Statement
Conflicts of Interest
References
- Lee, S.; Choi, Y.; Ji, J.; Lee, E.; Yi, S.; Yi, J. Flood Vulnerability Assessment of an Urban Area: A Case Study in Seoul, South Korea. Water 2023, 15, 1979. [Google Scholar] [CrossRef]
- Kumar, D.N.; Reddy, M.J. Multipurpose Reservoir Operation Using Particle Swarm Optimization. J. Water Resour. Plan. Manag. 2007, 133, 192–201. [Google Scholar] [CrossRef]
- Zhou, Y.; Guo, S. Incorporating ecological requirement into multipurpose reservoir operating rule curves for adaptation to climate change. J. Hydrol. 2013, 498, 153–164. [Google Scholar] [CrossRef]
- McMahon, G.F.; Farmer, M.C. Reallocation of Federal Multipurpose Reservoirs: Principles, Policy, and Practice. J. Water Resour. Plan. Manag. 2004, 130, 187–197. [Google Scholar] [CrossRef][Green Version]
- He, Y.; Chen, X.; Sheng, Z.; Lin, K.; Gui, F. Water allocation under the constraint of total water-use quota: A case from Dongjiang River Basin, South China. Hydrol. Sci. J. 2018, 63, 154–167. [Google Scholar] [CrossRef]
- Yi, S.; Yi, J. Reservoir-based flood forecasting and warning: Deep learning versus machine learning. Appl. Water Sci. 2024, 14, 237. [Google Scholar] [CrossRef]
- Bayazıt, Y.; Bakış, R.; Koç, C. A study on transformation of multi-purpose dams into pumped storage hydroelectric power plants by using GIS model. Int. J. Green Energy 2021, 18, 308–318. [Google Scholar] [CrossRef]
- Bakis, R. Electricity production opportunities from multipurpose dams (case study). Renew. Energy 2007, 32, 1723–1738. [Google Scholar] [CrossRef]
- Branche, E. The multipurpose water uses of hydropower reservoir: The SHARE concept. Comptes Rendus. Phys. 2017, 18, 469–478. [Google Scholar] [CrossRef]
- Ahmadi, M.; Haddad, O.B.; Loáiciga, H.A. Adaptive Reservoir Operation Rules Under Climatic Change. Water Resour. Manag. 2015, 29, 1247–1266. [Google Scholar] [CrossRef]
- Fearnside, P.M. Environmental and Social Impacts of Hydroelectric Dams in Brazilian Amazonia: Implications for the Aluminum Industry. World Dev. 2016, 77, 48–65. [Google Scholar] [CrossRef]
- Nilsson, C.; Renöfält, B.M. Linking flow regime and water quality in rivers: A challenge to adaptive catchment management. Ecol. Soc. 2008, 13, 18. [Google Scholar] [CrossRef]
- Aghasian, K.; Moridi, A.; Mirbagheri, A.; Abbaspour, M. Selective withdrawal optimization in a multipurpose water use reservoir. Int. J. Environ. Sci. Technol. 2019, 16, 5559–5568. [Google Scholar] [CrossRef]
- Heydari, M.; Othman, F.; Qaderi, K. Developing Optimal Reservoir Operation for Multiple and Multipurpose Reservoirs Using Mathematical Programming. Math. Probl. Eng. 2015, 2015, 435752. [Google Scholar] [CrossRef]
- Xu, X.; Bin, L.; Pan, C.; Ding, A.; Chen, D. Optimal Reoperation of Multi-Reservoirs for Integrated Watershed Management with Multiple Benefits. Water 2014, 6, 796–812. [Google Scholar] [CrossRef]
- Dalcin, A.P.; Marques, G.F.; de Oliveira, A.G.; Tilmant, A. Identifying Functional Flow Regimes and Fish Response for Multiple Reservoir Operating Solutions. J. Water Resour. Plan. Manag. 2022, 148, 04022026. [Google Scholar] [CrossRef]
