Assessment of Wetlands in Liaoning Province, China
Abstract
1. Introduction
- (1)
- Quantify the spatiotemporal evolution of wetland ecosystem services (carbon storage, water retention, soil retention, and wind-erosion control) in Liaoning Province from 2000 to 2020;
- (2)
- Identify the main driving pathways of natural and anthropogenic factors, distinguishing direct and indirect effects;
- (3)
- Construct a regional ecological vulnerability assessment framework and propose zonal management recommendations.
2. Materials and Methods
2.1. Study Area
2.2. Data Source
2.3. Research Methods
2.3.1. Assessment of Wetland Ecosystem Service Functions
2.3.2. Modeling Framework for Drivers of Wetland Pattern Evolution
2.3.3. Ecosystem Vulnerability Assessment
3. Results
3.1. Characteristics of Spatial and Temporal Evolution of Wetland Patterns in Liaoning Province
3.2. Changes in Ecosystem Services of Wetlands in Liaoning Province
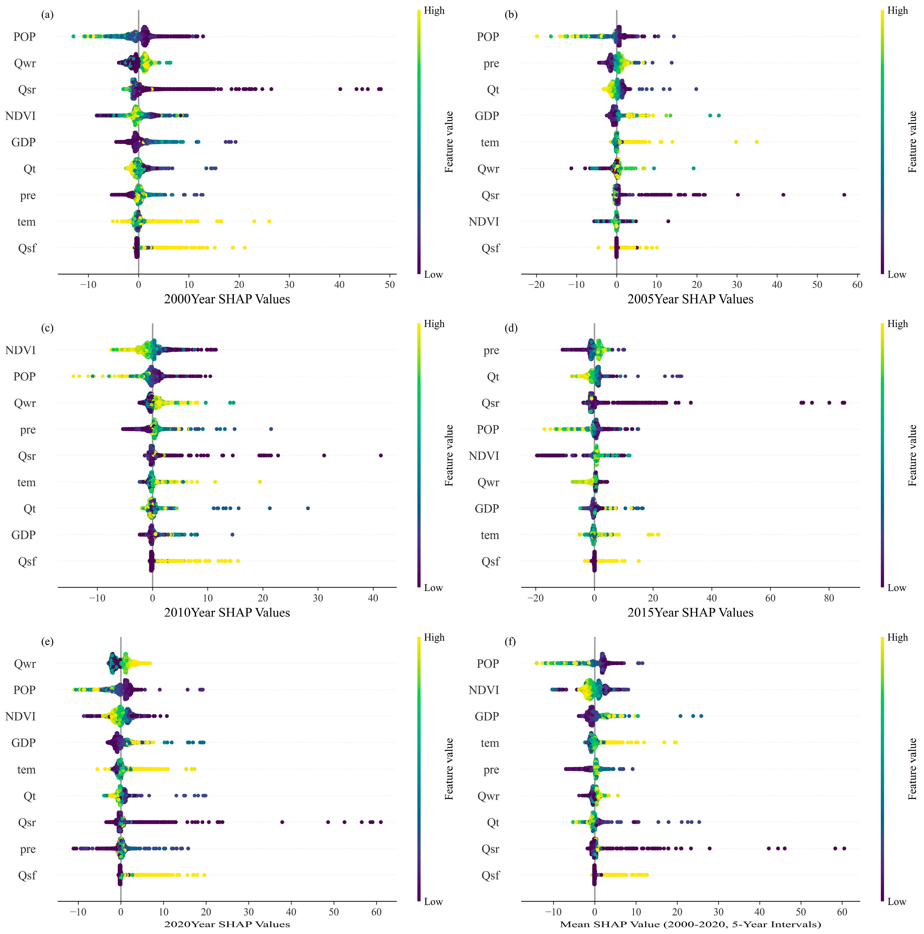
3.3. Analysis of Drivers of Wetland Pattern Evolution
3.3.1. Influence of Driving Factors on the Evolution of Wetland Pattern
3.3.2. Influence of Direct and Indirect Factors on the Evolution of Wetland Patterns
3.4. Spatial and Temporal Patterns of Wetland Ecosystem Vulnerability in Liaoning Province
4. Discussion
4.1. Characteristics of Spatial and Temporal Evolution of Wetland Ecosystem Service Functions in Liaoning Province
4.2. Wetland Patterns in Liaoning Province Drivers of Wetland Evolution
4.3. Vulnerability of Wetland Ecosystems in Liaoning Province
4.4. Ecological Restoration and Management Suggestions
- (1)
- Strengthen ecological protection and restoration projects
- (2)
- Optimize the spatial development pattern of the national territory
4.5. Limitations and Future Work
5. Conclusions
- (1)
- Carbon storage gradually increased, and water conservation capacity was significantly enhanced in the northern part of the province. In contrast, windbreak, sand fixation, and soil conservation functions declined under the influence of urban expansion and land-use change.
