Heavy Metal Pollution in Water and Seston in a Subtropical Coastal Lagoon of the Gulf of Mexico: Hydrometeorological and Anthropic Influence
Abstract
1. Introduction
2. Materials and Methods
2.1. Study Area
2.2. Data Processing and Analysis of Hydrometeorological Variables
2.3. Sample Collection and Processing
2.4. Metal Quantification
2.5. Statistical Analysis
3. Results and Discussion
3.1. Hydrometeorological Forcing and Dispersion of Atmospheric Pollutants
3.1.1. Hydrometeorology
3.1.2. Dispersion of Atmospheric Pollutants
3.2. Environmental Water Variables and Nutrient Distribution
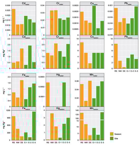
3.3. Distribution of Dissolved Heavy Metals in Water and Seston
3.4. Effects Range Low (ERL) and Effects Range Median (ERM)
3.5. Analysis of the Spatiotemporal Variability in Physicochemical Parameters and Metals in Water and Seston
4. Conclusions
5. Future Perspectives
Supplementary Materials
Author Contributions
Funding
Data Availability Statement
Conflicts of Interest
References
- Vieira, L.R.; Morgado, F.; Nogueira, A.J.; Soares, A.M.; Guilhermino, L. Integrated multivariate approach of ecological and ecotoxicological parameters in coastal environmental monitoring studies. Ecol. Indic. 2018, 95, 1128–1142. [Google Scholar] [CrossRef]
- Pérez-Ruzafa, A.; Morkune, R.; Marcos, C.; Pérez-Ruzafa, I.M.; Razinkovas-Baziukas, A. Can an oligotrophic coastal lagoon support high biological productivity? Sources and pathways of primary production. Mar. Environ. Res. 2020, 153, 104824. [Google Scholar] [CrossRef]
- Zhou, Q.; Wang, S.; Liu, J.; Hu, X.; Liu, Y.; He, Y.; He, X.; Wu, X. Geological evolution of offshore pollution and its long-term potential impacts on marine ecosystems. Geosci. Front. 2022, 13, 101427. [Google Scholar] [CrossRef]
- Piwowarska, D.; Kiedrzyńska, E.; Jaszczyszyn, K. A global perspective on the nature and fate of heavy metals polluting water ecosystems, and their impact and remediation. Crit. Rev. Environ. Sci. Technol. 2024, 54, 1436–1458. [Google Scholar] [CrossRef]
- Duysak, Ö.; Uğurlu, E. Trace Metal Concentrations in the Seston of the Gulf of İskenderun (Turkey, North-Eastern Mediterranean). Thalassas 2020, 36, 125–132. [Google Scholar] [CrossRef]
- Reyes-Márquez, A.; Aguíñiga-García, S.; Morales-García, S.S.; Sedeño-Díaz, J.E.; López-López, E. Temporal distribution patterns of metals in water, sediment, and components of the trophic structure in a tropical coastal lagoon of the Gulf of Mexico. Environ. Sci. Pollut. Res. 2022, 29, 61643–61661. [Google Scholar] [CrossRef]
- Zeng, J.; Han, G.; Yang, K. Assessment and sources of heavy metals in suspended particulate matter in a tropical catchment, northeast Thailand. J. Clean. Prod. 2020, 265, 121898. [Google Scholar] [CrossRef]
- Showell, M.A.; Gaskin, D.E. Partitioning of cadmium and lead within seston of coastal marine Waters of the Western Bay of Fundy, Canada | Enhanced Reader. Arch. Environ. Contam. Toxicol. 1992, 22, 325–333. [Google Scholar] [CrossRef]
- Fernandez Severini, M.D.; Villagran, D.M.; Biancalana, F.; Berasategui, A.A.; Spetter, C.V.; Tartara, M.N.; Menendez, M.C.; Guinder, V.A.; Marcovecchio, J.E. Heavy Metal Concentrations Found in Seston and Microplankton from an Impacted Temperate Shallow Estuary along the Southwestern Atlantic Ocean. J. Coast. Res. 2017, 335, 1196–1209. [Google Scholar] [CrossRef]