- Sedighkia, M.; Abdoli, A. Optimizing environmental flow regime by integrating river and reservoir ecosystems. Water Resour. Manag. 2022, 36, 2079–2094. [Google Scholar] [CrossRef]
- Maskey, M.L.; Dourado, G.F.; Rallings, A.M.; Rheinheimer, D.E.; Medellín-Azuara, J.; Viers, J.H. Assessing Hydrological Alteration Caused by Climate Change and Reservoir Operations in the San Joaquin River Basin, California. Front. Environ. Sci. 2022, 10, 765426. [Google Scholar] [CrossRef]
- Yahyaee, A.R.; Moridi, A.; Sarang, A. A new optimized model to control eutrophication in multi-purpose reservoirs. Int. J. Environ. Sci. Technol. 2021, 18, 3357–3370. [Google Scholar] [CrossRef]
- Chou, F.N.-F.; Linh, N.T.T.; Wu, C.-W. Optimizing the Management Strategies of a Multi-Purpose Multi-Reservoir System in Vietnam. Water 2020, 12, 938. [Google Scholar] [CrossRef]
- Amirkhani, M.; Bozorg-Haddad, O.; Fallah-Mehdipour, E.; Loáiciga, H.A. Multiobjective Reservoir Operation for Water Quality Optimization. J. Irrig. Drain. Eng. 2016, 142, 04016065. [Google Scholar] [CrossRef]
- Wang, Y.; Liu, P.; Dou, M.; Li, H.; Ming, B.; Gong, Y.; Yang, Z. Reservoir ecological operation considering outflow variations across different time scales. Ecol. Indic. 2021, 125, 107582. [Google Scholar] [CrossRef]
- Yan, M.; Fang, G.-H.; Dai, L.-H.; Tan, Q.-F.; Huang, X.-F. Optimizing reservoir operation considering downstream ecological demands of water quantity and fluctuation based on IHA parameters. J. Hydrol. 2021, 600, 126647. [Google Scholar] [CrossRef]
- Chalise, D.R.; Sankarasubramanian, A.; Olden, J.D.; Ruhi, A. Spectral Signatures of Flow Regime Alteration by Dams Across the United States. Earth’s Future 2023, 11, e2022EF003078. [Google Scholar] [CrossRef]
- Wang, Y.; Liu, P.; Wu, C.; Li, X.; An, R.; Xie, K. Reservoir ecological operation by quantifying outflow disturbance to aquatic community dynamics. Environ. Res. Lett. 2021, 16, 074005. [Google Scholar] [CrossRef]
- Kondolf, M.; Yi, J. Dam Renovation to Prolong Reservoir Life and Mitigate Dam Impacts. Water 2022, 14, 1464. [Google Scholar] [CrossRef]
- Jurdi, M.; Korfali, S.I.; Karahagopian, Y.; Davies, B.E. Evaluation of Water Quality of the Qaraaoun Reservoir, Lebanon: Suitability for Multipurpose Usage. Environ. Monit. Assess. 2002, 77, 11–30. [Google Scholar] [CrossRef]
- Bekoe, E.M.O.; Amuah, E.E.Y.; Abuntori, Z.N.; Sintim, E.; Kichana, E.; Quarcoo, G. Water Quality Impact from the Multipurpose Use of the Golinga Reservoir in Northern Ghana. Water Air Soil Pollut. 2021, 232, 390. [Google Scholar] [CrossRef]
- Castelletti, A.; Yajima, H.; Giuliani, M.; Soncini-Sessa, R.; Weber, E. Planning the Optimal Operation of a Multioutlet Water Reservoir with Water Quality and Quantity Targets. J. Water Resour. Plan. Manag. 2014, 140, 496–510. [Google Scholar] [CrossRef]
- Xu, C.; Xu, Z.; Cai, Y.; Zhu, Z.; Tan, Q. Impact of reservoir operation policies on nitrogen cycling processes and water quality dynamics in a large water supply reservoir. J. Clean. Prod. 2023, 416, 137975. [Google Scholar] [CrossRef]
- Oseke, F.I.; Anornu, G.K.; Adjei, K.A.; Eduvie, M.O. Assessment of water quality using GIS techniques and water quality index in reservoirs affected by water diversion. Water-Energy Nexus 2021, 4, 25–34. [Google Scholar] [CrossRef]
