Next Article in Journal
Geochemical and Mineralogical Characterisation of Carbonate-Rich Lake Sediments from Lake Kolon, Hungary
Next Article in Special Issue
Advanced Research on Marine Geology and Sedimentology
Previous Article in Journal
Assessment of Wetlands in Liaoning Province, China
Previous Article in Special Issue
Distribution of Excess Pore Water Pressure in Layered Seabed Induced by Internal Solitary Waves
 
 
Font Type:
Arial Georgia Verdana
Font Size:
Aa Aa Aa
Line Spacing:
Column Width:
Background:
Article

Effect of Relative Wavelength on Excess Pore Water Pressure in Silty Seabeds with Different Initial Consolidation Degrees

1
Frontiers Science Center for Deep Ocean Multispheres and Earth System, Key Lab of Submarine Geosciences and Prospecting Techniques, MOE, State Key Laboratory of Physical Oceanography, College of Marine Geosciences, Ocean University of China, Qingdao 266100, China
2
Tianjin Geological Survey Center, China Geological Survey, Tianjin 300170, China
*
Author to whom correspondence should be addressed.
Water 2025, 17(19), 2829; https://doi.org/10.3390/w17192829
Submission received: 18 August 2025 / Revised: 20 September 2025 / Accepted: 22 September 2025 / Published: 26 September 2025
(This article belongs to the Special Issue Advanced Research on Marine Geology and Sedimentology)

Abstract

Wave-induced silty seabed liquefaction is one of the key threats to offshore infrastructure stability. The excess pore pressure (EPP) response is the key parameter for judging seabed liquefaction. Many studies have examined the EPP response to surface waves in initially well-consolidated seabed; few works have explored initially less-consolidated seabed, which is widely distributed in estuaries due to the massive river sediment discharge and, thereafter, rapid accumulation. Here, we investigate the EPP response of silty seabed with various initial consolidation degrees using wave flume experiments. We found that (1) in initially liquefied seabed, the EPP magnitude monotonically increases with wavelength, while in initially consolidated seabed, there is a maximal response wavelength which is inversely related to consolidation degree. (2) Furthermore, we found two opposite EPP responses to cyclic surface wave loading under varying seabed conditions in initially liquefied and consolidated seabeds. That is, under the same waves, the EPP magnitude is inversely related to the consolidation degree in initially liquefied seabed, while the EPP magnitude is positively related to the consolidation degree in initially consolidated seabed. In other words, the influence of initial seabed consolidation degree on EPP magnitude behaves like a “√” shaped curve. Our findings provide some implications for further understandings of wave-induced silty seabed liquefaction.

1. Introduction

Wave-induced seabed liquefaction may cause catastrophic damage to offshore infrastructure, resulting in huge economic losses. Previous incidents serve as clear evidence of this risk, including the damage to the breakwater in Niigata’s West Port in 1976 [1], the repeated ruptures of a buried steel pipeline in Lake Ontario [2], and the breakage of the submarine cable in the Chengdao oilfield in 2003 [3]. Additionally, Puzrin et al. [4] hypothesized the liquefaction of a breakwater caisson foundation in Barcelona under intense wave action. Li et al. [5] used field data and a model to identify multiple liquefaction events in Jiangsu Province, confirming liquefaction as a critical factor in such incidents.
According to Terzaghi’s principle of effective stress [6], in saturated seabeds, external wave loading increases pore water pressure, with the excess over static pressure termed Excess Porewater Pressure (EPP). Liquefaction occurs when EPP surpasses the initial effective stress of the seabed. Two mechanisms of liquefaction are identified: transient liquefaction, common in well-drained sands, and residual liquefaction, more frequent in silty seabeds [7,8,9,10]. Experiments by Tzang [11] showed silty seabeds exhibit both oscillations and pore water accumulation due to their higher compressibility and lower permeability, making them more prone to liquefaction [12].
Silty sediments are widely distributed around the world. The modern Yellow River Delta in China is a typical silt-clay coast, with surface sediments primarily composed of silts. Due to the rapid sedimentation of Yellow River derived sediments which are often in an unconsolidated state, they are characterized by high water content, high pore ratio, and lower strength, thus are highly susceptible to soil liquefaction under cyclic loading of waves [13].
Existing studies have shown that the main factors affecting seabed liquefaction include the hydrodynamics (wave period, wave height, water depth, and the history of wave loading, etc.), as well as soil parameters (permeability coefficient, shear modulus, consolidation coefficient, and saturation of the seabed, etc.). The present work selects two of the most representative key indicators: the relative wavelength, defined as the ratio of wavelength (λ) of surface water waves to water depth (h), i.e., λ/h. This dimensionless parameter is used to represent different wave conditions in this study (associated wave frequency and periodicity), and the consolidation degree is defined as the complementary number of the liquefaction degree, where the liquefaction degree is the ratio of excess pore water pressure to initial vertical effective stress, reflecting critical soil properties such as density and moisture content. It has also been demonstrated in previous research that wavelength and wave period significantly influence the EPP response in seabeds [14,15,16,17,18,19,20,21,22]. Consolidation degree also greatly affects other properties of the seabed [23]. Therefore, we focused on studying the effects of relative wavelength and consolidation degree and investigated the coupled effects of wavelength and consolidation degree on cumulative pore pressure response.
A review of existing research in this area is provided below. Ippen [14] highlighted that in water depths exceeding half the wavelength, the influence of short waves decreases with depth, whereas long waves become more significant. Okusa [15] reported that long-period waves experience less damping and create more noticeable pore pressure delays in silty seabeds than short-period waves. Maeno and Hasegawa [16] discovered that low-frequency waves propagate more effectively through seabeds. The numerical calculations by Liu et al. [17] found that as the wave period increases, the liquefaction depth decreases, indicating that shorter wave periods make the seabed more prone to liquefaction. In recent years, some scholars focus on the seabed response under random wave action. Niu et al. [18] found that random waves generate higher cumulative EPP than regular waves due to significant low-frequency contributions. Zhang et al. [19] found that EPP near a monopile increases with wave period under random waves, similar to regular waves, but random waves contribute more significantly to EPP. Klammler et al. [20] analyzed wave pressure and liquefaction during a storm in Panama City Beach, categorizing waves into infra-gravity (<0.075 Hz), swell (0.075–0.25 Hz), and short-wave (>0.25 Hz) bands. They found swell waves were the primary cause of sediment destabilization, with short waves contributing ≈ 20% and infra-gravity waves ≈ 10%. Xu et al. [21] noted that seabed liquefaction during storm waves developed slowly, taking about 1.5 h, because early high-frequency wind waves had little effect, whereas later, low-frequency, long-period swells had a much stronger influence on the seabed. Xu et al. [22] conducted flume experiments using spectral analysis to separate random waves into long and short components. They studied EPP responses to these waves at different depths in a silty seabed, finding long waves transmit more easily and contribute significantly to accumulation at certain depths, increasing liquefaction risk.
The sediment consolidation degree also plays a significant role in the EPP response under waves [23,24,25]. Liu et al. [23] studied Yellow River Delta sediments through experiments and field observations, finding that key geotechnical properties like unit weight and shear strength improved with consolidation time, while water content and void ratio declined. Ren et al. [24] found that under wave loading, highly consolidated silty seabeds initially fail by shear, while low-consolidation seabeds fail by liquefaction. Pore water pressure development also varies with consolidation degrees. Chen et al. [25] microscopically explained the findings from Ren et al. [24] by simulating sediment particle arrangement during consolidation using discrete element methods. They observed that low consolidation results in an open microstructure, while higher consolidation increases particle overlap, significantly reducing permeability due to enhanced sediment cohesion.
In summary, previous studies have only focused on the EPP response under different wave components or consolidation degrees, separately. Few studies have experimentally investigated the EPP response considering both wavelength (wave period, etc.) and consolidation degree (liquefied state or non-liquefied state), simultaneously. Therefore, the present study investigates the EPP responses under different wavelengths for initially liquefied or non-liquefied seabed of varying consolidation degrees through 24 groups of controlled wave flume experiments.