- Pedrosa, P.; Souza, C.M.M.A.; Rezende, C.E. Linking major nutrients (C, H, N, and P) to trace metals (Fe, Mn, and Cu) in lake seston in southern Brazil. Limnology 2007, 8, 233–242. [Google Scholar] [CrossRef]
- Shang, D.; Xu, H. Qualitative Dynamics of Suspended Particulate Matter in the Changjiang Estuary from Geostationary Ocean Color Images: An Empirical, Regional Modeling Approach. Sensors 2018, 18, 4186. [Google Scholar] [CrossRef] [PubMed]
- Jara-Marini, M.E.; Soto-Jiménez, M.F.; Páez-Osuna, F. Trophic relationships and transference of cadmium, copper, lead and zinc in a subtropical coastal lagoon food web from SE Gulf of California. Chemosphere 2009, 77, 1366–1373. [Google Scholar] [CrossRef] [PubMed]
- Jara-Marini, M.E.; Molina-García, A.; Martínez-Durazo, Á.; Páez-Osuna, F. Trace metal trophic transference and biomagnification in a semiarid coastal lagoon impacted by agriculture and shrimp aquaculture. Environ. Sci. Pollut. Res. 2020, 27, 5323–5336. [Google Scholar] [CrossRef] [PubMed]
- Jara-Marini, M.E.; Soto-Jiménez, M.F.; Páez-Osuna, F. Mercury transfer in a subtropical coastal lagoon food web (SE Gulf of California) under two contrasting climatic conditions. Environ. Toxicol. 2012, 27, 526–536. [Google Scholar] [CrossRef]
- Martinez-Soto, M.C.; Tovar-Sánchez, A.; Sánchez-Quiles, D.; Rodellas, V.; Garcia-Orellana, J.; Basterretxea, G. Seasonal variation and sources of dissolved trace metals in Maó Harbour, Minorca Island. Sci. Total Environ. 2016, 565, 191–199. [Google Scholar] [CrossRef]
- Demina, L.L.; Nemirovskaya, I.A. Spatial distribution of microelements in the seston of the White Sea. Oceanology 2007, 47, 360–372. [Google Scholar] [CrossRef]
- Demirak, A.; Yılmaz, H.A.; Keskin, F.; Şahin, Y.; Akpolat, O. Investigation of heavy metal content in the suspended particulate matter and sediments of inner Gokova Bay and creeks. Environ. Monit. Assess. 2012, 184, 7113–7124. [Google Scholar] [CrossRef]
- Laslett, R.E. Concentrations of dissolved and suspended particulate Cd, Cu, Mn, Ni, Pb and Zn in surface waters around the coasts of England and Wales and in adjacent seas. Estuar. Coast. Shelf Sci. 1995, 40, 67–85. [Google Scholar] [CrossRef]
- Luoma, S.N.; van Geen, A.; Lee, B.G.; Cloern, J.E. Metal uptake by phytoplankton during a bloom in South San Francisco Bay: Implications for metal cycling in estuaries. Limnol. Oceanogr. 1998, 43, 1007–1016. [Google Scholar] [CrossRef]
- Michaels, A.F.; Flegal, A.R. Lead in marine planktonic organisms and pelagic food webs. Limnol. Oceanogr. 1990, 35, 287–295. [Google Scholar] [CrossRef]
- Zou, X.; Li, Y.; Wang, L.; Ahmed, M.K.; Chen, K.; Wu, J.; Xu, Y.; Lin, Y.; Xiao, X.; Chen, B.; et al. Distribution and assessment of heavy metals in suspended particles in the Sundarban mangrove river, Bangladesh. Mar. Pollut. Bull. 2022, 181, 113856. [Google Scholar] [CrossRef] [PubMed]
- Ayala-Cortés, M.; Barrera-Huertas, H.A.; Sedeño-Díaz, J.E.; López-López, E. Impact of Particulate Matter (PM10 and PM2.5) from a Thermoelectric Power Plant on Morpho-Functional Traits of Rhizophora mangle L. Leaves. Forests 2023, 14, 976. [Google Scholar] [CrossRef]