- (2)
- Population density was the dominant driving factor in the early stage, but with the passage of time, the influence of precipitation, NDVI, GDP and wetland area on the evolution of wetland pattern gradually increased, and the driving mechanism showed significant spatial heterogeneity.
- (3)
- The ecologically fragile areas show a pattern of “coexistence of fragmented patches+ banded distribution”, forming a three-level spatial gradient of ecological fragility: high in the north, second in the center, and low in the southeast.
Author Contributions
Funding
Data Availability Statement
Conflicts of Interest
References
- Xu, X.; Chen, M.; Yang, G.; Jiang, B.; Zhang, J. Wetland ecosystem services research: A critical review. Glob. Ecol. Conserv. 2020, 22, e01027. [Google Scholar] [CrossRef]
- Fluet-Chouinard, E.; Stocker, B.D.; Zhang, Z.; Malhotra, A.; Melton, J.R.; Poulter, B.; Kaplan, J.O.; Goldewijk, K.K.; Siebert, S.; Minayeva, T.; et al. Extensive global wetland loss over the past three centuries. Nature 2023, 614, 281–286. [Google Scholar] [CrossRef]
- Leifeld, J.; Menichetti, L. The underappreciated potential of peatlands in global climate change mitigation strategies. Nat. Commun. 2018, 9, 1071. [Google Scholar] [CrossRef]
- Xiong, Y.; Mo, S.; Wu, H.; Qu, X.; Liu, Y.; Zhou, L. Influence of human activities and climate change on wetland landscape pattern-A review. Sci. Total Environ. 2023, 879, 163112. [Google Scholar] [CrossRef] [PubMed]
- Shen, X.; Jiang, M.; Lu, X.; Thompson, J.R. Protect and restore small wetlands. Science 2024, 384, 1415. [Google Scholar] [CrossRef]
- Lisenby, P.E.; Tooth, S.; Ralph, T.J. Product vs. process? the role of geomorphology in wetland characterization. Sci. Total Environ. 2019, 663, 980–991. [Google Scholar] [CrossRef] [PubMed]
- Hinson, A.L.; Feagin, R.A.; Eriksson, M.; Najjar, R.G.; Herrmann, M.; Bianchi, T.S.; Kemp, M.; Hutchings, J.A.; Crooks, S.; Boutton, T. The spatial distribution of soil organic carbon in tidal wetland soils of the continental United States. Glob. Change Biol. 2017, 23, 5468–5480. [Google Scholar] [CrossRef]
- Penfound, E.; Vaz, E. Modelling future wetland loss with land use landcover change simulation in the Greater Toronto and Hamilton Area: The importance of continued greenbelt development restrictions. Habitat Int. 2024, 143, 102974. [Google Scholar] [CrossRef]
- Qu, Y.; Zeng, X.; Luo, C.; Zhang, H.; Liu, Y.; Wang, J. Constructing wetland ecological corridor system based on hydrological connectivity with the goal of improving regional biodiversity. Environ. Manag. 2024, 368, 122074. [Google Scholar] [CrossRef] [PubMed]
- Zhou, Y.; Li, X.; Zhang, J. Ecological restoration and carbon sink enhancement in wetlands of Liaoning Province. J. Geogr. Sci. 2020, 30, 456–470. [Google Scholar]
- Xu, H.; Li, D.; Hou, X.; Yu, X.; Liu, Y.; Li, X.; Li, B.; Chen, L.; Wang, X.; Xia, S. Home range and habitat disturbance identification for a vulnerable shorebird species. Home range and habitat disturbance identification for a vulnerable shorebird species (Larus saundersi) in the Yellow River Delta, China. J. Coast. Res. 2021, 37, 737–748. [Google Scholar] [CrossRef]