2. Materials and Methods

2.1. Experimental Flume and Instruments

A total of 24 groups of experiments were carried out in a small wave flume; this is because the initial seabed conditions are more controllable in a small tank, and it is also more effective to conduct multiple comparison groups in a small wave flume. As shown in Figure 1, the main structure consisted of two parts: the wave flume and the soil tank. The flume was 2.4 m long, 0.23 m wide, and 0.6 m high, with a wave generation device (a curved slider) on the right side of the flume, which allows different wave conditions to be set by changing the motor’s operating frequency. The left side of the wave flume was filled with porous material to eliminate reflected waves, which effectively absorbed wave energy and significantly reduced the impact of wave reflection on the experimental results. The wave flume was made entirely of transparent acrylic panels, which facilitated the observation and recording of the experimental process.
The soil tank was located 0.6 m away from the wave generation device, with a length of 0.6 m and a height of 0.16 m. It featured a detachable design; thus, the seabed could be prepared outside and then placed into the water flume. Two pore pressure sensors were vertically placed at the center of the soil tank, at 5.5 cm and 10.7 cm depth from the seabed surface, respectively, to measure the EPP response at different depths. To prevent sudden changes in wave shape, a slope was set up between the wave generator and the soil tank. A wave gauge was installed on the left side of the tank to measure the wave conditions during the experiment.
The pore pressure sensor used was the DY2012 high-precision digital pore water pressure sensor produced by Chengdu Yiyunda Technology (Chengdu, China). The sensor uses the latest international SOC (System on Chip) as the CPU, combined with high precision and high stability reference source technology, as well as a series of advanced technologies for signal acquisition and processing, communication, and bus development. It features software zeroing, floating-point data processing, bidirectional communication with the host computer, and standardized digital output, allowing it to be used without any additional data acquisition equipment.
The wave gauge was the TWAVE101 produced by Beijing Haizhou Saiwei Technology (Beijing, China). This instrument features high-precision pressure and temperature recording capabilities. The parameters of the pore pressure sensor and wave gauge are shown in Table 1.

2.2. Experimental Soil

The experimental soil was taken from the Chengdao area in the northern part of the Yellow River Delta, as marked by the red star in Figure 2. The reason for selecting this sampling location is that, through field experiments, it was found that the soil in this area is highly susceptible to liquefaction under cyclic vibration loads. To analyze the physical and mechanical properties of the liquefiable soil, we collected cylindrical samples with a length of 25 cm from three sites in this area. The cylindrical samples were divided into layers every 5 cm, and tests for water content and particle size analysis were conducted. Particle size analysis was performed using a laser particle size analyzer. The experimental results are shown in Figure 3. The water content of the soil layers was in the range of 21–28%. The clay content was 6–19%, the silt content was 69–86%, the sand content was 2–22%, and the median grain size was 0.03 mm.

2.3. Data Processing Methods

Criteria for Seabed Liquefaction:

According to Terzaghi’s principle of effective stress, the total stress in normally consolidated seabed is equal to the sum of the effective stress between soil particles and the pore water pressure. Under cyclic loading from waves, the pore water pressure continues to increase, leading to a decrease in the vertical stress between soil particles. When the pore water pressure exceeds the initial effective stress of the soil particles, liquefaction occurs in the seabed. Regarding the moment when seabed liquefaction begins, some researchers have proposed different criteria for identification. Zen and Yamazaki [7] discovered that silty soil begins to liquefy under wave action when pore water pressure rises suddenly. Sumer et al. [26] believe that liquefaction starts in the seabed when the pore water pressure reaches its maximum value, initially occurring near the mudline and gradually developing downward. Some researchers have proposed one-dimensional and three-dimensional criteria for liquefaction identification. Okusa [27], based on the principle of effective stress, argued that if the vertical effective stress exceeds the soil weight, liquefaction will occur in the seabed. He proposed the following criteria for liquefaction of the soil under one-dimensional conditions:
( γ s γ w ) z = σ z 0 σ z u
where γ s represents unit weight of soil, γ w represents unit weight of water, z represents the thickness of the soil layer, σ z 0 represents the initial vertical effective stress of the soil, and σ z u represents the critical vertical effective stress.
Tasi [28] built upon this foundation by applying the average effective stress and extending it to three-dimensional conditions:
1 + 2 k 0 3 ( γ s γ w ) z = 1 3 ( σ x d + σ y d + σ z d )
where k 0 represents soil static lateral pressure coefficient.
Zen and Yamazaki [7] established a one-dimensional liquefaction identification criterion based on the development of pore water pressure:
( γ s γ w ) z = σ z 0 p p b
where p represents pore water pressure generated by vibration, and p b represents static pore water pressure.
Based on Yamazaki’s liquefaction identification criterion, Jeng [29] revised it and extended it to three-dimensional conditions:
( γ s γ w ) ( 1 + 2 k 0 3 ) z p p b
Jia et al. [30] proposed the concept of liquefaction degree to determine whether liquefaction occurs in the soil and the state of liquefaction. To determine whether soil liquefaction has occurred, we refer to the liquefaction degree proposed by Jia et al. [30]. This is defined as the ratio of excess pore water pressure to initial vertical effective stress, which is consistent with the conventional concept of excess pore pressure ratio in soil mechanics. Additionally, in our experimental set up, the seabed was maintained in an initially liquefied state with limited consolidation time, resulting in a high degree of liquefaction. This condition significantly amplified the soil’s dynamic response to wave loading, making the wave-induced soil motions visually detectable during experiments. Observations of soil circular motion during experiments were used as supplementary qualitative evidence to further confirm the occurrence of liquefaction. These criteria—liquefaction degree and soil circular motion—were used to assess the occurrence of liquefaction [26,30,31]. When the liquefaction degree is greater than 1, meaning that the excess pore water pressure exceeds the initial vertical effective stress, the soil is considered to be fully liquefied. Due to the short consolidation time of the experimental seabed in this study, the initial excess pore water pressure of the seabed gradually decreased to 0 with the consolidation time before wave loading. Consequently, there exists an initial liquefaction degree. Therefore, in this study, f d is used to represent the initial liquefaction degree of the seabed.
f d = p e x c σ 0
where the excess pore pressure ( p e x c ) was calculated by removing the overlying static water pressure (pw) from the total pressure (pm) measured at D = 5.5, 10.7 cm subsurface:
p e x c = p m p w
In Equation (5), σ 0   is the initial vertical effective stress of the seabed when it is in a normally consolidated state.
σ 0 = γ z
where z represents the vertical distance from the seabed surface to the pore pressure measurement, and γ ′ is the buoyant unit weight of normally consolidated soil in the Yellow River Delta, given by γ ′ = γ s γ w = 5.46 kN/m3 [32]. The effective stresses at depths of 5.5 cm and 10.7 cm below the seabed are 0.30 kPa and 0.58 kPa, respectively.