- Amezcua, F.; Bellgraph, B. Fisheries Management of Mexican and Central American Estuaries; Springer: Berlin/Heidelberg, Germany, 2014. [Google Scholar]
- Austria-Ortíz, G.M.; Reyes-Márquez, A.; López-López, E.; Aguíñiga-García, S.; López-Martínez, J. Temporal variability (1966–2020) of the fish assemblage and hydrometeorology of the Tampamachoco Lagoon, Veracruz, Mexico: Pre-and during COVID-19 scenario. In Environmental Resilience and Transformation in Times of COVID-19; Ramanathan, A.L., Sabarathinam, C., Arriola, F., Prasanna, M.V., Kumar, P., Jonathan, M.P., Eds.; Elsevier: Amsterdam, The Netherlands, 2021; pp. 241–254. [Google Scholar]
- Harris, R.; Wiebe, P.; Lenz, J.; Skjoldal, H.R.; Huntley, M. (Eds.) ICES Zooplankton Methodology Manual; Elsevier: Amsterdam, The Netherlands; Academic Press: Cambridge, MA, USA, 2000. [Google Scholar]
- APHA; AWWA; WEF. Standard Methods for the Examination of Water and Wastewater, 24th ed.; American Public Health Association; American Water Works Association; Water Environment Federation: Washington, DC, USA, 2023. [Google Scholar]
- Zar, J.H. Biostatistical Analysis; Prentice Hall: Upper Saddle River, NJ, USA, 2010. [Google Scholar]
- Abdi, H.; Williams, L.J. Principal component analysis. WIREs Comp. Stats. 2010, 2, 433–459. [Google Scholar] [CrossRef]
- United States Environmental Protection Agency-EPA. Óxidos de Nitrógeno (NOx): ¿Por qué y Cómo se Controlan? Available online: https://www3.epa.gov/ttncatc1/cica/files/fnoxdocs.pdf (accessed on 20 April 2025).
- Iniciativa Climática de México. Estudio sobre la Influencia de la Central Termoeléctrica de Tula, Hidalgo, en la Calidad del Aire Regional. 2021, pp. 1–32. Available online: https://www.iniciativaclimatica.org/wp-content/uploads/2021/03/Central-Termoele%CC%81ctrica-Tula.pdf (accessed on 1 May 2025).
- Pabón, S.E.; Benítez, R.; Sarria, R.A.; Gallo, J.A. Gallo. Water contamination by heavy metals, analysis methods and removal technologies. A review. Entre Cienc. Ing. 2020, 14, 9–18. [Google Scholar]
- Instituto Nacional de Ecología y Cambio Climático. Análisis del Estado del Arte Sobre el Depósito Atmosférico en México y su Relación con el Cambio Climático. Available online: https://www.gob.mx/cms/uploads/attachment/file/410254/INFORME_FINAL_EADAM_V3_INECC.pdf (accessed on 27 April 2025).
- Zitoun, R.; Marcinek, S.; Hatje, V.; Sander, S.G.; Völker, C.; Sarin, M.; Omanović, D. Climate change driven effects on transport, fate and biogeochemistry of trace element contaminants in coastal marine ecosystems. Commun. Earth Environ. 2024, 5, 560. [Google Scholar] [CrossRef]
- Li, D.; Zheng, J.; Yang, M.; Meng, Y.; Yu, X.; Zhou, H.; Tong, L.; Wang, K.; Li, Y.F.; Wang, X.; et al. Atmospheric wet deposition of trace metal elements: Monitoring and modelling. Sci. Total Environ. 2023, 893, 164880. [Google Scholar] [CrossRef]
- Rivera-Guzmán, N.E.; Moreno-Casasola, P.; Ibarra-Obando, S.E.; Sosa, V.J.; Herrera-Silveira, J. Long term state of coastal lagoons in Veracruz, Mexico: Effects of land use changes in watersheds on seagrasses habitats. Ocean. Coast. Manag. 2014, 87, 30–39. [Google Scholar] [CrossRef]