- Wu, J.; Li, Y.; Zhang, X.; Cai, H. Spatiotemporal Variation Patterns of Drought in Liaoning Province, China, Based on Copula Theory. Atmosphere 2024, 15, 1063. [Google Scholar] [CrossRef]
- Wang, B.; Du, Y.; Xu, J. GIS/RS-based health assessment and landscape dynamics of coastal wetlands: A case study of Liaodong Bay. J. Liaoning Norm. Univ. 2013, 31, 84–89. [Google Scholar]
- Fan, H.; Xu, H. Changes in landscape pattern vulnerability of the Liaohe River Delta wetland. Prog. Geogr. 2016, 31–32. [Google Scholar]
- Ludlow, S.; Davis, S. Oil and Natural Gas Development Influence Nest-Site Selection and Nest Survival of Upland-Nesting Waterfowl and Shorebirds. Wildl. Soc. Bull. 2018, 42, 57–66. [Google Scholar] [CrossRef]
- Peng, Y. Vulnerability analysis of river basin aquatic ecosystems: A case study of the Liaohe River Basin. Environ. Prot. Circ. Environ. Prot. Circ. Econ. 2013, 33, 47–50+53. [Google Scholar]
- Malekmohammadi, B.; Jahanishakib, F. Vulnerability Assessment of Wetland Landscape Ecosystem Services Using Driv-er-Pressure-State-Impact-Response (DPSIR) Model. Ecol. Indic. 2017, 82, 293–303. [Google Scholar] [CrossRef]
- Zhang, X.; Liu, L.; Zhao, T.; Wang, J.; Liu, W.; Chen, X. Global annual wetland dataset at 30 m with a fine classification system from 2000 to 2022. Sci. Data 2024, 11, 310. [Google Scholar] [CrossRef]
- Huang, Y.; Chen, S.L.; Jiang, H.; Chen, W.J.; Mo, X.H. Assessment of the impact of land use changes on net primary productivity using human appropriation of net primary productivity in Anji, China. Appl. Ecol. Environ. Res. 2021, 19, 4331–4348. [Google Scholar] [CrossRef]
- Ding, T.; Chen, J.; Fang, Z.; Chen, J. Assessment of coordinative relationship between comprehensive ecosystem service and urbanization: A case study of Yangtze River Delta urban. Ecol. Indic. 2021, 133, 108454. [Google Scholar] [CrossRef]
- Nelson, E.; Mendoza, G.; Regetz, J.; Polasky, S.; Tallis, H.; Cameron, D.R.; Chan, K.M.A.; Daily, G.C.; Goldstein, J.; Kareiva, P.M.; et al. Modeling multiple ecosystem services, biodiversity conservation, commodity production, and tradeoffs at landscape scales. Front. Ecol. Front. Ecol. Environ. 2009, 7, 4–11. [Google Scholar] [CrossRef]
- Lundberg, S.M.; Erion, G.; Chen, H.; DeGrave, A.; Prutkin, J.M.; Nair, B.; Katz, R.; Himmelfarb, J.; Bansal, N.; Lee, S.-I. From local explanations to global understanding with explainable AI for trees. Nat. Mach. Intell. 2020, 2, 56–67. [Google Scholar] [CrossRef]
- Tenenhaus, M.; Vinzi, V.E.; Chatelin, Y.M.; Lauro, C. PLS path modeling. Comput. Stat. Data Anal. 2005, 48, 159–205. [Google Scholar] [CrossRef]
- Wu, X.; Huang, X. Screening of urban environmental vulnerability indicators based on coefficient of variation and anti-image correlation matrix method. Indicators 2023, 150, 110196. [Google Scholar] [CrossRef]
- Cai, Y.; Guo, X.; Liu, J.; Wang, D.; Zheng, J. Ecological geological vulnerability assessment in Northern Shanxi Province (China) based on sensitivity resilience pressure (SRP) model. Sci. Rep. 2025, 15, 8063. [Google Scholar] [CrossRef]
- Cheng, C.; Li, M.; Xue, Z.; Zhang, Z.; Lyu, X.; Jiang, M.; Zhang, H. Impacts of climate and nutrients on carbon sequestration rate by wetlands: A meta-analysis. Chin. Geogr. Sci. 2020, 30, 483–492. [Google Scholar] [CrossRef]