2.4. Experimental Process

It should be emphasized in advance that there are two variables in this experiment, the relative wavelength (λ/d), which is the ratio of wavelength (λ) to water depth (d) and the seabed consolidation degree. Wavelengths were determined through photographic measurement and compared with values derived from the linear wave dispersion relationship using wave gauge data. Although minor discrepancies were observed between the photographically measured and numerically derived wavelengths, the directly measured data were considered more accurate and were therefore selected for defining the wave conditions in this experimental study. In this study, the consolidation degree was used as an indicator to describe the initial state of the seabed soil before wave loading. The initial state of the experimental seabed was set as two types: liquefied and non-liquefied. When the seabed is in a liquefied state, the initial state of the soil includes excess pore water pressure. Therefore, the liquefaction degree (fd′) was used to characterize the different consolidation degrees of the soil in the liquefied soil experiments. In contrast, for normally consolidated seabeds, the initial excess pore water pressure is 0, making it impossible to use the liquefaction degree (fd′) to distinguish the consolidation degrees in the consolidated seabed experiments. Instead, consolidation time was used to differentiate these cases. In this study, the different liquefaction degrees in the liquefied seabed and the consolidation times in the non-liquefied seabed both reflect varying degrees of soil consolidation.
The pore pressure sensor was fixed at 5.5 and 10.7 cm depth using a frame along the center of the soil tank (shown in Figure 1) to ensure the pore water pressure sensor would not move during the experiments. With reference to the water content measured in the experimental soil sampled in the field in Section 2.2, the soil was prepared with a water content of 26% by mixing sediment and water in a ratio of 1:7.5, mixing well so that a small amount of air could be expelled from the soil, and then prepared as a saturated soil, and then backfilled into the soil tank. Song et al. [33] used a sub-bottom profiler to delineate the extent of seabed liquefaction in the Chengdao area of the Yellow River subaqueous delta. They identified liquefied soils based on acoustic reflection characteristics, such as chaotic reflections and poorly developed internal stratification in the imaging. Borehole sampling was conducted in both liquefied and non-liquefied areas, followed by a detailed analysis of the physical and mechanical properties of the soils. Based on their findings, the density of the liquefied surface silt typically ranges from 1.78 to 2.12 (g/cm3), with an average value of 1.98 (g/cm3), while the density of the non-liquefied soil ranges from 1.75 to 2.07 (g/cm3), with an average of 1.97 (g/cm3). The dry density of the liquefied soil ranges from 1.39 to 1.77 (g/cm3), with an average of 1.59 (g/cm3), whereas the dry density of the non-liquefied soil ranges from 1.22 to 1.76 (g/cm3), with an average of 1.57 (g/cm3). The void ratio of the liquefied soil varies between 0.516 and 0.889, with an average of 0.67, while the void ratio of the non-liquefied soil ranges from 0.52 to 0.976, with an average of 0.709. The specific gravity of the soil ranges from 2.67 to 2.72 (g/cm3), with an average of 2.69 (g/cm3). For each group of experiments, after the soil tank was placed in the wave flume, water was added immediately to a water depth of 0.25 m. In order to avoid disturbing the sediments during the addition of water, we extended the pipe into the bottom of the flume, added water away from the soil tank, and lowered the speed of the water flow when the water surface was gradually elevated close to the surface of the sediment. After adding water, the sediments were allowed to stand underwater for drainage and consolidation.
We use “rounds” to denote the major experimental categories based on different initial soil conditions (liquefied/non-liquefied), comprising six rounds in total. “Groups” are used to distinguish the different wave conditions within each round (four groups per round, totaling 24 groups). This distinction clearly reflects the two variable levels in the experimental design: initial state (rounds) and wave conditions (groups). The seabed for each round was completely remolded. In rounds I, II, and III of the experiments, the initial consolidation time of the soil was 0.25, 0.33, and 0.5 h. Due to the short consolidation time, the initial EPP of the three rounds was not 0 before wave loading, i.e., there was an initial liquefaction degree. With the increase in consolidation time, the initial liquefaction degree at 10.7 cm gradually decreased to, respectively, f d = 0.68, f d = 0.60, f d = 0.34.
The initial consolidation times of experiment rounds IV, V, and VI were 3 h, 12 h, and 23 h, respectively, and the three rounds of seabed soils were in the state of consolidation, i.e., the initial EPP was 0, and the degree of consolidation increased with the consolidation time. Wave loads were applied to the seabeds of the six rounds (I–IV) in four stalls, and the duration of each stall was 600 s.
A total of 24 groups of experiments were conducted, and the thickness of the consolidated sediments in each experiment was reduced from 16 cm at the beginning to 14 cm, which simulated the process of rapid consolidation of the sediments in the estuary of the Yellow River. After each wave loading, each seabed was rested for a certain period of time to ensure that the seabeds maintained the same initial conditions (i.e., the same initial pore water pressure) during each wave loading. The experimental parameters are summarized in Table 2.

3. Results and Analysis

Figure 4 and Figure 7 show the measured EPP time series in all the 24 groups of experiments; it can be seen that during the initial stage of wave action, the EPP rapidly accumulates at all depths under any wavelengths. The cumulative EPP magnitude increases with depth, which is consistent with the conclusion by Clukey et al. [12] that the maximum EPP occurs at a certain depth within the seabed rather than at the sediment surface.
The initial EPP of the seabed in rounds I, II, and III of the experiments was not 0 before wave loading, and the soil performed circular motions when exposed to wave action. Therefore, we believe that the soils in the I, II, and III rounds were in a liquified state before wave loading; under wave action, the EPP further accumulated, resulting in an increased degree of liquefaction.
However, in rounds IV, V, and VI of the experiments, the initial EPP before wave loading was 0. Although the EPP also accumulated under wave action, it remained lower than the initial effective stress of the seabed. Therefore, no liquefaction occurred in rounds IV, V, and VI of the experiments.
In this section, we found that the cumulative magnitude of EPP in the silty seabed of the Yellow River Delta under wave action does not monotonically increase with wavelength. The EPP response to relative wavelength differs for initially liquefied or non-liquefied seabed. Therefore, this section discusses the EPP response of liquefied (Section 3.1) and non-liquefied (Section 3.2) soils under different relative wavelengths, separately.