- Contreras, F.; Castañeda, O.; Torres-Alvarado, R.; Gutiérrez, F. Nutrientes en 39 lagunas costeras mexicanas. Rev. Biol. Trop. 1996, 44, 417–425. [Google Scholar]
- Contreras-Espinosa, F.; Warner, B.G. Ecosystem characteristics and management considerations for coastal wetlands in Mexico. Hydrobiologia 2004, 511, 233–245. [Google Scholar] [CrossRef]
- Yu, F.; Ji, Y.; Li, Z.; Li, Y.; Meng, Y. Adsorption-desorption characteristics of typical heavy metal pollutants in submerged zone sediments: A case study of the Jialu section in Zhengzhou, China. Environ. Sci. Pollut. Res. 2023, 30, 96055–96074. [Google Scholar] [CrossRef]
- Wetzel, R.G. Limnology: Lake and River Ecosystems, 3rd ed.; Elsevier: Amsterdam, The Netherlands, 2001. [Google Scholar]
- Mitra, S.; Ghosh, S.; Satpathy, K.K.; Bhattacharya, B.D.; Sarkar, S.K.; Mishra, P.; Raja, P. Water quality assessment of the ecologically stressed Hooghly River Estuary, India: A multivariate approach. Mar. Pollut. Bull. 2018, 126, 592–599. [Google Scholar] [CrossRef] [PubMed]
- Pérez-Ruzafa, A.; Campillo, S.; Fernández-Palacios, J.M.; García-Lacunza, A.; García-Oliva, M.; Ibañez, H.; Navarro-Martínez, P.C.; Pérez-Marcos, M.; Pérez-Ruzafa, I.M.; Quispe-Becerra, J.I.; et al. Long-term dynamic in nutrients, chlorophyll a, and water quality parameters in a coastal lagoon during a process of eutrophication for decades, a sudden break and a relatively rapid recovery. Front. Mar. Sci. 2019, 6, 26. [Google Scholar] [CrossRef]
- Medina-Gómez, I.; Villalobos-Zapata, G.J.; Herrera-Silveira, J.A. Spatial and Temporal Hydrological Variations in the Inner Estuaries of a Large Coastal Lagoon of the Southern Gulf of Mexico. J. Coast. Res. 2015, 31, 1429–1438. [Google Scholar] [CrossRef]
- Gutiérrez-Mendieta, F.; de la Lanza Espino, G. Physicochemical Characterization of Mexican Coastal Lagoons, Current Status, and Future Environmental Scenarios. In Mexican Aquatic Environments; Ibáñez, A.L., Ed.; Springer Nature: Cham, Switzerland, 2019; pp. 77–91. [Google Scholar]
- Gao, Y.; Liang, T.; Tian, S.; Wang, L.; Holm, P.E.; Hansen, H.C.B. High-resolution imaging of labile phosphorus and its relationship with iron redox state in lake sediments. Environ. Pollut. 2016, 219, 466–474. [Google Scholar] [CrossRef]
- Parsons, C.T.; Rezanezhad, F.; O′Connell, D.W.; Van Cappellen, P. Sediment phosphorus speciation and mobility under dynamic redox conditions. Biogeosciences 2017, 14, 3585–3602. [Google Scholar] [CrossRef]
- Maurya, P.; Kumari, R. Spatiotemporal variation of the nutrients and heavy metals in mangroves using multivariate statistical analysis, Gulf of Kachchh (India). Environ. Res. 2021, 195, 110803. [Google Scholar] [CrossRef]
- da Silva Marques, D.; Costa, P.G.; Souza, G.M.; Cardozo, J.G.; Barcarolli, I.F.; Bianchini, A. Selection of biochemical and physiological parameters in the croaker Micropogonias furnieri as biomarkers of chemical contamination in estuaries using a generalized additive model (GAM). Sci. Total Environ. 2019, 647, 1456–1467. [Google Scholar] [CrossRef]
- De Lacerda, L.D. Biogeochemistry of Heavy Metals in Coastal Lagoons; Elsevier Oceanography Series; Elsevier: Amsterdam, The Netherlands, 1994; Volume 60, pp. 221–241. [Google Scholar]