- Yu, C.; Xu, Z.; Li, Y.; Yang, Y.; Cai, Y.; Yang, Z. Rethinking environmental flow management strategies in reservoir operations from an integrated water quality perspective. J. Hydrol. 2023, 626, 130196. [Google Scholar] [CrossRef]
- Azadi, F.; Ashofteh, P.-S.; Shokri, A.; Loáiciga, H.A. Simulation-Optimization of Reservoir Water Quality under Climate Change. J. Water Resour. Plan. Manag. 2021, 147, 04021054. [Google Scholar] [CrossRef]
- Khorsandi, M.; Ashofteh, P.-S.; Singh, V.P. Development of a multi-objective reservoir operation model for water quality-quantity management. J. Contam. Hydrol. 2024, 265, 104385. [Google Scholar] [CrossRef]
- Calamita, E.; Vanzo, D.; Wehrli, B.; Schmid, M. Lake Modeling Reveals Management Opportunities for Improving Water Quality Downstream of Transboundary Tropical Dams. Water Resour. Res. 2021, 57, e2020WR027465. [Google Scholar] [CrossRef]
- Xu, Z.; Chen, K.; Xu, C.; Xie, Y.; Cai, Y.; Yang, Z. Reservoir operation optimization approach accounting for methane emission mitigation and water quality improvement targets. J. Hydrol. 2025, 659, 133129. [Google Scholar] [CrossRef]
- Nazari, M.; Kerachian, R. Optimal Operation of Reservoirs Considering Water Quantity and Quality Aspects: A Systematic State-of-the-Art Review. Water Resour. Manag. 2024, 38, 5911–5944. [Google Scholar] [CrossRef]
- Suen, J.-P.; Wang, R.-H. Optimal Reservoir Operation Considering Downstream Water Quality and Environmental Flow Needs. In Proceedings of the World Environmental and Water Resources Congress 2010, Reston, VA, USA, 16–20 May 2010; American Society of Civil Engineers: Reston, VA, USA, 2010; pp. 2592–2601. [Google Scholar] [CrossRef]
- Kerachian, R.; Karamouz, M. Optimal reservoir operation considering the water quality issues: A stochastic conflict resolution approach. Water Resour. Res. 2006, 42, W12401. [Google Scholar] [CrossRef]
- Aalami, M.T.; Abbasi, H.; Nourani, V. Sustainable Management of Reservoir Water Quality and Quantity Through Reservoir Operational Strategy and Watershed Control Strategies. Int. J. Environ. Res. 2018, 12, 773–788. [Google Scholar] [CrossRef]
- Wu, R.-S.; Sue, W.-R.; Chen, C.-H.; Liaw, S.-L. Simulation model for investigating effect of reservoir operation on water quality. Environ. Softw. 1996, 11, 143–150. [Google Scholar] [CrossRef]
- Reddy, M.J.; Kumar, D.N. Optimal Reservoir Operation Using Multi-Objective Evolutionary Algorithm. Water Resour. Manag. 2006, 20, 861–878. [Google Scholar] [CrossRef]
- Lee, E.; Ji, J.; Lee, S.; Yoon, J.; Yi, S.; Yi, J. Development of an Optimal Water Allocation Model for Reservoir System Operation. Water 2023, 15, 3555. [Google Scholar] [CrossRef]
- Park, S.-D. Dimensionless flow Duration Curve in Natural River. J. Korea Water Resour. Assoc. 2003, 36, 33–44. [Google Scholar] [CrossRef]
- Government of the Republic of Korea. Enforcement Decree of the Framework Act on Environmental Policy, Annex 1 ‘Environmental Standards’ (as Amended Dec 6, 2022). 2022. Available online: https://elaw.klri.re.kr/eng_service/lawView.do?hseq=30486&lang=ENG (accessed on 30 June 2025).