3.1. Cumulative EPP Response Under Different Wavelengths for Initially Liquefied Seabed

In this section, the cumulative EPP response to different relative wavelengths in initially liquefied seabed (rounds I, II, and III) is analyzed.
The measured time series of cumulative EPP in rounds I, II, and III of the experiments is shown in Figure 4 (for initially liquefied soil under different relative wavelengths). It can be seen that the initial seabed was in a liquified state. Specifically, due to the short consolidation time of the initial seabed, the initial EPP at 10.7 cm of the seabed was not 0 when wave loading started (the three panels on the right in Figure 4), and the soil moved in a circular manner under wave action. Therefore, the initial seabed was in a liquefied state in rounds I, II, and III of the experiments.
When the initial liquefaction degree is f d = 0.68 (Round I), under a wave action of λ/d = 1.816, 1.74, and 1.22 (Figure 4b), as well as when the initial liquefaction degree is f d = 0.60 (Round II), under a wave action of λ/d = 1.816 (Figure 4d), the cumulative EPP at 10.7 cm is greater than the initial effective stress of the seabed (Figure 4b,d). Therefore, at this time, the soil at the depth of the seabed is in a state of complete liquefaction. However, the EPP at D = 5.5 cm in the seabed is far from reaching the initial effective stress of the soil. The EPP in the deeper region of the seabed is relatively high before wave loading. This is because, during the natural sedimentation and consolidation process, the water content of the sediment is higher in the deeper regions of the seabed, which is consistent with the water content measurements obtained from the cylindrical samples collected in the Yellow River Delta. Under wave action, the difference in soil permeability leads to easier accumulation of pore water pressure at a certain depth within the seabed. In contrast, the pore water pressure in the shallow sediment is less likely to accumulate due to the relatively loose soil structure, and it dissipates more quickly.
When the initial liquefaction degree is f d = 0.60, especially for λ/d = 1.816, the EPP at D = 10.7 cm reaches the peak and then dissipates rapidly (Figure 4d), while the EPP of D = 5.5 cm reaches the peak and then dissipates slowly (Figure 4c), which may be due to the upward dissipation of EPP in the deeper part (D = 10.7 cm), which offsets the EPP of the shallow soil (D = 5.5 cm). This opinion is partly supported by the phenomenon that the fine-grained material moves up to the surface with the formation of seepage channels after the seabed is liquefied (Figure 5).
The peak value of the EPP was read from Figure 4 (see the short, horizontal, dark red lines in each sub-panel) and plotted in Figure 6. As shown in Figure 6b (data read from Figure 4), for the 10.7 cm depth, the EPP magnitude decreased with λ/d, indicating that EPP is most likely to be accumulated when the relative wavelength is the largest. At a depth of 5.5 cm, the EPP response in experiments I and II also conformed to the aforementioned law for D = 10.7 cm (Figure 6a). However, in three rounds of experiments, the response of the EPP did not conform to the aforementioned pattern (Figure 6a, red dashed frame), this is attributed to the phenomenon of “negative EPP”.
In summary, the general trend in these three rounds of experiments (I, II, and III for initially liquefied seabed) is that when the seabed is in a liquified state, the cumulative magnitude of the EPP is proportional to the relative wavelength (λ/d) (Figure 6). This response law for liquefied seabed may be attributed to the fact that (1) The soil skeleton of a liquefied seabed is looser and has bigger pores for compression; (2) as the λ/d increases, the wave period increases, i.e., the time that the soil skeleton is compressed by waves increases (as a longer wave passes by the seabed), allowing EPP to continuously accumulate during the compression of the soil skeleton.

3.2. Cumulative EPP Response Under Different Wavelengths for Initially Non-Liquefied Seabed

In this section, the cumulative EPP response under different relative wavelengths when the seabed is in an initially non-liquefied state (rounds IV, V, and VI of the experiments) is analyzed as follows:
The peak value of EPP was read from Figure 7 (see the short, horizontal, dark red lines in each sub-panel) and plotted in Figure 8. As shown in Figure 8 (data read from Figure 7), non-liquefied silty seabed is not same as liquefied silty seabed. Instead, it adheres to a non-monotonic law, the cumulative EPP magnitude is related to the consolidation time, i.e., seabed in different consolidation times has its maximum (optimal) response wavelength (specifically to the relative wavelength (λ/d) at which the maximum cumulative EPP magnitude), and the optimal wavelength decreases with consolidation time (Figure 8).
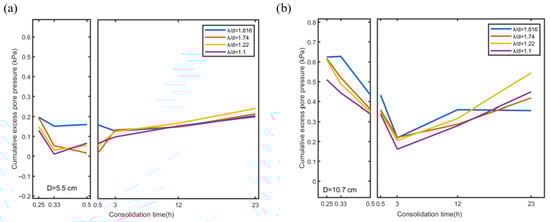
As can be seen from Figure 8, when the consolidation time is 3 h (round IV), the cumulative magnitude of EPP is largest under λ/d = 1.74 at both depths (this can also be found in Figure 7a,b).
When the consolidation time is 12 h (round V), the EPP magnitude peaks under λ/d = 1.22 at a depth of 5.5 cm (Figure 8a). It is noteworthy that at 10.7 cm, the cumulative magnitude of EPP peaks at λ/d = 1.816 (Figure 8b) when t ≤ 185 s and reaches a peak at t = 102 s (Figure 7d) and then decreases gradually thereafter. When t > 185 s, the cumulative magnitude of EPP under λ/d = 1.22 is still the largest (Figure 7d). This may be related to the non-uniform consolidation of the seabed in this round.
When the consolidation time is 23 h (round VI), under λ/d = 1.22, the EPP magnitude is the largest at both depths (Figure 8 or Figure 7e,f).
It can be concluded that the maximum response wavelength of the non-liquefied seabed is related to the consolidation time of the seabed. The difference in the cumulative magnitude of EPP at different relative wavelengths increases with the greater depth of the seabed (Figure 7, left 3 panels compared to the right 3 panels).

4. Discussion

This section further contrasts and compares the findings with the existing literature on the following aspects: the influence of relative wavelength on the cumulative EPP magnitude in liquefied seabed of different initial liquefaction degrees and in non-liquefied seabed with different consolidation times. Then, the influence of consolidation degrees on the cumulative EPP magnitude under the same relative wavelength is discussed.