- Wang, D.; Lin, W.; Yang, X.; Zhai, W.; Dai, M.; Chen, C.T.A. Occurrences of dissolved trace metals (Cu, Cd, and Mn) in the Pearl River Estuary (China), a large river-groundwater-estuary system. Cont. Shelf Res. 2012, 50–51, 54–63. [Google Scholar] [CrossRef]
- Guzmán-Uria, F.; Morales-Belpaire, I.; Achá, D.; Pouilly, M. Particulate mercury and particulate organic matter in the Itenez basin (Bolivia). Appl. Sci. 2020, 10, 8407. [Google Scholar] [CrossRef]
- Lazăr, N.N.; Simionov, I.A.; Petrea, Ș.M.; Iticescu, C.; Georgescu, P.L.; Dima, F.; Antache, A. The influence of climate changes on heavy metals accumulation in Alosa immaculata from the Danube River Basin. Mar. Pollut. Bull. 2024, 200, 116145. [Google Scholar] [CrossRef]
- Khan, S.N.; Nafees, M.; Imtiaz, M. Assessment of industrial effluents for heavy metals concentration and evaluation of grass (Phalaris minor) as a pollution indicator. Heliyon 2023, 9, e20299. [Google Scholar] [CrossRef] [PubMed]
- Caetano, M.; Vale, C. Trace-element Al composition of seston and plankton along the Portuguese coast. Acta Oecol. 2003, 24, S341–S349. [Google Scholar] [CrossRef]
- Chen, Z.; Wang, Y.; Xia, D.; Jiang, X.; Fu, D.; Shen, L.; Wang, H.; Li, Q.B. Enhanced bioreduction of iron and arsenic in sediment by biochar amendment influencing microbial community composition and dissolved organic matter content and composition. J. Hazard. Mater. 2016, 311, 20–29. [Google Scholar] [CrossRef]
- Miranda, L.S.; Ayoko, G.A.; Egodawatta, P.; Goonetilleke, A. Adsorption-desorption behavior of heavy metals in aquatic environments: Influence of sediment, water and metal ionic properties. J. Hazard. Mater. 2022, 421, 126743. [Google Scholar] [CrossRef] [PubMed]
- Liang, R.; Isa, Z.M. Heavy metal transport with adsorption for instantaneous and exponential attenuation of concentration. Sci. Rep. 2024, 14, 537. [Google Scholar] [CrossRef] [PubMed]
- Li, Z.; Li, X.; Wang, S.; Che, F.; Zhang, Y.; Yang, P.; Zhang, J.; Liu, Y.; Guo, H.; Fu, Z. Adsorption and desorption of heavy metals at water sediment interface based on bayesian model. J. Environ. Manag. 2023, 329, 117035. [Google Scholar] [CrossRef]
- Zhang, C.; Yu, Z.G.; Zeng, G.M.; Jiang, M.; Yang, Z.Z.; Cui, F.; Zhu, M.Y.; Shen, L.Q.; Hu, L. Effects of sediment geochemical properties on heavy metal bioavailability. Environ. Int. 2014, 73, 270–281. [Google Scholar] [CrossRef]
- World Health Organization. Background Document for Development of WHO Guidelines for Drinking-Water Quality, 4th ed.; World Health Organization: Geneva, Switzerland, 2004; Available online: https://www.who.int/publications/i/item/9789241549950 (accessed on 1 May 2025).
- Rosas, P.I.; Báez, A.; Belmont, R. Oyster (Crassostrea virginica) as an indicator of heavy metal pollution in Gulf of Mexico lagoons. Water Air Soil. Pollut. 1983, 20, 127–135. [Google Scholar] [CrossRef]
- Villanueva, F.S.; Botello, A.V. Metales pesados en la zona costera del Golfo de Mexico y Caribe Mexicano: Una Revision. Rev. Int. Contam. Ambient. 2012, 8, 47–61. Available online: https://www.revistascca.unam.mx/rica/index.php/rica/article/view/29312 (accessed on 1 May 2025).