- Liu, H.B.; Yang, L.P.; Gao, J.Q.; Li, Q.W.; Li, X.L.; Feng, J.G.; Yu, F.H. Increasing plant diversity enhances soil organic carbon storage in typical wetlands of northern China. Front. Plant Sci. 2024, 15, 1467621. [Google Scholar] [CrossRef] [PubMed]
- Zhou, T.; Niu, A.; Huang, Z.; Ma, J.; Xu, S. Spatial relationship between natural wetlands changes and associated influencing factors in mainland China. ISPRS Int. J. Geo- Inf. 2020, 9, 179. [Google Scholar] [CrossRef]
- Xu, T.; Weng, B.; Yan, D.; Wang, K.; Li, X.; Bi, W.; Li, M.; Cheng, X.; Liu, Y. Wetlands of international importance: Status, threats, and future protection. Int. J. Environ. Res. Public Health 2019, 16, 1818. [Google Scholar] [CrossRef]
- Asselen, S.V.; Verburg, P.H.; Vermaat, J.E.; Janse, J.H. Drivers of wetland conversion: A global meta-analysis. PLoS ONE 2013, 8, e81292. [Google Scholar] [CrossRef]
- Rebelo, L.M.; Finlayson, C.M.; Nagabhatla, N. Remote sensing and GIS for wetland inventory, mapping and change analysis. J. Environ. Manag. 2009, 90, 2144–2153. [Google Scholar] [CrossRef]
- Mondal, B.; Dolui, G.; Pramanik, M.; Maity, S.; Biswas, S.S.; Pal, R. Urban expansion and wetland shrinkage estimation using a GIS-based model in the East Kolkata Wetland, India. Ecol. Indic. 2017, 83, 62–73. [Google Scholar] [CrossRef]
- Hu, P.P.; Li, F.; Hu, D.; Chen, X.C.; Liu, Y.L.; Wang, Y. Change of wetland landscape patterns and its driving factors in pearl river Delta urban agglomeration. Technology 2021, 11, 418–427. [Google Scholar]
- Zhang, M.; Gong, Z.; Zhao, W.; Duo, A. Landscape pattern change and the driving forces in Baiyangdian wetland from 1984 to 2014. Acta Ecol. Sin. 2016, 36, 4780–4791. [Google Scholar] [CrossRef]
- Xie, J.; Wang, Z.M.; Ren, C.Y. Analysis of seasonal changes of wetland landscape patterns derived from remote sensing data. Acta Ecol. Sin. 2014, 34, 7149–7157. [Google Scholar] [CrossRef]
- Zhang, N.; Lei, Y.; Li, W.; Wang, H.; Liu, C.; Wang, J.; Cui, L. Changes and Driving Factors of Wetland Landscape Pattern in the Middle Reaches of the Yellow River from 1990 to 2020. Terr. Ecosyst. Conserv. 2023, 3, 13–25. [Google Scholar]
- Turner, B.L., II; Kasperson, R.E.; Matson, P.A.; McCarthy, J.J.; Corell, R.W.; Christensen, L.; Eckley, N.; Kasperson, J.X.; Luers, A.; Martello, M.L.; et al. A framework for vulnerability analysis in sustainability science. Proc. Natl. Acad. Sci. USA 2003, 100, 8074–8079. [Google Scholar] [CrossRef]
- Song, C.; Xiang, H.; Chen, M.; Du, S. Spatiotemporal variability in ecological vulnerability of Songnen Plain from 1980 to 2020. Bull. Soil Water Conserv. 2023, 43, 366–374. [Google Scholar]
- Dai, X.; Gao, Y.; He, X.; Liu, T.; Jiang, B.; Shao, H.; Yao, Y. Spatial-temporal pattern evolution and driving force analysis of ecological environment vulnerability in Panzhihua City. Environ. Sci. Pollut. Res. 2021, 28, 7151–7166. [Google Scholar] [CrossRef]
- Li, R.; Han, R.; Yu, Q.; Qi, S.; Guo, L. Spatial heterogeneous of ecological vulnerability in arid and semi-arid area: A case of the Ningxia Hui autonomous region, China. Sustainability 2020, 12, 4401. [Google Scholar] [CrossRef]
- Li, D.; Huan, C.; Yang, J.; Gu, H. Temporal and spatial distribution changes, driving force analysis and simulation prediction of ecological vulnerability in Liaoning Province, China. Land 2022, 11, 1025. [Google Scholar] [CrossRef]