4.1. Effect of Relative Wavelength on the Cumulative Magnitude of EPP

This section further compares the cumulative magnitude of EPP for liquefied seabed with different degrees of liquefaction and non-liquefied seabed with different consolidation times under the action of different relative wavelengths. The specific analysis results are shown in Table 3 and Table 4.
As shown in Table 3, when the seabed is in a liquefied state, all the maximum EPP magnitudes occur under the maximum wavelength λ/d = 1.816, indicating that the optimal response wavelength is λ/d =1.816. In other words, when the seabed is in a liquefied state, consolidation time has no influence on the optimal wavelength. Additionally, the cumulative EPP magnitude is directly proportional to the relative wavelength (Figure 7). This is consistent with previous studies stating that long-period waves are more likely to cause pore water pressure accumulation [15,16,17,18,19,20,21,22].
As shown in Table 3, the influence of wavelength increases monotonically for all three liquefaction degrees, because the longer the wave is, the longer a wave action period is, which benefits the EPP accumulation.
It also can be seen from Table 3 that long waves are more likely to accumulate EPP in loose soils with a higher liquefaction degree (vertical red frame in Table 3), because when the seabed was in a higher liquefied state, the soil skeleton was looser due to the short consolidation time. The seabed had more space for compression, which is conducive to the accumulation of pore pressure.
It is worth noting that at a depth of 5.5 cm, when f d = 0.34, the response of EPP does not follow the rule above (horizontal red frame in Table 3), which is due to the influence of “negative EPP”
For non-liquefied seabed, the conclusion is different. The cumulative magnitude of EPP in non-liquefied seabed does not increase monotonically with relative wavelength but has a maximum response wavelength. This maximum response wavelength decreases with increasing consolidation time. Detailed analysis is as follows:
As shown in Table 4, when the consolidation time is 3 h, the cumulative magnitude of EPP reaches a maximum of 0.1346 kPa at D = 5.5 cm and a maximum of 0.2209 kPa at D = 10.7 cm under a wave action of λ/d = 1.74, indicating that the maximum response wavelength is λ/d = 1.74.
When the consolidation time is 12 h under a wave action of λ/d = 1.22, the cumulative magnitude of EPP reaches a maximum of 0.1684 kPa at D = 5.5 cm. However, it is noteworthy that at a depth of 10.7 cm, as shown in Figure 7d, when t ≤ 185 s, the cumulative magnitude of EPP reaches its peak under a wave action of λ/d = 1.816, peaking at t = 102 s and then gradually dissipating. This may be related to the non-uniform consolidation of the seabed (blue frames in Table 4). However, when t > 185 s, the cumulative magnitude of EPP is still highest under a wave action of λ/d = 1.22. Therefore, we consider this to be an occasional phenomenon, and when the consolidation time is 12 h, the maximum response wavelength is λ/d = 1.22.
When the seabed consolidation time is 23 h, the cumulative magnitude of EPP reaches a maximum of 0.2424 kPa at D = 5.5 cm and a maximum of 0.5444 kPa at D = 10.7 cm under a wave action with λ/d = 1.22, indicating that the maximum response wavelength is λ/d = 1.22.
The maximum response wavelengths for seabed consolidation times of 12 and 23 h are both λ/d = 1.22, which may be due to the limited consolidation times in the present experiments. It is uncertain whether the maximum response wavelength would continue to decrease with longer consolidation time.
In summary, when the seabed is in a non-liquefied state, there exists a maximum/optimal response wavelength for the EPP response in seabed of different consolidation times. The optimal wavelength decreases with increasing consolidation time (red frames in Table 4).
Okusa [15] suggested that the damping of long-period waves propagating through the seabed is smaller than that of short-period waves, and therefore long-period waves are more likely to contribute to the accumulation of pore water pressure. Xu et al. [22] also suggested that the short-wave component, although more energetic, dissipates energy more rapidly during its propagation through the seabed, and that the long-period component contributes more to the pore water pressure with the increase in seabed depth. In the present study, we found that the dissipation of wave energy is not only related to the wavelength, but also to the consolidation degree of the seabed. In this study, at the lowest consolidation degree of the seabed, greater wavelength lead to easier buildup of pore water pressure, which is consistent with the traditional conclusion. As wave pressure is transmitted to the seabed, more energy is consumed with the increase in the consolidation degree. Therefore, as consolidation degree increases, shorter relative wavelengths and higher frequency waves are more conducive to EPP accumulation.

4.2. Effect of Consolidation Degree on the Cumulative Magnitude of EPP

This section further analyzes the effect of consolidation degree on the cumulative magnitude of EPP under the action of the same relative wavelength.
As shown in Figure 9, as the consolidation time of the seabed increases, the degree of consolidation also increases accordingly. When the seabed is in a liquefied state, under the action of the same relative wavelength, the cumulative magnitude of EPP declines as the seabed consolidation degree increases. This may be attributed to the fact that when the consolidation degree is low, the liquefaction degree is high, resulting in a loose soil structure and a large pore ratio. As the consolidation degree increases and the liquefaction degree decreases, the soil gradually becomes more compact, the pore ratio decreases, and the pore water entering the soil structure is reduced accordingly.
When the seabed is in a non-liquefied state, the cumulative magnitude of EPP at the same relative wavelength increases with consolidation time. This indicates that when the seabed is in a non-liquefied state, the higher the consolidation degree, the easier it is to accumulate EPP. This is due to the fact that the longer the consolidation time, the lower the permeability; thus, the pore water pressure can not be released in time, and it is easier to accumulate EPP, which is consistent with the traditional conclusion [25,34].
In summary, under the same relative wavelength, the relationship between the cumulative magnitude of the EPP and the consolidation time is a “√” curve which decreases first and then increases (Figure 9).

4.3. Limitation and Future Work

There are a few limitations in the present work. For example, the wave flume in our experiments is small, even though it makes multiple comparative experiments more convenient and controllable. Initial conditions may be more controllable, but this introduces many other negative aspects such as scale mismatching of wavelengths versus grain sizes (directly taken from the full-scale region), and constraining effects due to the narrowness of flume.
This study focuses on the Yellow River Delta area, where both waves and currents coexist in the actual marine environment. However, there are limitations in the functionality and dimensions of the experimental flume, which cannot simulate the complex wave–current coupling dynamics found in actual estuarine environments. Currents and wave–current interactions significantly influence wave conditions and the distribution of seabed surface pressures. Ye and Jeng [35] investigated soil response under combined wave–current action using numerical simulations based on Biot’s poroelastic theory. Their results demonstrated that the difference in pore water pressure within the seabed between conditions with and without currents could reach up to 25%. Wen et al. [36] established a three-dimensional numerical model for pore-pressure response under combined short-crested waves and currents. The numerical results indicated that superimposing a following-current will result in larger pore pressure in the seabed. Qi et al. [37] investigated the response of excess pore water pressure in a sandy seabed under combined wave–current action through flume experiments. When the current flows in the same direction as the waves, the pore water pressure within the seabed increases; conversely, it decreases when the current opposes the wave direction. Experimental observations indicate that the presence of currents will alter wave conditions, such as wave height and wavelength. As the following current velocity increases, the wave height decreases while the wavelength significantly extends; conversely, as the opposing current velocity increases, the wave height increases and the wavelength shortens, indicating that opposing currents induce wave steepening [37]. Therefore, ignoring the effects of currents will lead to an underestimation of wave-induced seabed instability. Additionally, all simulated wave conditions fall within deep-water waves, lacking systematic investigation of intermediate-water waves and shallow-water waves. In subsequent research, we plan to conduct broader operational experiments in larger-scale flume to further validate and extend the principles derived from this study.

5. Conclusions

In the present study, the cumulative excess pore water pressure (EPP) response to various relative wavelengths and consolidation degrees in initially liquefied or non-liquefied seabed is investigated through 24 groups of controlled variable wave flume experiments. Main findings can be summarized as follows:
(1)
The cumulative magnitude of EPP in the silty seabed of the Yellow River delta does not monotonically increase with relative wavelength. The effect of wavelength varies between liquefied and non-liquefied soils. In liquefied seabed, EPP monotonically increases with wavelength, while in non-liquefied seabed, EPP response has an optimal wavelength. The optimal wavelength is inversely related to the consolidation degree.
(2)
The effect of the consolidation degree on the cumulative magnitude of EPP shows two different trends in liquefied and non-liquefied seabed. The relationship follows a “√” shaped curve, initially decreasing and finally increasing. Furthermore, when the seabed is in a non-liquefied state, a smaller relative wavelength facilitates greater accumulation of excess pore water pressure.

Author Contributions

Conceptualization, Y.Z. and S.Z.; methodology, Y.Z., M.W., and Z.Z.; formal analysis, H.L.; investigation, H.L. and A.M.; resources, S.Z.; writing—original draft preparation, H.L.; writing—review and editing, Y.Z., M.W., and S.Z.; project administration, S.Z. All authors have read and agreed to the published version of the manuscript.