- Bejarano-Ramirez, I.; Jurado, J.M.; Muñiz-Valencia, R.; Alcázar, A.; Ceballos-Magaña, S.G.; Olivos-Ortiz, A.; Rangel, O. Comparative study of As, Cd, Cu, Cr, Mg, Mn, Ni, Pb and Zn concentrations between sediment and water from estuary and port. Int. J. Environ. Sci. Technol. 2017, 14, 1333–1342. [Google Scholar] [CrossRef]
- Lawson, E.O. Physico-chemical parameters and heavy metal contents of water from the Mangrove Swamps of Lagos Lagoon, Lagos, Nigeria. Adv. Biol. Res. 2011, 5, 8–21. [Google Scholar]
- Morales-García, S.S.; de Acacia Pérez-Escamilla, P.; Sujitha, S.B.; Godwyn-Paulson, P.; Zúñiga-Cabezas, A.F.; Jonathan, M.P. Geochemical elements in suspended particulate matter of Ensenada de La Paz Lagoon, Baja California Peninsula, Mexico: Sources, distribution, mass balance and ecotoxicological risks. J. Environ. Sci. 2024, 136, 422–436. [Google Scholar] [CrossRef]
- Kuss, J.; Kremling, K. Trace element fluxes in the northeast Atlantic deep ocean. Deep Sea Res. I 1999, 46, 149–169. [Google Scholar] [CrossRef]
- La Colla, N.S.; Negrin, V.L.; Marcovecchio, J.E.; Botté, S.E. Dissolved and particulate metals dynamics in a human impacted estuary from the SW Atlantic. Estuar. Coast. Shelf Sci. 2015, 166, 45–55. [Google Scholar] [CrossRef]
- Mitra, S.; Sudarshan, M.; Jonathan, M.P.; Sarkar, S.K.; Thakur, S. Spatial and seasonal distribution of multi-elements in suspended particulate matter (SPM) in tidally dominated Hooghly river estuary and their ecotoxicological relevance. Environ. Sci. Pollut. Res. 2020, 27, 12658–12672. [Google Scholar] [CrossRef]
- Suja, S.; Kessarkar, P.M.; Fernandes, L.L.; Kurian, S.; Tomer, A. Spatial and temporal distribution of metals in suspended particulate matter of the Kali estuary. India. Estuar. Coast. Shelf Sci. 2017, 196, 10–21. [Google Scholar] [CrossRef]
- Zhang, J.; Zhou, F.; Chen, C.; Sun, X.; Shi, Y.; Zhao, H.; Chan, F. Spatial distribution and correlation characteristics of heavy metals in the seawater, suspended particulate matter and sediments in Zhanjiang Bay, China. PLoS ONE 2018, 13, e0201414. [Google Scholar] [CrossRef]
- CE-CCA-001/89; CECA Criterios Ecológicos de Calidad del Agua. Diario Oficial de la Fedaración: Ciudad de México, Mexico, 1989.
- Lace, A.; Cleary, J. A Review of Microfluidic Detection Strategies for Heavy Metals in Water. Chemosensors 2021, 9, 60. [Google Scholar] [CrossRef]
- Long, E.R.; Macdonald, D.D.; Smith, S.L.; Calder, F.D. Incidence of adverse biological effects within ranges of chemical concentrations in marine and estuarine sediments. Environ. Manag. 1995, 19, 81–97. [Google Scholar] [CrossRef]
- Buchman Michael, F. NOAA Screening Quick Reference Tables. 1999. Available online: https://repository.library.noaa.gov/view/noaa/9327 (accessed on 1 May 2025).
- Lenstra, W.K.; van Helmond, N.A.; Żygadłowska, O.M.; van Zummeren, R.; Witbaard, R.; Slomp, C.P. Sediments as a Source of Iron, Manganese, Cobalt and Nickel to Continental Shelf Waters (Louisiana, Gulf of Mexico). Front. Mar. Sci. 2022, 9, 811953. [Google Scholar] [CrossRef]
- Burdige, D.J. Geochemistry of Marine Sediments; Princeton University Press: Princeton, NJ, USA, 2020. [Google Scholar]
- Pan, Y.P.; Wang, Y.S. Atmospheric wet and dry deposition of trace elements at 10 sites in Northern China. Atmos. Chem. Phys. 2015, 15, 951–972. [Google Scholar] [CrossRef]
- Bortolin, E.C.; Távora, J.; Fernandes, E.H.L. Long-Term Variability on Suspended Particulate Matter Loads from the Tributaries of the World’s Largest Choked Lagoon. Front. Mar. Sci. 2022, 9, 836739. [Google Scholar] [CrossRef]
- Okyere, E.Y.; Adu-Boahen, K.; Boateng, I.; Dadson, I.Y.; Boanu, N.Y.; Kyeremeh, S. Analysis of ecological health status of the Muni Lagoon: Evidence from heavy metal content in its water and fish samples. Geo 2023, 10, e00115. [Google Scholar] [CrossRef]
- Santos-Echeandía, J.; Bernárdez, P.; Sánchez-Marín, P. Trace metal level variation under strong wind conditions and sediment resuspension in the waters of a coastal lagoon highly impacted by mining activities. Sci. Total Environ. 2023, 905, 167806. [Google Scholar] [CrossRef]
- Green, M.O.; Coco, G. Review of wave-driven sediment resuspension and transport in estuaries. Rev. Geophys. 2014, 52, 77–117. [Google Scholar]
- Deepwater Horizon (DWH) Natural Resource Damage Assessment Trustees. Monitoring and Adaptive Management Procedures and Guidelines Manual Version 2.0. Appendix to the Trustee Council Standard Operating Procedures for Implementation of the Natural Resource Restoration for the DWH Oil Spill. December 2021. Available online: http://www.gulfspillrestoration.noaa.gov/ (accessed on 1 May 2025).