| Grade Unit | pH | COD mg/L | TOC mg/L | SS mg/L | DO mg/L | T-P mg/L | T-N mg/L | Chl-a mg/m3 | TAC Cells/mL | CC Cells/mL |
|---|---|---|---|---|---|---|---|---|---|---|
| Very good | 6.5–8.5 | ≤2 | ≤2 | ≤1 | ≥7.5 | ≤0.01 | ≤0.2 | ≤5 | ≤50 | ≤10 |
| Good | 6.5–8.5 | ≤3 | ≤3 | ≤5 | ≥5.0 | ≤0.02 | ≤0.3 | ≤9 | ≤500 | ≤100 |
| Slightly good | 6.5–8.5 | ≤4 | ≤4 | ≤5 | ≥5.0 | ≤0.03 | ≤0.4 | ≤14 | ≤1000 | ≤200 |
| Fair | 6.5–8.5 | ≤5 | ≤5 | ≤15 | ≥5.0 | ≤0.05 | ≤0.6 | ≤20 | ≤5000 | ≤1000 |
| Slightly poor | 6.5–8.5 | ≤8 | ≤6 | ≤15 | ≥2.0 | ≤0.10 | ≤1.0 | ≤35 | - | - |
| Poor | 6.0–8.5 | ≤10 | ≤8 | - | ≥2.0 | ≤0.15 | ≤1.5 | ≤70 | - | - |
| Very poor | 6.0–8.5 | >10 | >8 | - | <2.0 | >0.15 | >1.5 | >70 | - | - |
| Grade Unit | pH | BOD mg/L | COD mg/L | TOC mg/L | SS mg/L | DO mg/L | T-P mg/L | TAC Cells/mL | CC Cells/mL |
|---|---|---|---|---|---|---|---|---|---|
| Very good | 6.5–8.5 | ≤1 | ≤2 | ≤2 | ≤25 | ≥7.5 | ≤0.02 | ≤50 | ≤10 |
| Good | 6.5–8.5 | ≤2 | ≤4 | ≤3 | ≤25 | ≥5.0 | ≤0.04 | ≤500 | ≤100 |
| Slightly good | 6.5–8.5 | ≤3 | ≤5 | ≤4 | ≤25 | ≥5.0 | ≤0.1 | ≤1000 | ≤200 |
| Fair | 6.5–8.5 | ≤5 | ≤7 | ≤5 | ≤25 | ≥5.0 | ≤0.2 | ≤5000 | ≤1000 |
| Slightly poor | 6.5–8.5 | ≤8 | ≤9 | ≤6 | ≤100 | ≥2.0 | ≤0.3 | - | - |
| Poor | 6.0–8.5 | ≤10 | ≤11 | ≤8 | - | ≥2.0 | ≤0.5 | - | - |
| Very poor | 6.0–8.5 | >10 | >11 | >8 | - | <2.0 | >0.5 | - | - |
| Parameter | Criteria |
|---|---|
| Water temperature | (10-year monthly mean −10 °C) ≤ Temp ≤ (10-year monthly mean +10 °C) |
| pH | 6.5 ≤ pH ≤ 9.0 |
| DO | 0.8 × (saturation concentration at current temperature) ≤ DO ≤ 1.3 × (saturation concentration at current temperature) |
| EC | ≤200 μS |
| TOC | ≤3.0 mg/L |
| TN | ≤3.0 mg/L |
| TP | ≤0.1 mg/L |
| Turbidity | ≤10 NTU |
Disclaimer/Publisher’s Note: The statements, opinions and data contained in all publications are solely those of the individual author(s) and contributor(s) and not of MDPI and/or the editor(s). MDPI and/or the editor(s) disclaim responsibility for any injury to people or property resulting from any ideas, methods, instructions or products referred to in the content. |
© 2025 by the authors. Licensee MDPI, Basel, Switzerland. This article is an open access article distributed under the terms and conditions of the Creative Commons Attribution (CC BY) license (https://creativecommons.org/licenses/by/4.0/).
Share and Cite
Yoon, J.; Yi, S.; Lee, E.; Ji, J.; Lee, S.; Yi, J. Assessing the Impact of Hydropower to Multipurpose Dam Reoperation on Downstream Hydrology and Water Quality. Water 2025, 17, 3191. https://doi.org/10.3390/w17223191
Yoon J, Yi S, Lee E, Ji J, Lee S, Yi J. Assessing the Impact of Hydropower to Multipurpose Dam Reoperation on Downstream Hydrology and Water Quality. Water. 2025; 17(22):3191. https://doi.org/10.3390/w17223191
Chicago/Turabian StyleYoon, Jeongin, Sooyeon Yi, Eunkyung Lee, Jungwon Ji, Seonmi Lee, and Jaeeung Yi. 2025. "Assessing the Impact of Hydropower to Multipurpose Dam Reoperation on Downstream Hydrology and Water Quality" Water 17, no. 22: 3191. https://doi.org/10.3390/w17223191
APA StyleYoon, J., Yi, S., Lee, E., Ji, J., Lee, S., & Yi, J. (2025). Assessing the Impact of Hydropower to Multipurpose Dam Reoperation on Downstream Hydrology and Water Quality. Water, 17(22), 3191. https://doi.org/10.3390/w17223191