Funding

This work was supported by the Natural Science Foundation of China [grant number 42276215], National Key Research and Development Program, Intergovernmental International Science and Technology Innovation Cooperation, China-Nigeria Estuary Delta Joint Laboratory [grant number 2024YFE0116400], and the Fundamental Research Funds for the Central Universities [grant number 202441015].

Data Availability Statement

The raw data supporting the conclusions of this article will be made available by the authors on request.

Conflicts of Interest

The authors declare no conflicts of interest.

References

  1. Zen, K.; Umehara, Y.; Finn, W.D.L. A case study of the wave-induced liquefaction of sand layers under damaged breakwater. In Proceedings of the 3rd Canadian Conference on Marine Geotechnical Engineering, St. John’s, NL, Canada, 19–21 June 1985; pp. 505–520. [Google Scholar]
  2. Christian, J.; Taylor, P.; Yen, J.; Erali, D. Large diameter underwater pipeline for nuclear power plant designed against soil liquefaction. In Proceedings of the 6th Offshore Technology Conference, Houston, TX, USA, 6–8 May 1974; pp. 597–606. [Google Scholar]
  3. Puzrin, A.M.; Alonso, E.E.; Pinyol, N.M. Caisson failure induced by liquefaction: Barcelona Harbour, Spain. In Geomechanics of Failures; Springer: Dordrecht, The Netherlands, 2010; pp. 85–148. [Google Scholar]
  4. Xu, G.; Sun, Y.; Wang, X.; Hu, G.; Song, Y. Wave-induced shallow slides and their features on the subaqueous Yellow River delta. Can. Geotech. J. 2009, 46, 1406–1417. [Google Scholar] [CrossRef]
  5. Li, M.; Chen, D.; Wu, H.; Tang, J.; Zhang, Y.; Luo, F.; Gou, F.; Gong, X.; Wang, Y. In-situ observations of wave-and current-supported fluid mud dynamics on a hyperturbid macrotidal mudflat. Front. Mar. Sci. 2024, 11, 1459899. [Google Scholar] [CrossRef]
  6. Terzaghi, K. The theory of hydrodynamic stresses and its geotechnical applications. In Proceedings of the First International Congress for Applied Mechanics, Delft, The Netherlands, 22–26 April 1924; pp. 288–294. [Google Scholar]
  7. Zen, K.; Yamazaki, H. Oscillatory pore pressure and liquefaction in seabed induced by ocean waves. Soils Found 1990, 30, 147–161. [Google Scholar] [CrossRef]
  8. Sumer, B.M. Liquefaction Around Marine Structures; World Scientific: Hackensack, NJ, USA, 2014. [Google Scholar]
  9. Alcérreca-Huerta, J.C.; Oumeraci, H. Wave-induced pressures in porous bonded revetments. Part I: Pressures on the revetment. Coast. Eng. 2016, 110, 87–101. [Google Scholar] [CrossRef]
  10. Qi, W.G.; Gao, F.P. Wave induced instantaneously-liquefied soil depth in a non-cohesive seabed. Ocean Eng. 2018, 153, 412–423. [Google Scholar] [CrossRef]
  11. Tzang, S.Y. Unfluidized soil responses of a silty seabed to monochromatic waves. Coast. Eng. 1998, 35, 283–301. [Google Scholar] [CrossRef]
  12. Clukey, E.C.; Kulhawy, F.H.; Liu, L.F.; Tate, G.B. The impact of wave loads and pore-water pressure generation on initiation of sediment transport. Geo-Mar. Lett. 1985, 5, 177–183. [Google Scholar]
  13. Feng, X.L.; Lin, L. The relationship between geotechnical parameters and sedimentary environment of soil layers since Holocene in modern Huanghe subaqueous delta. Coast. Eng. 1999, 18, 1–7. [Google Scholar]
  14. Ippen, A.T. Estuary and Coastline Hydrodynamics; McGraw-Hill: New York, NY, USA, 1966; pp. 505–510. [Google Scholar]
  15. Okusa, S.; Uchida, A. Pore-water pressure change in submarine sediments due to waves. Mar. Georesour. Geotechnol. 1980, 4, 145–161. [Google Scholar] [CrossRef]
  16. Maeno, Y.; Hasegawa, T. In-situ measurements of wave-induced pore pressure for predicting properties of seabed deposits. Coast. Eng. J. 1987, 30, 99–115. [Google Scholar] [CrossRef]
  17. Liu, Z.; Jeng, D.S.; Chan, A.H.C.; Luan, M. Wave-induced progressive liquefaction in a poro-elastoplastic seabed: A two-layered model. Int. J. Numer. Anal. Methods Geomech. 2010, 33, 591–610. [Google Scholar] [CrossRef]
  18. Niu, J.; Xu, J.; Dong, P.; Li, G. Pore water pressure responses in silty sediment bed under random wave action. Sci. Rep. 2019, 9, 11685. [Google Scholar]
  19. Zhang, Q.; Zhai, H.; Wang, P.; Wang, S.; Duan, L.; Chen, L.; Liu, Y.; Jeng, D.S. Experimental study on irregular wave-induced pore-water pressures in a porous seabed around a mono-pile. Appl. Ocean. Res. 2020, 95, 102041. [Google Scholar] [CrossRef]
  20. Klammler, H.; Penko, A.M.; Staples, T.; Sheremet, A.; Calantoni, J. Observations and modeling of wave-induced burial and sediment entrainment: Likely importance of degree of liquefaction. J. Geophys. Res. Ocean. 2021, 126, e2021JC017378. [Google Scholar] [CrossRef]
  21. Xu, X.; Xu, G.; Yang, J.; Xu, Z.; Ren, Y. Field observation of the wave-induced pore pressure response in a silty soil seabed. Geo-Mar. Lett. 2021, 41, 13. [Google Scholar] [CrossRef]
  22. Xu, J.; Dong, J.; Zhang, S.; Sun, H.; Li, G.; Niu, J.; Dong, P. Pore-water pressure response of a silty seabed to random wave action: Importance of low-frequency waves. Coast. Eng. 2022, 178, 104214. [Google Scholar] [CrossRef]
  23. Liu, X.; Jia, Y.; Zheng, J.; Yang, X.; Shan, H. Consolidation of sediments discharged from the Yellow River: Implications for sediment erodibility. Ocean Dyn. 2013, 63, 371–384. [Google Scholar] [CrossRef]
  24. Ren, Y.; Xu, G.; Xu, X.; Zhao, T.; Wang, X. The initial wave induced failure of silty seabed: Liquefaction or shear failure. Ocean. Eng. 2020, 200, 106990. [Google Scholar] [CrossRef]
  25. Chen, Z.; Ren, Y.; Xu, G.; Li, M. Effect of particle composition and consolidation degree on the wave-induced liquefaction of soil beds. Acta Oceanol. Sin. 2024, 43, 11–22. [Google Scholar] [CrossRef]
  26. Sumer, B.M.; Hatipoglu, F.; Fredsøe, J.; Sumer, S.K. The sequence of sediment behaviour during wave-induced liquefaction. Sedimentology 2006, 53, 611–629. [Google Scholar] [CrossRef]
  27. Okusa, S. Wave-induced stresses in unsaturated submarine sediments. Geotechnique 1985, 32, 517–532. [Google Scholar] [CrossRef]
  28. Tsai, C.P. Wave-induced liquefaction potential in a porous seabed in front of a breakwater. Ocean Eng. 1995, 22, 1–18. [Google Scholar] [CrossRef]
  29. Jeng, D.S.; Seymour, B.R. Wave-induced pore pressure and effective stresses in a porous seabed with variable permeability. Offshore Mech. Arct. Eng. 1997, 119, 226–233. [Google Scholar]
  30. Jia, Y.; Zhang, L.; Zheng, J.; Liu, X.; Jeng, D.S.; Shan, H. Effects of wave-induced seabed liquefaction on sediment re-suspension in the yellow river delta. Ocean Eng. 2014, 89, 146–156. [Google Scholar] [CrossRef]
  31. Wen, M.; Jia, Y.; Wang, Z.; Zhang, S.; Shan, H. Wave flume experiments on dynamics of the bottom boundary layer in silty seabed. Acta Oceanol. Sin. 2020, 39, 96–104. [Google Scholar] [CrossRef]
  32. Dong, J.; Xu, J.; Li, G.; Li, A.; Zhang, S.; Niu, J.; Xu, X.; Wu, L. Experimental study on silty seabed liquefaction and its impact on sediment resuspension by random waves. Mar. Sci. Eng. 2022, 10, 437. [Google Scholar] [CrossRef]
  33. Song, Y.P.; Sun, Y.F.; Du, X.; Dong, L.F.; Jiao, P.F. Comparative study on the difference of engineering geological char-acteristics between liquefied silt and non-liquefied silt in the Yellow River Delta. Adv. Mar. Sci. 2019, 37, 55–64. [Google Scholar]
  34. Li, X.; Gao, F.; Yang, B.; Zang, J. Wave-induced Pore Pressure Responses and Soil Liquefaction Around Pile Foundation. Int. J. Offshore Polar Eng. 2011, 21, 233–239. [Google Scholar]
  35. Ye, J.H.; Jeng, D.-S. Response of porous seabed to nature loadings: Waves and currents. J. Eng. Mech. ASCE 2012, 138, 601–613. [Google Scholar] [CrossRef]
  36. Wen, F.; Wang, J.H.; Zhou, X.L. Response of saturated porous seabed under combined short-crested waves and current loading. J. Coast Res. 2016, 32, 286–300. [Google Scholar]
  37. Qi, W.G.; Li, C.F.; Jeng, D.S.; Gao, F.P.; Liang, Z. Combined wave-current induced excess pore-pressure in a sandy seabed: Flume observations and comparisons with theoretical models. Coast. Eng. 2019, 147, 89–98. [Google Scholar] [CrossRef]
Figure 1. Layout of the experimental flume and instruments.
Figure 1. Layout of the experimental flume and instruments.
Water 17 02829 g001
Figure 2. Sampling location of the experimental soil.
Figure 2. Sampling location of the experimental soil.
Water 17 02829 g002
Figure 3. (a) Particle size distribution curve of the experimental soil; (b) water content of cylindrical samples along the depth.