- Behmel, S.; Damaur, M.; Ludwing, R.; Rodriguez, M.J. Water quality monitoring strategies—A review and future perspectives. Sci. Total Environ. 2016, 15, 1312–1329. [Google Scholar] [CrossRef]






| Parameter | Seasonal Means | Standard Deviation | Minimum | Maximum | |
|---|---|---|---|---|---|
| Nitrites (NO2, mg L−1) | Rainy | 0.006 | 0.003 | 0.003 | 0.008 |
| Northerly Windstorms | 0.011 | 0.006 | 0.007 | 0.018 | |
| Dry | 0.001 | 0.001 | 0 | 0.003 | |
| Nitrates (NO3, mg L−1) | Rainy | 0.52 | 0.25 | 0.25 | 0.75 |
| Northerly Windstorms | 0.87 | 0.24 | 0.6 | 1.05 | |
| Dry | 0.4 | 0.132 | 0.3 | 0.55 | |
| N-AMO (NH4, mg L−1) | Rainy | 7.28 | 2.03 | 5 | 8.8 |
| Northerly Windstorms | 8.21 | 2.29 | 6.4 | 10.8 | |
| Dry | 14.35 | 0.68 | 13.6 | 14.95 | |
| P-ORTO (PO4, mg L−1) | Rainy | 0.77 | 0.64 | 0.37 | 1.51 |
| Northerly Windstorms | 0.14 | 0.05 | 0.08 | 0.19 | |
| Dry | 0.21 | 0.11 | 0.09 | 0.31 | |
| P-Total (PT, mg L−1) | Rainy | 2.75 | 0.40 | 2.4 | 3.2 |
| Northerly Windstorms | 0.28 | 0.02 | 0.26 | 0.32 | |
| Dry | 0.30 | 0.10 | 0.19 | 0.39 | |
| Sulfates (SO4, mg L−1) | Rainy | 54 | 14 | 38 | 64 |
| Northerly Windstorms | 49.33 | 10.40 | 41 | 61 | |
| Dry | 52.83 | 12.09 | 43.5 | 66.5 | |
| Location | Cd | Cr | Cu | Fe | Mn | Hg | Pb | References |
|---|---|---|---|---|---|---|---|---|
| Water | ||||||||
| Tampamachoco Lagoon, Mexico | 0.001 | 0.001 | <0.0002 | 0.046 | [60] | |||
| Mandinga Lagoon, Mexico | 0.002 | 0.004 | <0.0002 | 0.125 | [60] | |||
| Pueblo Viejo Lagoon, Mexico | 0.051 | 0.214 | [61] | |||||
| Astata Lagoon, Mexico | 0.003 | 0.007 | <0.0002 | 0.038 | [60] | |||
| Lagoon Las Garzas, Mexico | 0.04 | 0.089 | 0.07 | - | - | - | 0.15 | [62] |
| Tampamachoco Lagoon, Mexico | 0.01–0.02 | 0.02–0.033 | 0.0011–0.0024 | 0.5–1.55 | 0.01–0.05 | <0.0002 | 0.01–0.02 | This study |
| Lagos Lagoon, Nigeria | 0.074–0.174 | 0.115–0.12 | 6.06–8.065 | 0.678–1.075 | [63] | |||
| Seston-SPM | ||||||||
| Ensenada de La Paz Lagoon, Mexico | 1.23–0.96 | 12.87–20.53 | 22.66–14.58 | 0.83–1.09 | 179.13–120.28 | - | 3.68–8.28 | [64] |
| Estero de Urías (Southeastern Gulf of California, Mexico) | 0.25 | 1.65 | [12] | |||||
| Tampamachoco Lagoon, Mexico | 0.3–1.93 | 0.99–2.11 | 1.76–8.80 | 119.69–1154.11 | 3.71–131.08 | 0.07–3.59 | 0.4–8.35 | This study |
| North Atlantic | 2.69–16.86 | 9.53–41.94 | - | - | - | - | 4.15–5.80 | [65] |
| Bahia Blanca Estuary, Argentina | 4.85 | - | 133.5 | 59 | 1.06 | - | - | [66] |
| Bahia Blanca Estuary, Argentina | 0.06–0.73 | 9.69–22.4 | 23.45–97.78 | 16,450–71,370 | 280.55–593.30 | - | 7.37–39.99 | [9] |
| Hooghly River Estuary, India | - | 147.08 | 62.06 | 6.17 | 1300 | - | 21.52 | [67] |