- Sun, C.Z.; Yan, X.L.; Zhong, J.Q. Evaluation of the landscape patterns vulnerability and analysis of spatial correlation patterns in the lower reaches of Liaohe River Plain. Acta Ecol. Sin. 2014, 34, 247–257. [Google Scholar] [CrossRef]






| Data Type | Data Name | Spatial Resolution | Year | Data Source |
|---|---|---|---|---|
| Wetland data | Wetland data | 30 m | 2000–2020 | Global 30 m wetland time series 2000–2022 |
| Climate data | Average annual temperature | 1 km | 2000, 2005, 2010, 2015, 2020 | National Earth SystemScience Data left |
| Annual precipitation | 1 km | 2000, 2005, 2010, 2015, 2020 | ||
| Potential evapotranspiration | 1 km | 2000, 2005, 2010, 2015, 2020 | ||
| Soil data | Soil pH | 250 m | - | Openlandmap dataset |
| Sand content | 250 m | - | ||
| Water content | 250 m | - | ||
| Carbon content | 250 m | - | ||
| Clay content | 250 m | - | ||
| Soil Bulk Weight | 250 m | - | ||
| Topographic and geomorphological data | DEM | 1 km | - | Data left for Resource and Environmental Sciences, Chinese Academy of Sciences |
| Slope | 1 km | - | ||
| Landform type | 1 km | - | ||
| Remote sensing ecological data | NPP | 1 km | 2000, 2005, 2010, 2015, 2020 | NASA Earth Observing System Data and Information System |
| NDVI | 1 km | 2000, 2005, 2010, 2015, 2020 | ||
| Land use data | Land use data | 30 m | 2000, 2005, 2010, 2015, 2020 | Land cover dataset for 30 m years in China, 1990–2021. |
| Socio-economic data | Night light | 500 m | 2000, 2005, 2010, 2015, 2020 | Harvard University Database |
| Population density | 1 km | 2000, 2005, 2010, 2015, 2020 | Resource and Environment Science Data left, Chinese Academy of Sciences | |
| City Residency | - | - | ||
| Statistics | - | 2000, 2005, 2010, 2015, 2020 | Statistical Yearbook by Region |
Disclaimer/Publisher’s Note: The statements, opinions and data contained in all publications are solely those of the individual author(s) and contributor(s) and not of MDPI and/or the editor(s). MDPI and/or the editor(s) disclaim responsibility for any injury to people or property resulting from any ideas, methods, instructions or products referred to in the content. |
© 2025 by the authors. Licensee MDPI, Basel, Switzerland. This article is an open access article distributed under the terms and conditions of the Creative Commons Attribution (CC BY) license (https://creativecommons.org/licenses/by/4.0/).
Share and Cite
Zhang, Y.; Wang, C.; Zheng, C.; He, Y.; Yan, Z.; Wang, S. Assessment of Wetlands in Liaoning Province, China. Water 2025, 17, 2827. https://doi.org/10.3390/w17192827
Zhang Y, Wang C, Zheng C, He Y, Yan Z, Wang S. Assessment of Wetlands in Liaoning Province, China. Water. 2025; 17(19):2827. https://doi.org/10.3390/w17192827
Chicago/Turabian StyleZhang, Yu, Chunqiang Wang, Cunde Zheng, Yunlong He, Zhongqing Yan, and Shaohan Wang. 2025. "Assessment of Wetlands in Liaoning Province, China" Water 17, no. 19: 2827. https://doi.org/10.3390/w17192827
APA StyleZhang, Y., Wang, C., Zheng, C., He, Y., Yan, Z., & Wang, S. (2025). Assessment of Wetlands in Liaoning Province, China. Water, 17(19), 2827. https://doi.org/10.3390/w17192827