Figure 3. (a) Particle size distribution curve of the experimental soil; (b) water content of cylindrical samples along the depth.
Water 17 02829 g003
Figure 4. Time series of cumulative EPP at different depths in an initially liquefied soil under different relative wavelengths in I, II, and III rounds of experiments. (a,c,e) represent the cumulative EPP at D = 5.5 cm in rounds I, II, and III of the experiments. (b,d,f) represent the cumulative EPP at D = 10.7 cm in rounds I, II, and III of the experiments. Note: The red dashed line represents the initial average vertical effective stress of the seabed σ0; the blue line corresponds to a relative wavelength (λ/d) = 1.816, the red line (λ/d) = 1.74, the yellow line (λ/d) = 1.22, and the purple line (λ/d) = 1.11, D represents the depth of the soil, and f d is the initial liquefaction degree of the seabed. The short, horizontal, dark red line represents the cumulative magnitude value of EPP.
Figure 4. Time series of cumulative EPP at different depths in an initially liquefied soil under different relative wavelengths in I, II, and III rounds of experiments. (a,c,e) represent the cumulative EPP at D = 5.5 cm in rounds I, II, and III of the experiments. (b,d,f) represent the cumulative EPP at D = 10.7 cm in rounds I, II, and III of the experiments. Note: The red dashed line represents the initial average vertical effective stress of the seabed σ0; the blue line corresponds to a relative wavelength (λ/d) = 1.816, the red line (λ/d) = 1.74, the yellow line (λ/d) = 1.22, and the purple line (λ/d) = 1.11, D represents the depth of the soil, and f d is the initial liquefaction degree of the seabed. The short, horizontal, dark red line represents the cumulative magnitude value of EPP.
Water 17 02829 g004
Figure 5. Experimental phenomenon on the seabed surface after soil liquefaction.
Figure 5. Experimental phenomenon on the seabed surface after soil liquefaction.
Water 17 02829 g005
Figure 6. The bar charts of cumulative EPP magnitude in rounds I–III of the experiments (for initially liquefied seabed) under different relative wavelengths at different depths. (a) is the cumulative EPP magnitude at D = 5.5 cm in rounds I–III of the experiments (b) is the cumulative EPP magnitude at D = 10.7 cm in rounds I–III of the experiments Note: fd′ is the initial liquefaction degree. The red dashed frame is affected by the “negative EPP” phenomenon.
Figure 6. The bar charts of cumulative EPP magnitude in rounds I–III of the experiments (for initially liquefied seabed) under different relative wavelengths at different depths. (a) is the cumulative EPP magnitude at D = 5.5 cm in rounds I–III of the experiments (b) is the cumulative EPP magnitude at D = 10.7 cm in rounds I–III of the experiments Note: fd′ is the initial liquefaction degree. The red dashed frame is affected by the “negative EPP” phenomenon.
Water 17 02829 g006
Figure 7. Time series of cumulative EPP at different depths of non-liquefied soil under different relative wavelengths in rounds IV, V, and VI of the experiments. (a,c,e) represent the cumulative EPP at D = 5.5 cm in rounds IV, V, and VI of the experiments. (b,d,f) represent the cumulative EPP at D = 10.7 cm in rounds IV, V, and VI of the experiments. Note: the blue line corresponds to the relative wavelength (λ/d) = 1.816, the red line (λ/d) = 1.74, the yellow line (λ/d) = 1.22, and the purple line (λ/d) = 1.11. D represent the depth of the soil, and T is the consolidation time. The short, horizontal, dark red line represents the cumulative magnitude value of EPP.
Figure 7. Time series of cumulative EPP at different depths of non-liquefied soil under different relative wavelengths in rounds IV, V, and VI of the experiments. (a,c,e) represent the cumulative EPP at D = 5.5 cm in rounds IV, V, and VI of the experiments. (b,d,f) represent the cumulative EPP at D = 10.7 cm in rounds IV, V, and VI of the experiments. Note: the blue line corresponds to the relative wavelength (λ/d) = 1.816, the red line (λ/d) = 1.74, the yellow line (λ/d) = 1.22, and the purple line (λ/d) = 1.11. D represent the depth of the soil, and T is the consolidation time. The short, horizontal, dark red line represents the cumulative magnitude value of EPP.
Water 17 02829 g007
Figure 8. The bar charts of cumulative magnitude of EPP at different depths of IV–VI rounds of experiments under different relative wavelengths. (a) is the cumulative magnitude of EPP at D = 5.5 cm in rounds IV, V, and VI of the experiments. (b) is the cumulative magnitude of EPP at D = 10.7 cm in rounds IV, V, and VI of the experiments. Note: T is the consolidation time.
Figure 8. The bar charts of cumulative magnitude of EPP at different depths of IV–VI rounds of experiments under different relative wavelengths. (a) is the cumulative magnitude of EPP at D = 5.5 cm in rounds IV, V, and VI of the experiments. (b) is the cumulative magnitude of EPP at D = 10.7 cm in rounds IV, V, and VI of the experiments. Note: T is the consolidation time.
Water 17 02829 g008
Figure 9. “√” shaped variation curves of cumulative magnitude of EPP with consolidation time derived from all the 24 groups of experiments. (a) represents the curve for EPP in liquefied seabed, and (b) represents the curve for EPP in non-liquefied seabed.
Figure 9. “√” shaped variation curves of cumulative magnitude of EPP with consolidation time derived from all the 24 groups of experiments. (a) represents the curve for EPP in liquefied seabed, and (b) represents the curve for EPP in non-liquefied seabed.
Water 17 02829 g009
Table 1. Parameters of the instruments used in the experiments.
Table 1. Parameters of the instruments used in the experiments.
InstrumentsModelSampling
Rate
PrecisionRange of
Measurement
Pore pressure sensorDY201220 Hz0.1%0–1 MPa
Wave gaugeTWAVE1018 Hz0.03%/
Table 2. Experimental wave and seabed conditions.
Table 2. Experimental wave and seabed conditions.
Experiment NumberH (m)λ (m)d (m)λ/dT (h)fd′(D = 10.7 cm)Initial Seabed State Before Wave Loading
I-10.0350.4540.251.8160.25 hfd′ = 0.68Liquefied
I-20.0370.4350.251.74Liquefied
I-30.0440.3050.251.22Liquefied
I-40.0460.2750.251.1Liquefied
II-10.0350.4540.251.8160.33 hfd′= 0.60Liquefied
II-20.0370.4350.251.74Liquefied
II-30.0440.3050.251.22Liquefied
II-40.0460.2750.251.1Liquefied
III-10.0350.4540.251.8160.5 hfd′= 0.34Liquefied
III-20.0370.4350.251.74Liquefied
III-30.0440.3050.251.22Liquefied
III-40.0460.2750.251.1Liquefied
IV-10.0350.4540.251.8163 h/Non-Liquefied
IV-20.0370.4350.251.74Non-Liquefied
IV-30.0440.3050.251.22Non-Liquefied
IV-40.0460.2750.251.1Non-Liquefied
V-10.0350.4540.251.81612 h/Non-Liquefied
V-20.0370.4350.251.74Non-Liquefied
V-30.0440.3050.251.22Non-Liquefied
V-40.0460.2750.251.1Non-Liquefied
VI-10.0350.4540.251.81623 h/Non-Liquefied
VI-20.0370.4350.251.74Non-Liquefied
VI-30.0440.3050.251.22Non-Liquefied
VI-40.0460.2750.251.1Non-Liquefied
Note: H is the wave height, λ is the wavelength, d is the water depth, T is the seabed consolidation time, D is the depth of the soil, and f d is the initial liquefaction degree. In oceanography, waves can usually be decomposed into different types of components. The seabed response to different types of wave action varies. Waves can be classified according to the relative wavelength perspective, such as the ratio of wavelength (λ) to water depth (d), which is used to measure the propagation characteristics of waves. In this paper, λ/d is used to measure the effect of wavelength change on the pore water pressure response.
Table 3. Cumulative magnitude of EPP in liquefied seabed.
Table 3. Cumulative magnitude of EPP in liquefied seabed.
Cumulative Magnitude of Excess Pore Pressure (kPa)
λ/dDepth (cm)1.8161.741.221.1
f d
f d = 0.685.50.19740.19530.14970.1308
10.70.62400.61680.61020.5100
f d = 0.605.50.15200.05330.03140.0111
10.70.62740.52050.48910.4430
f d = 0.345.50.16030.01630.05530.0664
10.70.43240.35960.34680.3386
Note: f d is the initial liquefaction degree, λ/d is the relative wavelength, the vertical red frame indicates the maximum value of the cumulative magnitude of EPP, the horizontal red frame indicates outliers caused by the influence of “negative EPP”.
Table 4. Cumulative magnitude of EPP in non-liquefied seabed.
Table 4. Cumulative magnitude of EPP in non-liquefied seabed.
Cumulative Magnitude of Excess Pore Pressure (kPa)
λ/dDepth (cm)1.8161.741.221.1