| Kali Estuary, India | - | 97.5 | 32.5 | 4.36 | 700 | - | 23.37 | [68] |
| Zhanjiang Bay, China | 29.28 | 157.62 | 53.76 | 15.5 | 0.7 | - | 49.7 | [69] |
| Mexican Criteria | 0.0009 | 0.05 | 0.003 | 0.05 | --- | 0.00002 | 0.006 | [70] |
| WHO Drinking Water Criteria | 0.005 | 0.05 | 2 | 0.3 | 0.2 | 0.006 | 0.05 | [59] |
| EPA (mg L−1) | 0.005 | 0.1 | 1.3 | 0.3 | 0.05 | 0.002 | 0.015 | [71] |
| ERL (mg kg−1 Dry Weight) | 1.2 | 81 | 34 | - | - | 0.15 | 46.7 | [72] |
| ERM (mg kg−1 Dry Weight) | 9.6 | 370 | 270 | - | - | 0.71 | 218 | [72] |
Disclaimer/Publisher’s Note: The statements, opinions and data contained in all publications are solely those of the individual author(s) and contributor(s) and not of MDPI and/or the editor(s). MDPI and/or the editor(s) disclaim responsibility for any injury to people or property resulting from any ideas, methods, instructions or products referred to in the content. |
© 2025 by the authors. Licensee MDPI, Basel, Switzerland. This article is an open access article distributed under the terms and conditions of the Creative Commons Attribution (CC BY) license (https://creativecommons.org/licenses/by/4.0/).
Share and Cite
Reyes-Márquez, A.; Barrera-Huertas, H.A.; Sedeño-Díaz, J.E.; Morales-Acuña, E.; Aguíñiga-García, S.; Cervantes-Duarte, R.; López-López, E. Heavy Metal Pollution in Water and Seston in a Subtropical Coastal Lagoon of the Gulf of Mexico: Hydrometeorological and Anthropic Influence. Water 2025, 17, 1929. https://doi.org/10.3390/w17131929
Reyes-Márquez A, Barrera-Huertas HA, Sedeño-Díaz JE, Morales-Acuña E, Aguíñiga-García S, Cervantes-Duarte R, López-López E. Heavy Metal Pollution in Water and Seston in a Subtropical Coastal Lagoon of the Gulf of Mexico: Hydrometeorological and Anthropic Influence. Water. 2025; 17(13):1929. https://doi.org/10.3390/w17131929
Chicago/Turabian StyleReyes-Márquez, Alejandra, Hugo Alberto Barrera-Huertas, Jacinto Elías Sedeño-Díaz, Enrique Morales-Acuña, Sergio Aguíñiga-García, Rafael Cervantes-Duarte, and Eugenia López-López. 2025. "Heavy Metal Pollution in Water and Seston in a Subtropical Coastal Lagoon of the Gulf of Mexico: Hydrometeorological and Anthropic Influence" Water 17, no. 13: 1929. https://doi.org/10.3390/w17131929
APA StyleReyes-Márquez, A., Barrera-Huertas, H. A., Sedeño-Díaz, J. E., Morales-Acuña, E., Aguíñiga-García, S., Cervantes-Duarte, R., & López-López, E. (2025). Heavy Metal Pollution in Water and Seston in a Subtropical Coastal Lagoon of the Gulf of Mexico: Hydrometeorological and Anthropic Influence. Water, 17(13), 1929. https://doi.org/10.3390/w17131929