T (h)
T = 35.50.12840.13460.12590.0994
10.70.21880.22090.20570.1614
T = 125.50.14920.14980.16840.1542
10.70.36050.28700.31580.2793
T = 235.50.20560.21540.24240.2012
10.70.35590.41770.54440.4488
Note: T is the seabed consolidation time, λ/d is the relative wavelength, the red frames indicates the maximum value of the cumulative magnitude of EPP, the blue frames indicates outliers caused by the influence of non-uniform consolidation.
Disclaimer/Publisher’s Note: The statements, opinions and data contained in all publications are solely those of the individual author(s) and contributor(s) and not of MDPI and/or the editor(s). MDPI and/or the editor(s) disclaim responsibility for any injury to people or property resulting from any ideas, methods, instructions or products referred to in the content.

Share and Cite

MDPI and ACS Style

Li, H.; Zhang, Y.; Ma, A.; Wen, M.; Zhao, Z.; Zhang, S. Effect of Relative Wavelength on Excess Pore Water Pressure in Silty Seabeds with Different Initial Consolidation Degrees. Water 2025, 17, 2829. https://doi.org/10.3390/w17192829

AMA Style

Li H, Zhang Y, Ma A, Wen M, Zhao Z, Zhang S. Effect of Relative Wavelength on Excess Pore Water Pressure in Silty Seabeds with Different Initial Consolidation Degrees. Water. 2025; 17(19):2829. https://doi.org/10.3390/w17192829

Chicago/Turabian Style

Li, Hongyi, Yaqi Zhang, Aidong Ma, Mingzheng Wen, Zixi Zhao, and Shaotong Zhang. 2025. "Effect of Relative Wavelength on Excess Pore Water Pressure in Silty Seabeds with Different Initial Consolidation Degrees" Water 17, no. 19: 2829. https://doi.org/10.3390/w17192829

APA Style

Li, H., Zhang, Y., Ma, A., Wen, M., Zhao, Z., & Zhang, S. (2025). Effect of Relative Wavelength on Excess Pore Water Pressure in Silty Seabeds with Different Initial Consolidation Degrees. Water, 17(19), 2829. https://doi.org/10.3390/w17192829

Note that from the first issue of 2016, this journal uses article numbers instead of page numbers. See further details here.

Article Metrics

Back to TopTop